Comparative Assessment of Satellite-Retrieved Surface Net Radiation: An Examination on CERES and SRB Datasets in China
Abstract
:1. Introduction
2. Data and Methods
2.1. Ground-Measured Data

2.2. Satellite Data
2.3. Metrics for Accuracy Assessment
3. Result and Discussions

3.1. Overall Accuracy
3.2. Spatial Distribution of Errors in Surface Net Radiation


3.3. Temporal Variation of Errors in Surface Net Radiation
3.3.1. Intra-annual Variation

3.3.2. Inter-annual Variation



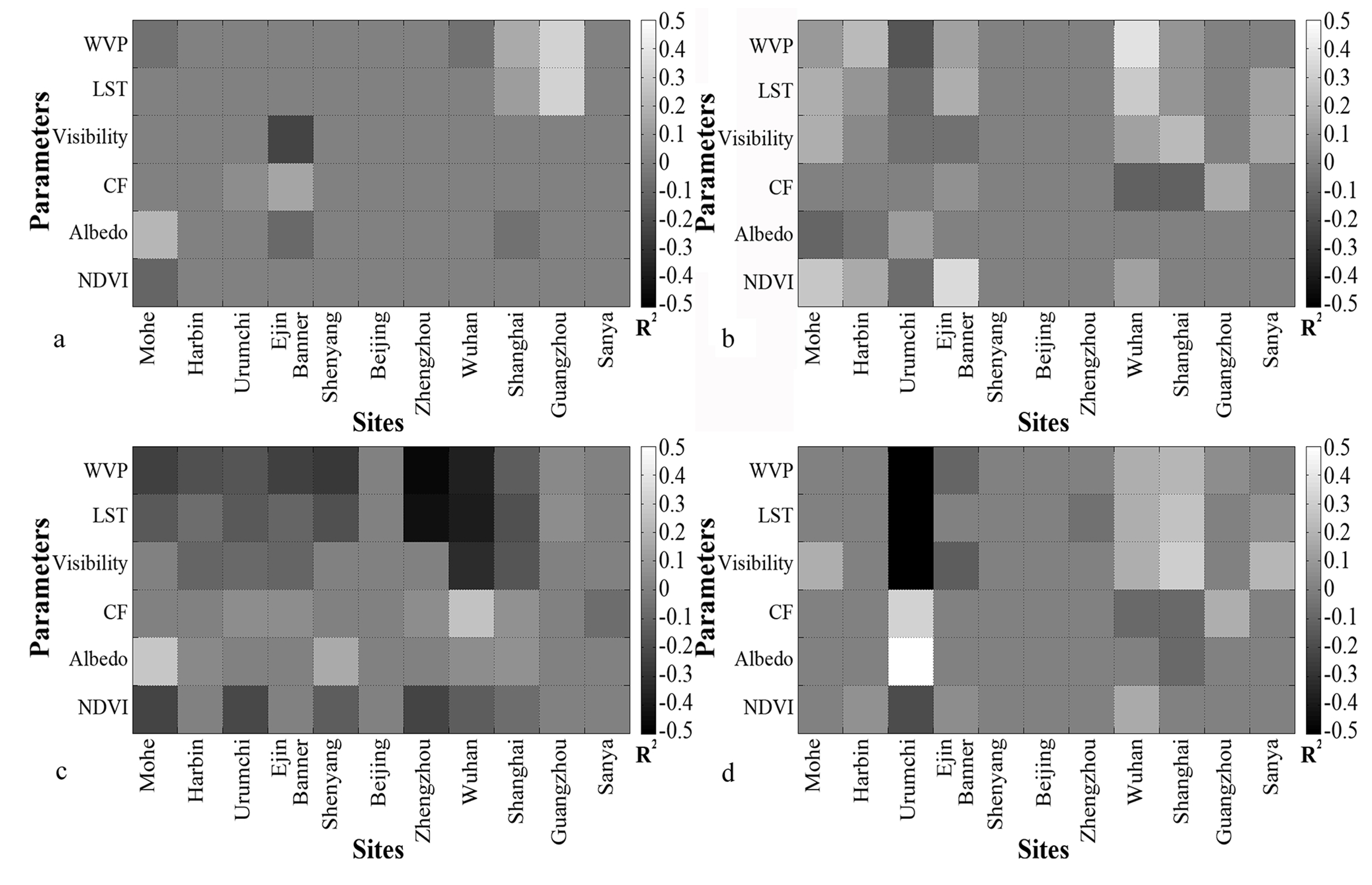
3.4. Error Sources in Surface Net Radiation
| Sites | CERES | SRB | ||||||
|---|---|---|---|---|---|---|---|---|
| NSW | NLW | NSW | NLW | |||||
| Absolute Error | Relative Contribution | Absolute Error | Relative Contribution | Absolute Error | Relative Contribution | Absolute Error | Relative Contribution | |
| (W/m2) | (%) | (W/m2) | (%) | (W/m2) | (%) | (W/m2) | (%) | |
| Mohe | 10.14 | 42 | 14.15 | 58 | 10.43 | 44 | 13.26 | 56 |
| Harbin | 16.28 | 60 | 10.74 | 40 | 18.69 | 51 | 17.95 | 49 |
| Urumchi | −0.01 | 0 | 18.11 | 100 | −0.89 | 51 | 0.85 | 49 |
| Ejin Banner | 16.69 | 39 | 26.22 | 61 | 8.57 | 34 | 16.30 | 66 |
| Shenyang | 17.25 | 87 | 2.64 | 13 | 19.00 | 64 | 10.67 | 36 |
| Beijing | 16.66 | 49 | 17.19 | 51 | 15.33 | 65 | 8.40 | 35 |
| Zhengzhou | 13.12 | 98 | 0.28 | 2 | 19.65 | 82 | −4.33 | 18 |
| Wuhan | 14.11 | 81 | −3.39 | 19 | 14.12 | 71 | −5.79 | 29 |
| Shanghai | 15.58 | 58 | 11.12 | 42 | 15.96 | 93 | −1.29 | 7 |
| Guangzhou | 24.95 | 59 | 17.30 | 41 | 18.41 | 100 | −0.03 | 0 |
| Sanya | 22.18 | 52 | 20.87 | 48 | 5.93 | 21 | 22.65 | 79 |
| Mean | 15.30 | 56 | 13.20 | 44 | 13.24 | 65 | 7.11 | 35 |


4. Conclusions
Acknowledgments
Author Contributions
Conflicts of Interest
References
- Gui, S.; Liang, S.; Li, L. Validation of surface radiation data provided by the CERES over the Tibetan Plateau. In Proceedings of the 17th International Conference on Geoinformatics, Fairfax, VA, USA, 12–14 August 2009; pp. 1–6.
- Shi, Q.; Liang, S. Characterizing the surface radiation budget over the Tibetan Plateau with ground-measured, reanalysis, and remote sensing data sets: 1. Methodology. J. Geophys. Res.: Atmos. 2013, 118, 9642–9657. [Google Scholar] [CrossRef]
- Denmead, O.T.; Fritschen, L.J.; Shaw, R.H. Spatial distribution of net radiation in a corn field. Agron. J. 1962, 54, 505–510. [Google Scholar] [CrossRef]
- Federer, C.A. Spatial variation of net radiation, albedo and surface temperature of forests. J. Appl. Meteorol. 1968, 7, 789–795. [Google Scholar] [CrossRef]
- Idso, S.B.; Aase, J.K.; Jackson, R.D. Net radiation—Soil heat flux relations as influenced by soil water content variations. Bound. Layer Meteorol. 1975, 9, 113–122. [Google Scholar] [CrossRef]
- Shelton, M.L. Hydroclimatology: Perspectives and Applications; Cambridge University Press: Cambridge, UK, 2009; pp. 38–50. [Google Scholar]
- Tang, W.; Yang, K.; He, J.; Qin, J. Quality control and estimation of global solar radiation in China. Sol. Energy 2010, 84, 466–475. [Google Scholar] [CrossRef]
- Gilgen, H.; Ohmura, A. The global energy balance archive. Bull. Am. Meteorol. Soc. 1999, 80, 831–850. [Google Scholar] [CrossRef]
- Ohmura, A.; Gilgen, H.; Hegner, H.; Müller, G.; Wild, M.; Dutton, E.G.; Forgan, B.; Fröhlich, C.; Philipona, R.; Heimo, A.; et al. Baseline Surface Radiation Network (BSRN/WCRP): New precision radiometry for climate research. Bull. Am. Meteorol. Soc. 1998, 79, 2115–2136. [Google Scholar]
- Augustine, J.A.; de Luisi, J.J.; Long, C.N. SURFRAD—A national surface radiation budget network for atmospheric research. Bull. Am. Meteorol. Soc. 2000, 81, 2341–2357. [Google Scholar] [CrossRef]
- Baldocchi, D.; Falge, E.; Gu, L.; Olson, R.; Hollinger, D.; Running, S.; Anthoni, P.; Bernhofer, C.; Davis, K.; Evans, R.; et al. FLUXNET: A new tool to study the temporal and spatial variability of ecosystem-scale carbon dioxide, water vapor, and energy flux densities. Bull. Am. Meteorol. Soc. 2001, 82, 2415–2434. [Google Scholar]
- Zhang, Y.; Long, C.N.; Rossow, W.B.; Dutton, E.G. Exploiting diurnal variations to evaluate the ISCCP-FD flux calculations and radiative-flux-analysis-processed surface observations from BSRN, ARM, and SURFRAD. J. Geophys. Res.: Atmos. 2010. [Google Scholar] [CrossRef]
- Gilgen, H.; Wild, M.; Ohmura, A. Means and trends of shortwave irradiance at the surface estimated from global energy balance archive data. J. Clim. 1998, 11, 2042–2061. [Google Scholar] [CrossRef]
- Gui, S. Satellite Remote Sensing of Surface Net Radiation. Ph.D. Thesis, Wuhan University, Wuhan, China, 2010. [Google Scholar]
- Liang, S. Quantitative Remote Sensing of Land Surfaces; John Wiley & Sons: Hoboken, NJ, USA, 2005. [Google Scholar]
- Cox, S.J.; Stackhouse, P.W., Jr.; Gupta, S.K.; Mikovitz, J.C.; Zhang, T.; Hinkelman, L.M.; Wild, M.; Ohmura, A. The NASA/GEWEX surface radiation budget project: Overview and analysis. In Proceedings of the 12th Conference on Atmospheric Radiation, Madison, WI, USA, 10–14 July 2006.
- Wielicki, B.A.; Barkstrom, B.R.; Baum, B.A.; Charlock, T.P.; Green, R.N.; Kratz, D.P.; Lee, R.B.I.; Minnis, P.; Smith, G.L.; Wong, T.; et al. Clouds and the Earth’s Radiant Energy System (CERES): Algorithm overview. IEEE Trans. Geosci. Remote Sens. 1998, 36, 1127–1141. [Google Scholar] [CrossRef]
- Zhang, Y.; Rossow, W.B.; Lacis, A.A.; Oinas, V.; Mishchenko, M.I. Calculation of radiative fluxes from the surface to top of atmosphere based on ISCCP and other global data sets: Refinements of the radiative transfer model and the input data. J. Geophys. Res.: Atmos. 2004. [Google Scholar] [CrossRef]
- Lin, B.; Stackhouse, P.W., Jr.; Minnis, P.; Wielicki, B.A.; Hu, Y.; Sun, W.; Fan, T.; Hinkelman, L.M. Assessment of global annual atmospheric energy balance from satellite observations. J. Geophys. Res.: Atmos. 2008. [Google Scholar] [CrossRef]
- Yang, K.; Koike, T.; Stackhouse, P.W., Jr.; Mikovitz, C.; Cox, S.J. An assessment of satellite surface radiation products for highlands with Tibet instrumental data. Geophys. Res. Let. 2006. [Google Scholar] [CrossRef]
- Hinkelman, L.M.; Stackhouse, P.W.; Wielicki, B.A.; Zhang, T.; Wilson, S.R. Surface insolation trends from satellite and ground measurements: Comparisons and challenges. J. Geophys. Res.: Atmos. 2009. [Google Scholar] [CrossRef]
- Yang, K.; He, J.; Tang, W.; Qin, J.; Cheng, C.C.K. On downward shortwave and longwave radiations over high altitude regions: Observation and modeling in the Tibetan Plateau. Agric. For. Meteorol. 2010, 150, 38–46. [Google Scholar] [CrossRef]
- Stackhouse, P.W., Jr.; Gupta, S.K.; Cox, S.J.; Zhang, T.; Mikovitz, J.C.; Hinkelman, L.M. 24.5-year SRB data set released. GEWEX News 2011, 21, 10–12. [Google Scholar]
- Kato, S.; Loeb, N.G.; Rutan, D.A.; Rose, F.G.; Sun-Mack, S.; Miller, W.F.; Chen, Y. Uncertainty estimate of surface irradiances computed with MODIS-, CALIPSO-, and CloudSat-derived cloud and aerosol properties. Surv. Geophys. 2012, 33, 395–412. [Google Scholar] [CrossRef]
- Kato, S.; Loeb, N.G.; Rose, F.G.; Doelling, D.R.; Rutan, D.A.; Caldwell, T.E.; Yu, L.; Weller, R.A.. Surface irradiances consistent with CERES-derived top-of-atmosphere shortwave and longwave irradiances. J. Clim. 2013, 26, 2719–2740. [Google Scholar]
- Koster, R.D.; Fekete, B.M.; Huffman, G.J.; Stackhouse, P.W., Jr. Revisiting a hydrological analysis framework with International Satellite Land Surface Climatology Project Initiative 2 rainfall, net radiation, and runoff fields. J. Geophys. Res.: Atmos. 2006. [Google Scholar] [CrossRef]
- Miralles, D.G.; Holmes, T.R.H.; de Jeu, R.A.M.; Gash, J.H.; Meesters, A.G.C.A.; Dolman, A.J. Global land-surface evaporation estimated from satellite-based observations. Hydrol. Earth Syst. Sci. Discuss. 2010, 7, 8479–8519. [Google Scholar] [CrossRef]
- Vinukollu, R.K.; Wood, E.F.; Ferguson, C.R.; Fisher, J.B. Global estimates of evapotranspiration for climate studies using multi-sensor remote sensing data: Evaluation of three process-based approaches. Remote Sens. Environ. 2011, 115, 801–823. [Google Scholar] [CrossRef]
- Wu, F.; Fu, C. Assessment of GEWEX/SRB version 3.0 monthly global radiation dataset over China. Meteorol. Atmos. Phys. 2011, 112, 155–166. [Google Scholar]
- Xia, X.A.; Wang, P.C.; Chen, H.B.; Liang, F. Analysis of downwelling surface solar radiation in China from National Centers for Environmental Prediction reanalysis, satellite estimates, and surface observations. J. Geophys. Res.: Atmos. 2006. [Google Scholar] [CrossRef]
- Xu, J.; Masuda, K.; Ishigooka, Y.; Kuwagata, T.; Haginoya, S.; Hayasaka, T.; Yasunar, T. Estimation and verification of daily surface shortwave flux over China. J. Meteorol. Soc. Jpn. 2011, 89, 225–238. [Google Scholar] [CrossRef]
- Ma, Y.Z.; Liu, X.N.; Xu, S. The description of Chinese radiation data and their quality control procedures. Meteorol. Sci. 1998, 2, 53–56. [Google Scholar]
- Shi, G.Y.; Hayasaka, T.; Ohmura, A.; Chen, Z.H.; Wang, B.; Zhao, J.Q.; Che, H.Z.; Xu, L. Data Quality Assessment and the Long-Term Trend of Ground Solar Radiation in China. J. Appl. Meteorol. Climatol. 2008, 47, 1006–1016. [Google Scholar]
- Stackhouse, P.W., Jr.; SJ, C.; Chiacchio, M.; Mikovitz, J. The WCRP/GEWEX Surface Radiation Budget Project Release 2: An Assessment of Surface Fluxes at 1 Degree Resolution; NASA Langley Technical Report; NASA: Washington, DC, USA, 2000. [Google Scholar]
- Gupta, S.K.; Ritchey, N.A.; Wilber, A.C.; Whitlock, C.H.; Gibson, G.G.; Stackhouse, P.W., Jr. A climatology of surface radiation budget derived from satellite data. J. Clim. 1999, 12, 2691–2710. [Google Scholar] [CrossRef]
- Gupta, S.K.; Stackhouse, P.W., Jr.; Cox, S.J.; Mikovitz, J.C.; Zhang, T. Surface radiation budget project completes 22-year data set. GEWEX News 2006, 16, 12–13. [Google Scholar]
- Smith, G.L.; Priestley, K.J.; Loeb, N.G.; Wielickia, B.A.; Charlocka, T.P.; Minnisa, P.; Doellinga, D.R.; Rutanb, D.A. Clouds and Earth Radiant Energy System (CERES), a review: Past, present and future. Adv. Sp. Res. 2011, 48, 254–263. [Google Scholar] [CrossRef]
- Staylor, W.F.; Wilber, A.C. Global surface albedos estimated from ERBE data. In Proceedings of the AMS Conference on Atmospheric Radiation, San Francisco, CA, USA, 23–27 July 1990; pp. 231–236.
- Pinker, R.T.; Ewing, J.A. Modeling surface solar radiation: Model formulation and validation. J. Clim. Appl. Meteorol. 1985, 24, 389–401. [Google Scholar] [CrossRef]
- Pinker, R.T.; Laszlo, I. Modeling surface solar irradiance for satellite applications on a global scale. J. Appl. Meteorol. 1992, 31, 194–211. [Google Scholar] [CrossRef]
- Fu, Q.; Liou, K.N.; Cribb, M.C.; Charlock, T.P.; Grossman, A. Multiple scattering parameterization in thermal infrared radiative transfer. J. Atmos. Sci. 1997, 54, 2799–2812. [Google Scholar] [CrossRef]
- Li, Z.; Leighton, H.G.; Masuda, K.; Takashima, T. Estimation of SW flux absorbed at the surface from TOA reflected flux. J. Clim. 1993, 6, 317–330. [Google Scholar] [CrossRef]
- Gupta, S.K. A parameterization for longwave surface radiation from sun-synchronous satellite data. J. Clim. 1989, 2, 305–320. [Google Scholar] [CrossRef]
- Gupta, S.K.; Darnell, W.L.; Wilber, A.C. A parameterization for longwave surface radiation from satellite data: Recent improvements. J. Appl. Meteorol. 1992, 31, 1361–1367. [Google Scholar] [CrossRef]
- Qin, S.; Shi, G.; Chen, L.; Wang, B.; Zhao, J.; Yu, C.; Yang, S. Long-term variation of aerosol optical depth in China based on meteorological horizontal visibility observations. Chin. J. Atmos. Sci. 2010, 34, 449–456. [Google Scholar]
- Bevis, M.; Businger, S.; Herring, T.A.; Rocken, C.; Anthes, R.A.; Ware, R.H. GPS meteorology: Remote sensing of atmospheric water vapor using the Global Positioning System. J. Geophys. Res.: Atmos. 1992, 97, 15787–15801. [Google Scholar] [CrossRef]
- Zhang, Y.; Rossow, W.B.; Stackhouse, P.W., Jr. Comparison of different global information sources used in surface radiative flux calculation: Radiative properties of the near-surface atmosphere. J. Geophys. Res.: Atmos. 2006. [Google Scholar] [CrossRef]
- Zhang, Y.; Rossow, W.B.; Stackhouse, P.W., Jr. Comparison of different global information sources used in surface radiative flux calculation: Radiative properties of the surface. J. Geophys. Res.: Atmos. 2007. [Google Scholar] [CrossRef]
- Duan, J.; Liu, Y. Variation and trends of cloud amount in china over past 20 years. Meteorol. Sci. Technol. 2011, 39, 280–288. [Google Scholar]
- Staley, D.O.; Jurica, G.M. Effective atmospheric emissivity under clear skies. J. Appl. Meteorol. 1972, 11, 349–356. [Google Scholar] [CrossRef]
- Yang, J.; Qiu, J. Method for estimating precipitable water and effective water vapor content from ground humidity parameters. Chin. J. Atmos. Sci. 2002, 1, 9–22. [Google Scholar]
- Rossow, W.B.; Schiffer, R.A. Advances in understanding clouds from ISCCP. Bull. Am. Meteorol. Soc. 1999, 80, 2261–2287. [Google Scholar] [CrossRef]
- Bloom, S.; Da Silva, A.; Dee, D.; Bosilovich, M.; Chern, J.D.; Pawson, S.; Wu, M.L. Documentation and Validation of the Goddard Earth Observing System (GEOS) Data Assimilation System-Version 4; NASA Technical Report; NASA Goddard Space Flight Center: Greenbelt, MD, USA, 2005; Volume 26, p. 187. [Google Scholar]
- Wilber, A.C.; Kratz, D.P.; Gupta, S.K. Surface Emissivity Maps for Use in Satellite Retrievals of Longwave Radiation; National Aeronautics and Space Administration, Langley Research Center: Hampton, VA, USA, 1999. [Google Scholar]
- CERES. CERES_EBAF-Surface_Ed2.8 Data Quality Summary. Available online: http://ceres.larc.nasa.gov/documents/DQ_summaries/CERES_EBAF-Surface_Ed2.8_DQS.pdf (accessed on 16 April 2015).
- Van de Griend, A.A.; Owe, M. On the relationship between thermal emissivity and the normalized difference vegetation index for natural surfaces. Int. J. Remote Sens. 1993, 14, 1119–1131. [Google Scholar] [CrossRef]
- Nagol, J.R.; Vermote, E.F.; Prince, S.D. Effects of atmospheric variation on AVHRRNDVI data. Remote Sens. Environ. 2009, 113, 392–397. [Google Scholar] [CrossRef]
- Hakuba, M.Z.; Folini, D.; Sanchez-Lorenzo, A.; Wild, M. Spatial representativeness of ground-based solar radiation measurements. J. Geophys. Res.: Atmos. 2013, 118, 8585–8597. [Google Scholar] [CrossRef]
- Suttles, J.T.; Ohring, G. Surface Radiation Budget for Climate Applications; NASA Reference Publication 1169; NASA: Washington, DC, USA, 1986. [Google Scholar]
- Kopp, G.; Lean, J.L. A new, lower value of total solar irradiance: Evidence and climate significance. Geophys. Res. Lett. 2011. [Google Scholar] [CrossRef]
- Morstad, D.L.; Doelling, D.R.; Bhatt, R.; Scarino, B. The CERES calibration strategy of the geostationary visible channels for CERES cloud and flux products. Proc. SPIE 2011, 8153. [Google Scholar] [CrossRef]
- Kato, S.; Rose, F.G.; Sun-Mack, S.; Miller, W.F.; Chen, Y.; Rutan, D.A.; Stephens, G.L.; Loeb, N.G.; Minnis, P.; Wielicki, B.A.; et al. Improvements of top-of-atmosphere and surface irradiance computations with CALIPSO-, CloudSat-, and MODIS-derived cloud and aerosol properties. J. Geophys. Res.: Atmos. 2011. [Google Scholar] [CrossRef]
© 2015 by the authors; licensee MDPI, Basel, Switzerland. This article is an open access article distributed under the terms and conditions of the Creative Commons Attribution license (http://creativecommons.org/licenses/by/4.0/).
Share and Cite
Pan, X.; Liu, Y.; Fan, X. Comparative Assessment of Satellite-Retrieved Surface Net Radiation: An Examination on CERES and SRB Datasets in China. Remote Sens. 2015, 7, 4899-4918. https://doi.org/10.3390/rs70404899
Pan X, Liu Y, Fan X. Comparative Assessment of Satellite-Retrieved Surface Net Radiation: An Examination on CERES and SRB Datasets in China. Remote Sensing. 2015; 7(4):4899-4918. https://doi.org/10.3390/rs70404899
Chicago/Turabian StylePan, Xin, Yuanbo Liu, and Xingwang Fan. 2015. "Comparative Assessment of Satellite-Retrieved Surface Net Radiation: An Examination on CERES and SRB Datasets in China" Remote Sensing 7, no. 4: 4899-4918. https://doi.org/10.3390/rs70404899
APA StylePan, X., Liu, Y., & Fan, X. (2015). Comparative Assessment of Satellite-Retrieved Surface Net Radiation: An Examination on CERES and SRB Datasets in China. Remote Sensing, 7(4), 4899-4918. https://doi.org/10.3390/rs70404899

