Modeling Glacier Elevation Change from DEM Time Series
Abstract
:1. Introduction
2. Study Area and Data
2.1. Study Area
2.2. SRTM DEM

2.3. ASTER DEM

2.4. Topographic DEM and Glacier Outlines
| Source | Date | Scene ID | Cloud (%) | Horizontal Shift (m) | σ | σ¯ | Improvement in std (%) | Snow Cover (%) |
|---|---|---|---|---|---|---|---|---|
| Airphoto | 1986 | – | – | 8.6 | 14.1 | 11.1 | 21 | – |
| ASTER | 2001/04/07 | AST_L1A.003:2007486672 | 10 | 18.5 | 20.9 | 18.0 | 14 | 81 |
| 2001/06/03 | AST_L1A.003:2003230186 | 22 | 34.1 | 30.1 | 20.9 | 31 | 88 | |
| 2001/07/12 | AST_L1A.003:2004198161 | 11 | 19.1 | 20.8 | 16.7 | 20 | 92 | |
| 2001/08/29 | AST_L1A.003:2004062014 | 5 | 12.7 | 15.8 | 12.3 | 22 | 96 | |
| 2002/01/29 | AST_L1A.003:2005925463 | 7 | 20.7 | 22.0 | 12.9 | 41 | 64 | |
| 2002/02/07 | AST_L1A.003:2005981100 | 25 | 17.1 | 26.1 | 20.0 | 24 | 54 | |
| 2002/02/14 | AST_L1A.003:2013763401 | 13 | 13.5 | 19.2 | 15.1 | 21 | 54 | |
| 2002/03/09 | AST_L1A.003:2006258979 | 15 | 29.2 | 18.3 | 14.3 | 22 | 92 | |
| 2002/12/31 | AST_L1A.003:2011854558 | 12 | 20.8 | 22.5 | 13.8 | 39 | 84 | |
| 2003/02/24 | AST_L1A.003:2011883607 | 14 | 17 | 18.5 | 17.0 | 8 | 90 | |
| 2004/02/04 | AST_L1A.003:2020707077 | 54 | 21.3 | 30.1 | 26.9 | 11 | 88 | |
| 2006/01/24 | AST_L1A.003:2032779583 | 14 | 12.9 | 19.8 | 14.0 | 30 | 84 | |
| 2006/02/09 | AST_L1A.003:2033045873 | 25 | 32.6 | 22.7 | 17.4 | 23 | 64 | |
| 2007/12/06 | AST_L1A.003:2063467047 | 12 | 25.5 | 23.1 | 13.0 | 44 | 87 | |
| 2009/02/17 | AST_L1A.003:2070928906 | 15 | 37.9 | 19.2 | 14.7 | 24 | 64 | |
| 2010/04/09 | AST_L1A.003:2078960682 | 14 | 62.4 | 25.6 | 17.9 | 30 | 53 | |
| 2011/12/31 | AST_L1A.003:2090572716 | 7 | 33.8 | 21.0 | 17.3 | 18 | 87 | |
| 2012/02/26 | AST_L1A.003:2091434311 | 21 | 16.3 | 24.3 | 22.7 | 7 | 65 | |
| 2012/03/20 | AST_L1A.003:2091819125 | 6 | 26.4 | 19.8 | 15.5 | 22 | 63 | |
| 2012/04/05 | AST_L1A.003:2092063972 | 13 | 30.6 | 21.3 | 17.0 | 20 | 63 | |
| 2012/04/21 | AST_L1A.003:2092286611 | 24 | 20.7 | 21.4 | 18.2 | 15 | 82 | |
| 2012/04/30 | AST_L1A.003:2092444675 | 11 | 21.8 | 24.8 | 22.6 | 9 | 91 | |
| 2012/06/08 | AST_L1A.003:2092964327 | 31 | 17.4 | 23.5 | 21.3 | 9 | 93 | |
| 2013/02/19 | AST_L1A.003:2123041126 | 18 | 30.8 | 26.0 | 21.6 | 17 | 85 | |
| 2013/02/21 | AST_L1A.003:2123072945 | 40 | 23.1 | 30.3 | 26.0 | 14 | 88 | |
| 2013/06/13 | AST_L1A.003:2124729946 | 23 | 31 | 30.6 | 25.7 | 16 | 87 | |
| 2014/02/08 | AST_L1A.003:2130620243 | 49 | 18.7 | 22.2 | 17.8 | 20 | 85 | |
| 2014/02/24 | AST_L1A.003:2130823880 | 60 | 21.3 | 22.0 | 16.4 | 26 | 92 | |
| 2014/03/26 | AST_L1A.003:2131494791 | 15 | 38.7 | 19.2 | 14.9 | 22 | 85 | |
| 2014/05/13 | AST_L1A.003:2132173961 | 15 | 30.9 | 22.3 | 18.5 | 17 | 88 | |
| 2014/05/29 | AST_L1A.003:2132389473 | 17 | 27.7 | 20.4 | 16.7 | 18 | 87 |
3. Method
3.1. DEM Co-Registration
3.2. DEM Time Series (tDEM)
3.2.1. Outlier Filtering with Reference Elevations

3.2.2. Outlier Filtering without Reference Elevations
- A pre-defined model is needed to smooth the data. This model can be any mathematical functions such as a line, or a plane.
- Randomly select the amount of data that is minimally required for determining the parameters for the model (e.g., two points for a line, three points for a plane).
- Give a criterion evaluating if a data point belongs to the defined model.
- Find all the data that belong to the model.
- Repeat steps i–iv, until a best model is found, which is defined as the one that has the maximum amount of data included (in step iv).

3.2.3. Modeling Scheme


3.3. Uncertainty Assessment

4. Results
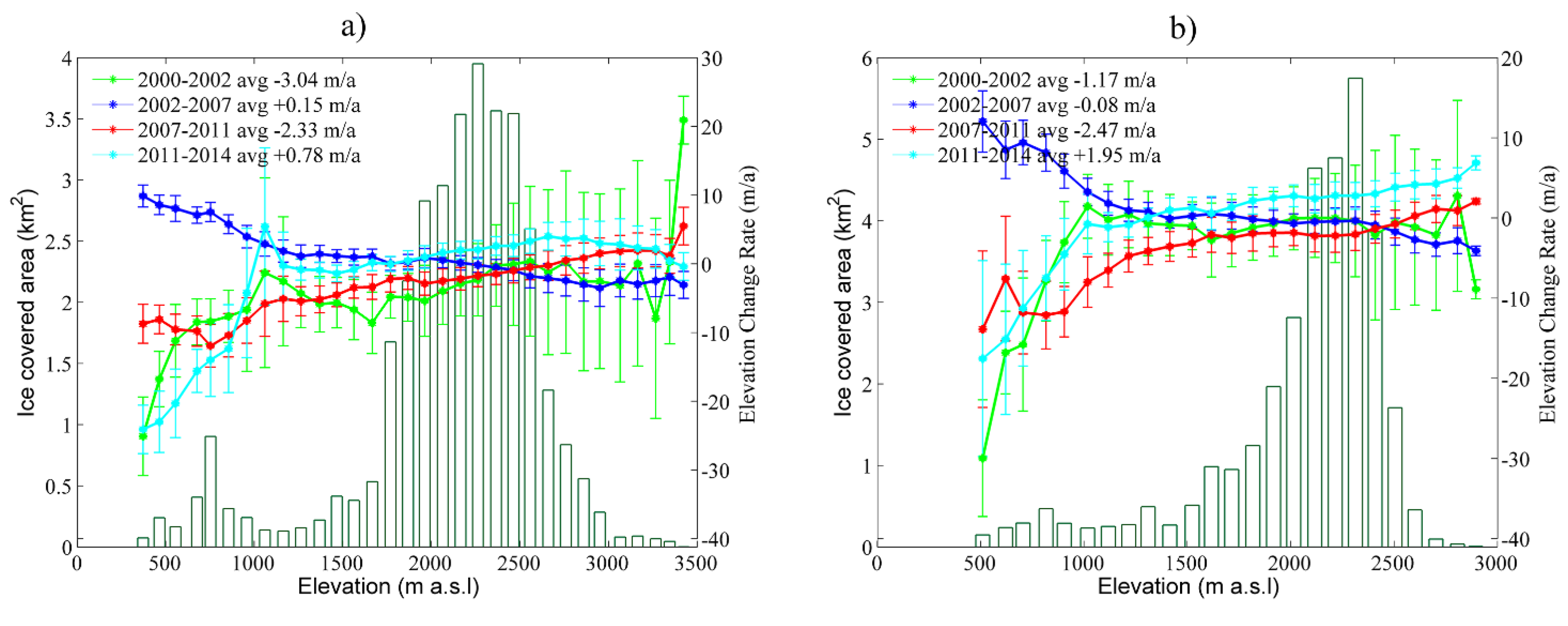
4.1. Glacier Elevation Changes

4.2. Glacier Volume Changes

5. Discussion
5.1. tDEM Method

5.2. Seasonal Variations and DEM Timing
5.3. Glacier Change

6. Conclusions
Acknowledgments
Author Contributions
Conflicts of Interest
References
- Kääb, A.; Berthier, E.; Nuth, C.; Gardelle, J.; Arnaud, Y. Contrasting patterns of early twenty-first-century glacier mass change in the Himalayas. Nature 2012, 488, 495–498. [Google Scholar] [CrossRef] [PubMed]
- Kropáček, J.; Neckel, N.; Bauder, A. Estimation of mass balance of the Grosser Aletschgletscher, Swiss Alps, from ICESat laser altimetry data and digital elevation models. Remote Sens. 2014, 6, 5614–5632. [Google Scholar] [CrossRef]
- Willis, M.J.; Melkonian, A.K.; Pritchard, M.E.; Ramage, J.M. Ice loss rates at the Northern Patagonian Icefield derived using a decade of satellite remote sensing. Remote Sens. Environ. 2012, 117, 184–198. [Google Scholar] [CrossRef]
- Berthier, E.; Arnaud, Y.; Kumar, R.; Ahmad, S.; Wagnon, P.; Chevallier, P. Remote sensing estimates of glacier mass balances in the Himachal Pradesh (Western Himalaya, India). Remote Sens. Environ. 2007, 108, 327–338. [Google Scholar] [CrossRef]
- Kääb, A. Remote Sensing of Mountain Glaciers and Permafrost Creep; Geographisches Institut der Universität Zürich: Zürich, Switzerland, 2005; Volume 48. [Google Scholar]
- Nuth, C.; Moholdt, G.; Kohler, J.; Hagen, J.O.; Kääb, A. Svalbard glacier elevation changes and contribution to sea level rise. J. Geophys. Res. Earth Surface 2010, 115. [Google Scholar] [CrossRef]
- Zwally, H.; Schutz, B.; Abdalati, W.; Abshire, J.; Bentley, C.; Brenner, A.; Bufton, J.; Dezio, J.; Hancock, D.; Harding, D. ICESat's laser measurements of polar ice, atmosphere, ocean, and land. J. Geodyn. 2002, 34, 405–445. [Google Scholar] [CrossRef]
- Moholdt, G.; Nuth, C.; Hagen, J.O.; Kohler, J. Recent elevation changes of Svalbard glaciers derived from ICESat laser altimetry. Remote Sens. Environ. 2010, 114, 2756–2767. [Google Scholar] [CrossRef]
- Berthier, E.; Schiefer, E.; Clarke, G.K.; Menounos, B.; Rémy, F. Contribution of Alaskan glaciers to sea-level rise derived from satellite imagery. Nat. Geosci. 2010, 3, 92–95. [Google Scholar] [CrossRef]
- Pieczonka, T.; Bolch, T.; Junfeng, W.; Shiyin, L. Heterogeneous mass loss of glaciers in the Aksu-Tarim catchment (central Tien Shan) revealed by 1976 kh-9 hexagon and 2009 SPOT-5 stereo imagery. Remote Sens. Environ. 2013, 130, 233–244. [Google Scholar] [CrossRef]
- Gardelle, J.; Berthier, E.; Arnaud, Y.; Kääb, A. Region-wide glacier mass balances over the Pamir-Karakoram-Himalaya during 1999–2011. Cryosphere 2013, 7, 1263–1286. [Google Scholar] [CrossRef]
- Nuimura, T.; Fujita, K.; Yamaguchi, S.; Sharma, R.R. Elevation changes of glaciers revealed by multitemporal digital elevation models calibrated by GPS survey in the Khumbu region, Nepal Himalaya, 1992–2008. J. Glaciol. 2012, 58, 648–656. [Google Scholar] [CrossRef]
- Willis, M.J.; Melkonian, A.K.; Pritchard, M.E.; Rivera, A. Ice loss from the Southern Patagonian Ice Field, South America, between 2000 and 2012. Geophys. Res. Lett. 2012, 39. [Google Scholar] [CrossRef]
- Melkonian, A.; Willis, M.; Pritchard, M.; Rivera, A.; Bown, F.; Bernstein, S. Satellite-derived volume loss rates and glacier speeds for the Cordillera Darwin Icefield, Chile. Cryosphere 2013, 7, 823–839. [Google Scholar] [CrossRef]
- Purdie, H.; Anderson, B.; Chinn, T.; Owens, I.; Mackintosh, A.; Lawson, W. Franz Josef and Fox Glaciers, New Zealand: Historic length records. Glob. Planet. Chang. 2014, 121, 41–52. [Google Scholar] [CrossRef]
- Schenk, T.; Csatho, B. A new methodology for detecting ice sheet surface elevation changes from laser altimetry data. IEEE Trans. Geosci. Remote Sens. 2012, 50, 3302–3316. [Google Scholar] [CrossRef]
- Schenk, T.; Csatho, B.; van der Veen, C.; McCormick, D. Fusion of multi-sensor surface elevation data for improved characterization of rapidly changing outlet glaciers in Greenland. Remote Sens. Environ. 2014, 149, 239–251. [Google Scholar] [CrossRef]
- Csatho, B.M.; Schenk, A.F.; van der Veen, C.J.; Babonis, G.; Duncan, K.; Rezvanbehbahani, S.; van den Broeke, M.R.; Simonsen, S.B.; Nagarajan, S.; van Angelen, J.H. Laser altimetry reveals complex pattern of Greenland ice sheet dynamics. Proc. Natl. Acad. Sci. USA 2014, 111, 18478–18483. [Google Scholar] [CrossRef] [PubMed]
- Chinn, T.J.; Kargel, J.S.; Leonard, G.J.; Haritashya, U.K.; Pleasants, M. New Zealand’s glaciers. In Global Land Ice Measurements from Space; Kargel, J.S., Leonard, G.J., Bishop, M.P., Kääb, A., Raup, B.H., Eds.; Springer-Verlag: Berlin/Heidelberg, Germany, 2014; pp. 675–715. [Google Scholar]
- Anderson, B.; Lawson, W.; Owens, I.; Goodsell, B. Past and future mass balance of 'Ka Roimata o Hine Hukatere' Franz Josef Glacier, New Zealand. J. Glaciol. 2006, 52, 597–607. [Google Scholar] [CrossRef]
- Anderson, B.; Mackintosh, A. Temperature change is the major driver of late-glacial and holocene glacier fluctuations in New Zealand. Geology 2006, 34, 121–124. [Google Scholar] [CrossRef]
- Anderson, B.; Lawson, W.; Owens, I. Response of Franz Josef Glacier Ka Roimata o Hine Hukatere to climate change. Glob. Planet. Chang. 2008, 63, 23–30. [Google Scholar] [CrossRef]
- Purdie, H.L.; Brook, M.S.; Fuller, I.C. Seasonal variation in ablation and surface velocity on a temperate maritime Glacier: Fox Glacier, New Zealand. Arctic Antarct. Alp. Res. 2008, 40, 140–147. [Google Scholar] [CrossRef]
- Oerlemans, J. Climate sensitivity of Franz Josef Glacier, New Zealand, as revealed by numerical modeling. Arctic Alp. Res. 1997, 29, 233–239. [Google Scholar] [CrossRef]
- Herman, F.; Anderson, B.; Leprince, S. Mountain glacier velocity variation during a retreat/advance cycle quantified using sub-pixel analysis of ASTER images. J. Glaciol. 2011, 57, 197–207. [Google Scholar] [CrossRef]
- Chinn, T.; Winkler, S.; Salinger, M.J.; Haakensen, N.S. Recent glacier advances in Norway and New Zealand: A comparison of their glaciological and meteorological causes. Geogr. Ann. Ser. A-Phys. Geogr. 2005, 87, 141–157. [Google Scholar] [CrossRef]
- Rabus, B.; Eineder, M.; Roth, A.; Bamler, R. The shuttle radar topography mission—A new class of digital elevation models acquired by spaceborne radar. ISPRS J. Photogramm. Remote Sens. 2003, 57, 241–262. [Google Scholar] [CrossRef]
- Nuth, C.; Kääb, A. Co-registration and bias corrections of satellite elevation data sets for quantifying glacier thickness change. Cryosphere 2011, 5, 271–290. [Google Scholar] [CrossRef]
- Rodriguez, E.; Morris, C.S.; Belz, J.E. A global assessment of the SRTM performance. Photogramm. Eng. Remote Sens. 2006, 72, 249–260. [Google Scholar] [CrossRef]
- Pfeffer, W.; Arendt, A.A.; Bliss, A.; Bolch, T.; Cogley, J.G.; Gardner, A.S.; Hagen, J.O.; Hock, R.; Kaser, G.; Kienholz, C.; et al. The Randolph Glacier Inventory: A globally complete inventory of glaciers. J. Glaciol. 2014, 60, 537–552. [Google Scholar] [CrossRef]
- Abrams, M. The advanced spaceborne thermal emission and reflection radiometer (ASTER): Data products for the high spatial resolution imager on NASA's Terra platform. Int. J. Remote Sens. 2000, 21, 847–859. [Google Scholar] [CrossRef]
- Gjermundsen, E.; Mathieu, R.; Kääb, A.; Chinn, T.; Fitzharris, B.; Hagen, J. Assessment of multispectral glacier mapping methods and derivation of glacier area changes, 1978–2002, in the central Southern Alps, New Zealand, from ASTER satellite data, field survey and existing inventory data. J. Glaciol. 2011, 57, 667–683. [Google Scholar] [CrossRef]
- Gardner, A.; Moholdt, G.; Arendt, A.; Wouters, B. Accelerated contributions of Canada’s Baffin and Bylot Island glaciers to sea level rise over the past half century. Cryosphere 2012, 6, 1103–1125. [Google Scholar] [CrossRef]
- Höhle, J.; Höhle, M. Accuracy assessment of digital elevation models by means of robust statistical methods. ISPRS J. Photogramm. Remote Sens. 2009, 64, 398–406. [Google Scholar] [CrossRef]
- Fischler, M.A.; Bolles, R.C. Random sample consensus: A paradigm for model fitting with applications to image analysis and automated cartography. Commun. ACM 1981, 24, 381–395. [Google Scholar] [CrossRef]
- Berthier, E.; Vincent, C.; Magnússon, E.; Gunnlaugsson, Á.; Pitte, P.; le Meur, E.; Masiokas, M.; Ruiz, L.; Pálsson, F.; Belart, J. Glacier topography and elevation changes derived from Pléiades sub-meter stereo images. Cryosphere 2014, 8, 2275–2291. [Google Scholar] [CrossRef]
- Lundgren, J. Splinefit, MATLAB Central File Exchange. Available online: http://www.mathworks.com/matlabcentral/fileexchange/13812-splinefit (accessed on 4 August 2015).
- De Boor, C. A Practical Guide to Splines; Springer-Verlag: New York, NY, USA, 1978. [Google Scholar]
- Grohman, G.; Kroenung, G.; Strebeck, J. Filling SRTM voids: The delta surface fill method. Photogramm. Eng. Remote Sens. 2006, 72, 213–216. [Google Scholar]
- Rolstad, C.; Haug, T.; Denby, B. Spatially integrated geodetic glacier mass balance and its uncertainty based on geostatistical analysis: Application to the Western Svartisen ice cap, Norway. J. Glaciol. 2009, 55, 666–680. [Google Scholar] [CrossRef]
- Gardelle, J.; Berthier, E.; Arnaud, Y. Impact of resolution and radar penetration on glacier elevation changes computed from dem differencing. J. Glaciol. 2012, 58, 419–422. [Google Scholar] [CrossRef]
- Fischer, A. Comparison of direct and geodetic mass balances on a multiannual time scale. Cryosphere 2011, 5, 107–124. [Google Scholar] [CrossRef]
- Helfricht, K.; Kuhn, M.; Keuschnig, M.; Heilig, A. Lidar snow cover studies on glaciers in the Ötztal Alps (Austria): comparison with snow depths calculated from GPR measurements. Cryosphere 2014, 8, 41–57. [Google Scholar] [CrossRef]
- Willsman, A.P.; Chinn, T.; Lorrey, A. New Zealand Glacier Monitoring: End of Summer Snowline Survey 2013; NIWA Report; CHC2014–022; NIWA: Christchurch, New Zealand, 2014. [Google Scholar]
© 2015 by the authors; licensee MDPI, Basel, Switzerland. This article is an open access article distributed under the terms and conditions of the Creative Commons Attribution license (http://creativecommons.org/licenses/by/4.0/).
Share and Cite
Wang, D.; Kääb, A. Modeling Glacier Elevation Change from DEM Time Series. Remote Sens. 2015, 7, 10117-10142. https://doi.org/10.3390/rs70810117
Wang D, Kääb A. Modeling Glacier Elevation Change from DEM Time Series. Remote Sensing. 2015; 7(8):10117-10142. https://doi.org/10.3390/rs70810117
Chicago/Turabian StyleWang, Di, and Andreas Kääb. 2015. "Modeling Glacier Elevation Change from DEM Time Series" Remote Sensing 7, no. 8: 10117-10142. https://doi.org/10.3390/rs70810117
APA StyleWang, D., & Kääb, A. (2015). Modeling Glacier Elevation Change from DEM Time Series. Remote Sensing, 7(8), 10117-10142. https://doi.org/10.3390/rs70810117

