Remote Sensing of Epibenthic Shellfish Using Synthetic Aperture Radar Satellite Imagery
Abstract
:1. Introduction
2. Materials and Methods
2.1. Study Areas
2.2. SAR Imagery Acquisition and Preprocessing

| Ground Truth Date and Sample Size n | Satellite/Band | Image Date and Time | Image Type | Image Resolution (m) | Center (Lat/Lon, Degrees) | Incidence Angle (Degrees) | Polarization | Pass Direction | Water Height (m AOD *) | Tidal Stage | Wind Direction (Degrees) | Wind Speed (m/s) |
|---|---|---|---|---|---|---|---|---|---|---|---|---|
| Schiermonnikoog | ||||||||||||
| 24 August 2012 (n = 31) and 30 October 2012 (n = 26) | TSX/X | 8 May 2012 17:18 | Strip-map | 3 | 53.46/6.20 | 39.75 | VV/VH | Ascending | −0.41 | outgoing | 328 | 7.8 |
| RS2/C | 23 May 2012 5:53 | SLC | 25 | 53.08/6.51 | 33.84 | HH/HV | Descending | −1.34 | low | 56 | 6.8 | |
| Texel | ||||||||||||
| 18 September 2012 (n = 25) & 17 October 2012 (n = 15) | TSX/X | 30 March 2012 17:27 | Strip-map | 3 | 53.08/4.87 | 42.71 | VV/VH | Ascending | −0.68 | outgoing | 310 | 7.8 |
| RS2/C | 27 July 2012 5:57 | SLC | 25 | 53.07/5.47 | 33.84 | HH/HV | Descending | −0.69 | outgoing | 54 | 5.3 | |
| Galgenplaat | ||||||||||||
| 4 October 2012 (n = 10) | TSX/X | 18 April 2012 6:00 | Strip-map | 3 | 51.59/3.98 | 38.79 | VV/VH | Descending | −0.42 | outgoing | 166 | 7 |
| RS2/C | 2 June 2012 6:01 | SLC | 25 | 51.62/3.95 | 33.86 | HH/HV | Descending | −0.82 | outgoing | 57 | 3.6 | |
2.3. In Situ Surface Roughness Measurements
2.4. Effect of Shellfish Species and Cover on Surface Roughness and Backscatter
2.5. Shellfish Backscatter Modelling and Mapping

2.6. Comparing Shellfish Maps from SAR with Traditional Field Surveys
3. Results and Discussion
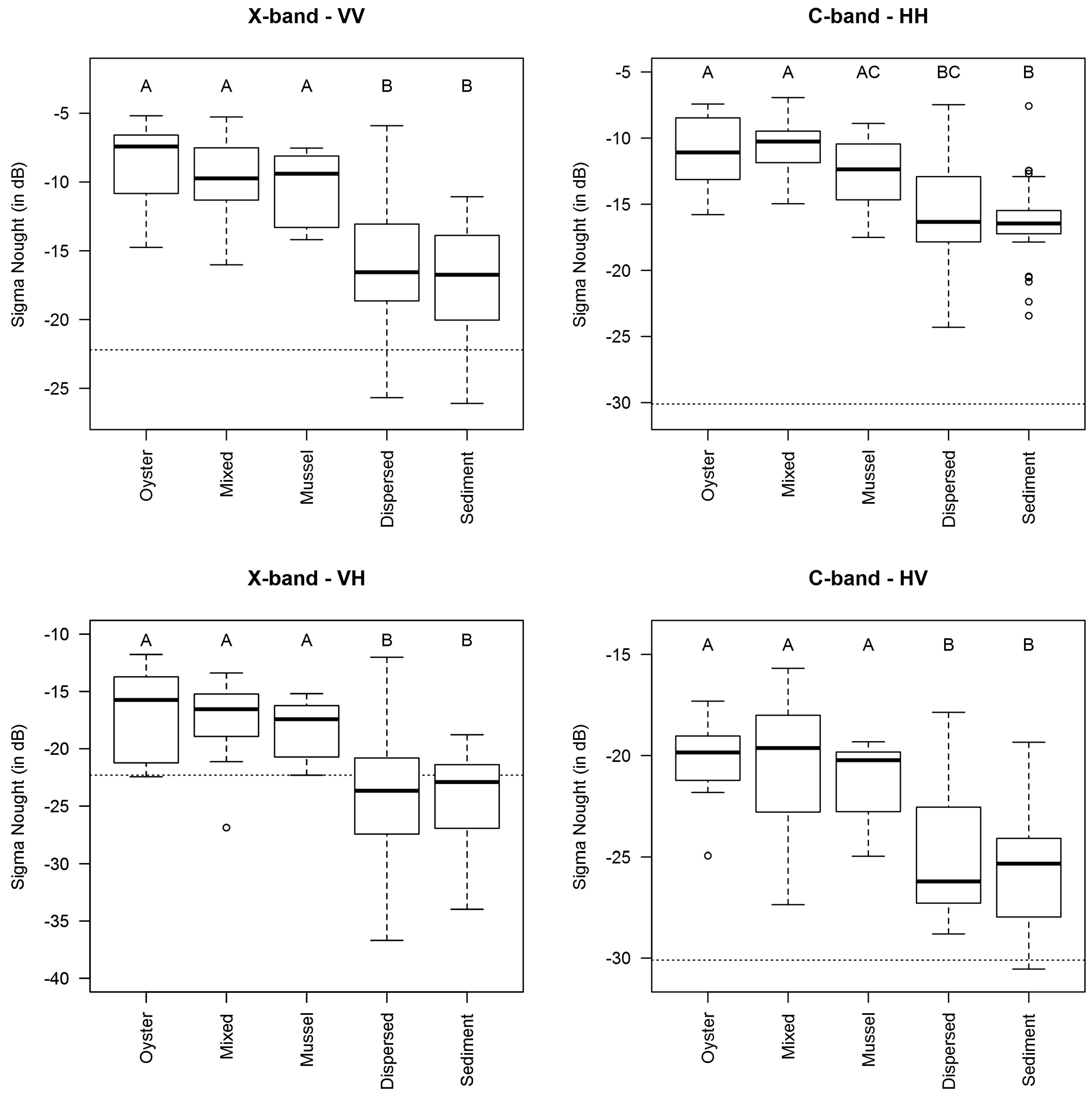
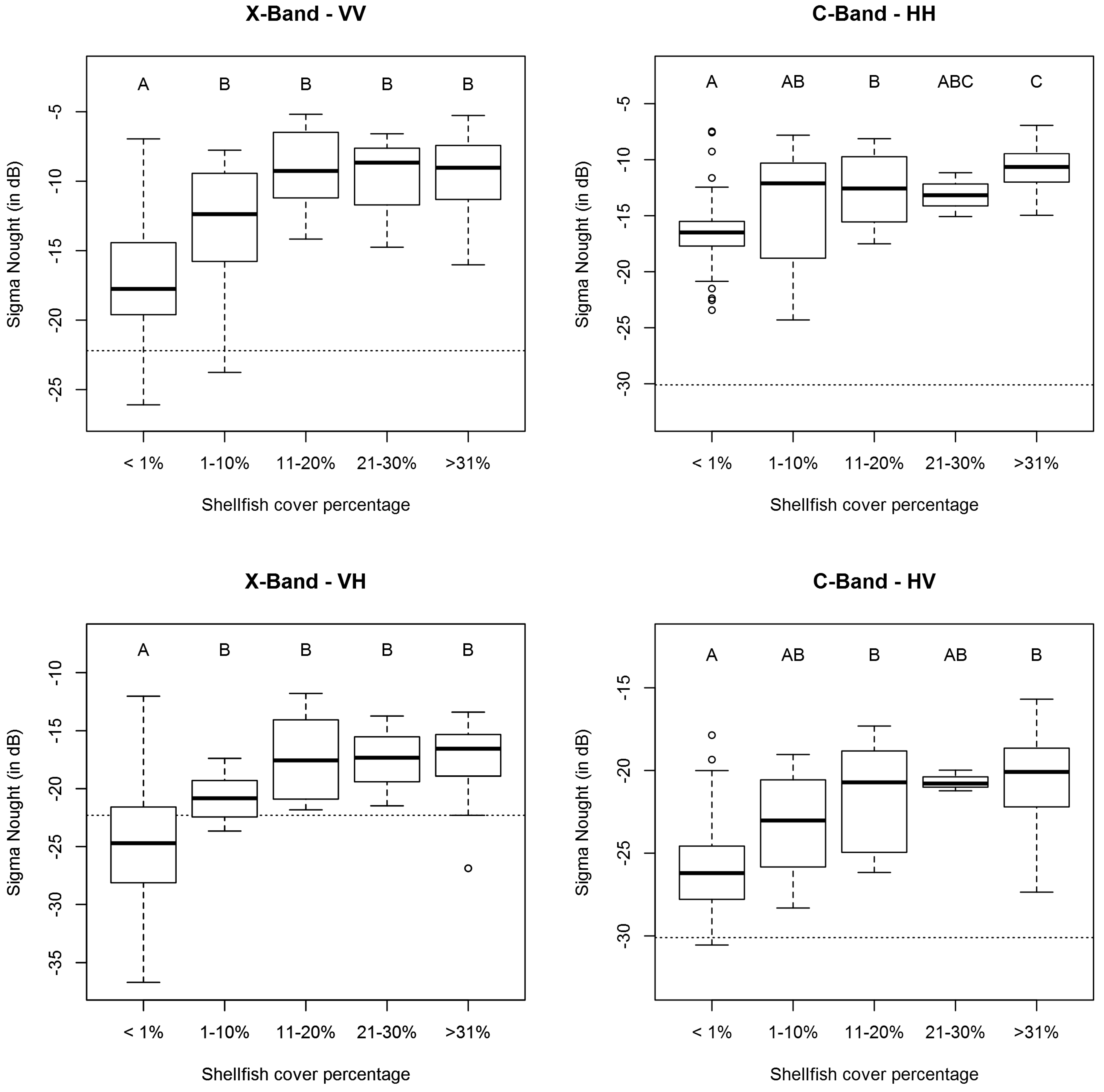
3.1. Effect of Shellfish Species and Cover on Surface Roughness


3.2. Effect of Surface Roughness and Shellfish Species and Cover on Radar Backscatter
3.3. Theoretical and Semi-Empirical Simulation of Shellfish-Induced Backscatter

| Satellite | Channel | Substrate Type | Shellfish Cover | ||||
|---|---|---|---|---|---|---|---|
| D.f., N | F Statistic | Probability | D.f., N | F Statistic | Probability | ||
| TerraSAR-X | VV | 4, 102 | 14.32 | <0.001 | 4, 102 | 17.82 | <0.001 |
| TerraSAR-X | VH | 4, 92 | 11.46 | <0.001 | 4, 92 | 16.63 | <0.001 |
| Radarsat-2 | HH | 4, 102 | 11.95 | <0.001 | 4, 102 | 12.56 | <0.001 |
| Radarsat-2 | HV | 4, 102 | 15.92 | <0.001 | 4, 102 | 16.34 | <0.001 |



3.4. Shellfish Mapping Using SAR

| TerraSAR-X | Radarsat-2 | |||||||
|---|---|---|---|---|---|---|---|---|
| VV | VH | DUAL | VV + VH | HH | HV | DUAL | HH + HV | |
| Missing values | 0 | 10 | 10 | 10 | 0 | 0 | 0 | 0 |
| True Positives | 29 | 26 | 31 | 25 | 24 | 25 | 26 | 22 |
| True Negatives | 64 | 53 | 54 | 57 | 62 | 59 | 60 | 63 |
| False Positives | 6 | 7 | 6 | 3 | 8 | 11 | 10 | 7 |
| False Negatives | 8 | 11 | 6 | 12 | 13 | 12 | 11 | 15 |
| Sensitivity | 0.78 | 0.70 | 0.84 | 0.68 | 0.65 | 0.68 | 0.70 | 0.59 |
| Specificity | 0.91 | 0.88 | 0.90 | 0.95 | 0.89 | 0.84 | 0.86 | 0.9 |
| Precision | 0.83 | 0.79 | 0.84 | 0.89 | 0.75 | 0.69 | 0.72 | 0.76 |
| Accuracy | 0.87 | 0.81 | 0.88 | 0.85 | 0.80 | 0.79 | 0.80 | 0.79 |
| Kappa | 0.71 | 0.60 | 0.74 | 0.66 | 0.55 | 0.52 | 0.56 | 0.52 |
| Classifier | Thresholds (in dB) | |
|---|---|---|
| TerraSAR-X | VV | |
| VH | ||
| DUAL | ||
| VV + VH | ||
| Radarsat-2 | HH | |
| HV | ||
| DUAL | ||
| HH + HV |
3.5. Comparing Shellfish Maps from SAR with Traditional Field Surveys
4. Conclusions
| Texel | Schiermonnikoog | |||||||||||||||
|---|---|---|---|---|---|---|---|---|---|---|---|---|---|---|---|---|
| TerraSAR-X | Radarsat-2 | TerraSAR-X | Radarsat-2 | |||||||||||||
| VV | VH | DUAL | VV + VH | HH | HV | DUAL | HH + HV | VV | VH | DUAL | VV + VH | HH | HV | DUAL | HH + HV | |
| True Positives | 64,873 | 77,090 | 68,992 | 60,275 | 962 | 1,115 | 1,100 | 899 | 125,729 | 105,155 | 122,806 | 80,792 | 1,709 | 2,774 | 2,607 | 1,567 |
| True Negatives | 12,644,700 | 12,098,222 | 12,690,954 | 12,761,094 | 214,337 | 216,287 | 216,314 | 216,645 | 13,833,734 | 14,387,332 | 14,218,344 | 14,491,808 | 242,406 | 245,140 | 245,276 | 245,820 |
| False Positives | 136,044 | 682,522 | 89,790 | 19,650 | 2694 | 744 | 717 | 386 | 696,931 | 143,333 | 312,321 | 38,857 | 4003 | 1269 | 1133 | 589 |
| False Negatives | 70,167 | 57,950 | 66,048 | 74,765 | 1339 | 1186 | 1201 | 1402 | 232,542 | 253,116 | 235,465 | 277,479 | 4371 | 3306 | 3473 | 4513 |
| Sensitivity | 0.48 | 0.57 | 0.51 | 0.45 | 0.42 | 0.48 | 0.48 | 0.39 | 0.35 | 0.29 | 0.34 | 0.23 | 0.28 | 0.46 | 0.43 | 0.26 |
| Specificity | 0.99 | 0.95 | 0.99 | 1.00 | 0.99 | 1.00 | 1.00 | 1.00 | 0.95 | 0.99 | 0.98 | 1.00 | 0.98 | 0.99 | 1.00 | 1.00 |
| Precision | 0.32 | 0.10 | 0.43 | 0.75 | 0.26 | 0.60 | 0.61 | 0.70 | 0.15 | 0.42 | 0.28 | 0.68 | 0.30 | 0.69 | 0.70 | 0.73 |
| Accuracy | 0.98 | 0.94 | 0.99 | 0.99 | 0.98 | 0.99 | 0.99 | 0.99 | 0.94 | 0.97 | 0.96 | 0.98 | 0.97 | 0.98 | 0.98 | 0.98 |
| Kappa | 0.38 | 0.16 | 0.46 | 0.56 | 0.31 | 0.53 | 0.53 | 0.50 | 0.19 | 0.33 | 0.29 | 0.33 | 0.27 | 0.54 | 0.52 | 0.37 |


Acknowledgments
Author Contributions
Conflicts of Interest
References
- Heip, C.H.R.; Goosen, N.K.; Herman, P.M.J.; Kromkamp, J.; Middelburg, J.J.; Soetaert, K. Production and consumption of biological particles in temperate tidal estuaries. Oceanogr. Mar. Biol. 1995, 33, 1–149. [Google Scholar]
- Albrecht, A. Soft bottom versus hard rock: Community ecology of macroalgae on intertidal mussel beds in the Wadden Sea. J. Exp. Mar. Biol. Ecol. 1998, 229, 85–109. [Google Scholar] [CrossRef]
- Gutiérrez, J.; Jones, C.; Strayer, D.; Iribarne, O. Mollusks as ecosystem engineers: The role of shell production in aquatic habitats. Oikos 2003, 101, 79–90. [Google Scholar] [CrossRef]
- Jones, C.G.; Gutiérrez, J.L.; Byers, J.E.; Crooks, J.A.; Lambrinos, J.G.; Talley, T.S. A framework for understanding physical ecosystem engineering by organisms. Oikos 2010, 119, 1862–1869. [Google Scholar] [CrossRef]
- Van der Zee, E.M.; Heide, T.; Donadi, S.; Eklör, J.S.; Eriksson, B.K.; Olff, H.; Veer, H.W.; Piersma, T.; Zee, E.M. Spatially extended habitat modification by intertidal reef-building bivalves has implications for consumer-resource interactions. Ecosystems 2012, 15, 664–673. [Google Scholar]
- Oliver, L.R.; Seed, R.; Reynolds, B. The effect of high flow events on mussels (Mytilus edulis) in the Conwy estuary, North Wales, UK. Hydrobiologia 2008, 606, 117–127. [Google Scholar] [CrossRef]
- Beck, M.W.; Brumbaugh, R.D.; Airoldi, L.; Carranza, A.; Coen, L.D.; Crawford, C.; Defeo, O.; Edgar, G.J.; Hancock, B.; Kay, M. Shellfish Reefs at Risk: A Global Analysis of Problems and Solutions; The Nature Conservancy: Arlington, VA, USA, 2009; p. 52. [Google Scholar]
- Troost, K. Causes and effects of a highly successful marine invasion: Case-study of the introduced Pacific oyster Crassostrea gigas in continental NW European estuaries. J. Sea Res. 2010, 64, 145–165. [Google Scholar] [CrossRef]
- Kochmann, J.; Buschbaum, C.; Volkenborn, N.; Reise, K. Shift from native mussels to alien oysters: Differential effects of ecosystem engineers. J. Exp. Mar. Biol. Ecol. 2008, 364, 1–10. [Google Scholar] [CrossRef]
- Markert, A.; Esser, W.; Frank, D.; Wehrmann, A.; Exo, K.-M. Habitat change by the formation of alien crassostrea-reefs in the Wadden Sea and its role as feeding sites for waterbirds. Estuar. Coast. Shelf Sci. 2013, 131, 41–51. [Google Scholar] [CrossRef]
- Green, D.S.; Rocha, C.; Crowe, T.P. Effects of non-indigenous oysters on ecosystem processes vary with abundance and context. Ecosystems 2013, 16, 881–893. [Google Scholar] [CrossRef]
- Nehls, G.; Witte, S.; Büttger, H.; Dankers, N.; Jansen, J.; Millat, G.; Herlyn, M.; Markert, A.; Kristensen, P.S.; Ruth, M.; et al. Beds of Blue Mussels and Pacific Oysters; Marencic, H., de Vlas, J., Eds.; Common Wadden Sea Secretariat, Trilateral Monitoring and Assessment Group: Wilhelmshaven, Germany, 2009. [Google Scholar]
- De Vlas, J.; Brinkman, B.; Buschbaum, C.; Dankers, N.; Herlyn, M.; Kristensen, P.S.; Millat, G.; Nehls, G.; Ruth, M.; Steenbergen, J.; et al. Intertidal blue mussel beds. In Wadden Sea Quality Status Report 2004; Wadden Sea Ecosystem No. 19; Essink, K., Dettmann, C., Farke, H., Laursen, K., Lüerßen, G., Marencic, H., Wiersinga, W., Eds.; Common Wadden Sea Secretariat, Trilateral Monitoring and Assessment Group: Wilhelmshaven, Germany, 2005; pp. 190–200. [Google Scholar]
- Van der Wal, D.; Herman, P.M.J.; Wielemaker-van den Dool, A. Characterisation of surface roughness and sediment texture of intertidal flats using ERS SAR imagery. Remote Sens. Environ. 2005, 98, 96–109. [Google Scholar] [CrossRef]
- Choe, B.-H.; Kim, D.; Hwang, J.-H.; Oh, Y.; Moon, W.M. Detection of oyster habitat in tidal flats using multi-frequency polarimetric SAR data. Estuar. Coast. Shelf Sci. 2012, 97, 28–37. [Google Scholar] [CrossRef]
- Dehouck, A.; Lafon, V.; Baghdadi, N.; Roubache, A.; Rabaute, T. Potential of TerraSAR-X imagery for mapping intertidal coastal wetlands. In Proceedings of the 4th TerraSAR-X Science Team Meeting, Oberpfaffenhofen, Germany, 14–16 February 2011.
- Gade, M.; Melchionna, S.; Stelzer, K.; Kohlus, J. Multi-frequency SAR data help improving the monitoring of intertidal flats on the German North Sea coast. Estuar. Coast. Shelf Sci. 2014, 140, 32–42. [Google Scholar] [CrossRef]
- Fung, A.K.; Li, Z.; Chen, K.S. Backscattering from a randomly rough dielectric surface. IEEE Trans. Geosci. Remote Sens. 1992, 30, 356–369. [Google Scholar] [CrossRef]
- Oh, Y.; Sarabandi, K.; Ulaby, F. An empirical model and an inversion technique for radar scattering from bare soil surfaces. IEEE Trans. Geosci. Remote Sens. 1992, 30, 370–381. [Google Scholar] [CrossRef]
- Dubois, P.C.; van Zyl, J.; Engman, T. Measuring soil moisture with imaging radars. IEEE Trans. Geosci. Remote Sens. 1995, 33, 915–926. [Google Scholar] [CrossRef]
- Commito, J.; Rusignuolo, B. Structural complexity in mussel beds: The fractal geometry of surface topography. J. Exp. Mar. Biol. Ecol. 2000, 255, 133–152. [Google Scholar] [CrossRef] [PubMed]
- Ens, B.J.; van Winden, E.A.J.; van Turnhout, C.A.M.; van Roomen, M.W.J.; Smit, C.J.; Jansen, J.M. Changes in the abundance of intertidal birds in the Dutch Wadden Sea in 1990–2008: Differences between East and West. Limosa 2009, 82, 100–112. [Google Scholar]
- Lotze, H.K. Radical changes in the Wadden Sea fauna and flora over the last 2000 years. Helgol. Mar. Res. 2005, 59, 71–83. [Google Scholar] [CrossRef]
- Reise, K.; Baptist, M.; Burbridge, P.; Dankers, N.; Fischer, L.; Flemming, B.; Oost, A.P.; Smit, C. The Wadden Sea—A Outstanding Tidal Wetland; Wadden Sea Ecosystem No. 29; Common Wadden Sea Secretariat: Wilhelmshaven, Germany, 2010; pp. 7–24. [Google Scholar]
- Dankers, N.; Meijboom, A.; Cremer, J.S.M.; Dijkman, E.M.; Hermes, Y.; te Marvelde, L. Historische Ontwikkeling van Droogvallende Mosselbanken in de Nederlandse Waddenzee; Alterra-Rapport 876; Alterra: Wageningen, The Netherlands, 2003; p. 114. [Google Scholar]
- Dankers, N.; Meijboom, A.; de Jong, M.; Dijkman, E.; Cremer, J.; van der Sluis, S. Het Ontstaan en Verdwijnen van Droogvallende Mosselbanken in de Nederlandse Waddenzee; Alterra-Rapport 921; Alterra: Wageningen, The Netherlands, 2004; p. 114. [Google Scholar]
- Fey, F.; Dankers, N.; Steenbergen, J.; Goudswaard, K. Development and distribution of the non-indigenous Pacific oyster (Crassostrea gigas) in the Dutch Wadden Sea. Aquac. Int. 2009, 18, 45–59. [Google Scholar] [CrossRef]
- Nienhuis, P.; Smaal, A. The Oosterschelde estuary, a case-study of a changing ecosystem: An introduction. Hydrobiologia 1994, 282/283, 1–14. [Google Scholar] [CrossRef]
- Van Zanten, E.; Adriaanse, L. Verminderd Getij. Verkenning van mogelijke maatregelen om de erosie van platen, slikken en schorren van de Oosterschelde te beperken; Rapport RWS/2008; Rijkswaterstaat Zeeland: Middelburg, The Netherlands, 2008. [Google Scholar]
- Radiometric calibration of TerraSAR-X data. 2008. Available online: http://www2.geo-airbusds.com/files/pmedia/public/r465_9_tsx-x-itd-tn-0049-radiometric_calculations_i3.00.pdf (accessed on 25 March 2015).
- Lee, J.-S. Refined filtering of image noise using local statistics. Comput. Graph. Image Process. 1981, 15, 380–389. [Google Scholar] [CrossRef]
- Wing, M. Consumer-grade GPS receiver measurement accuracy in varying forest conditions. Res. J. For. 2011, 5, 78–88. [Google Scholar]
- Wu, C. VisualSFM: A Visual Structure from Motion System. Available online: http://ccwu.me/vsfm/ (accessed on 3 September 2012).
- Ulaby, F.T.; Moore, R.K.; Fung, A.K. Microwave Remote Sensing, Active and Passive, Volume III: From Theory to Applications; Artech House: Dedham, MA, USA, 1986. [Google Scholar]
- Petitpas, B.; Beaudoin, L.; Roux, M.; Rudent, J.-P. Roughness measurement from multi-stereo reconstruction. Int. Arch. Photogramm. Remote Sens. Spat. Inf. Sci. 2010, 38, Part 3B. 104–109. [Google Scholar]
- R Core Team. R: A Language and Environment for Statistical Computing; R Foundation for Statistical Computing: Vienna, Austria, 2012. [Google Scholar]
- Troost, K.; Drent, J.; Folmer, E.; van Stralen, M. Ontwikkeling van schelpdierbestanden op de droogvallende platen van de Waddenzee. De Levende Natuur 2012, 113, 83–88. [Google Scholar]
- Gade, M.; Alpers, W.; Melsheimer, C.; Tanck, G. Classification of sediments on exposed tidal flats in the German Bight using multi-frequency radar data. Remote Sens. Environ. 2008, 112, 1603–1613. [Google Scholar] [CrossRef]
- Lee, H.; Chae, H.; Cho, S.-J. Radar backscattering of intertidal mudflats observed by Radarsat-1 SAR images and ground-based scatterometer experiments. IEEE Trans. Geosci. Remote Sens. 2011, 49, 1701–1711. [Google Scholar] [CrossRef]
- Park, S.-E.; Moon, W.M.; Kim, D. Estimation of surface roughness parameter in intertidal mudflat using airborne polarimetric SAR data. IEEE Trans. Geosci. Remote Sens. 2009, 47, 1022–1031. [Google Scholar] [CrossRef]
- Fung, A.K.; Liu, W.Y.; Chen, K.S.; Tsay, M.K. An improved IEM model for bistatic scattering from rough surfaces. J. Electromagn. Waves Appl. 2002, 16, 689–702. [Google Scholar] [CrossRef]
- Fung, A.K.; Chen, K.S. Microwave Scattering and Emission Models for Users; Artech House: Norwood, MA, USA, 2010; p. 430. [Google Scholar]
- Hallikainen, M.; Ulaby, F.; Dobson, M.; El-rayes, M.; Wu, L. Microwave dielectric behavior of wet soil—Part 1: Empirical models and experimental observations. IEEE Trans. Geosci. Remote Sens. 1985, GE-23, 25–34. [Google Scholar] [CrossRef]
- Oh, Y. Quantitative retrieval of soil moisture content and surface roughness from multipolarized radar observations of bare soil surfaces. EEE Trans. Geosci. Remote Sens. 2004, 42, 596–601. [Google Scholar] [CrossRef]
- Fawcett, T. An introduction to ROC analysis. Pattern Recognit. Lett. 2006, 27, 861–874. [Google Scholar] [CrossRef]
- Van den Ende, D.; Troost, K.; van Stralen, M.; van Zweeden, C.; van Asch, M. Het Mosselbestand en Het Areaal aan Mosselbanken op de Droogvallende Platen van de Waddenzee in Het Voorjaar van 2012; Wageningen IMARES Rapport, C149/12; IMARES: Yerseke, The Netherlands, 2012. [Google Scholar]
- Davidson, M.W.J.; le Toan, T.; Mattia, F.; Satalino, G.; Maninnen, T.; Borgeaud, M. On the characterization of agricultural soil roughness for radar remote sensing studies. IEEE Trans. Geosci. Remote Sens. 2000, 38, 630–640. [Google Scholar] [CrossRef]
- Verhoest, N.E.C.; Lievens, H.; Wagner, W.; Álvarez-Mozos, J.; Moran, M.S.; Mattia, F. On the soil roughness parameterization problem in soil moisture retrieval of bare surfaces from Synthetic Aperture Radar. Sensors 2008, 8, 4213–4248. [Google Scholar] [CrossRef]
- Bretar, F.; Arab-Sedze, M.; Champion, J.; Pierrot-Deseilligny, M.; Heggy, E.; Jacquemoud, S. An advanced photogrammetric method to measure surface roughness: Application to volcanic terrains in the Piton de la Fournaise, Reunion Island. Remote Sens. Environ. 2013, 135, 1–11. [Google Scholar] [CrossRef]
- Zribi, M.; Dechambre, M. A new empirical model to retrieve soil moisture and roughness from C-band radar data. Remote Sens. Environ. 2002, 84, 42–52. [Google Scholar] [CrossRef]
- Van de Koppel, J.; Rietkerk, M.; Dankers, N.; Herman, P.M. Scale-dependent feedback and regular spatial patterns in young mussel beds. Am. Nat. 2005, 165, E66–E77. [Google Scholar] [CrossRef] [PubMed]
- Kim, D.; Moon, W.M.; Kim, G.; Park, S.-E.; Lee, H. Submarine groundwater discharge in tidal flats revealed by space-borne synthetic aperture radar. Remote Sens. Environ. 2011, 115, 793–800. [Google Scholar] [CrossRef]
- Landis, J.; Koch, G. The measurement of observer agreement for categorical data. Biometrics 1977, 33, 159–174. [Google Scholar] [CrossRef] [PubMed]
- Haralick, R.M.; Shanmugam, K.; Dinstein, I. Textural features for image classification. IEEE Trans. Syst. Man Cybern. 1973, SMC-3, 610–621. [Google Scholar] [CrossRef]
- Krylov, V.A.; Moser, G.; Serpico, S.B.; Zerubia, J. Supervised high-resolution dual-polarization SAR image classification by finite mixtures and copulas. IEEE J. Sel. Top. Signal Process. 2011, 5, 554–566. [Google Scholar] [CrossRef]
© 2015 by the authors; licensee MDPI, Basel, Switzerland. This article is an open access article distributed under the terms and conditions of the Creative Commons Attribution license (http://creativecommons.org/licenses/by/4.0/).
Share and Cite
Nieuwhof, S.; Herman, P.M.J.; Dankers, N.; Troost, K.; Van der Wal, D. Remote Sensing of Epibenthic Shellfish Using Synthetic Aperture Radar Satellite Imagery. Remote Sens. 2015, 7, 3710-3734. https://doi.org/10.3390/rs70403710
Nieuwhof S, Herman PMJ, Dankers N, Troost K, Van der Wal D. Remote Sensing of Epibenthic Shellfish Using Synthetic Aperture Radar Satellite Imagery. Remote Sensing. 2015; 7(4):3710-3734. https://doi.org/10.3390/rs70403710
Chicago/Turabian StyleNieuwhof, Sil, Peter M. J. Herman, Norbert Dankers, Karin Troost, and Daphne Van der Wal. 2015. "Remote Sensing of Epibenthic Shellfish Using Synthetic Aperture Radar Satellite Imagery" Remote Sensing 7, no. 4: 3710-3734. https://doi.org/10.3390/rs70403710
APA StyleNieuwhof, S., Herman, P. M. J., Dankers, N., Troost, K., & Van der Wal, D. (2015). Remote Sensing of Epibenthic Shellfish Using Synthetic Aperture Radar Satellite Imagery. Remote Sensing, 7(4), 3710-3734. https://doi.org/10.3390/rs70403710
