Normalization of Echo Features Derived from Full-Waveform Airborne Laser Scanning Data
Abstract
:1. Introduction
2. Methodology
2.1. Background
2.2. Physical Waveform Features

2.3. Geometric Waveform Features
2.4. Classification Strategy
3. Datasets

4. Results
4.1. Variety of Raw Waveform Features
| Strip | 0~500 DN | 500~1000 DN | >1000 DN |
|---|---|---|---|
| 01 | 99.95% | 0.03% | 0.01% |
| 02 | 99.99% | 0.00% | 0.00% |
| 11 | 95.52% | 3.22% | 1.25% |
| 14 | 95.83% | 4.06% | 0.10% |




4.2. Variety of Normalized Waveform Features
4.2.1. Comparison of the Calibration Constant

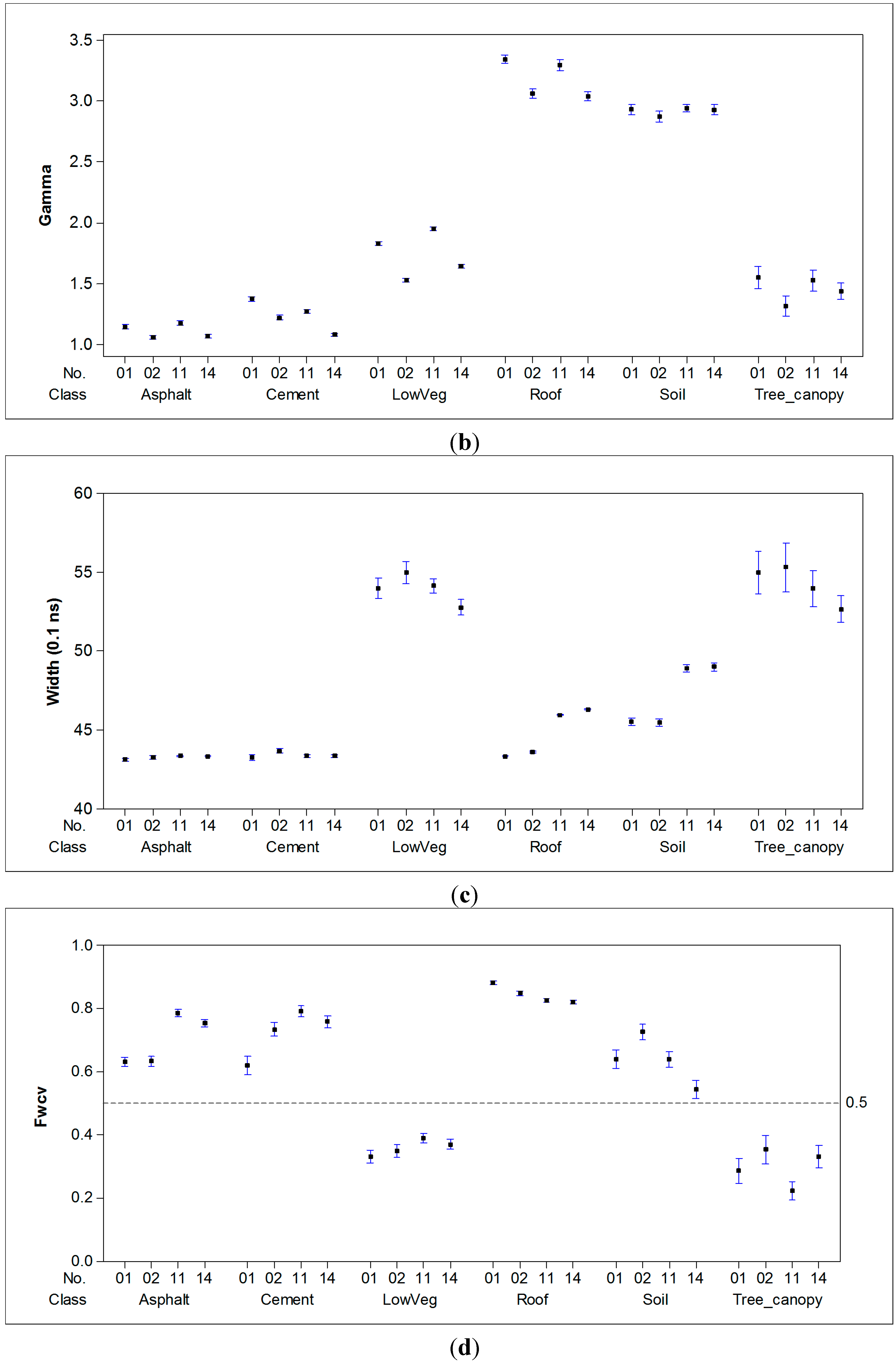
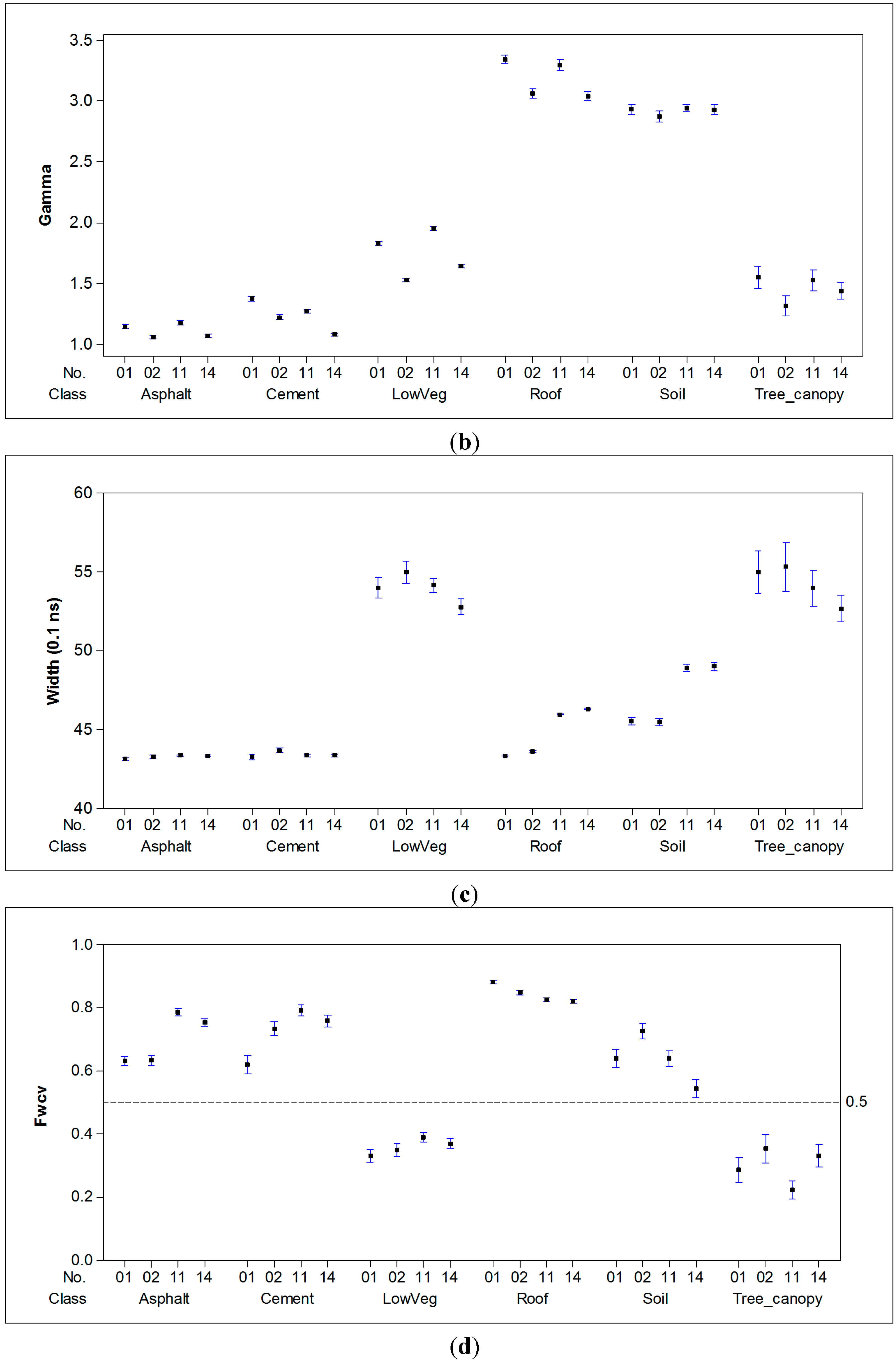
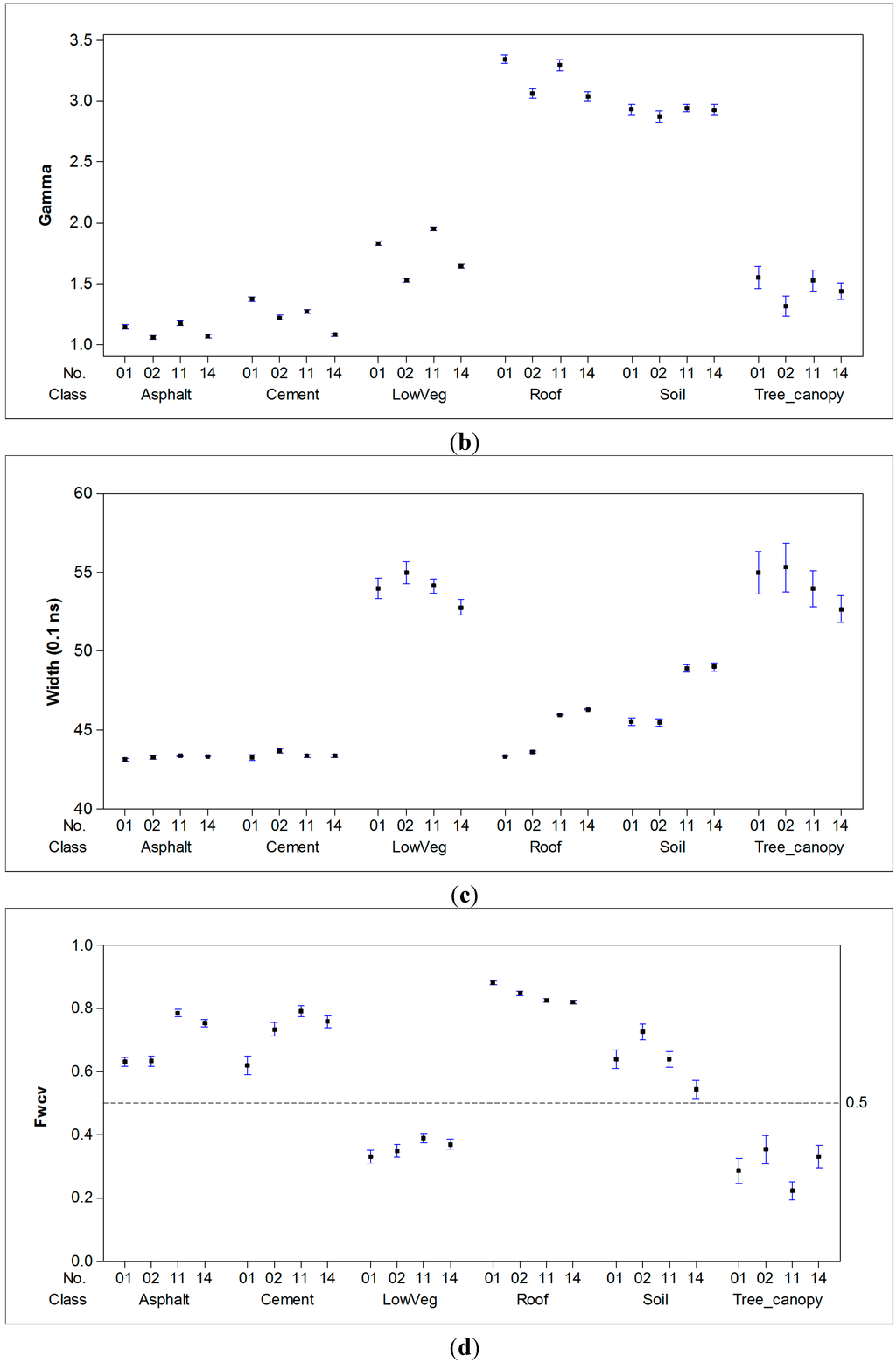
4.2.2. Comparison of the Normalized Features over Various Land Cover Types and Flight Missions


4.3. Effect of Different Feature Combinations on Classification Accuracy
| Strip No. | Ground | Low Vegetation | Roof | Tree Canopy |
|---|---|---|---|---|
| 1 | 1738 | 666 | 3521 | 162 |
| 2 | 1789 | 553 | 2602 | 157 |
| 11 | 2165 | 1217 | 3610 | 226 |
| 14 | 2141 | 1066 | 2731 | 256 |





5. Discussion
6. Conclusions
Acknowledgments
Conflicts of Interest
References
- Sithole, G.; Vosselman, G. Experimental comparison of filter algorithms for bare-Earth extraction from airborne laser scanning point clouds. ISPRS J. Photogram. Remote Sens. 2004, 59, 85–101. [Google Scholar] [CrossRef]
- Korzeniowskaa, K.; Pfeiferb, N.; Mandlburgerb, G.; Lugmayr, A. Experimental evaluation of ALS point cloud ground extraction tools over different terrain slope and land-cover types. Int. J. Remote Sens. 2014, 35, 4673–4697. [Google Scholar] [CrossRef]
- Song, J.-H.; Han, S.-H.; Yu, K.; Kim, Y.-I. Assessing the possibility of land-cover classification using lidar intensity data. In Proceedings of International Archives of the Photogrammetry, Remote Sensing and Spatial Information Sciences, Graz, Austria, 9–13 September 2002; pp. 259–262.
- Baltsavias, E.P. A comparison between photogrammetry and laser scanning. ISPRS J. Photogram. Remote Sens. 1999, 54, 83–94. [Google Scholar] [CrossRef]
- Höfle, B.; Pfeifer, N. Correction of laser scanning intensity data: Data and model-driven approaches. ISPRS J. Photogram. Remote Sens. 2007, 62, 415–433. [Google Scholar] [CrossRef]
- Alexander, C.; Tansey, K.; Kaduka, J.; Holland, D.; Tate, N.J. Backscatter coefficient as an attribute for the classification of full-waveform airborne laser scanning data in urban areas. ISPRS J. Photogram. Remote Sens. 2010, 65, 423–432. [Google Scholar] [CrossRef]
- Lin, Y.-C.; Mills, J.P. Factors influencing pulse width of small footprint, full waveform airborne laser scanning data. Photogram. Eng. Remote Sens. 2010, 76, 49–59. [Google Scholar] [CrossRef]
- Höfle, B.; Hollaus, M.; Hagenauer, J. Urban vegetation detection using radiometrically calibrated small-footprint full-waveform airborne LiDAR data. ISPRS J. Photogram. Remote Sens. 2012, 67, 134–147. [Google Scholar] [CrossRef]
- Jutzi, B.; Gross, H. Investigations on surface reflection models for intensity normalization in airborne laser scanning (ALS) data. Photogram. Eng. Remote Sens. 2010, 76, 1051–1060. [Google Scholar] [CrossRef]
- Abed, F.M.; Mills, J.P.; Miller, P.E. Echo amplitude normalization of full-waveform airborne laser scanning data based on robust incidence angle estimation. IEEE Trans. Geosci. Remote Sens. 2012, 50, 2910–2918. [Google Scholar] [CrossRef]
- Rutzinger, M.; Höfle, B.; Hollaus, M.; Pfeifer, N. Object-based point cloud analysis of full-waveform airborne laser scanning data for urban vegetation classification. Sensors 2008, 8, 4505–4528. [Google Scholar] [CrossRef]
- Guo, L.; Chehata, N.; Mallet, C.; Boukir, S. Relevance of airborne lidar and multispectral image data for urban scene classification using Random Forests. ISPRS J. Photogram. Remote Sens. 2011, 66, 56–66. [Google Scholar] [CrossRef]
- Lin, Y.-C.; Lin, C.-L.; Tsai, M.-D.; Yu, C.-Y. Influence of varying landforms and flight geometry on echo attributes of full-waveform airborne laser scanning data. In Proceedings of the 34th Asian Conference on Remote Sensing 2013, Bali, Indonesia, 20–24 October 2013; pp. SC01 81–88.
- Hofton, M.A.; Minster, J.B.; Blair, J.B. Decomposition of laser altimeter waveforms. IEEE Trans. Geosci. Remote Sens. 2000, 38, 1989–1996. [Google Scholar] [CrossRef]
- Jutzi, B.; Stilla, U. Measuring and processing the waveform of laser pulses. Opt. 3-D Meas. Tech. VII 2005, 1, 194–203. [Google Scholar]
- Wagner, W.; Ullrich, A.; Ducic, V.; Melzer, T.; Studnicka, N. Gaussian decomposition and calibration of a novel small-footprint full-waveform digitising airborne laser scanner. ISPRS J. Photogram. Remote Sens. 2006, 60, 100–112. [Google Scholar] [CrossRef]
- Jelalian, A. Laser Radar Systems; Artech House: Boston, London, 1992. [Google Scholar]
- Ducic, V.; Hollaus, M.; Ullrich, A.; Wagner, W.; Melzer, T. 3D vegetation mapping and classification using full-waveform laser scanning. In Proceedings of The Workshop on 3D Remote Sensing in Forestry, Vienna, Austria, 14th–15th February 2006; pp. 211–217.
- Lehner, H.; Briese, C. Radiometric calibration of full-waveform airborne laser scanning data based on natural surfaces. In Proceedings of International Archives of Photogrammetry, Remote Sensing and Spatial Information Sciences, Vienna, Austria, 5–7 July 2010; pp. 360–365.
- Briese, C.; Pfennigbauer, M.; Lehnera, H.; Ullrich, A.; Wagner, W.; Pfeifer, N. Radiometric calibration of multi-wavelength airborne laser scanning data. Int. Arch. Photogram. Remote Sens. Spat. Inf. Sci. 2012, I-7, 335–340. [Google Scholar]
- Wagner, W. Radiometric calibration of small-footprint airborne laser scanner measurements: Basic phyiscal concepts. ISPRS J. Photogram. Remote Sens. 2010, 65, 505–513. [Google Scholar] [CrossRef]
- Roncat, A.; Lehner, H.; Briese, C. Laser pulse variations and their influence on radiometric calibration of full-waveform laser scanner data. In Proceedings of ISPRS Workshop Laser Scanning 2011, Calgary, AB, Canada, 29 August–1 September 2011.
- Jolliffe, I.T. Principal Component Analysis; Springer: New York, NY, USA, 2002; p. 487. [Google Scholar]
- Otepka, J.; Ghuffar, S.; Waldhause, C.; Hochreiter, R.; Pfeifer, N. Georeferenced point clouds: A survey of features and point cloud management. ISPRS Int. J. Geo-Inf. 2013, 2, 1038–1065. [Google Scholar] [CrossRef]
- Weisstein, E.W. Gaussian Function. Available online: http://mathworld.wolfram.com/GaussianFunction.html (accessed on 1 March 2015).
- Wagner, W.; Hollaus, M.; Briese, C.; Ducic, V. 3D vegetation mapping using small-footprint full-waveform airborne laser scanners. Int. J. Remote Sens. 2008, 29, 1433–1452. [Google Scholar] [CrossRef]
- Stilla, U.; Jutzi, B. Waveform analysis of small-footprint pulsed laser systems. In Topographic Laser Ranging and Scanning: Principles and Processing; Shan, J., Toth, C.K., Eds.; Taylor & Francis Group: London, UK, 2009; pp. 215–234. [Google Scholar]
- Esri ArcGIS Resources. Available online: http://resources.arcgis.com/en/help/main/10.1/index.html#//009z000000rz000000 (accessed on 7 November 2014).
- Riegl Datasheet LMS-Q680i. Available online: http://www.riegl.com/uploads/tx_pxpriegldownloads/10_DataSheet_LMS-Q680i_28–09–2012.pdf (accessed on 6 June 2012).
- Jalobeanu, A. The full-waveform lidar RIEGL LMS-Q680i: From reverse Engineering to sensor modeling. In Proceedings of ASPRS 2012 Annual Conference, Sacramento, CA, USA, 19–23 March 2012.
© 2015 by the authors; licensee MDPI, Basel, Switzerland. This article is an open access article distributed under the terms and conditions of the Creative Commons Attribution license (http://creativecommons.org/licenses/by/4.0/).
Share and Cite
Lin, Y.-C. Normalization of Echo Features Derived from Full-Waveform Airborne Laser Scanning Data. Remote Sens. 2015, 7, 2731-2751. https://doi.org/10.3390/rs70302731
Lin Y-C. Normalization of Echo Features Derived from Full-Waveform Airborne Laser Scanning Data. Remote Sensing. 2015; 7(3):2731-2751. https://doi.org/10.3390/rs70302731
Chicago/Turabian StyleLin, Yu-Ching. 2015. "Normalization of Echo Features Derived from Full-Waveform Airborne Laser Scanning Data" Remote Sensing 7, no. 3: 2731-2751. https://doi.org/10.3390/rs70302731
APA StyleLin, Y.-C. (2015). Normalization of Echo Features Derived from Full-Waveform Airborne Laser Scanning Data. Remote Sensing, 7(3), 2731-2751. https://doi.org/10.3390/rs70302731
