Estimating the Augmented Reflectance Ratio of the Ocean Surface When Whitecaps Appear
Abstract
:1. Introduction
2. Materials and Methods
2.1. Description of the Model

| Notation | Description | Unit |
|---|---|---|
| augmented ratio of reflectance for the surface | None | |
| Ed(λ) | downwelling irradiance above the seawater | μW∙cm−2∙nm−1 |
| Lu(λ,θ, φ) | upwelling radiance from sea surface | μW∙cm−2sr−1∙nm−1 |
| Lw(λ,θ,φ;θ0,φ0 ) | water-leaving radiance | μW∙cm−2∙sr−1∙nm−1 |
| reflection radiance of incident sky radiance | μW∙cm−2sr−1∙nm−1 | |
| reflectance of sea surface including and | sr−1 | |
| the weighted average whitecap reflectance | sr−1 | |
| reflectance of whitecaps | sr−1 | |
| reflectance of unbroken background seawater | sr−1 | |
| wind speed at 10 m elevation | m∙s−1 | |
| fractional coverage of whitecaps and foam | None | |
| equal to | None | |
| the augmented ratio of the reflectance of background water | None | |
| difference between the temperature of the atmosphere and the sea surface water | °C | |
| wavelength | nm |
2.2. A Description for the Observation Instrument

2.3. Observation of Sea Surface Reflectance in situ
| Sites | Regions | Time | Sky | Wind Speed (m∙s−1) |
|---|---|---|---|---|
| 1 | South China Sea | 30 September 2012 | Some clouds | 10.9 |
| 2 | South China Sea | 8 October 2012 | Overcast | 12.8 |
| 3 | South China Sea | 9 October 2012 | Overcast | 11.7 |
| 4 | South China Sea | 10 October 2012 | Overcast | 12.2 |
| 5 | East China Sea | 27 November 2014 | Some clouds | 15.5 |
| 6 | East China Sea | 27 November 2014 | Some clouds | 10.4 |
| 7 | East China Sea | 28 November 2014 | Some clouds | 8.6 |
| 8 | East China Sea | 29 November 2014 | Some clouds | 12.5 |
| 9 | East China Sea | 29 November 2014 | Some clouds | 17.6 |



3. Results
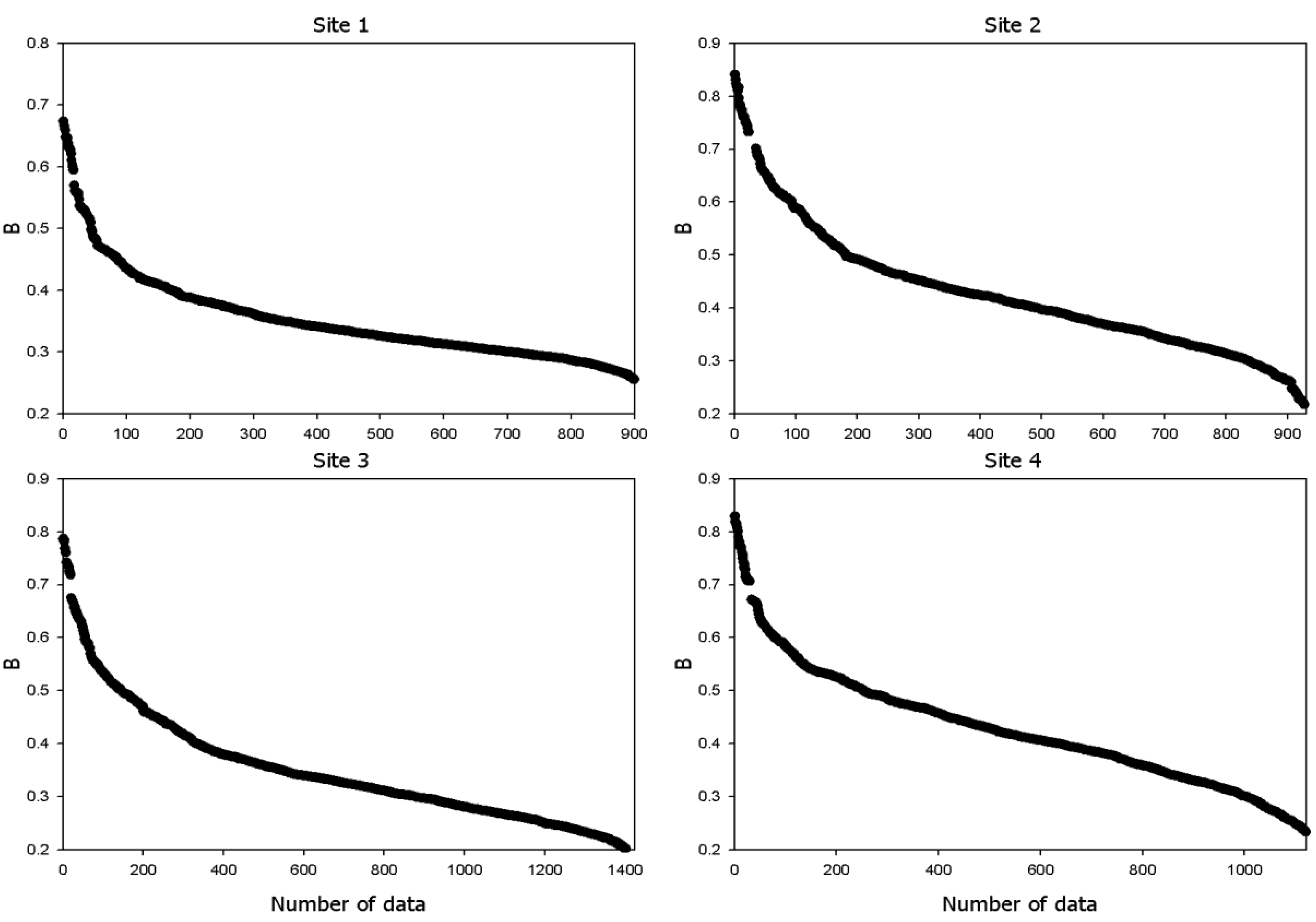
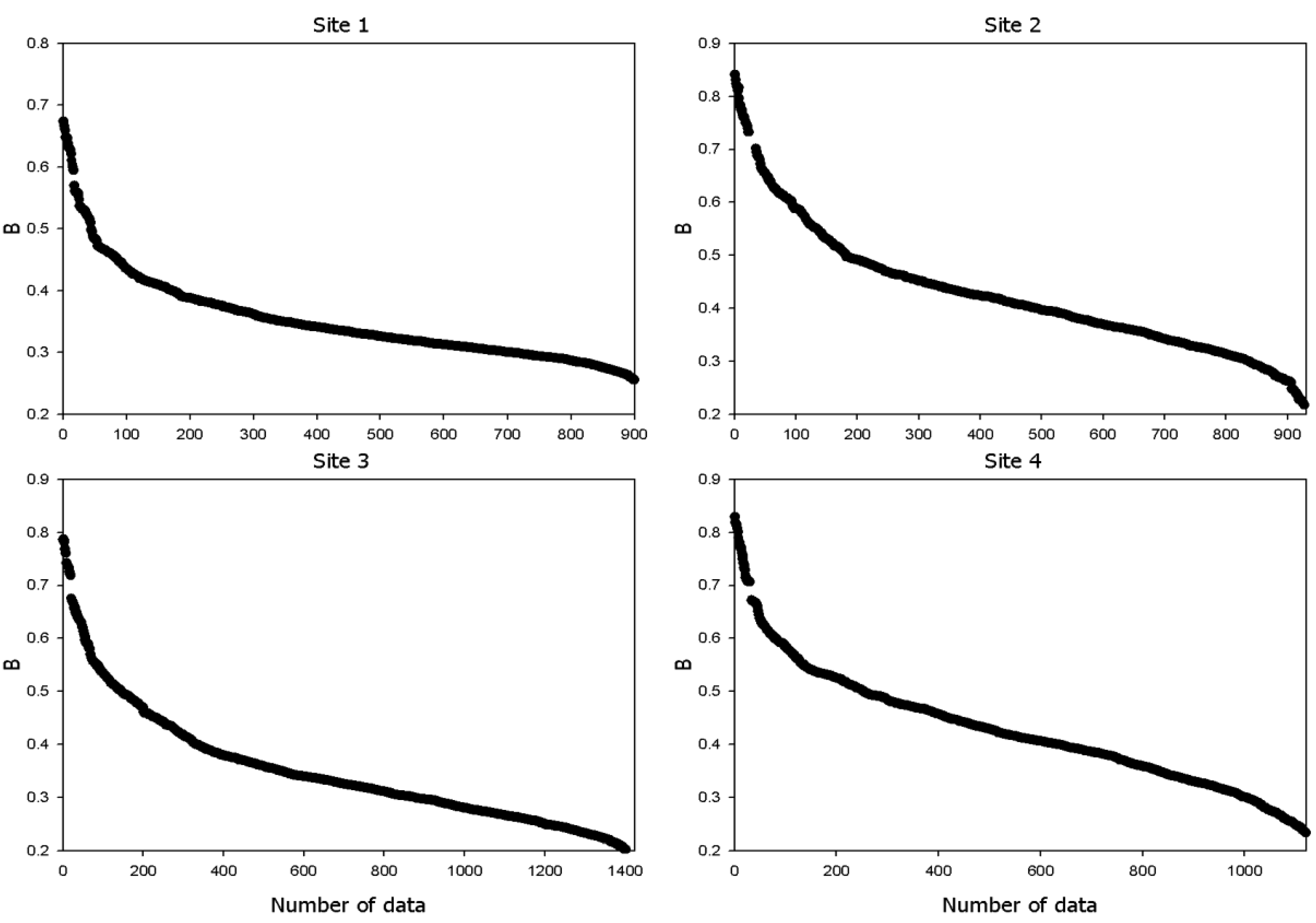
3.1. Calculating the Fractional Coverage of Whitecaps ()
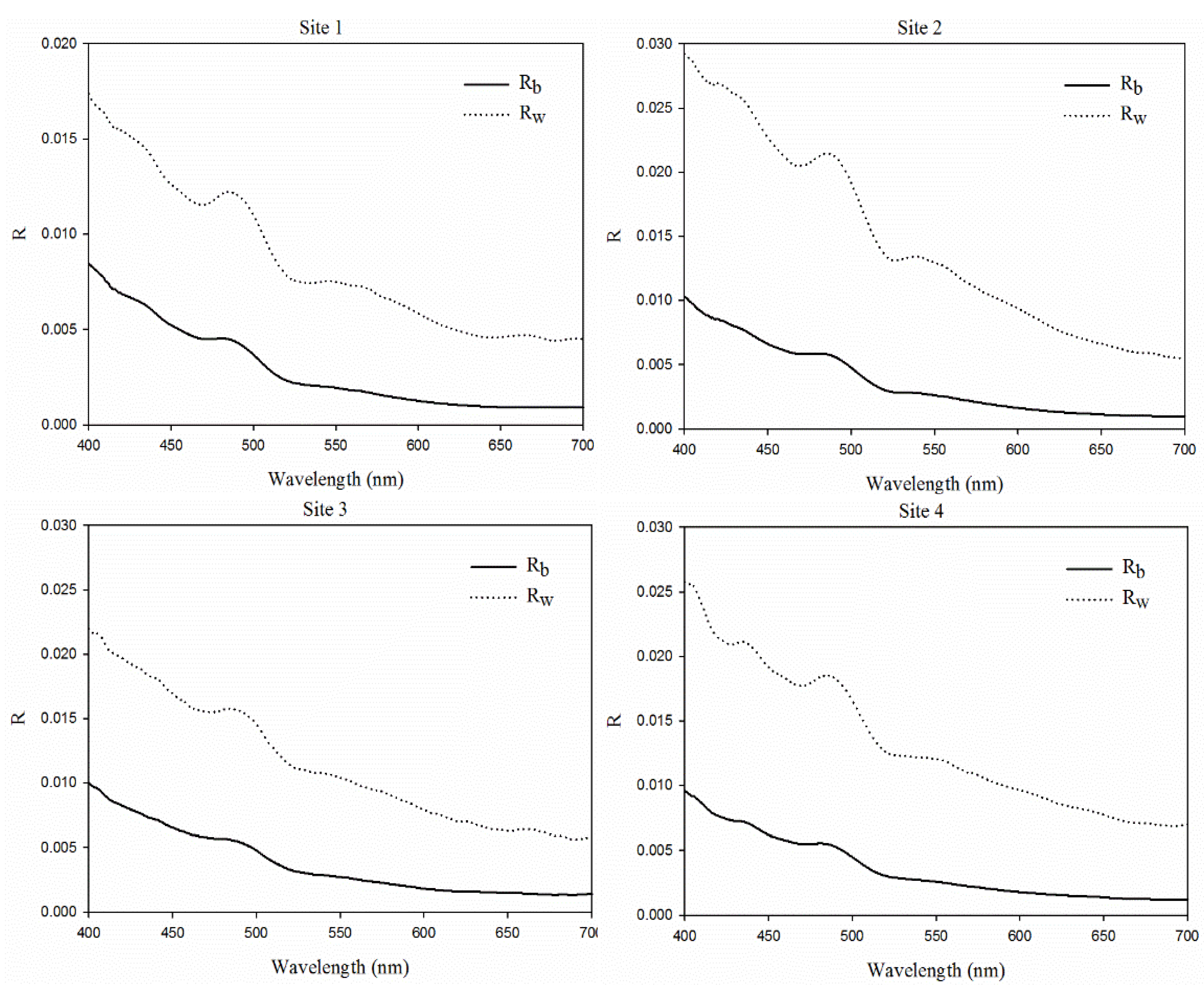
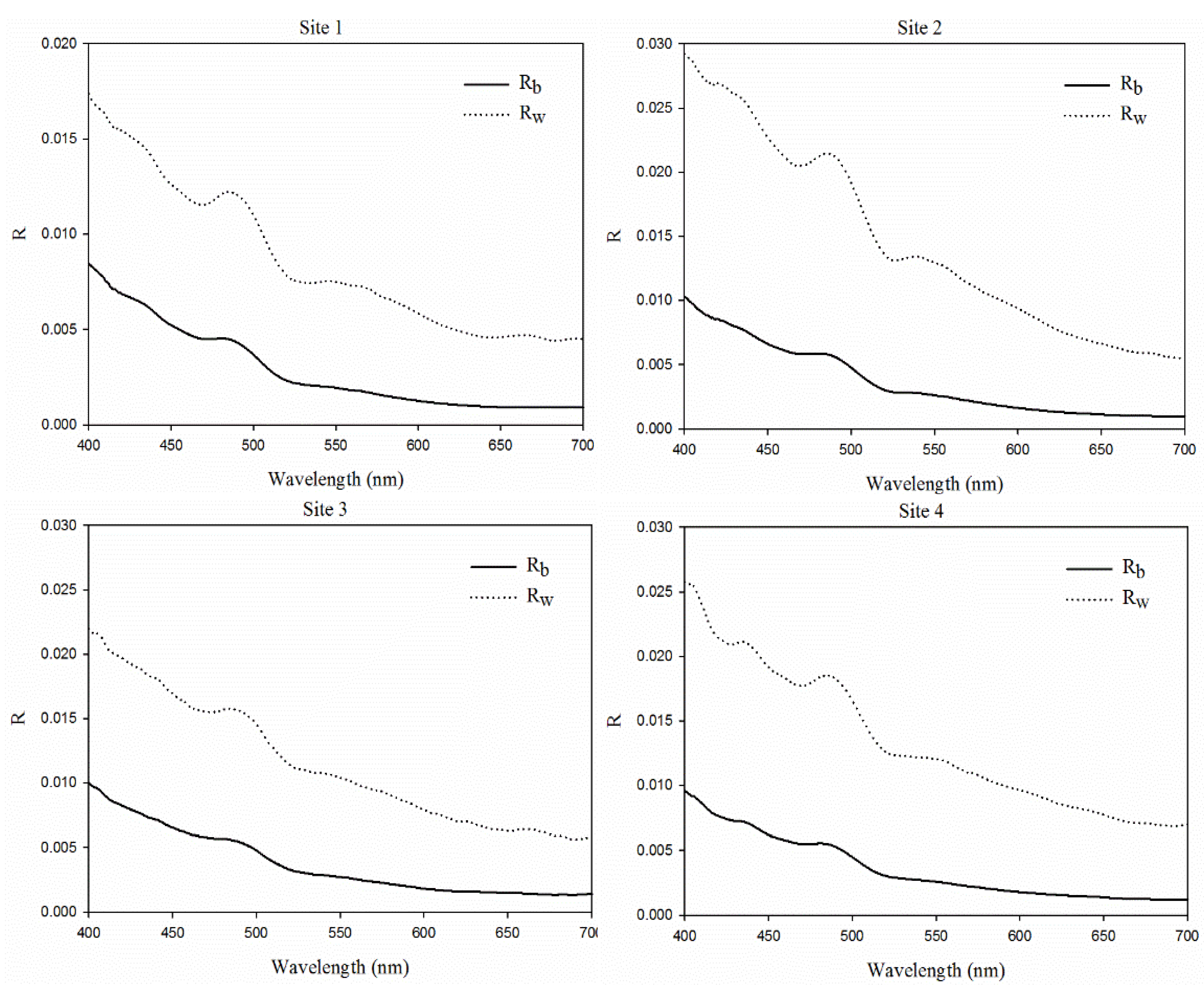
3.1.1. Distinguishing and


3.1.2. Validation of the Band Ratio Method and Empirical Equation
| Site | Wind Speed (m∙s−1) | W (Band Ratio Method) | W (Image Processing) | W (Empirical Formula) | |
|---|---|---|---|---|---|
| 1 | 10.9 | 0.59 | 0.01967 | 0.0164 | 0.0103 |
| 2 | 12.8 | 0.71 | 0.02688 | 0.0282 | 0.0156 |
| 3 | 11.7 | 0.7 | 0.01405 | 0.0101 | 0.0123 |
| 4 | 12.2 | 0.69 | 0.02482 | 0.0159 | 0.0137 |
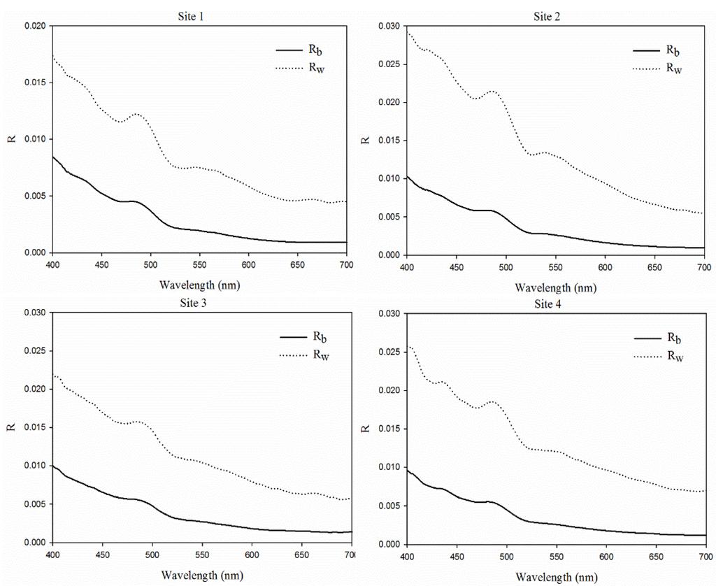
3.2. Extraction of

| Site | Rw | 490/443 | 520/443 | 555/443 | 620/443 | 700/443 |
|---|---|---|---|---|---|---|
| 1 | Rw | 0.90 | 0.59 | 0.55 | 0.38 | 0.34 |
| 2 | Rw | 0.88 | 0.56 | 0.53 | 0.33 | 0.23 |
| 3 | Rw | 0.88 | 0.64 | 0.57 | 0.39 | 0.32 |
| 4 | Rw | 0.90 | 0.62 | 0.59 | 0.43 | 0.34 |
3.3. Variation of at Different Wind Speeds


4. Discussion


5. Conclusions
Acknowledgements
Author Contributions
Conflicts of Interest
References
- Gordon, H.R.; Wang, M. Influence of oceanic whitecaps on atmospheric correction of ocean-color sensors. Appl. Opt. 1994, 33, 7754–7763. [Google Scholar] [CrossRef] [PubMed]
- Frouin, R.; Schwindling, M.; Deschamps, P.Y. Spectral reflectance of sea foam in the visible and near-infrared: In situ measurements and remote sensing implications. J. Geophys. Res. Ocean. 1996, 101, 14361–14371. [Google Scholar] [CrossRef]
- Holthuijsen, L.H.; Powell, M.D.; Pietrzak, J.D. Wind and waves in extreme hurricanes. J. Geophys. Res. Ocean. 2012, 117, 45–57. [Google Scholar] [CrossRef]
- Frouin, R.; Iacobellis, S.; Deschamps, P.Y. Influence of oceanic whitecaps on the global radiation budget. Geophys. Res. Lett. 2001, 28, 1523–1526. [Google Scholar] [CrossRef]
- Kokhanovsky, A.A. Spectral reflectance of whitecaps. J. Geophys. Res. Ocean. 2004, 109, 285–288. [Google Scholar] [CrossRef]
- Salisbury, D.J.; Anguelova, M.D.; Brooks, I.M. Global distribution and seasonal dependence of satellite-based whitecap fraction. Geophys. Res. Lett. 2014, 41, 1616–1623. [Google Scholar] [CrossRef]
- Gordon, H.R.; Wang, M. Retrieval of water-leaving radiance and aerosol optical thickness over the oceans with seawifs: A preliminary algorithm. Appl. Opt. 1994, 33, 443–452. [Google Scholar] [CrossRef] [PubMed]
- Moore, K.D.; Voss, K.J.; Gordon, H.R. Spectral reflectance of whitecaps: Instrumentation, calibration, and performance in coastal waters. J. Atmos. Ocean. Technol. 1998, 15, 496–509. [Google Scholar] [CrossRef]
- Cunningham, A.; Boyle, J.C.; Wood, P. Radiative transfer modelling of the relationship between seawater composition and remote sensing reflectance in sea lochs and fjords. Int. J. Remote Sens. 2002, 23, 3713–3724. [Google Scholar] [CrossRef]
- Payne, R.E. Albedo of the sea surface. J. Atmos. Sci. 1972, 29, 959–970. [Google Scholar] [CrossRef]
- Maul, G.A.; Gordon, H.R. On the use of the earth resources technology satellite (Landsat-1) in optical oceanography. Remote Sens. Environ. 1976, 4, 95–128. [Google Scholar] [CrossRef]
- Gordon, H.R.; Jacobs, M.M. Albedo of the ocean-atmosphere system: Influence of sea foam. Appl. Opt. 1977, 16, 2257–2260. [Google Scholar] [CrossRef] [PubMed]
- Whitlock, C.H.; Bartlett, D.S.; Gurganus, E.A. Sea foam reflectance and influence on optimum wavelength for remote sensing of ocean aerosols. Geophys. Res. Lett. 1982, 9, 719–722. [Google Scholar] [CrossRef]
- Allison, D.B.; Stramski, D.; Mitchell, B.G. Empirical ocean color algorithms for estimating particulate organic carbon in the southern ocean. J. Geophys. Res. Ocean. 2010, 115, 1971–1982. [Google Scholar] [CrossRef]
- Hu, C.M.; Chen, Z.Q.; Clayton, T.D.; Swarzenski, P.; Brock, J.C.; Muller-Karger, F.E. Assessment of estuarine water-quality indicators using MODIS medium-resolution bands: Initial results from Tampa Bay, FL. Remote Sens. Environ. 2005, 94, 425–427. [Google Scholar]
- Coble, P.; Hu, C.; Gould, R.W., Jr; Chang, G.; Wood, A.M. Colored Dissolved Organic Matter in the Coastal Ocean An Optical Tool for Coastal Zone Environmental Assessment & Management; Naval Research Lab, Stennis Space Center, MS. Oceanography Div.: Arlington, VA, USA, 2004. [Google Scholar]
- Zhao, J.; Barnes, B.; Melo, N.; English, D.; Lapointe, B.; Muller-Karger, F.; Schaeffer, B.; Hu, C. Assessment of satellite-derived diffuse attenuation coefficients and euphotic depths in South Florida coastal waters. Remote Sens. Environ. 2013, 131, 38–50. [Google Scholar] [CrossRef]
- Wang, M.; Son, S.; Harding, L.W. Retrieval of diffuse attenuation coefficient in the Chesapeake Bay and turbid ocean regions for satellite ocean color applications. J.Geophys. Res. Ocean. 2009, 114, 244–254. [Google Scholar] [CrossRef]
- Moore, K.D.; Voss, K.J.; Gordon, H.R. Spectral reflectance of whitecaps: Their contribution to water-leaving radiance. J. Geophys. Res. Ocean. 2000, 105, 6493–6499. [Google Scholar] [CrossRef]
- Carratelli, E.P.; Dentale, F.; Reale, F. Numerical simulation of whitecaps and foam effects on satellite altimeter response. Remote Sens. 2014, 6, 3681–3692. [Google Scholar]
- Reul, N.; Chapron, B. A model of sea-foam thickness distribution for passive microwave remote sensing applications. J. Geophys. Res. Ocean. 2003, 108, C10. [Google Scholar] [CrossRef]
- Mobley, C.D. Estimation of the remote-sensing reflectance from above-surface measurements. Appl. Opt. 1999, 38, 7442–7455. [Google Scholar] [CrossRef] [PubMed]
- Mobley, C.D. Light and Water: Radiative Transfer in Natural Waters; Academic Press: Manhattan, NY, USA, 1994. [Google Scholar]
- Lee, Z.; Hu, C. Global distribution of Case-1 waters: An analysis from seawifs measurements. Remote Sens. Environ. 2006, 101, 270–276. [Google Scholar] [CrossRef]
- Koepke, P. Effective reflectance of oceanic whitecaps. Appl. Opt. 1984, 23, 1816–1824. [Google Scholar] [CrossRef] [PubMed]
- Bortkovskii, R.; Novak, V. Statistical dependencies of sea state characteristics on water temperature and wind-wave age. J. Mar. Syst. 1993, 4, 161–169. [Google Scholar] [CrossRef]
- Ross, D.B.; Cardone, V. Observations of oceanic whitecaps and their relation to remote measurements of surface wind speed. J. Geophys. Res. 1974, 79, 444–452. [Google Scholar] [CrossRef]
- Callaghan, A.; de Leeuw, G.; Cohen, L.; O’Dowd, C.D. Relationship of oceanic whitecap coverage to wind speed and wind history. Geophys. Res. Lett. 2008, 35, L23609. [Google Scholar] [CrossRef]
- Moat, B.I.; Yelland, M.; Pascal, R. Oceanic whitecap coverage measured during UK-SOLAS cruises. In Proceedigs of 16th Conference on Air-Sea Interaction, Phoenix, AZ, USA, 10–15 January 2009.
- Zhao, D.; Toba, Y. Dependence of whitecap coverage on wind and wind-wave properties. J. Oceanogr. 2001, 57, 603–616. [Google Scholar] [CrossRef]
- Goddijn-Murphy, L.; Woolf, D.K.; Callaghan, A.H. Parameterizations and algorithms for oceanic whitecap coverage. J. Phys. Oceanogr. 2011, 41, 742–756. [Google Scholar] [CrossRef]
- Anguelova, M.D.; Webster, F. Whitecap coverage from satellite measurements: A first step toward modeling the variability of oceanic whitecaps. J. Geophys. Res.Ocean. 2006, 111, C3. [Google Scholar] [CrossRef]
- Sugihara, Y.; Tsumori, H.; Ohga, T.; Yoshioka, H.; Serizawa, S. Variation of whitecap coverage with wave-field conditions. J. Mar. Syst. 2007, 66, 47–60. [Google Scholar] [CrossRef]
- Monahan, E.C.; Muircheartaigh, I. Optimal power-law description of oceanic whitecap coverage dependence on wind speed. J. Phys. Oceanogr. 1980, 10, 2094–2099. [Google Scholar] [CrossRef]
© 2015 by the authors; licensee MDPI, Basel, Switzerland. This article is an open access article distributed under the terms and conditions of the Creative Commons Attribution license (http://creativecommons.org/licenses/by/4.0/).
Share and Cite
Xu, Z.; Zhou, W.; Sun, Z.; Yang, Y.; Lin, J.; Wang, G.; Cao, W.; Yang, Q. Estimating the Augmented Reflectance Ratio of the Ocean Surface When Whitecaps Appear. Remote Sens. 2015, 7, 13606-13625. https://doi.org/10.3390/rs71013606
Xu Z, Zhou W, Sun Z, Yang Y, Lin J, Wang G, Cao W, Yang Q. Estimating the Augmented Reflectance Ratio of the Ocean Surface When Whitecaps Appear. Remote Sensing. 2015; 7(10):13606-13625. https://doi.org/10.3390/rs71013606
Chicago/Turabian StyleXu, Zhantang, Wen Zhou, Zhaohua Sun, Yuezhong Yang, Junfang Lin, Guifen Wang, Wenxi Cao, and Qian Yang. 2015. "Estimating the Augmented Reflectance Ratio of the Ocean Surface When Whitecaps Appear" Remote Sensing 7, no. 10: 13606-13625. https://doi.org/10.3390/rs71013606
APA StyleXu, Z., Zhou, W., Sun, Z., Yang, Y., Lin, J., Wang, G., Cao, W., & Yang, Q. (2015). Estimating the Augmented Reflectance Ratio of the Ocean Surface When Whitecaps Appear. Remote Sensing, 7(10), 13606-13625. https://doi.org/10.3390/rs71013606
