Next Article in Journal
Resistance, Resilience, and Recovery Time of Grasslands in Response to Different Drought Patterns
Previous Article in Journal
Beyond the Remote Sensing Ecological Index: A Comprehensive Ecological Quality Evaluation Using a Deep-Learning-Based Remote Sensing Ecological Index
 
 
Font Type:
Arial Georgia Verdana
Font Size:
Aa Aa Aa
Line Spacing:
Column Width:
Background:
Article

Nonlinear Quantization Method of SAR Images with SNR Enhancement and Segmentation Strategy Guidance

1
Aerospace Information Research Institute, Chinese Academy of Sciences, Beijing 100094, China
2
Key Laboratory of Technology in Geo-Spatial Information Processing and Application System, Aerospace Information Research Institute, Chinese Academy of Sciences, Beijing 100190, China
3
School of Electronic, Electrical and Communication Engineering, University of Chinese Academy of Sciences, Beijing 100190, China
4
Key Laboratory of Target Cognition and Application Technology, Aerospace Information Research Institute, Chinese Academy of Sciences, Beijing 100190, China
5
School of Electronics and Information, Aerospace Information Technology University, Jinan 250299, China
*
Author to whom correspondence should be addressed.
Remote Sens. 2025, 17(3), 557; https://doi.org/10.3390/rs17030557
Submission received: 12 December 2024 / Revised: 18 January 2025 / Accepted: 28 January 2025 / Published: 6 February 2025
(This article belongs to the Section Remote Sensing Image Processing)

Abstract

The quantization process of synthetic aperture radar (SAR) images faces significant challenges due to their high dynamic range, resulting in notable quantization distortion. This not only degrades the visual quality of the quantized images but also severely impacts the accuracy of image interpretation. To mitigate the distortion caused by uniform quantization and enhance visual quality, this paper introduced a novel nonlinear quantization framework via signal-to-noise ratio (SNR) enhancement and segmentation strategy guidance. This framework introduces guiding information to improve quantization performance in weak scattering regions. A histogram adjustment method is developed to incorporate the spatial information of SAR images into the quantization process to enhance the quantization performance, specifically within weak scattering regions. Additionally, the optimal quantizer is improved by refining the SNR distribution across quantization units, addressing imbalances in their allocation. Experimental results based on Gaofen-3 (GF-3) satellite data demonstrate that the proposed algorithm approaches the global quantization performance of optimal quantizers while achieving superior local quantization performance compared to existing methods.

1. Introduction

Synthetic Aperture Radar (SAR) is an active microwave imaging technology that offers all-weather, day-and-night, and high-resolution ground observation capabilities, making it widely applicable in military surveillance, environmental remote sensing, and natural disaster detection [1,2,3]. However, SAR differs from optical imaging in its underlying mechanisms, and its imaging algorithms are diverse, including range-Doppler Algorithm [4], chirp-scaling Algorithm [5], polar-format algorithm [6], and compressed sensing Algorithm [7]. The SAR images obtained through these algorithms contain abundant information about target scattering intensity and exhibit high dynamic range (HDR) characteristics. This characteristic results in a vast intensity dynamic range in the images. Traditional methods, such as uniform quantization and log quantization, often struggle with the impact of strong scatterers when processing SAR images, leading to poor overall visual quality and significant quantization distortion. This distortion diminishes the quality of SAR image products and adversely affects the subsequent processing of SAR images.
In practical applications, SAR images are often quantized into 8-bit or 16-bit grayscale images for efficient storage and display. However, due to the HDR of SAR images, the visual quality of these quantized grayscale images is often poor, with significant quantization distortion. To improve visual quality, researchers often discard the pixel values of strong scatterers and then apply linear stretching to the remaining pixel values to span the full dynamic range [8], while this approach enhances visual quality, it results in a loss of radiometric information in strong scattering regions, thus reducing the accuracy of subsequent applications [9]. Dynamic range compression must be applied to SAR images before quantization to minimize the negative impact of HDR characteristics on quantization performance while preserving critical information. This compression is a crucial step in nonlinear quantization, effectively mitigating the influence of HDR on quantization outcomes and enhancing overall quantization performance.
Dynamic range compression methods are generally divided into two categories: filter-based techniques and transfer function-based techniques. However, filter-based methods tend to disrupt the ranks of intensity levels, making them fundamentally unsuitable for SAR image dynamic range compression, with inherent limitations [10,11,12]. In contrast, transfer function-based methods preserve intensity rank by using a monotonic function to map input HDR image values to low dynamic range (LDR) image values, ensuring that the output histogram maintains the correct grayscale order. Transfer function-based methods can be further categorized into handcrafted mapping functions and histogram–based techniques. Handcrafted mapping functions rely on expert-designed tone mapping operator (TMO) curves to map radiometric intensity values to a suitable dynamic range [13,14,15,16]. However, these methods do not achieve the theoretically minimal compression loss. For instance, an adaptive logarithmic mapping method was proposed, which adjusts the dynamic range by introducing a logarithmic bias [17]. An automatic transformation technique is proposed to enhance image brightness by using gamma correction and the probability distribution of brightness pixels [18]. At the same time, Reinhard et al. designed a complex mapping model inspired by biological photoreceptors, adjusting image dynamic range by simulating light adaptation effects [19]. In the context of adjusting the dynamic range of SAR images, several mapping functions from the optical image domain have been applied to the dynamic range compression of SAR images, and an interactive visualization framework for SAR data has been developed [20]. Gavrovska et al. explored the effects of different mapping functions on SAR image quality [21]. However, since handcrafted tone mapping curves depend heavily on expert knowledge, they struggle to adapt automatically to the statistical properties of SAR images, making the design process complex and limiting the performance of the quantization results. Typical histogram–based mapping techniques include Histogram Equalization (HE) and its various variants [22,23,24,25,26,27]. A locally constrained HE method is introduced to ensure continuous variation of local grayscale transformations in the spatial domain [28]. Duan et al. combined HE with linear mapping using a weighted fusion method, proposing a formula for calculating the weight parameters, thereby achieving a balanced fusion between linear mapping and histogram equalization in terms of visual effect [29]. To further preserve brightness and naturalness, some researchers have developed derived methods of HE, which decompose the histogram into multiple sub-histograms and apply equalization independently to each sub-histogram. For example, Wang et al. divided the histogram into two sub-images based on the probability density distribution of the image and then equalized and merged them into a single image [30]. Histogram equalization brightness preservation model is proposed, which segments the image histogram based on the grayscale mean criterion and applies equalization to each sub-histogram separately [31]. The Brightness Preserving Dynamic Histogram Equalization (BPHE) algorithm is proposed, which partitions the histogram based on local extrema, ensuring that the average brightness of the output image is nearly identical to that of the input image [32]. To address the over-enhancement issue inherent in HE, a method was proposed that transforms the dynamic range compression problem into finding the maximum weighted path in a K-edge graph [33]. This method uses linear programming to solve the contrast enhancement problem under constraint optimization and achieves the desired visual effect by imposing distortion constraints, ensuring the dynamic range meets visual expectations. Wu et al. developed a contrast enhancement framework with optional constraints, allowing the desired visual effect to be achieved by adding and fine-tuning constraints [34]. A nonlinear quantization method based on information entropy was proposed to address the HE issue in SAR images [35]. By constraining reflectance distortion, this method preserves the maximum entropy of the SAR image and visualizes the images.
In practical application, existing dynamic range compression techniques tend to prioritize image visual quality. However, there is often a trade-off between reducing quantization distortion and improving visual appearance, meaning these techniques fail to achieve an optimal nonlinear quantization result with minimal distortion. Furthermore, current quantization methods focus on global quantization outcomes, neglecting optimization for specific weak scattering region. In complex scenes, the diverse object types and complex statistical characteristics of SAR images can adversely affect the quantization performance of these weak scattering regions. A nonlinear quantization method for SAR images based on a segmentation strategy is proposed to enhance the performance of quantization algorithms for weak scatterers in complex scenes. Firstly, the method specifically extracts and quantizes sparse, strong scatterers in SAR images. Further, a quantization distortion optimization model is refined to minimize the quality difference between the reconstructed and original images. Considering weak scatterers’ signal-to-noise ratio (SNR), a quantization method guided by SNR is employed. Therefore, this approach significantly improves the quantization SNR of weak scatterers while maintaining a near-globally optimal SNR.
This paper is organized as follows. In Section 2, related research on nonlinear quantization is introduced, covering the construction of a global quantization distortion model and the concept of segmentation-guided nonlinear quantization. Section 3 provides some basic information about the SAR nonlinear quantization method, including an overview of the process and several vital innovations. Section 4 validates the effectiveness of the proposed method using GF data. Section 5 discusses the algorithm and experimental results, and in Section 6, we summarize the main findings of this paper.

2. Insights of Existing Quantization Distortion Models

This section mainly introduces the research related to nonlinear quantization, including an overview of the global quantization distortion model, the application of image segmentation strategies in nonlinear quantization, and the fundamental assumptions in the nonlinear quantization process.

2.1. Quantization Distortion Model

Dynamic range compression is the core of the nonlinear quantization method for SAR images. Dynamic range compression aims to preserve sufficient information in the LDR image while ensuring high-quality reconstruction of the HDR SAR image during inverse mapping. As a result, the quantization performance depends on the discrepancy between the reconstructed and original images. Nonlinear quantization aims to identify the optimal global tone mapping curve that minimizes the mean squared error between the reconstructed and original images. The optimization process for the mapping function in the nonlinear quantization method is shown in Figure 1. Let x denote the input SAR amplitude image, and y denote the amplitude image after mapping. Let y ˜ also represent the quantized reconstructed amplitude image, and x ˜ denote the reconstructed amplitude image after inverse mapping. Additionally, let s k represent the parameter set that controls the mapping. The objective of the optimization function is to find the optimal mapping parameters that minimize the mean square error (MSE).
In typical distortion scenarios, the optimization problem for quantization distortion can be approximated by a near-optimal, simplified, closed-form solution. Piecewise linear functions are often employed instead of continuous, non-decreasing tone mapping functions to ease the solution process. Specifically, suppose the segments of the piecewise linear function have a constant width between nodes within the HDR amplitude range. In that case, the mapping function can be uniquely determined by a set of defined slopes:
s k = y k + 1 y k δ
y = ( x x k ) · s k + y k
where each segment k has an equal width, and the width is δ .
Since uniform quantization is employed in the quantization process, it can be assumed that the variance of the distortion noise introduced by quantization is independent of the signal distribution. Furthermore, if we assume that the true mapping function f ( x ) exhibits local linear characteristics (meaning that the slopes at the distorted pixel values and the corresponding original pixel values are equal), then the optimization problem can be expressed in Equation (3):
arg min s 1 s N x = x min x max p ( x ) s k 2 s . t . k = 1 N s k · δ = y max
where p ( x ) represents the histogram of the image. The assumption underlying this simplification is that the quantization distortion is not significant enough to disrupt the local linear characteristics, implying that the slope of the mapping curve remains unaffected by the distortion error introduced during quantization. This assumption enables us to avoid non-differentiable situations in uniform quantization. By utilizing the first-order Lagrange Karush–Kuhn–Tucker (KKT) optimality conditions, the solution can be expressed as follows:
s k = y max · p k 1 / 3 δ · k = 1 N p k 1 / 3
Similarly, in the study of the optimal quantizer, it has been demonstrated that the contribution of each quantization unit to the total average distortion should be approximately equal [36,37]. This finding leads to deriving the optimal quantization point density function for the compander [38].
λ x = f 1 / 3 x f 1 / 3 x d x
It can be observed that the optimal quantization point density function’s form closely resembles that of Equation (4), with both being proportional to the probability density function of the input image’s intensity values.

2.2. Segmentation-Guided Nonlinear Quantization

In the previous section, it was mentioned that the core idea of the optimal quantizer is to ensure that each quantization unit’s total average distortion contribution remains consistent. The optimal quantizer can automatically adapt to the statistical distribution characteristics of the image, providing significant advantages. On the one hand, the optimal quantizer does not require any prior information; on the other hand, its global quantization distortion can achieve a theoretical minimum, thus approaching the maximum quantization SNR. However, because the optimal quantizer aims to achieve global minimum quantization distortion, it may result in significant distortion in local quantization performance. Specifically, for quantization noise of the same magnitude, the quantization SNR of strong scatterers is typically much higher than that of weak scatterers. Moreover, the magnitude distribution of SAR images is unique, with a small number of sparse strong scatter points that may affect the stability of the optimal quantizer. Therefore, handling separately sparse strong scattering pixel values is necessary to avoid excessive compression in the strong scattering regions during quantization.
From the form of Equation (4), it is clear that the shape of the mapping curve is directly related to the distribution characteristics of the image. Additionally, during the mapping process, the density distribution of the quantization cells in the quantizer is closely linked to the shape of the curve. Therefore, adjusting the histogram distribution of the image during quantization can enhance the local performance of the quantizer. The image segmentation-based nonlinear quantization method strategy involves distinguishing between strong and weak scattering regions based on the segmentation results. This leads to the creation of a new weighted histogram by merging the two sub-histograms, which is then used to derive an improved distribution of quantization intervals through the optimal quantizer method.
Based on the above analysis, it can be assumed that the strong and weak scattering regions in SAR images exhibit distinct statistical distribution characteristics, and these regions can be effectively distinguished using a simple and efficient histogram segmentation approach. The segmentation-guided nonlinear quantization essentially involves fine-tuning the image histogram based on spatial information. This paper employs a segmentation method that combines histogram segmentation with morphological transformations, aiming to differentiate regions of varying scattering intensities. By incorporating the segmentation results to refine the quantization intervals, the nonlinear quantization algorithm can effectively enhance the quantization performance in weak scattering regions.

3. Proposed Algorithm

This section primarily introduces the nonlinear quantization method based on signal-to-noise ratio enhancement and segmentation guidance. Figure 2 illustrates the overall framework of the algorithm, which encompasses the extraction of sparse strong scatterers, the histogram fine-tuning method guided by segmentation, and the nonlinear quantization algorithm designed to enhance the local SNR.
The task of nonlinear quantization aims to suppress quantization distortion and enhance the visualization of SAR images. As depicted in Figure 2, the proposed method consists of four modules: (i) a sparse strong scatterer extraction method is employed to address the long-tailed histogram distribution of SAR images, where strong scatterers occupy an excessively large range, thus improving algorithm stability; (ii) image segmentation is utilized to distinguish between sea and land regions, obtaining histogram distribution characteristics for each area; (iii) a histogram fine-tuning method based on cross-information entropy is introduced to merge sub-histograms into a new fine-tune histogram; (iv) to address the issue of imbalanced SNR allocation, the optimization function of the nonlinear quantizer is improved, and the refined histogram is used to generate the final quantization interval distribution.

3.1. Sparse Strong Scatterer Extraction Method

Before performing nonlinear quantization on SAR images, extracting sparse, strong scattering points is a crucial preprocessing step. The histogram of SAR images typically exhibits an unimodal shape, with most pixel values concentrated in the lower quantization levels. Therefore, extracting these sparse, strong scattering points is especially important to avoid excessive compression in subsequent nonlinear quantization. Strong scattering points often correspond to important targets and features in the image, such as buildings and metallic structures. Extracting and quantizing these points separately can prevent excessive compression during subsequent quantization, thereby enhancing the algorithm’s stability.
The extraction of strong scattering points for 16-bit quantization consists of three main steps. First, a coarse uniform quantization of the obtained SAR magnitude image is conducted to generate a histogram with a lower quantization bit depth (set to 12 bits). This step allows us to determine the distribution of sparse, strong scatterers at a larger scale. Next, we identify the sparse strong scatterers from the coarse quantized histogram, extracting their locations and determining a truncation threshold. Finally, the coarse quantization thresholds are mapped back to the magnitude of the original image. The sparse, strong scatterers are assigned their own quantization intervals in the subsequent quantization process. The main workflow of the algorithm is illustrated in Algorithm 1. Coarse quantization is used to obtain the coarse quantization intervals Q ( n ) . During the quantization process, the image amplitude I x , y satisfies Q n I x , y Q n + 1 , meaning I x , y belongs to the n-th quantization level. The truncation threshold t for sparse strong scatterers is extracted by finding the zero value index. For image amplitudes greater than t, a one-to-one mapping between quantization intervals and amplitudes is applied to suppress the impact of strong scatterers on subsequent nonlinear quantization.
Algorithm 1 Sparse Strong Scatterer Extraction Algorithm
Input: SAR magnitude image, Coarse quantization bit depth N = 12 bits
Output: Truncation threshold t, Sparse point quantization intervals Q s = q 1 , q 2 , , q K 1
 1: Perform N-bit uniform quantization on the amplitude image, the normalized histogram p ( n ) of the image is computed, along with the quantization intervals Q ( n ) .
 2: Search for the first index n 0 where the normalized histogram p ( n 0 ) equals zero, and truncation threshold t = Q ( n 0 ) .
 3: Extract the pixel points greater than the threshold t and sort them in ascending order to obtain m ( k ) .
 4: Use Q s ( k ) to store the boundaries of the quantization intervals.
 5: for each k [ 1 , K 1 ]  do
 6:    Q s k = m k + m k + 1 / 2
 7: end for
 8: return t, Q s

3.2. Histogram Refinement Method Guided by Image Segmentation

3.2.1. Image Segmentation Method

Various methods are available for segmenting SAR images. In the context of nonlinear quantization, the segmentation results are utilized to enhance the quantization performance of specific image regions. In traditional uniform quantization and logarithmic quantization, strong scattering regions in SAR images can compress the dynamic range of weak scattering pixels, leading to a decline in quantization performance and poor visual quality of the generated images. The introduction of image segmentation results provides spatial prior information for the nonlinear quantization algorithm to improve the quantization effectiveness in local regions.
We propose a segmentation method that combines histogram segmentation with morphological processing to address the weak quantization signal-to-noise ratio in the weak scattering regions of images. First, histogram segmentation intuitively distinguishes between weak and strong scattering areas in the SAR image, where the histograms of different regions do not overlap. This segmentation result serves as prior information for the nonlinear quantization algorithm, effectively enhancing quantization performance at low quantization levels. The histogram segmentation employs the Otsu method, using class variance as the criterion, selecting the image grayscale value that maximizes inter-class variance while minimizing intra-class variance as the optimal segmentation threshold [39,40]. The optimization problem can be expressed as follows:
σ 2 ( e ) = p L ( μ L μ ) 2 + p U ( μ U μ ) 2
e = arg max 0 < p L < 1 σ 2 ( e )
where p L is the cumulative probability for low quantization levels, p U is the cumulative probability for high quantization levels, μ is the overall mean grayscale value of the image, μ L is the mean grayscale value for low quantization levels, and μ U is the mean grayscale value for high quantization levels. By solving the above optimization problem, the optimal segmentation threshold can be obtained.
However, in SAR images, the histograms of weak and strong-scattering target regions often have overlapping intervals. A single histogram segmentation method can only differentiate between low quantization levels without considering spatial information. Morphological processing is also needed to incorporate spatial contextual information into the segmentation results. The connectivity and completeness of the local regions can be enhanced by applying dilation to the histogram segmentation results. The process can be expressed as follows:
A B = x | B ^ x A
where B represents the histogram segmentation result of the SAR image, and A denotes the structuring element used in the dilation operation. This method employs a circular structuring element with a radius of 5.

3.2.2. Histogram Fine-Tuning Algorithm

The core idea behind the histogram fine-tuning algorithm is to adjust the shape of the histogram to control the distribution of the quantizer’s intervals. Specifically, we select a sub-histogram as a template for adjustment and apply a fine-tuning algorithm to perform weighted fusion, resulting in a new histogram. The fine-tuned histogram is then used as the input to the nonlinear quantization algorithm, which enhances the local quantization performance of the image. Moreover, adjusting different template histograms can improve the quantization performance of specific local regions. The formula for histogram fusion is as follows:
p f ( i ) = w ( i ) · p L ( i ) + ( 1 w ( i ) ) · p U ( i )
where p f ( i ) represents the global histogram, p L ( i ) represents the sub-histogram of the weak scattering region, and p U ( i ) represents the sub-histogram of the strong scattering region. w is the weight vector, and each quantization level corresponds to a weight in the vector.
To improve the quantization SNR in the weak scattering region, the sub-histogram of the weak scattering region is used as the template histogram, and the weight vector parameters are optimized, ensuring that the fused histogram closely approximates the template. A quantitative metric is necessary to measure the similarity between the two histograms. Cross-entropy, a common measure in information theory to describe the divergence between two probability distributions, is employed here. We use cross-entropy to quantify the difference between the fused histogram and the template sub-histogram. Cross-entropy intuitively reflects the degree of information loss. Moreover, it imposes a noticeable penalty on the weights during computation, meaning that when the fused histogram distribution deviates significantly from the sub-histogram distribution, it contributes more to the loss. By minimizing the cross-entropy function, we can derive the optimized weight vector. The form of the cross-entropy function is as follows:
w = arg min 0 < w ( i ) < 1 i N p L ( i ) log ( p f ( i ) )
where N represents the number of quantization levels corresponding to the histogram. A constraint is applied to the weight w, ensuring it remains within the range (0,1). Without such constraints, the optimization algorithm would directly adjust the fused histogram to take the shape of the template sub-histogram. We introduce the sigmoid function to enforce this range constraint to adjust the weight w. The form of the sigmoid function is as follows:
w ^ = 1 1 + e w
where w serves as the true optimization variable, allowing it to take any real number. During the subsequent optimization process, no further constraints need to be applied w. The range constraint of (0,1) is applied to w ^ to ensure that the fused histogram does not overfit. The new form of the optimization problem is as follows:
w = arg min w ( i ) i N p L ( i ) log ( p f ( i ) )
p f ( i ) = w ^ ( i ) · p L ( i ) + ( 1 w ^ ( i ) ) · p U ( i )
By applying the sigmoid function to replace the range constraint on w, the constrained optimization problem (10) is transformed into an unconstrained optimization problem (12). We solve this optimization problem using the gradient descent algorithm. The iteration formula of the algorithm is as follows:
w ( k + 1 ) ( i ) = w ( k ) ( i ) + α δ C E δ w ( k ) ( i )
δ C E δ w ( k ) ( i ) = p L ( i ) p L ( i ) p H ( i ) p f ( k ) ( i ) w ^ ( k ) ( i ) 1 w ^ ( k ) ( i )
where w ( k ) ( i ) R , w ^ ( k ) ( i ) 0 , 1 . The gradient calculation only requires the sub-histograms of the strong scattering and weak scattering regions. During the optimization process, the shape of the fused histogram gradually aligns with the template sub-histogram. However, due to the constraint imposed by the sigmoid function, the optimization result of the fused histogram will not overfit the template sub-histogram.

3.3. SNR Enhanced Nonlinear Quantization Method

In Section 2.1, it was mentioned that each quantization unit of an optimal quantizer should contribute roughly equally to the total average distortion. This conclusion is primarily based on minimizing the global quantization distortion to achieve the optimal overall SNR. However, weak scattering targets often exhibit much lower scattering intensity in practical applications. For the same level of quantization distortion, the SNR in weak scattering regions is typically much lower than in strong scattering regions. We aim to enhance the local SNR while keeping the overall quantization distortion relatively low. To address this, we propose an SNR-enhanced nonlinear quantization method. This method introduces SNR constraints for each quantization unit into the distortion model discussed in Section 2.1, ensuring that the quantization SNR across all quantization units is more balanced. The SNR is used to measure the distortion between the original intensity and the quantized intensity in different quantization units:
S N R = 10 log 10 x Ω k x 2 x Ω k x x ^ 2
where Ω k represents the set of pixel points belonging to the k-th quantization cell, denotes the pixel values of the original image and indicates the pixel values of the reconstructed image. In the optimization problem modeling presented in Equation (3), the original optimization objective focused solely on uniformly distributing the total average distortion across different quantization units without considering the quantization SNR of each cell. To address this issue, the objective function of the optimization problem needs to incorporate a new SNR constraint, which can be expressed as follows:
arg min s 1 s N k = 1 N p k s 2 k + k = 1 N p k d k s 2 k s . t . k = 1 N s k · δ = y max
In this formulation, the optimization objective function’s first term represents the quantization’s global distortion. Retaining this term ensures that the global quantization performance is considered during optimization. The second term is the sum of the quantization SNRs for the N quantization cells. Incorporating this term into the optimization objective aims to achieve a consistent quantization SNR across each quantization unit. This approach aims to enhance the SNR in weak scattering regions while simultaneously suppressing the SNR in strong scattering regions.
However, the expression in Equation (17) presents some challenges in practical applications. Due to the HDR of SAR images, the magnitude order of the second part, which represents the SNR objective function, does not align with that of the first part, which represents the distortion objective function. This mismatch can lead to instability in the optimization results. Consequently, the optimal solution might heavily favor either minimizing the global distortion or maximizing the sum of the SNRs, both undesirable outcomes. To avoid this potential overfitting issue, we introduce a power normalization factor to the second term of Equation (17), transforming it into:
arg min s 1 s N k = 1 N p k s 2 k + k = 1 N p k d d k s 2 k s . t . k = 1 N s k · δ = y max
where d represents the total power of the original image. By normalizing the power coefficient, the optimization problem of the objective function will no longer experience overfitting. To solve the expression in Equation (18), we can utilize the first-order Karush-Kuhn-Tucker optimality conditions, resulting in the solution taking the following form:
s k = y max · ( p k M d ) 1 / 3 δ · k = 1 N ( p k M d ) 1 / 3
M d = d + d k d k

4. Experimental Results and Analysis

4.1. Experimental Data

The experimental data are sourced from SAR images captured by the Gaofen-3 (GF-3) satellite. The GF-3 dataset provides extensive imaging coverage of various landscapes across different land cover types. The selected GF-3 data include a variety of terrains, such as ocean areas, land environments, urban regions, and coastal zones. The details of data encompass both detail features, such as ships and buildings, and textural features, including vegetation, roads, and ocean waves. Different land cover types exhibit varying levels of complexity and distinct dynamic range characteristics. In the subsequent experiments, we compared the dynamic ranges of images from different land cover types. Our goal is to evaluate the performance and overall quantization effects of the nonlinear quantization method on weak scatterer regions of complex SAR images and analyze how different dynamic ranges impact the performance of various quantization methods. This diverse dataset will provide a comprehensive assessment of the effectiveness of the proposed method in enhancing quantization performance in challenging scenarios. Table 1 shows the SAR image parameters of the GF-3 images.

4.2. Quantization Signal−to−Noise Ratio

The quantization signal-to-noise ratio (Q–SNR) evaluates the distortion between the quantized and reconstructed images by treating the distortion as noise. A higher Q–SNR value indicates a smaller difference between the original and reconstructed images, signifying better performance of the quantization algorithm. Thus, an increase in Q–SNR reflects improved fidelity of the quantization process to the original image.
S N R = 10 log 10 i = 1 N j = 1 M o i , j i = 1 N j = 1 M o i , j o ^ i , j 2
In this context, o represents the original image, while o ^ represents the reconstructed image generated by the quantization algorithm.

4.3. Visualization of the Dynamic Range of SAR Images

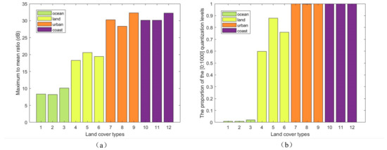
The high dynamic range characteristics of the SAR image after 16-bit uniform quantization were visualized, as shown in Figure 3. By analyzing the histogram proportion of the [1: 1000] quantization levels in uniform quantization, it was observed that the high dynamic range compresses the range of lower quantization levels, concentrating the image amplitudes within these lower levels. During quantization, most of the higher quantization levels have no amplitude distribution, leading to a waste of quantization resources and resulting in significant quantization distortion.

4.4. Experimental Results of Sparse Strong Scattering Point Extraction Algorithm

According to the algorithm described in Section 3.1, the extraction method is based on a coarse quantization histogram, and we applied a 12-bit quantization depth to the images. Experimental results show that a 12-bit quantization depth effectively extracts a reasonable number of strong scatter points. In the experiments, the average number of extracted sparse strong scatter points was only 1091. Therefore, within the high quantization level range, the image amplitude distribution can be considered sparse. The extraction results for different images are shown in Figure 4. From the coarse quantization extraction results, it can be observed that the image amplitude is mainly concentrated in the lower grayscale levels of uniform quantization, leading to significant waste of the quantization range corresponding to higher grayscale levels. This also results in severe distortion in the subsequent quantization process.

4.5. Experimental Results of Histogram Adjustment Algorithm

After extracting the sparse strong scatter points, the image histogram is adjusted. First, a segmentation method is used to distinguish between strong and weak scattering regions in the SAR image. Specifically, we employ histogram-based segmentation to separate the two regions. Morphological processing is then applied to incorporate spatial context information into the segmentation results. Some of the segmentation results are shown in Figure 5. Experimental results demonstrate that the proposed segmentation method effectively extracts strong and weak scatter target regions in complex scenes. From the histogram segmentation results in the second column of the figure, it can be seen that there are numerous small segmented regions with errors for the land areas. These regions are incorrectly classified due to the lack of consideration for the two-dimensional spatial context. The histogram–based segmentation method relies only on a one-dimensional histogram to determine the threshold, which cannot fully account for the overlap between the histogram of strong and weak scattering regions in SAR images. The Otsu method, by focusing solely on histogram variance, struggles to differentiate these overlapping regions. By incorporating morphological transformations, which utilize two-dimensional spatial information, the method effectively reduces the occurrence of these small erroneous regions in the strong scattering areas.
After obtaining the different scattering target regions through the segmentation method, the sub-histograms of these regions are statistically analyzed. Subsequently, the global histogram shape is adjusted based on the histogram fine-tuning algorithm described in Section 3.2. In the fine-tuning algorithm, the learning rate for gradient descent is set to 0.01. As shown in Figure 6, the results of histogram fine-tuning for different images are displayed. It is evident that the distribution characteristics of the sub-histograms for different regions are distinctly different, which further validates the effectiveness of the histogram segmentation method. Moreover, after fine-tuning, the shape of the global histogram is closer to that of the sub-histogram for the weak scattering target region.

4.6. Experimental Results of Nonlinear Quantization Based on Signal-to-Noise Ratio Enhancement

After extracting sparse, strong scattering points and fine-tuning the histogram, we obtained the quantization levels allocated to the nonlinear quantizer and the fused histogram. The mapping function of the nonlinear quantization algorithm can be obtained using Equation (19). Here, we set the number of segments for the piecewise linear function to 500. Therefore, the p ( k ) in Equation (19) can be obtained from the fused histogram. To calculate the d ( k ) in Equation (20), we performed uniform quantization on the image with a quantization level of 500 and then computed the power for each quantization level. Ultimately, we achieved an optimal quantizer enhanced for the weak scattering target region. The visual results of the images for different land cover types after quantization are shown in Figure 7, along with the visual effects of images processed through uniform quantization, logarithmic quantization, and histogram equalization.
To objectively and quantitatively evaluate the proposed nonlinear quantization method, the Q–SNR metric was used to compare the experimental results of different quantization methods, including logarithmic quantization, histogram equalization, optimal quantization, and the proposed nonlinear quantization method. The quantitative results of different methods for Different Land Cover Types are depicted in Table 2. Compared to all other methods except the optimal quantization, the proposed algorithm achieves improved Q–SNR performance in global quantization, with the global Q–SNR only 2 dB lower than the optimal quantization.
Furthermore, we conducted a statistical analysis of the Q–SNR for weak scattering target areas in the coastal zone scene. The experimental results are shown in Table 3, indicating the effectiveness of the proposed nonlinear quantization method in weak scattering target areas. The selected weak scattering regions in the images are shown in Figure 8.
We compared the quantization distortion of the proposed method with that of the optimal quantizer across different quantization units, as shown in Figure 9. Due to using a piecewise linear function for dynamic range compression, the quantization distortion curves exhibit distinct segmentation characteristics. This occurs because the slope of the mapping function directly determines the density distribution of the quantization units. Variations in the slopes across different segments result in abrupt changes in the distortion curve at segment boundaries. From the distortion curve distributions of both methods, it can be observed that the proposed method effectively suppresses quantization distortion in the low quantization level range by incorporating SNR distribution constraints and segmentation information into the quantization process. This improvement shifts the majority of distortion to the higher quantization levels, optimizing the overall distortion distribution. However, compared to the optimal quantizer, this local optimization comes with a slight reduction in global quantization SNR, leading to a marginally higher total distortion. This observation aligns with the experimental results shown in Table 2 and Table 3. Although there is a sacrifice in global quantization SNR, the proposed method significantly improves the local quantization SNR, particularly in the low quantization level range. This result indicates that the proposed method has clear advantages in application scenarios that focus on enhancing local image quality.
We further compared the quantization SNR across different quantization levels for various methods, as illustrated in Figure 10. To provide a clearer understanding of performance at lower quantization levels, we also presented detailed results for the range [0, 3000] in Figure 11. These results demonstrate that the proposed method consistently achieves higher quantization SNR in the low quantization level range compared to other approaches, indicating its effectiveness in preserving critical image information even under constrained quantization conditions. Additionally, the quantization SNR curve for the histogram equalization method reveals a pronounced over-compression in the high quantization level range. This over-compression redistributes dynamic range unevenly, which directly compromises its overall quantization performance and makes it less suitable for high-fidelity applications.
In Figure 9, regions with sharp variations in SNR highlight the impact of sparse, strong scattering points on the quantization process. Specifically, strong scattering points are sparsely distributed, with only a few quantifiable pixel values within certain quantization ranges. Due to the limited number of quantifiable pixel values, the distribution of quantization SNR no longer exhibits a regular pattern. From this, it can be concluded that the jitter in the SNR variation curve is directly related to the distribution range of the strong scattering points. Therefore, the quantization interval range where this jitter occurs can be used to assess how well different methods handle sparse, strong scattering points. Compared to uniform quantization, both logarithmic quantization and optimal quantization methods significantly reduce the distribution range of strong scattering points through amplitude compression. By combining segmentation-guided strategies, sparse strong scatterer extraction, and SNR enhancement, the proposed method effectively constrains the distribution range of strong scattering points and mitigates the jitter phenomenon in the SNR curve. More importantly, the proposed method demonstrates excellent performance in the low quantization level range.
In order to better understand the computational demands and efficiency of the proposed method, we compared the computational complexity of the proposed algorithm, histogram equalization, and optimal quantization, as shown in Table 4. Assuming the image size is m × n , all three methods require histogram computation, which has a computational complexity of O m n . The dynamic range adjustment in the nonlinear quantization process involves a computational cost much smaller than O m n , which can be neglected. As a result, the proposed method only requires additional computation during the image traversal stage to calculate the signal power corresponding to each quantization level, with its time complexity being similar to that of the other existing methods.

4.7. Radiometric Preservation Property of the Proposed Quantization Method

To evaluate the impact of different quantization methods on subsequent SAR image interpretation, experiments applied K-means++ clustering to quantized images, using a land–sea segmentation task to verify the radiometric preservation property of the quantization methods. The segmentation results are shown in Figure 12. We selected the F 1 score as the evaluation metric to quantitatively assess the impact of different quantization methods on segmentation performance. The F 1 score is interpreted as the harmonic mean of precision and recall, achieving its best value at 1 and worst value at 0:
F 1 = 2 × P P V × T P R P P V + T P R
The F 1 score curve is shown in Figure 13, where it can be observed that the proposed nonlinear quantization method outperforms the existing comparison methods in the land–sea segmentation task.

5. Discussion

This paper proposes a nonlinear quantization method for SAR images based on SNR enhancement and segmentation guidance validated through experiments on GF-3 image data. The main innovations of this work include optimizing the objective function of the quantization distortion model to improve the quantization SNR at low quantization levels, achieve better SNR allocation compared to optimal quantization, and minimize global quantization loss. Additionally, a segmentation-guided quantization model is introduced, which directs the quantizer to allocate quantization performance across different regions, enhancing the quantization of weak scattering regions.
In the optimization of the quantization distortion model, it is essential to balance the global and local Q–SNR. The research results show that the improved objective function can effectively enhance local quantization performance. By comparing the global Q–SNR and local Q–SNR, it becomes evident that enhancing the local quantization SNR inevitably leads to a reduction in the global quantization SNR. Due to the 16-bit quantization limitation, which restricts the number of quantization levels, the quantizer allocates more levels to weak scatterers during optimization. This, in turn, reduces the number of quantization levels for strong scatterers. As a result, the quantization distortion for strong scatterers increases while the distortion for weak scatterers decreases. The balance of quantization distortion is disrupted, and more distortion is assigned to strong scatterers. Consequently, the total global quantization distortion increases, leading to a decrease in global Q–SNR. However, this effectively enhances the Q–SNR for weak scatterers, improving the visual quality of weak scatterer regions. Despite the slight degradation in global quantization SNR, the local quantization SNR is significantly improved.
Furthermore, while the method introduced in this paper directly incorporates an SNR-based optimization objective to constrain SNR allocation during quantization, it does not consider the correlation between the two types of objective functions. As a result, the achieved performance is not optimal. In future research, it is recommended that researchers focus more on the issue of quantization interval allocation to develop a more comprehensive and theoretically rigorous quantization distortion model. Moreover, regarding segmentation-guided nonlinear quantization, this paper primarily implements the fusion of segmentation results on the histogram. The goal of guided quantization is to adjust the distribution of the histogram through features other than the histogram itself, thereby influencing the quantization performance of the quantizer. It is hoped that future researchers will propose more referable guided quantization methods in the field of SAR nonlinear quantization.

6. Conclusions

This paper presents a nonlinear quantization algorithm for SAR images based on SNR enhancement and segmentation strategy guidance, building upon the optimal quantizer. We have improved the mapping function to address the impact of the HDR characteristics of SAR images on quantization performance. First, a sparse, strong scatter point extraction method is developed to prevent excessive dynamic range compression. Next, a histogram fine-tuning approach guided by segmentation strategies is introduced, enabling the design of nonlinear quantization methods tailored for different scenes. Finally, we effectively resolved the issue of uneven SNR distribution in the optimal quantizer by enhancing the objective function for optimization.
Our method achieved better visual results through nonlinear quantization experiments on GF-3 data than uniform quantization and optimal quantization. It effectively suppressed quantization distortion, particularly enhancing the quantization performance of the quantizer in the low quantization level range. The extraction of sparse, strong scatter points improved the stability of the quantization method. Although our SNR distribution method effectively enhances the SNR at low quantization levels, it sacrifices some degree of global quantization performance. Experimental results demonstrate that the global quantization performance of the proposed method is still superior to other methods, except for the optimal quantizer, while improving the quantization performance at low levels. The reduced quantization distortion also provides a solid data foundation for downstream tasks such as SAR target interpretation.

Author Contributions

Z.Y. performed all experiments and wrote the paper; L.Z. and L.F. suggested the directions of the experiments; Z.Y., L.F. and J.Y. performed the results analysis and edited the manuscript; and Z.Y., L.F., J.Y. and L.Z. reviewed the results and reviewed the manuscript. All authors have read and agreed to the published version of the manuscript.

Funding

This work is supported by the National Key Research and Development Program of China (No.2022YFC2807001.2) and the Science and Disruptive Technology Program, AIRCAS under Grant E3Z20801.

Data Availability Statement

The data are unavailable due to privacy or ethical restrictions.

Conflicts of Interest

The authors declare no conflicts of interest.

References

  1. Moreira, A.; Prats-Iraola, P.; Younis, M.; Krieger, G.; Hajnsek, I.; Papathanassiou, K.P. A tutorial on synthetic aperture radar. IEEE Geosci. Remote Sens. Mag. 2013, 1, 6–43. [Google Scholar] [CrossRef]
  2. Amitrano, D.; Di Martino, G.; Guida, R.; Iervolino, P.; Iodice, A.; Papa, M.N.; Riccio, D.; Ruello, G. Earth environmental monitoring using multi-temporal synthetic aperture radar: A critical review of selected applications. Remote Sens. 2021, 13, 604. [Google Scholar] [CrossRef]
  3. Shen, X.; Wang, D.; Mao, K.; Anagnostou, E.; Hong, Y. Inundation extent mapping by synthetic aperture radar: A review. Remote Sens. 2019, 11, 879. [Google Scholar] [CrossRef]
  4. Cumming, I.G.; Wong, F.H. Digital processing of synthetic aperture radar data. Artech House 2005, 1, 108–110. [Google Scholar]
  5. Liu, G.G.; Zhang, L.R.; Liu, X. General bistatic SAR data processing based on extended nonlinear chirp scaling. IEEE Geosci. Remote Sens. Lett. 2012, 10, 976–980. [Google Scholar]
  6. Chen, J.; An, D.; Wang, W.; Luo, Y.; Chen, L.; Zhou, Z. Extended polar format algorithm for large-scene high-resolution WAS-SAR imaging. IEEE J. Sel. Top. Appl. Earth Obs. Remote Sens. 2021, 14, 5326–5338. [Google Scholar] [CrossRef]
  7. Dong, X.; Zhang, Y. A novel compressive sensing algorithm for SAR imaging. IEEE J. Sel. Top. Appl. Earth Obs. Remote Sens. 2013, 7, 708–720. [Google Scholar] [CrossRef]
  8. Sun, B.; Zuo, Z.; Wang, P. The Influence of Sar Image Quantization Method on Detection Precision. In Proceedings of the IGARSS 2018-2018 IEEE International Geoscience and Remote Sensing Symposium, Valencia, Spain, 22–27 July 2018; pp. 33–36. [Google Scholar]
  9. Yip, M.W.; Webb, A.A.G.; González, P.J. Quantized compression of SAR data: Bounds on signal fidelity, InSAR PS candidates identification and surface motion accuracy. Int. J. Appl. Earth Obs. Geoinf. 2023, 125, 103548. [Google Scholar] [CrossRef]
  10. Tomasi, C.; Manduchi, R. Bilateral filtering for gray and color images. In Proceedings of the Sixth International Conference on Computer Vision (IEEE Cat. No. 98CH36271), Bombay, India, 7 January 1998; pp. 839–846. [Google Scholar]
  11. He, K.; Sun, J.; Tang, X. Guided image filtering. IEEE Trans. Pattern Anal. Mach. Intell. 2012, 35, 1397–1409. [Google Scholar] [CrossRef]
  12. Xu, C.; Hong, Z.; Tong, X.; Liu, S.; Zhou, R.; Pan, H.; Zhang, Y.; Han, Y.; Wang, J.; Yang, S. Color correction and naturalness restoration for multiple images with uneven luminance. IEEE J. Sel. Top. Appl. Earth Obs. Remote Sens. 2024, 17, 7343–7358. [Google Scholar] [CrossRef]
  13. Mujtaba, N.; Khan, I.R.; Khan, N.A.; Altaf, M.A.B. A Fast HDR Image TMO based on a Simplified Eye Sensitivity Model. In Proceedings of the 2022 IEEE Workshop on Signal Processing Systems (SiPS), Rennes, France, 2–4 November 2022; pp. 1–6. [Google Scholar]
  14. Khan, I.R.; Aziz, W.; Shim, S.O. Tone-mapping using perceptual-quantizer and image histogram. IEEE Access 2020, 8, 31350–31358. [Google Scholar] [CrossRef]
  15. Han, X.; Khan, I.R.; Rahardja, S. High dynamic range image tone mapping: Literature review and performance benchmark. Digit. Signal Process. 2023, 137, 104015. [Google Scholar] [CrossRef]
  16. Schettini, R.; Gasparini, F.; Corchs, S.; Marini, F.; Capra, A.; Castorina, A. Contrast image correction method. J. Electron. Imaging 2010, 19, 023005. [Google Scholar] [CrossRef]
  17. Drago, F.; Myszkowski, K.; Annen, T.; Chiba, N. Adaptive logarithmic mapping for displaying high contrast scenes. Comput. Graph. Forum 2003, 22, 419–426. [Google Scholar] [CrossRef]
  18. Huang, S.C.; Cheng, F.C.; Chiu, Y.S. Efficient contrast enhancement using adaptive gamma correction with weighting distribution. IEEE Trans. Image Process. 2012, 22, 1032–1041. [Google Scholar] [CrossRef] [PubMed]
  19. Reinhard, E.; Devlin, K. Dynamic range reduction inspired by photoreceptor physiology. IEEE Trans. Vis. Comput. Graph. 2005, 11, 13–24. [Google Scholar] [CrossRef] [PubMed]
  20. Lambers, M.; Nies, H.; Kolb, A. Interactive dynamic range reduction for SAR images. IEEE Geosci. Remote Sens. Lett. 2008, 5, 507–511. [Google Scholar] [CrossRef]
  21. Gavrovska, A.; Reljin, I.; Samčović, A.; Milivojevic, M.; Zajić, G.; Starovoitov, V. On luminance reduction in high dynamic range synthetic aperture radar images. In Proceedings of the 2017 25th Telecommunication Forum (TELFOR), Belgrade, Serbia, 21–22 November 2017; pp. 1–4. [Google Scholar]
  22. Dubey, V.; Katarya, R. Adaptive histogram equalization based approach for sar image enhancement: A comparative analysis. In Proceedings of the 2021 5th International Conference on Intelligent Computing and Control Systems (ICICCS), Madurai, India, 6–8 May 2021; pp. 878–883. [Google Scholar]
  23. Muniyappan, S.; Allirani, A.; Saraswathi, S. A novel approach for image enhancement by using contrast limited adaptive histogram equalization method. In Proceedings of the 2013 Fourth International Conference on Computing, Communications and Networking Technologies (ICCCNT), Tiruchengode, India, 4–6 July 2013; pp. 1–6. [Google Scholar]
  24. Han, J.H.; Yang, S.; Lee, B.U. A novel 3-D color histogram equalization method with uniform 1-D gray scale histogram. IEEE Trans. Image Process. 2010, 20, 506–512. [Google Scholar] [CrossRef] [PubMed]
  25. Stark, J.A. Adaptive image contrast enhancement using generalizations of histogram equalization. IEEE Trans. Image Process. 2000, 9, 889–896. [Google Scholar] [CrossRef] [PubMed]
  26. Nithyananda, C.; Ramachandra, A. Review on histogram equalization based image enhancement techniques. In Proceedings of the 2016 International Conference on Electrical, Electronics, and Optimization Techniques (ICEEOT), Chennai, India, 3–5 March 2016; pp. 2512–2517. [Google Scholar]
  27. Hitam, M.S.; Awalludin, E.A.; Yussof, W.N.J.H.W.; Bachok, Z. Mixture contrast limited adaptive histogram equalization for underwater image enhancement. In Proceedings of the 2013 International Conference on Computer Applications Technology (ICCAT), Sousse, Tunisia, 20–22 January 2013; pp. 1–5. [Google Scholar]
  28. Zhu, H.; Chan, F.H.; Lam, F.K. Image contrast enhancement by constrained local histogram equalization. Comput. Vis. Image Underst. 1999, 73, 281–290. [Google Scholar] [CrossRef]
  29. Duan, J.; Bressan, M.; Dance, C.; Qiu, G. Tone-mapping high dynamic range images by novel histogram adjustment. Pattern Recognit. 2010, 43, 1847–1862. [Google Scholar] [CrossRef]
  30. Wang, Y.; Chen, Q.; Zhang, B. Image enhancement based on equal area dualistic sub-image histogram equalization method. IEEE Trans. Consum. Electron. 1999, 45, 68–75. [Google Scholar] [CrossRef]
  31. Chen, S.D.; Ramli, A.R. Contrast enhancement using recursive mean-separate histogram equalization for scalable brightness preservation. IEEE Trans. Consum. Electron. 2003, 49, 1301–1309. [Google Scholar] [CrossRef]
  32. Ibrahim, H.; Kong, N.S.P. Brightness preserving dynamic histogram equalization for image contrast enhancement. IEEE Trans. Consum. Electron. 2007, 53, 1752–1758. [Google Scholar] [CrossRef]
  33. Niu, Y.; Wu, X.; Shi, G. Image enhancement by entropy maximization and quantization resolution upconversion. IEEE Trans. Image Process. 2016, 25, 4815–4828. [Google Scholar] [CrossRef]
  34. Jiao, Y.; Niu, Y.; Liu, L.; Zhao, G.; Shi, G.; Li, F. Dynamic range reduction of SAR image via global optimum entropy maximization with reflectivity-distortion constraint. IEEE Trans. Geosci. Remote. Sens. 2018, 56, 2526–2538. [Google Scholar] [CrossRef]
  35. Wu, X. A linear programming approach for optimal contrast-tone mapping. IEEE Trans. Image Process. 2010, 20, 1262–1272. [Google Scholar]
  36. Gray, R.M.; Neuhoff, D.L. Quantization. IEEE Trans. Inf. Theory 1998, 44, 2325–2383. [Google Scholar] [CrossRef]
  37. Anavangot, V.; Kumar, A. Signal Source Distribution Approximation to Speedup Scalar Quantizer Design. IEEE Trans. Signal Process. 2021, 69, 6314–6328. [Google Scholar] [CrossRef]
  38. Panter, P.; Dite, W. Quantization distortion in pulse-count modulation with nonuniform spacing of levels. Proc. IRE 1951, 39, 44–48. [Google Scholar] [CrossRef]
  39. Yu, J.; Wu, M.; Li, C.; Zhu, S. A SAR image segmentation method based on otsu and level set. In Proceedings of the 2020 IEEE 9th Joint International Information Technology and Artificial Intelligence Conference (ITAIC), Chongqing, China, 11–13 December 2020; Volume 9, pp. 2189–2193. [Google Scholar]
  40. Otsu, N. A threshold selection method from gray-level histograms. Automatica 1975, 11, 23–27. [Google Scholar] [CrossRef]
Figure 1. Overview of the nonlinear quantization method framework.
Figure 1. Overview of the nonlinear quantization method framework.
Remotesensing 17 00557 g001
Figure 2. Overall framework of the proposed method.
Figure 2. Overall framework of the proposed method.
Remotesensing 17 00557 g002
Figure 3. Results of the dynamic range of SAR images and histogram proportion. (a) Dynamic range results of SAR images for different land cover types. (b) Histogram proportion of SAR images for different land cover types in the [1:1000] quantization level range.
Figure 3. Results of the dynamic range of SAR images and histogram proportion. (a) Dynamic range results of SAR images for different land cover types. (b) Histogram proportion of SAR images for different land cover types in the [1:1000] quantization level range.
Remotesensing 17 00557 g003
Figure 4. Extraction results of sparse strong scattering points. The orange regions indicate the distribution of strong scattering points, while the blue histograms represent the image histogram. (a) Histogram of the land scene. (b) Histogram of the coast scene. (c) Histogram of the ocean scene.
Figure 4. Extraction results of sparse strong scattering points. The orange regions indicate the distribution of strong scattering points, while the blue histograms represent the image histogram. (a) Histogram of the land scene. (b) Histogram of the coast scene. (c) Histogram of the ocean scene.
Remotesensing 17 00557 g004
Figure 5. Segmentation experiment results. (a,d,g) Original quantized images. (b,e,h) Histogram segmentation results. (c,f,i) Morphological transformation processing results.
Figure 5. Segmentation experiment results. (a,d,g) Original quantized images. (b,e,h) Histogram segmentation results. (c,f,i) Morphological transformation processing results.
Remotesensing 17 00557 g005
Figure 6. Histogram of fine-tuning experimental results. (af) Histogram fusion results of six different SAR coast scene images.
Figure 6. Histogram of fine-tuning experimental results. (af) Histogram fusion results of six different SAR coast scene images.
Remotesensing 17 00557 g006
Figure 7. Image quantization experimental results.
Figure 7. Image quantization experimental results.
Remotesensing 17 00557 g007
Figure 8. Local effects of nonlinear quantization experiment. (a) Original image, with the selected weak scattering area indicated by a red box. (b) Uniform quantization. (c) Histogram equalization. (d) Logarithmic quantization. (e) Optimal quantization. (f) The algorithm proposed in this paper.
Figure 8. Local effects of nonlinear quantization experiment. (a) Original image, with the selected weak scattering area indicated by a red box. (b) Uniform quantization. (c) Histogram equalization. (d) Logarithmic quantization. (e) Optimal quantization. (f) The algorithm proposed in this paper.
Remotesensing 17 00557 g008
Figure 9. Quantization distortion experimental results for each quantization levels.
Figure 9. Quantization distortion experimental results for each quantization levels.
Remotesensing 17 00557 g009
Figure 10. Q–SNR experimental results for each quantization level.
Figure 10. Q–SNR experimental results for each quantization level.
Remotesensing 17 00557 g010
Figure 11. Q–SNR experimental results at the quantization levels of [0, 3000].
Figure 11. Q–SNR experimental results at the quantization levels of [0, 3000].
Remotesensing 17 00557 g011
Figure 12. Ground truth and clustering results with different methods. (a) Original image. (b) Ground truth label. (c) Histogram equalization clustering. (d) Log quantization clustering. (e) Optimal quantization clustering. (f) Proposed method clustering.
Figure 12. Ground truth and clustering results with different methods. (a) Original image. (b) Ground truth label. (c) Histogram equalization clustering. (d) Log quantization clustering. (e) Optimal quantization clustering. (f) Proposed method clustering.
Remotesensing 17 00557 g012
Figure 13. Comparisons of F 1 score in different binary classifications with different methods. (a) F 1 score curve of land classification. (b) F 1 score curve of ocean classification.
Figure 13. Comparisons of F 1 score in different binary classifications with different methods. (a) F 1 score curve of land classification. (b) F 1 score curve of ocean classification.
Remotesensing 17 00557 g013
Table 1. Parameters of experimental GF-3 image data.
Table 1. Parameters of experimental GF-3 image data.
ParameterValue
Data typesSLC
Resolution1~25 m
Swath width10~130 km
Polarization modeHH\HV\VV\VH
Land cover typesOcean\Land\Urban\Coast
Table 2. Global quantization experimental results for different land cover types.
Table 2. Global quantization experimental results for different land cover types.
Land Cover TypesUniform QuantizationHistogram EqualizationLog QuantizationOptimal QuantizationProposed Algorithm
Ocean88.078053.262783.709495.314493.2147
Land67.656930.019489.843295.797693.1011
Urban66.592825.083189.696093.206493.0925
Coast65.659227.461189.416694.318692.6969
Table 3. Quantization of experimental results for weak scattering target areas.
Table 3. Quantization of experimental results for weak scattering target areas.
Evaluation MetricsUniform QuantizationHistogram EqualizationLog QuantizationOptimal QuantizationProposed Algorithm
Q–SNR(dB)54.871329.928683.252487.939291.2906
Table 4. The computational complexity of the proposed algorithm.
Table 4. The computational complexity of the proposed algorithm.
Evaluation MetricsHistogram EqualizationOptimal QuantizationProposed Algorithm
Computational Complexity O m n O m n O m n
Disclaimer/Publisher’s Note: The statements, opinions and data contained in all publications are solely those of the individual author(s) and contributor(s) and not of MDPI and/or the editor(s). MDPI and/or the editor(s) disclaim responsibility for any injury to people or property resulting from any ideas, methods, instructions or products referred to in the content.

Share and Cite

MDPI and ACS Style

Yao, Z.; Fang, L.; Yang, J.; Zhong, L. Nonlinear Quantization Method of SAR Images with SNR Enhancement and Segmentation Strategy Guidance. Remote Sens. 2025, 17, 557. https://doi.org/10.3390/rs17030557

AMA Style

Yao Z, Fang L, Yang J, Zhong L. Nonlinear Quantization Method of SAR Images with SNR Enhancement and Segmentation Strategy Guidance. Remote Sensing. 2025; 17(3):557. https://doi.org/10.3390/rs17030557

Chicago/Turabian Style

Yao, Zijian, Linlin Fang, Junxin Yang, and Lihua Zhong. 2025. "Nonlinear Quantization Method of SAR Images with SNR Enhancement and Segmentation Strategy Guidance" Remote Sensing 17, no. 3: 557. https://doi.org/10.3390/rs17030557

APA Style

Yao, Z., Fang, L., Yang, J., & Zhong, L. (2025). Nonlinear Quantization Method of SAR Images with SNR Enhancement and Segmentation Strategy Guidance. Remote Sensing, 17(3), 557. https://doi.org/10.3390/rs17030557

Note that from the first issue of 2016, this journal uses article numbers instead of page numbers. See further details here.

Article Metrics

Back to TopTop