An Algorithm for Surface Current Retrieval from X-band Marine Radar Images
Abstract
:1. Introduction
2. The PCS Current Algorithm
2.1. Generating Image Spectrum
2.2. Extracting the Dispersion Shell
- In order to eliminate the non-stationary and non-homogeneous trends in the sub-image sequence, a high-pass (HP) filter is first applied to I0(kx, ky, ω). The output of this HP filter can be described as:where the cut-off frequency is usually taken as ωcut = 0.03 × 2π radian/s [13].
 - For every pair of (kxp, kyq), p, q = 1, 2, …, 256, in the wavenumber plane of the 3-D image spectrum, there exists a column vector along the angular frequency (ω) axis that can be denoted by I1(kxp, kyq, ω). If the maximum energy of this vector is lower than a threshold , defined by , all data points within the vector are excluded from further processing, i.e.,This process eliminates possible interference from low-energy background noise spikes and reduces the number of iterations required in subsequent steps. If the threshold is too high, many spectral points corresponding to the wave contribution may be lost. If it is too low, points associated with noise may be included in the subsequent processing. is an appropriate choice.
 - Again, for a certain column vector along the angular frequency axis in the spectrum I2(kxp, kyq, ω), only one frequency point, ωj, is associated with the ocean wave component, i.e., locates on the dispersion shell. To determine this ωj, all energy peaks within the vector are identified by examining the derivative of each point. If only one prominent peak is detected (the criterion here being that no other peak reaches one third the energy of the main peak within the column vector), the corresponding ω is extracted as ωj; otherwise, ωj is set to zero. For instance, Figure 2 demonstrates how energy is distributed along angular frequency for two adjacent wave vectors. In the upper sub-figure, the only dominant peak appears at 71 out of all 128 frequency points, indicating that ωj = (71 − 0.5) · Δω, where Δω is the Fourier transform angular frequency resolution. The lower sub-figure, on the other hand, shows multiple irregular peaks, suggesting severe distortion caused by background noise or aliases. For this case, ωj is set to zero. Generally, we have:Finally, by grouping all extracted (kxp, kyq, ωj) together, a two-dimensional matrix, ω0(kx, ky), is constructed. The non-zero elements in this matrix (of size 256 × 256) can be viewed as a coarse estimation of the dispersion shell.
 
2.3. Converting to the Polar Current Shell
2.4. Determining Current Parameters
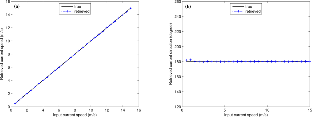
3. Simulation Results
4. Experimental Results
5. Conclusion
Acknowledgments
Author Contributions
Conflicts of Interest
References
- Young, I.R.; Rosenthal, W.; Ziemer, F. Three-dimensional analysis of marine radar images for the determination of ocean wave directionality and surface currents. J. Geophys. Res. 1985, 90, 681–682. [Google Scholar]
 - Ziemer, F. An instrument for the survey of the directionality of the ocean wave field, Proceedings of The WMO/IOC Workshop Operational Ocean Monitoring Using Surface-Based Radars, Geneva, Switzerland, 6–9 March 1995; pp. 81–87.
 - Plant, W.J. The modulation transfer function: Concept and applications. In Radar Scattering from Modulated Wind Waves; Komen, G.J., Oost, W.A., Eds.; Springer Netherlands: Berlin, Germany, 1989; pp. 155–172. [Google Scholar]
 - Lee, P.H.Y.; Barter, J.D.; Beach, K.L.; Hindman, C.L.; Lade, B.M.; Rungaldier, H.; Shelton, J.C.; Williams, A.B.; Yee, R.; Yuen, H.C. X band microwave backscattering from ocean waves. J. Geophys. Res. 1995, 95, 2591–2611. [Google Scholar]
 - Plant, W.J.; Keller, W.C. Evidence of Bragg scattering in microwave Doppler spectra of sea return. J. Geophys. Res. 1990, 95, 16299–16310. [Google Scholar]
 - Wenzel, L.B.; Electromagnetic, Scattering. from the Sea at Low Grazing Angles. In Surface Waves and Fluxes; Geernaert, G.L., Plant, W.J., Eds.; Kluwer: Norwell, MA, USA, 1990; pp. 41–108. [Google Scholar]
 - Gangeskar, R. Ocean current estimated from X-band radar sea surface images. IEEE Trans. Geosci. Remote Sens. 2002, 40, 783–792. [Google Scholar]
 - Senet, C.M.; Seemann, J.; Ziemer, F. The near-surface current velocity determined from image sequences of the sea surface. IEEE Trans. Geosci. Remote Sens. 2001, 39, 492–505. [Google Scholar]
 - Senet, C.M.; Seemann, J.; Flampouris, S.; Ziemer, F. Determination of bathymetric and current maps by the method DiSC based on the analysis of nautical X-band radar image sequences of the sea surface. IEEE Trans. Geosci. Remote Sens. 2007, 46, 2267–2279. [Google Scholar]
 - Serafino, F.; Lugni, C.; Soldovieri, F. A novel strategy for the surface current determination from marine X-Band radar data. IEEE Geosci. Remote Sens. Lett. 2010, 7, 231–235. [Google Scholar]
 - Huang, W.; Gill, E. Surface current measurement under low sea state using dual polarized X-band nautical radar. IEEE J. Sel. Top. Appl. Earth Obs. Remote Sens. 2012, 5, 1868–1873. [Google Scholar]
 - Tukey, J.W. An introduction to the calculations of numerical spectrum analysis. In Spectral Analysis of Time Series; Wiley: New York, NY, USA, 1967; pp. 25–46. [Google Scholar]
 - Nieto-Borge, J.C.; Guedes-Soares, C. Analysis of directional wave fields using X-band navigation radar. Coastal Eng. 2000, 40, 375–391. [Google Scholar]
 - Grubbs, F.E. Procedures for detecting outlying observations in samples. Technometrics 1969, 11, 1–10. [Google Scholar]
 - Shen, C.; Huang, W.; Gill, E. An alternative method for surface current extraction from X-band marine radar images, Proceeding of 2014 IEEE International Geosience and Remote Sensing Symposium (IGARSS), Quebec, QC, Canada, 13–18 July 2014; pp. 4370–4373.
 - Nomiyama, D.H.; Hirayama, T. Evaluation of marine radar as an ocean-wave-field detector through full numerical simulation. J. Marine Sci. Technol. 2003, 8, 88–98. [Google Scholar]
 - Huang, W.; Gill, E. Simulation analysis of sea surface current extraction from microwave nautical radar images, Proceedings of 2012 19th IEEE International Conference on Image Processing (ICIP), Orlando, FL, USA, 30 September–3 October 2012; pp. 2673–2676.
 - Nieto-Borge, J.C.; Rodriguez, R.G.; Hessner, K.; Gonzales, I.P. Inversion of marine radar images for surface wave analysis. J. Atmos. Ocean. Technol. 2004, 21, 1291–1300. [Google Scholar]
 










© 2015 by the authors; licensee MDPI, Basel, Switzerland This article is an open access article distributed under the terms and conditions of the Creative Commons Attribution license (http://creativecommons.org/licenses/by/4.0/).
Share and Cite
Shen, C.; Huang, W.; Gill, E.W.; Carrasco, R.; Horstmann, J. An Algorithm for Surface Current Retrieval from X-band Marine Radar Images. Remote Sens. 2015, 7, 7753-7767. https://doi.org/10.3390/rs70607753
Shen C, Huang W, Gill EW, Carrasco R, Horstmann J. An Algorithm for Surface Current Retrieval from X-band Marine Radar Images. Remote Sensing. 2015; 7(6):7753-7767. https://doi.org/10.3390/rs70607753
Chicago/Turabian StyleShen, Chengxi, Weimin Huang, Eric W. Gill, Ruben Carrasco, and Jochen Horstmann. 2015. "An Algorithm for Surface Current Retrieval from X-band Marine Radar Images" Remote Sensing 7, no. 6: 7753-7767. https://doi.org/10.3390/rs70607753
APA StyleShen, C., Huang, W., Gill, E. W., Carrasco, R., & Horstmann, J. (2015). An Algorithm for Surface Current Retrieval from X-band Marine Radar Images. Remote Sensing, 7(6), 7753-7767. https://doi.org/10.3390/rs70607753
        
                                                
