Next Article in Journal
Study on Ionospheric Depletion and Traveling Ionospheric Disturbances Induced by Rocket Launches Using Multi-Source GNSS Observations and the MRMIT Method
Previous Article in Journal
DSEE-YOLO: A Dynamic Edge-Enhanced Lightweight Model for Infrared Ship Detection in Complex Maritime Environments
 
 
Font Type:
Arial Georgia Verdana
Font Size:
Aa Aa Aa
Line Spacing:
Column Width:
Background:
Article

Spectral Analysis of Snow in Bansko, Pirin Mountain, in Different Ranges of the Electromagnetic Spectrum

by
Temenuzhka Spasova
*,
Andrey Stoyanov
,
Adlin Dancheva
and
Daniela Avetisyan
Department of Aerospace Information, Space Research and Technology Institute, Bulgarian Academy of Sciences, Str. “Acad. Georgy Bonchev” Bl. 1, 1113 Sofia, Bulgaria
*
Author to whom correspondence should be addressed.
Remote Sens. 2025, 17(19), 3326; https://doi.org/10.3390/rs17193326
Submission received: 12 August 2025 / Revised: 13 September 2025 / Accepted: 25 September 2025 / Published: 28 September 2025

Abstract

Highlights

What are the main findings?
  • Satellite data (optical and radar) allowed demonstrating the effectiveness of optical data for monitoring hard-packed and powder snow and of radar data for wet snow.
  • The use of different spectral indices (such as Tasseled Cap Transformation with wetness component (TCW) and land surface temperature) and the application of Regression analysis proved specific characteristics for each snow type and structure.
What is the implication of the main finding?
  • The applied integrated methodology can support better-informed decisions in management, disaster preparedness (e.g., avalanches), and climate change adaptation efforts in these critical ecosystems in Bansko.
  • The results of the analysis proved that combining satellite and field data provides a reliable and comprehensive picture of snow conditions in high mountain regions for powder, hard-packed and wet snow.

Abstract

The study presents a spectral assessment and analysis of various data and methods for snow cover analysis in different ranges of the electromagnetic spectrum through a differentiated approach applied to the territory of Bansko, Pirin Mountain. The aim of the presented research is to assess the effectiveness and accuracy of satellite observations together with field (in situ) measurements and to create a model of an integrated methodology. To achieve this goal, several indices, such as land surface temperature (LST), optical indices, Tasseled Cap Transformation (TCT) with wetness component (TCW), High-Resolution (HR) imagery, and Synthetic Aperture Radar (SAR) measurements, were analyzed. The results of the analysis proved that combining satellite and field data through a mobile thermal camera provides an accurate and comprehensive picture of snow conditions in high mountain regions for powder, hard-packed and wet snow. As the most important, there is the verification and validation of the results through the so-called regression analysis of the different data types, through which multiple correlations (over 10) were established, both in data from Sentinel 1SAR, Sentinel 2MSI, Sentinel 3 SLSTR, and PlanetScope. The results showed the effectiveness of optical indices for hard and fresh snow and radar and LST data for wet snow. The results can be used to improve snow surveys, event prediction (e.g., avalanches), and the interpretation of spectral analysis of snow. The study does not aim to perform a temporal analysis; all satellite data is from the temporal period 30 December 2024–5 January 2025.

1. Introduction

Due to its high reflectance, snow is one of the key factors defining the surface radiative budget [1]. Accurate modeling of snow reflectance is equally important for atmospheric remote sensing of cloud properties and vital for aerosol retrievals over snow-covered regions, which presently remains a largely unresolved problem [1]. Therefore, changes in Earth’s surfaces can affect how much of the sun’s energy is absorbed—such as a decrease in snow cover or an increase in the area used for agriculture [2], forecasts for specific types of events (e.g., avalanches in the Pirin Mountains [3]), and tourism.
Snow has a strong impact on ecosystems [4], and changes in snow cover can have a drastic impact on the surface properties [5]. Anthropogenic influence is leading to warming and influencing the coverage, duration, and characteristics of snowmelt, which has significant impacts on physical, biological, and socio-economic systems. However, our understanding of these impacts is often not well defined by snow observations, which suffer from low spatial and temporal resolution [5].
Snow and ice-covered surfaces in the cryosphere are important observational targets for assessing the Earth’s radiation balance and hydrological cycles. Shortwave reflectance in the visible to shortwave-infrared wavelengths and longwave emission in the mid- to thermal infrared wavelengths are two key parameters for determining the radiation balance of the Earth [6]. While shortwave reflectance strongly depends on the mass fraction of impurities in the snow and the size of the snow grains, the longwave radiation emitted by snow and ice surfaces is a function of surface temperature and spectral emissivity, the latter also varying with the types of surface snow with different snow grain sizes [7,8,9,10].
Due to the nature of the interactions between snow cover and electromagnetic radiation of different frequencies, snow can be detected differently by different tools, such as active and passive sensors, as well as by differently designed algorithms [11,12,13,14]. According to the National Snow and Ice Data Center (NSIDC), space-based data are only considered if extensive ground-based data are collected simultaneously [15].
The most frequently used technique for satellite-based differentiation of snow cover from other surface types is the application of spectral indices [16]. The study analyzes the performance of the optical-based NDSI (Normalized Difference Snow Index), NDVI (Normalized Difference Vegetation Index), NDFSI (Normalized Difference Forest Snow Index) [17,18,19,20], and TCT (Tasseled Cap Transformation) with wetness component (TCW), which is an alternative method, despite its reliability for snow cover monitoring [21], as well as the SAR (Synthetic Aperture Radar) measurements involving cross-polarized VH data and co-polarized VV data in ascending and descending orbits [22,23].
The applied methods and resulting data were validated through field observations using thermal imaging and ground control points (GCPs). These GCPs are essential for confirming the reliability of both satellite-derived information and in situ measurements, serving as a basis for accuracy evaluation. The assessment process also includes high-resolution imagery of PlanetScope data and relevant indices, such as NDSII (Normalized Difference Snow Ice Index-2) and NDVI (Normalized Difference Vegetation Index), to improve the precision of the validation [24]. They provide “ground truth” that is critical for instrument calibration and satellite data correction.
Parameters from the Sentinel 3 SLSTR snow analysis, especially in the Bansko region, Pirin Mountain, such as LST during the day and night, albedo, and air temperature, were used, which further assisted in the analysis of the climatic conditions at the studied test site and supported the data from the in situ measurements [25,26].
In this study, the emphasis is mainly on the opportunities that field data (in situ) provide for validating the results derived by the satellite data. Field data by OruxMaps mobile application V.7.4.26 [27] were collected from Pirin Mountain in Bulgaria. Data from a mobile Ht-19 thermal camera with a wavelength of 8 to 14 μm were used [28].
The aim is to assess the effectiveness and accuracy of satellite observations using field measurements, identify available correlations, and create an integrated methodology for spectral analysis of snow conditions and snow cover from different parts of the spectrum, the assessment of snow cover, and the analysis of temperature conditions.
The results showed that combining satellite and in situ data provides precise information about snow conditions in high mountain regions. Satellite data offer valuable opportunities for monitoring large areas and trends over time, while field observations provide detailed information at the micro level, which is important for validating satellite images and models. The study identifies potential for improving snow dynamics models through a differentiated approach of diverse data and methods, which can significantly improve snow cover forecasts and help better manage water resources, ski slopes, and prevent avalanche hazards, which are among the most important natural hazards in this mountain ecosystem. Avalanches in the Pirin Mountain are not rare or random events and are observed when a sufficiently large vertical snow cover accumulates [3].
The applied integrated methodology can support better-informed decisions in management, disaster preparedness [3] (e.g., avalanches), and climate change adaptation efforts in these critical ecosystems.
In order to achieve the aim, the following tasks were performed: selection of a suitable test site (in the period 30 December 2024–January 2025) and objects for the study; selection of suitable satellite data with different spectral and temporal characteristics of the selected objects; ground data collection; application of different approaches for processing and combining data in order to study the spatial distribution of different types of snow cover; and interpretation, verification, and validation of the obtained results, which are supported by several established correlations (positive and negative).
For the needs of the study, the regression analysis and the regression curve were used [29,30]. The data from the different satellites were analyzed in detail via correlation coefficient (R), coefficient of determination (R2), sample standard deviation (STDEV.S) [31], root mean square error (RMSE) [32,33], and others such as minimum, maximum, and mean reflection value. As a post-processing step, the data was detailed for all objects of interest. The study does not aim to perform a temporal analysis of the snow cover.
Additionally, a structured database was created, documenting conditions of powder [34], hard-packed [34,35] and wet snow [36]. The selection of these three snow types forms part of the continuation of an ongoing research project by the authors, previously conducted in another mountainous region, using a different methodology, where the investigated snow exhibited characteristics of both liquid and solid phases.
This paper is organized as follows: Highlights, Introduction, Section 2 provides a brief description of data, data processing, and methods, and Section 3 describes results and validation. The discussion is described in Section 4. Finally, this article is followed by Conclusions in Section 5. Part of the data and maps are placed in the Appendix A.

2. Materials and Methods

2.1. Study Area

The test site covers an area of 34.5 km2 between 1532 m and 2710 m a.s.l. in Pirin Mountain (Figure 1). The largest part of the test site is covered by Pineta peucis forests, partially mixed with Pineta mugi formations (7.9 km2), acidophilic psychrophytic grass communities (Carticeta curvulae, Festuceta riloensis) (5.8 km2), and Pineta mugi formations (4.3 km2) [37].
The climate in the test site is mountainous, with distinct differences between the seasons. In the lower parts of Pirin, the influence of the Mediterranean climate is felt, making the winters milder and the summers warm. In the higher parts, the winters are harsh, with heavy snowfall and low temperatures [38].
In December, January, and February, 50–70% of these days are with snowfall, and in the high parts of the mountain, these precipitations are exclusively snow all the time. At altitudes above 1800 m above sea level (asl) in April and November, the number of days with snow is about 50–60% of the total number of days with precipitation. The number of days with snowfall is much higher on the northern and northeastern slopes of Pirin compared to the western and southwestern ones. The average number of days with snowfall in the high parts of Pirin above Bansko is 100–120 cm [39].
In the Pirin Mountains, snow cover has an important climatic and economic significance. This is because snow guarantees water resources during periods of drought, protects against extreme temperature fluctuations, regulates river flow, maintains habitats typical of the region, and has an impact on people’s incomes in tourism, agriculture, and energy. Here the snow cover is formed annually, but not in all parts of the mountain is it stable (with a continuous duration of over 30 days). The formation of snow cover begins earliest in the high mountain parts of the region—already in October. In the middle and low mountain belt, this happens in November and December. The last snow cover is observed at the end of May and even the beginning of June in places with an altitude above 1500–1800 m above sea level and in the low mountain belt—at the end of March. The duration of the period during which snow cover is possible varies with altitude from 2 to 3 to about 7 months. For the lower parts of the mountain, the snow cover during this period is unstable and melts several times. The average annual number of days with snow cover varies greatly, depending on the altitude, exposure, shape of the relief, etc. For Bansko, the average annual snow cover is 49 days, and for the highest peak, Vihren, 168 days. An important characteristic of the snow cover is its height. It varies both with altitude and the period during which its formation is possible. The average maximum height in the low mountain belt (Bansko) is in the second decade of January, when it reaches 15–20 cm. In the high mountain (Vihren peak), this happens in the first-second decade of March, with a height of over 140 cm. In individual years, the maximum snow cover can reach 250–350 cm. In recent years, however, although at a variable rate, a decrease in the height of the snow cover has been observed [39].
The powder snow studied in the Pirin Mountain is formed at low temperatures (below −5 °C), contains ~3% water, and has a high albedo with a value of 0.80–0.95. The exact opposite of it is wet snow, which is characterized by a higher temperature, up to 0 °C, and a water content above 3%. The albedo of wet, old, and icy snow is 0.60–0.79 (Figure 1).
Hard-packed snow in Pirin Mountain occurs at all temperatures, but most often after several days or weeks of stable conditions. Its water content is below 5%, and snow albedo values are above 0.60 (Figure 1).

2.2. Data and Data Processing

Selection of test site.
The satellite data used in the study are from the Sentinel-1A, Sentinel-2A, Sentinel-2B, Sentinel-3A, and Sentinel-3B satellites of the European Space Agency (ESA) and PlanetScope (Table 1) [40,41,42,43,44]. The selected images are from dates within the time range of one week (30 December–5 January), which is sufficient for the needs of spectral analysis in different ranges of the electromagnetic spectrum during the peak of snow cover for Bulgaria and for the application of a differentiated approach (Table 1).

2.2.1. SAR Data

In the present study, microwave SAR imageries from the Sentinel-1 mission of the Copernicus Program were used. The radar satellite images used are from the Sentinel-1A satellite. From the Sentinel-1 products, the GRD format, type IW, was selected, which usually contains images with HV, VV, or HH polarization with a wavelength of λ = 5.6 cm in the C-band of the electromagnetic spectrum. For the Pirin Mountain region, data in dual polarization of VV and VH from both ascending and descending orbits were used. The spatial resolution of the pixel of the selected format in the region is about 10 m × 10 m Table 1 [45,46].
Sentinel-1 has a side-looking imaging geometry, so images are subject to geometry-induced radiometric distortions (shadow, layover, and foreshortening effects) [47,48,49]. These characteristics of the SAR images require specific pre-processing operations, which should be implemented to reduce distortions caused by landscape and sensing angle leading to foreshortening, layover, and shadow effects and thus enhance the accuracy of the results obtained. In addition, the resultant speckles caused by phase interferences reflected from innumerable ground features can degrade the image quality significantly [50].
For the test site area, SAR data from 30 December 2024 in ascending orbit and 5 January 2025 in descending orbit are used. Both types of orbit are used to compare the results regarding different sensing angles of each orbit at data acquisition and thus to extract more information about snow cover distribution from SAR imagery. SAR backscatter coefficients at the C-band, converted to decibel values, are used for further analysis [51].
The SAR data processing workflow comprises several key steps prior to analysis: orbit file application, thermal noise removal, radiometric calibration, speckle filtering, terrain flattening, terrain correction, and conversion to decibel (dB) scale—all performed in SNAP version 10.0.0 [52]. Following this, VV and VH polarization bands are selected, and the raster dB values are converted to point vector format using ArcGIS Pro 3.3 (developed by ESRI) [53]. Refined Lee Filter was applied, which is an enhancement of Lee filter, and it can preserve prominent edges, linear features, point targets, and texture information of SAR imagery [54]. The spatial resolution of the SAR data used in this study was upsampled to ensure consistency with other datasets. The radar data were georeferenced using the UTM coordinate system, zone 34N. The full processing workflow follows the guidelines provided in the ESA manual [55].

2.2.2. Data from Sentinel 2 MSI

Satellite optical imagery from Sentinel-2 is used for the calculation of spectral indices. Sentinel-2 carries an optical MultiSpectral Instrument (MSI) with 13 spectral bands: four bands at 10 m, six bands at 20 m, and three bands at 60 m spatial resolution (Table 1 and Table A1). The orbital swath width is 290 km [56]. A Sentinel-2B MSI level 1 image from 2 January 2025 was used for the test site for calculating snow indices and Tasseled Cap Transformation (TCT).
The pre-processing of Sentinel-2 MSI data includes clipping the imagery to the areas of interest and visualization enhancement. The coordinate system of the Sentinel-2 data is set to UTM zone 34N.
The measured reflectance of satellite sensors depends on the local characteristics of the Earth’s surface, which need to be detected to retrieve information from image data. Theoretically, a single spectral band of a remote sensing image must be sufficient to classify objects, but the classification of complex multispectral data produces much better results. Using imaging software ArcGIS Pro 3.3, satellite images from different periods, over the same territory of interest, and for each of the profiles studied were processed, classified, and analyzed. To study the changes occurring in the individual objects, numerous indices were used based on optical data. The indices for classification of optical data are presented with the formulas for their calculation in Table 2 [57].
The model for orthogonalization of satellite imageries proposed by Kauth and Thomas [61] is a very effective method for classification, interpretation, and analysis of phenomena and processes related to the dynamics of the main components of the earth’s surface—vegetation, soil, and water. This type of transformation is called Tasseled Cap Transformation (TCT). The method used for linear spectral transformation in multidimensional space to reduce the correlation between its individual elements uses three components—soil, vegetation, and humidity. TCT is related to the change in the coordinate axes in the spectral space from the original ones in three uncorrelated directions, preserving their orthogonality—brightness (TCB), greenness (TCG), and wetness (TCW) [62,63,64,65,66]. E{W}, E{BR}, and E{GR} are the mean values of the Tasseled Cap components—W, BR, and GR, respectively, St.Dev (W), St.Dev (BR), and St.Dev (GR) are the minimum standard deviations of the components. Therefore, nW, nBR, and nGR are normalized values of W, BR, and GR. In this study only the wetness component (TCW) was used (Table 2).

2.2.3. Data from Sentinel-3 SLSTR

Sentinel-3 data from the SLSTR (Sea and Land Surface Temperature Radiometer) product were used for the purposes of this article (Table 1). SLSTR is a dual-view scanning temperature radiometer, which flies in low Earth orbit (800–830 km altitude). There are currently two instruments in orbit on board the Sentinel-3A and Sentinel-3B satellites. Sentinel-3 is an operational mission that is part of the Copernicus Program [67].
The land surface temperature (LST) data presented are from Level-2 LST. This level of data processing provides land surface parameters with a spatial resolution of 1 km in Kelvin (temperature unit) [68]. In addition to a file containing the land surface temperature (LST) values calculated and provided for each pixel, this product provides data on numerous additional related parameters such as snow cover, albedo, elevation, humidity, air temperature, etc. [25] (Table 3). The bands used to calculate LST are S7—3.74 μm, S8—10.85 μm, and S9—12 μm from 30 December 2024 (Table 1 and Table 3). All data is converted from Kelvin to degrees Celsius using the Map Algebra function from ArcGIS Desktop 10.8 [69].
Another parameter used for the needs of spectral snow analysis is the dataset providing global albedo of the earth’s surface and air temperature. The albedo has an impact on the amount of energy that Earth absorbs from the Sun and, therefore, is an important variable in climate and weather studies [70]. The surface albedo quantifies the fraction of irradiance reflected by the surface of the Earth. It provides information on the radiative basis, thus on the temperature and water balance [70].
For each LST image, additional processing was performed using the Spatial Analyst Tool (ArcGIS Desktop 10.8 functionalities (ArcMap)). Isothermal lines were created with a contour interval of 0.5 m [71,72,73] for the purpose of a more specific analysis of LST for each of the snow types under study.

2.2.4. High-Resolution Data from PlanetScope

As part of the validation process, high-resolution PlanetScope satellite imagery was used. Operated by Planet, this satellite constellation captures daily images of the Earth’s land surface at a 3 m resolution (Table 1). For this study, SuperDove imagery—featuring 8 spectral bands [44]—were utilized to support data verification from 29 and 30 December 2024 (Table 1). The pre-processing steps for the HR images include clipping the imagery to the areas of interest and visualization enhancement [53]. The coordinating system of the HR data is set to UTM zone 34N. For the purposes of the validation, RGB composites, NDVI, and NDSII-2 index were generated by HR satellite data from PlanetScope band 8 and 6, band 8, and band 4 (Table 1 and Table 2).
Due to the absence of shortwave infrared (SWIR) spectral bands in PlanetScope imagery, this study employs the Normalized Difference Snow Ice Index-2 (NDSII-2) as an alternative approach for snow cover assessment. The resulting NDSII-2 maps exhibit spatial distribution patterns closely aligned with those derived from the conventional Normalized Difference Snow Index (NDSI). Following the approach proposed by Hall et al., the use of NDSII-2 is recommended when SWIR data are unavailable, as the two indices show near-identical performance [74]. It is computed using a combination of the visible green and near-infrared bands (Equation in Erdas Imagine 14 software, Hexagon [75] (Table 2)). The results obtained from the applied index were utilized for validation purposes [24].
In order to avoid duplication of the indices in the study, they are designated as NDVI (PlanetScope) and NDSII (PlanetScope).

2.2.5. Field Data

To assess the snow cover condition and validate remote sensing data, in situ surveys were conducted at the test site, and points with different snow cover characteristics were collected.
About 46 profiles, GPS coordinates, and images were generated through a mobile thermal camera for the test site. Some of these profiles were selected in this article for presentation of validation purposes—test profiles, from 29 December 2024 to 31 December 2024. It should be emphasized that the field measurements were performed on easily accessible areas, which are part of the ski slopes of Bansko, Pirin Mountain.
These profiles were generated in the high mountain belt, over 1500–1800 m above sea level. The selection of the test site was made due to the possibility of measuring different types of snow. The maximum altitude for the tests is 2509 m, the minimum is 1545 m, and the average altitude is 2119.3 m. 75% of the points fall at about 2405.25 m, and the remaining 25% are at about an altitude of 1954.5 m. The predominant direction of the GPS profile points is on slopes with a southeast-southwest direction.
In addition to each GPS point of snow types, an image from a phone application was taken to ensure the authenticity of the studied site. GPS coordinates for north latitude, east longitude, and altitude were measured using the mobile application OruxMaps V.7.4.26 [27] in offline mode. Each of the photographs generated by the application has a date and time stamp, which is also used in the analysis and interpretation of the results (Figure A1, Figure A2 and Figure A3).
The HT-19 mobile thermal camera was used during field measurements. Operating in the 8–14 μm spectral range with a measurement accuracy of ±2 °C, it offers five color palette options (rainbow, iron red, cold color, black and white, and white and black). This enhances the visualization and interpretation of data by effectively integrating surface temperature readings with real-time thermal imaging. The Iron Red color scale palette was selected for the study, and the measured parameters are the maximum and minimum values of the ground temperature. The display also displays the Central point temperature, which was taken into account when assessing the snow condition [17].

2.2.6. Open Data

Corine Land Cover 2018 (CLC2018) is one of the Corine Land Cover (CLC) datasets produced within the frame of the Copernicus Land Monitoring Service, referring to the land cover/land use status of the year 2018 (Figure A4).
CLC service has a long-time heritage (formerly known as the “CORINE Land Cover Program”), coordinated by the European Environment Agency (EEA). It provides consistent and thematically detailed information on land cover and land cover changes across Europe [76,77].

2.3. Methods

A model of an integrated methodology for spectral analysis of snow based on satellite data, in situ data, and open data in the high mountain belt of the Pirin Mountains in Bulgaria is schematically represented in Figure 2.
After pre-processing the satellite images, they were used to calculate various spectral indices and measurements based on SAR. The values of each index were extracted at the point locations from the field observations. The next steps consisted of verifying the results obtained for each of the point locations with the data from the field observations, supported by field measurements with a mobile thermal camera and validation with the NDSI and NDVI values calculated on the HR images and Sentinel data for the same indices, compared with TCW data and SAR measurements. The Discussion provides a differentiated approach and presents the advantages and disadvantages of each data type and corresponding methods for remote sensing of snow cover.
In SAR imagery, wet and dry snow—powdery or compacted—exhibit distinct backscatter responses due to differences in signal penetration. The depth of penetration depends on the radar wavelength, with C-band SAR capable of reaching up to approximately 20 m in dry snow conditions [78].
During the initial stages of snowmelt, substantial alterations in the dielectric properties occur, reducing radar signal penetration to nearly 3 cm, with backscatter predominantly governed by the liquid water content [24,78,79,80,81,82].
The dB values can effectively represent the large dynamic range of the SAR signal, allowing more precise detection of subtle changes in snow cover. Decibel scales enhance the detection of changes that occurr in snow cover, such as snowmelt or accumulation of new, fresh snow cover, by highlighting changes that are less noticeable on a linear scale. This advantage of the logarithmic scale of representation is significant for climate studies and hydrological forecasting [51].
In this study, the linear SAR data values for VV and VH polarizations from both ascending and descending orbits were converted into decibel (dB) units to enable comparison and to highlight their respective advantages and limitations for snow cover monitoring under varying conditions. Decibels are logarithmic and increase the readability and interpretability of data.

Verification of Snow Conditions Through In Situ Data

Field-based (in situ) observations support the identification of various snow types across the test sites. At each location, the snow exhibits distinct physical properties and undergoes continuous changes, resulting in either constructive or destructive metamorphic processes [24] (Figure 3, Figure A1, Figure A2 and Figure A3). The field (in situ) study methodology requires synchronous data collection [83], ensuring that three types of data are recorded simultaneously at each site. This includes capturing GPS coordinates, taking a photo via a mobile application, and conducting parallel thermal imaging of the surrounding area using a mobile thermal camera.
These datasets serve to verify the satellite-derived results regarding snow presence. Additionally, they support the interpretation of the data and, most importantly, provide insight into the physical state and type of snow, which is essential when working with satellite imagery of lower spatial resolution.
Due to the limited spatial resolution of the satellite imagery, some pixels corresponding to the field study locations include a mixture of snow and vegetation. Therefore, when interpreting the satellite-derived results, the points located within mixed pixels were assigned with different identifiers than those used during the field surveys.
The thermal data served to analyze the environmental conditions in a large perimeter and were used to verify the atmospheric conditions and the state of the snow in which the spectral profiles were taken. The maximum and minimum temperatures were analyzed, and the time of recording and central point temperature were taken into account (Figure 3). The data serves only for control in the observed environment and as proof that they were taken in mountainous conditions on the day the GPS points were created (between 29 and 31 December).

3. Results

3.1. Snow Validation Using SAR Data

Maps of the spatial distribution of dB values of VH and VV polarizations in ascending and descending orbits of Sentinel 1 SAR images from 30 December 2024 and 5 January 2025 of the test site are shown in Figure 4 and Table A2. The minimum dB values of SAR imagery primarily correspond to the homogenous pixels of snow and ice, which is related to the nonregistration of the active signal upon those territories. Additionally, the values for maximum, minimum, and mean SAR reflection were calculated (Table A3).
Pixel values from VH and VV polarizations in ascending and descending orbits in dB of Sentinel 1 SAR images from 30 December 2024 and 5 January 2025 of the collected data field points of the test site are shown in Figure 4 (Table A2 and Table A3). The data presented are from the three types of snow described in the previous chapter.
From the research conducted, the radar data for reflectance values were further analyzed, and values of correlation analysis were applied. It shows interdependence in the “asc_VVdb—asc_VHdb” and “desc_VVdb—desc_VHdb” datasets. Linear regression was made, which shows the cause-and-effect relationships between two variables (Table 4). In order to clearly validate the data, the values of R and R2 were calculated for each of the three types of snow.
The highest reflectance values were registered from “asc_VVdb” for hard-packed snow—2.91 (Table A2 and Table A3). It has already been proven that this orbit and this polarization give the most accurate values for measuring snow reflectance [26].
From the results in Table 4, the highest values of R are observed for wet snow in both types of correlation, which is also confirmed by R2. The correlation values for “asc_VVdb- asc_VHdb” for wet snow are 0.99 and 0.94 for “desc_VVdb-desc_VHdb”, respectively, and for R2 they are 0.98 (asc_VVdb-asc_VHdb) and 0.88 (desc_VVdb-desc_VHdb), respectively.
For each set of radar data VV and VH in ascending and descending orbits, the standard deviation (STDEV.S) values were measured. The data show clearly that there is no set with drastic values of deviation in the distribution. The largest values are marked by desc_VHdb −3.35 (Table A2 and Table A3). This is due to the fact that the reflectance values from this orbit have the largest range, 22.8, a minimum value of −34.04, and a maximum of −11.58. On the opposite side are data from desc_VVdb having values of STDEV. S = 2.165.

3.2. Snow Validation Using Optical Indices

Maps of the spatial distribution of the snow cover according to optical indices and the Tasseled Cap Transformation Wetness component (TCW) of the test site with points for three types of snow from Sentinel 2MSI calculated on 2 January 2025 are presented in Figure 5, and the values of each of the indices are presented in Table 5.
Maps of the spatial distribution of the snow cover according to the RGB composite of the PlanetScope HR image and NDSII values, calculated on it from 29 December 2024 and 30 December 2024 of the test site, are shown in Figure 6, Table 4 serving as alternative validation methods, presenting the snow conditions in selected points in more detail.
From the measurements presented in Table 5 and Table A3, the minimum, maximum and average values for the various spectral indices are of big importance. For a clearer interpretation, the values for maximum, temperature for each type of snow and for each of the optical indices are shown in blue, as the values for minimum temperature for each type of snow and for each of the optical indices are shown in orange.
For the purposes of the study, the STDEV.S values were measured for each of the optical indices used, with the highest values of 12.55 for TCTW (Sentinel 2) for these sets. The remaining data are characterized by relatively low values, with the lowest values being for NDVI (0.0713).
Unlike the radar correlation relationships, which are only two, 7 were found in the optical data (Table 6). For each of the correlation relationships, the parameters for correlation R, R2, and RMSE (Table 6) were studied. The ones with the highest RMSE are NDFSI (Sentinel 2)-TCW (Sentinel 2)—23.02 and NDSI (Sentinel 2)-TCW (Sentinel 2)—23.03, with the lowest values reported for NDVII2 (PlanetScope)-NDVI (Sentinel 2) with RMSE = 0.158. For the same set, the lowest correlation R = 0.649 was reported, but nevertheless this value is considered moderately high.
For better precision, a linear regression analysis was performed on all three snow types for each of the correlation relationships (Table 6). The minimum, maximum, and mean reflectance values were reported (Table A4).

3.3. Snow Validation Using NDVI by Different Satellites

NDVI images from Sentinel 2MSI and PlanetScope are presented in Figure 7, and pixel values are shown in Table 5. The demonstration of the comparison of a single index from different satellites increases the credibility through so-called cross-validation; it combines the strengths of different resolutions and temporal resolutions, ensuring continuity and stability of analyses over time. This type of validation demonstrates different ranges of NDVI measurement and the similar values for the test site with points for the three types of snow.
The minimum values for both satellites are −0.08. For NDVI (Sentinel 2), the highest value is 0.34, and for NDVI (PlanetScope), is 0.58. The mean values of the coefficients are, respectively, 0.025 and about 0.098. (Table 5).
The demonstration of exactly this type of data is dictated by the fact that the NDVI data for both satellites have a moderate (0.69) correlation and extremely low RMSE values (0.158). An interesting fact about this correlation is only wet snow has a much lower correlation than the average R = +0.337 and R2 = 0.113 (Table 6). The highest values are for hard-packed snow—R = 0.784 and R2 = 0.615.

3.4. Verification of In Situ Data by Mobile Thermal Camera and Sentinel-3 (Sea and Land Surface Temperature Radiometer) SLSTR Data

Land surface temperature (LST) in the morning is characterized by relatively high values for the season and in places at some points reaches 0 °C or + 0.6 °C in the higher parts. In lower places, values from −2.20 °C to −3.79 °C are observed (Figure 8a and Table 3). These values change in the evening image, but even here for the season the values do not fall below −13 °C in the lower places, and in the higher places thermal isolines with a value of −8 °C to −10 °C are observed (Figure 8b and Table 3).
It is characteristic of the region that, as the altitude increases, the temperatures decrease (Figure 8a). Due to the frequent inversion conditions in the region of the northern slopes of Pirin between the town of Bansko (936 m) and Vihren Peak (2914 m), insignificant differences are observed both in the average January temperatures and in the measured evening temperatures [80]. In a temperature inversion, the temperature increases with height for a certain layer of the atmosphere. This leads to the retention of cold air in the lower parts and warmer air at height, which is also due to the specific orographic appearance of the Pirin Mountains and the different exposure of the mountain slopes, which is also the reason for the transformation of the invading air masses (Figure 8b).
The mean minimum values measured by the thermal camera for the test site are negative but relatively high for this season. This is also due to the fact that the study was carried out in December and in warmer and sunnier weather, despite the higher altitude of the test site.
The measured values from the field surveys using a mobile thermal camera are during the day (10:00 a.m.–16:30 p.m.) (Figure 3, Figure A1, Figure A2 and Figure A3), which allows us to make an intermediate detection of temperatures between the two measurements using Sentinel-3LST. They show maximum values close to the averaged values from Sentinel-3LST. The data from the mobile thermal camera provide a detailed picture of the microclimate of the points. Data for the maximum values, which are in red on the images, are −8.3 °C, −1.2 °C, and +0.5 °C, and the average values are −8.4 °C, −10.9 °C, and −17.9 °C, are depicted in white in the software product used, in which the error is ±2 °C [28]. A temperature inversion is also evident in this case, as the lowest temperature values are recorded at locations with relatively low elevations (e.g., point 6, situated at 1545 m above sea level). It should be noted that the Sentinel-3 acquisitions do not coincide temporally with the thermal camera measurements, being recorded at 08:16:25 a.m. and 19:36:20 p.m. Central European Time (CET), respectively (Figure 8a,b).
Only individual infrastructure objects (elevator facilities, fences, etc.) have higher positive temperatures, and they are in degrees. The ski slopes have colder temperatures than the places outside them, which is due to the compacted, hard-packed snow, which turns into ice in some places (Figure 3).
Sentinel-3 LST data were selected primarily due to their daily temporal resolution, which aligns with the in situ measurements, and additionally to demonstrate that the study site exhibits markedly lower LST values compared to the surrounding territories. The corresponding air temperature ranges from 0 °C to −1.5 °C (Figure 8c and Table 3).
The albedo for this satellite image ranges from 0.6 to 0.85, but for the test site it is 0.70–0.71 (Figure 8d and Table 3), typical of a surface covered with snow. A snow albedo value of 0.70 usually indicates snow with medium to high reflectivity, but not maximum. This value corresponds to relatively fresh snow, but not completely fresh or newly fallen. These are values for packed snow that has begun to compact or has little impurities, which is normal for ski slopes.
From the morning data, is confirmed the location falls into a few warmer pixels due to the fact that the selected points are in places without shade and in clear weather and are relatively brightly lit.
Unlike the two types of Sentinel-2MSI and Sentinel 1SAR data, the RMSE of Sentinel-3LST data is much higher. For the three types of correlations, the values range from 9, 01 to 2109 (Table 6).
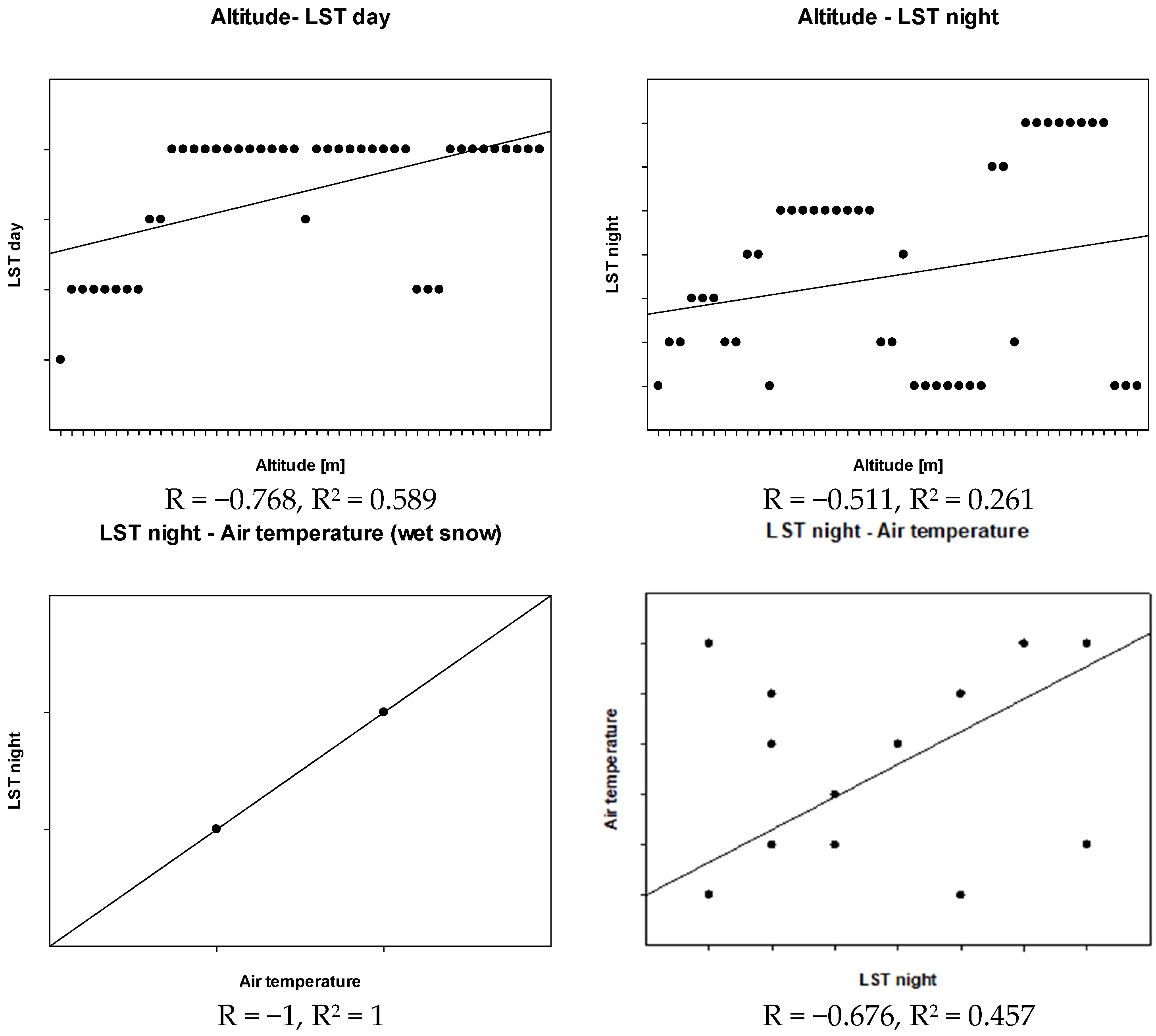
For Sentinel-3, a regression analysis is performed for the three snow types. In them (hard-packed, powder, and wet), a negative correlation was measured. The correlation of the datasets ranges from moderate to almost perfectly negative for wet snow with values of −0.999 and −1—perfect negative correlation of the data for LST night—air temperature and R2 =1 (Figure 9). Only for the correlation relationship LST day —air temperature positive almost perfect value of +0.999 was measured (Table 6). Figure 9 also shows part of the average values of the correlations for individual parameters from Sentinel 3, which values are much lower than those of the detailed correlations of snow types (for example, for wet snow).

4. Discussion

From the results of the Sentinel 1 SAR image of 30 December 2024 (Table 4), it is clear from the two types of correlation relationships established, “asc_VVdb-asc_VHdb” and “desc_VVdb-desc_VHdb”, the first one is more accurate (Figure 10a,b). The correlation in both relationships for wet snow is extremely high, which is 0.99 and 0.94 (Figure 10c,d), respectively, which is also confirmed by the high values of R2, 0.98 and 0.88, respectively. All these data (R > 0.98) correspond to an almost perfect relationship between the datasets from ascVV and ascVH. These high values indicate that the data from asc_VVdb corresponds to the data from asc_VHdb.
In these correlation relationships, the values for powder snow are moderate—0.68 and 0.57, respectively,—which show strong and medium correlation. For hard snow the values are the lowest: 0.59 and 0.46, which is reflected in lower values for R2. This measure of model quality—how well the data fits or not the regression line/model—in this case the values are 0.35 and 0.21.
Both types of correlations have a low RMSE of around 7, which for this type of data (radar) analysis is neither high nor low.
The STDEV. S confirmed the data are close and stable around the mean value, both for ascending and descending (STDEV.S around 2–3).
Powder and hard-packed snow have higher reflection properties and appear brighter in the optical spectrum and thus provide the highest values of the applied optical indices, while in the microwave spectrum, there is a clear distinction between the results obtained for these two objects. In this case, the values of VH polarization in descending orbit and the VV polarization in ascending orbit provide the most accurate information for distinguishing hard-packed snow and powder snow, where the hard-packed snow reflectance has lower values than powder snow (Table A2 and Table A3). The hard-packed snow has higher values in VV polarization in descending orbit, while in VH polarization powder snow has higher values again.
Regarding the optical indices used in the study of the three types of snow (Table 5), relatively low values of STDEV.S can be confirmed. Its values range from 0.0713 to 0.197, and only for TCW (Sentinel 2) is the mean value much higher, 12.55, due to the fact that the values vary in a much larger range (3.62 to 41.28).
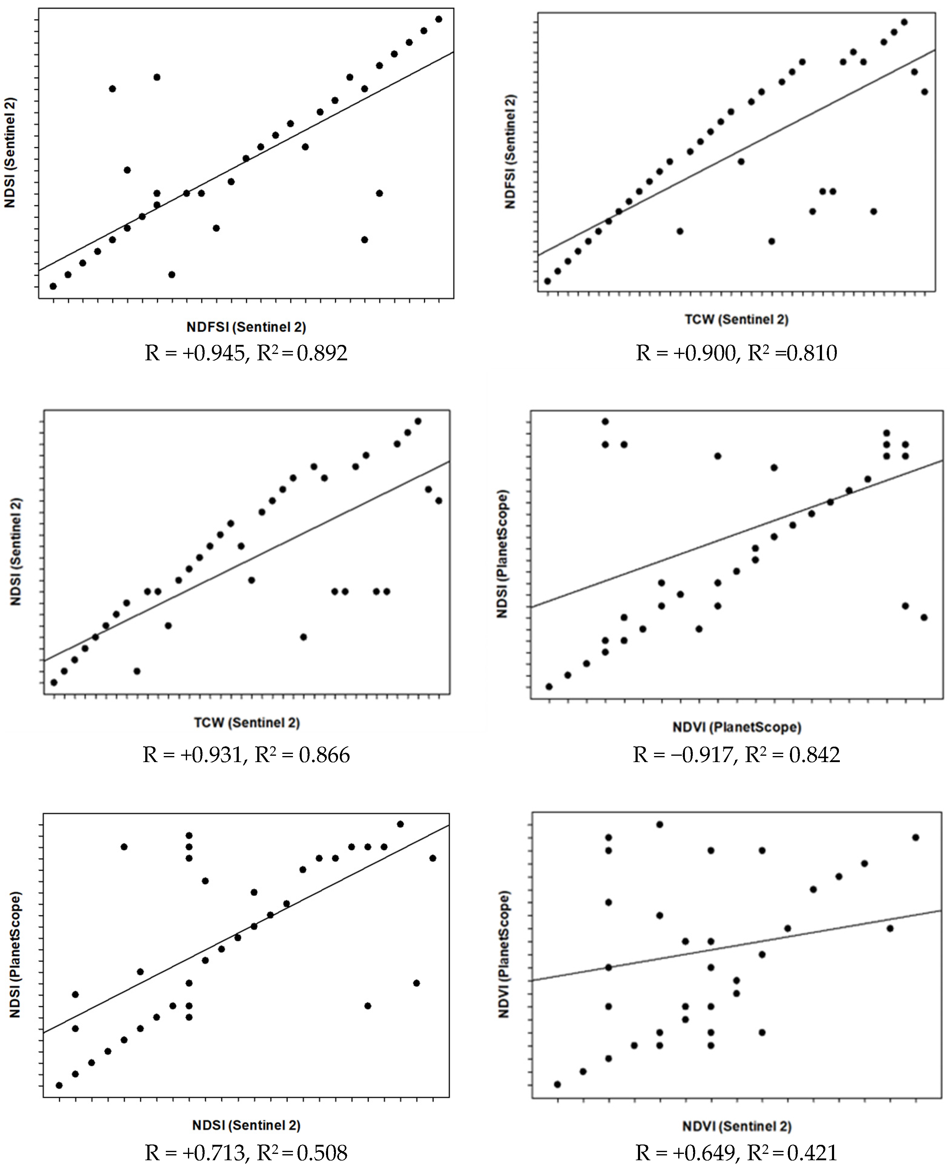
From Table 6, it is noticed the same values in the first two columns, NDSI (Sentinel 2)—NDFSI (Sentinel 2), which is also a factor for the strong positive relationship between the two indices, NDSI (Sentinel 2) and NDFSI (Sentinel 2), which has an average value of +0.945. From the additional presentation by snow type, it is noticeable that hard snow has the highest values, R = 0.964 and R = 0.924. The RMSE = 0.065 is a relatively small value, which indicates a high accuracy of the applied analysis model.
The correlations NDFSI (Sentinel 2)—TCW (Sentinel 2) and NDSI (Sentinel 2)—TCW (Sentinel 2) (Table 6) are characterized by a much larger RMSE, but this is again due to the large range of TCW data. At the same time, a high correlation is observed for hard snow, with R = 0.932 for both correlations and high values of R for powder snow: R = 0.849 and R = 0.912. These values, despite a large RMSE, STDEV.S can be successfully used for monitoring both types of snow. The correlation for wet snow has lower values, as for both correlations it is around R = 0.600.
From the 46 points selected in the test site in the multispectral indices, it is evident that when there are high values of NDSI (Sentinel 2), high values of NDFSI (Sentinel 2) are observed. Often the values are very close, and sometimes even equal.
Exactly the inverse relationship is observed between NDSI (Sentinel 2)—NDVI (Sentinel 2) and NDFSI (Sentinel 2)—NDVI (Sentinel 2). At high values of NDSI (Sentinel 2) and NDFSI (Sentinel 2), low values of NDVI (Sentinel 2) are observed. Negative correlation (R = −0.50) is observed between NDSI (Sentinel 2)—NDVI (Sentinel 2), (Figure 11, Table 6).
For the mixed pixels with the presence of vegetation or forest and snow, there are lower NDSI (Sentinel 2) values and always higher NDFSI (Sentinel 2) values and higher NDVI (Sentinel 2) values. It has been proven that a value above 0.3 or 0.4 is a sign of the presence of vegetation, and in this area there are forests, shrub vegetation, or infrastructure objects [17,18]. For example, point 17 (Table 5) has a value for NDSI = 0.26, NDFSI = 0.5, and NDVI = 0.34.
Higher NDFSI (Sentinel 2) values are necessarily accompanied by higher NDVI (Sentinel 2) values, and this is evidence of the presence of a mixed pixel where, in addition to some of the three types of snow, vegetation can also be observed.
Low NDSI (Sentinel 2) values below 0.4 indicate the presence of higher NDVI (Sentinel 2) values and are a reliable indicator of the presence of vegetation. This in turn results in higher NDFSI (Sentinel 2) than NDSI (Sentinel 2) values; for example, point 21, 23—Table 5, Figure 11.
Several correlations between the individual optical indices based on all profile points of Sentinel—2MSI were established. The correlation between NDSI (Sentinel 2)—NDFSI (Sentinel 2) is R = 0.99, which is a strongly positive correlation (Figure 12).
On the other hand, TCW (Sentinel 2) (Figure 5d, Table 5 and Table A4) proved to be more suitable for distinguishing small changes in snow condition, such as differences between dry snow and ice. TCT-based indices also show the property of distinguishing small changes when investigating other types of objects from the ground surface. This is demonstrated when examining weak changes in post-fire vegetation regrowth processes using indices based on the TCW [68], also for hardly noticeable phenological changes in vegetation using TCT-wetness-based indices. In all these cases, the traditional optical indices, based on individual spectral channels, prove unable to differentiate these subtle differences, while TCT-based indices using the entire spectral information of the sensor show a high ability to distinguish weak changes [66,84]. In the present study, the TCW confirms its ability to distinguish a slight difference in studied objects.
Correlations were found between the values of the indices NDFSI (Sentinel 2)—TCW (Sentinel 2) and NDSI (Sentinel 2)−TCW (Sentinel 2), with R = 0.89 and R = 0.93, respectively (Table 6, Figure 12). These values correspond to a strong positive correlation.
The correlation coefficients are high for all three snow types, and RMSE = 0.342 is almost moderate. The R and R2 values are highest for hard snow (R = 0.971) but for powder and wet snow, they are above 0.9 (Table 6).
The only negative correlation, between the values of the indices NDSII2 (PlanetScope) and NDVI (Planetcope), is R = −0.917. R2 shows that when one index increases, the other decreases (Figure 12). In this case, as the snow index increases, NDVI (PlanetScope) decreases. The difference is visible in the mirror image between points 13 and 25, but it should be noted that the indices are measured with a value from −1 to +1. RMSE = 0.342 for this correlation is moderate.
The same trend is true for the NDVI and NDSI relationship for Sentinel 2MSI, where the correlation is again negative (−0.50), Table 6. We have again confirmed that with high snow values, there are low vegetation values.
Two identical indices are compared from different satellites (Sentinel-2-PlanetScope), and a correlation is found between NDVI (PlanetScope)- NDVI (Sentinel-2) (Figure 12, Table 5 and Table 6) and between NDSII2 (PlanetScope)—NDSI (Sentinel-2) (Figure 12, Table 6) for the test site. The values are R = 0.648 and R = 0.712, respectively. These are values that have moderate positive and strong positive correlation (above 0.7), showing that when the values of the index from Sentinel-2 increase, the values of the index from PlanetScope (Figure 12) also increase. The correlation values are highest for hard snow, with values R = 0.784 and R = 0.926. For both examples, the correlation for powder snow is around 0.580. The only difference is that RMSE is low; for example, NDVI (PlanetScope)—NDVI (Sentinel-2) (RMSE = 0.156) is insignificant and significant; for example, NDSII2 (PlanetScope)—NDSI (Sentinel-2)—RMSE = 0.564, Table 6, Figure 12).
Sentinel-3LST correlations are only negative, and for wet snow they are even perfect and close to −1. (Table 6). This is due to the fact that a much smaller set of data is used and the range of altitude data is much higher than the other data. RMSE has a high value, as the lowest is only for LST and nighttime air temperature with a value of 9.01.
With increasing altitude, LSTday values decrease (R = −0.79); the same is observed for LSTnight, where the correlation is much lower (R = −51), which confirms the temperature inversion and the presence of higher LST values in the higher parts of the test site (Table 6, Figure 9).
The correlation between LST and nighttime air temperature is also negative, but it is sometimes crossed, since with decreasing temperature, LST is higher and vice versa. This is due to the radiation of heat during the night and the retention of cold air in the low valley parts. Unfortunately, due to the lower resolution of Sentinel-3LST, our in situ data falls within only a few pixels, but the correlation is −0.67 (Table 6, Figure 9)
For all three correlations for wet snow, values close to −1 are observed, meaning that the negative correlations between the data are almost perfect.
The data from Corine land cover proved the presence of the listed plant species from Section 2 for the study area. Even with a lower resolution, they manage to demonstrate to us that our test site contains a lot of woody and shrub vegetation. For this region of the Pirin Mountains, according to Corine’s data, there are even areas with year-round snow and ice (Figure A4).

5. Conclusions

In this study, a different data validation is demonstrated, and it was proved how the data are interchangeable when monitoring the selected three types of snow.
By analyzing and validating data from different parts of the electromagnetic spectrum (EMS), this study could provide a new contribution to the study of the listed snow types in Bansko, Pirin Mountain, through a differentiated approach, which can be applied to other areas of interest as well.
The main goal of assessing the effectiveness and accuracy of satellite data together with field (in situ) measurements for visual validation was achieved by the creation of a model of an integrated methodology.
The regression model and its main components, such as correlation (R) and R2 for TCW with NDSI, and NDFSI validated in the NDVI (Sentinel 2)—NDSI (Sentinel 2) relationship (R = +0.945). Very high accuracies for both correlation relationships (NDFSI-TCW and NDSI-TCW): R = 0.932 and R2 = 0.869 were demonstrated, despite the high values of RMSE (Root Mean Square Error), which is explained by the large range of data, especially for TCW (Sentinel 2).
Although the use of the wetness component of TCT in combination with the other two optical indices in the correlation for the three types of snow, the highest accuracy is achieved first for hard snow, then for powder snow, and finally for wet snow (Table 6, Figure 12). TCW values correspond with the reflectance values, which increase from wet to hard snow for each of the other optical indices.
The application of the remaining two components (Brightness (TCB) and Greenness (TCG)) of TCT and the same approach will be the subject of research on Pirin Mountain during the periods of the year when there is no snow cover.
In our research, VH polarized data in ascending orbit distinguished most accurately the fresh accumulated snow cover (for powder snow), and VH polarization in descending orbit was the most suitable for distinguishing ice and hard-packed snow. From the SAR datasets, VV polarization in descending orbit provided the most accurate information for detection of wet snow (Table 4, Figure 10). From the correlation relationships of ascending and descending orbits, the R values are above 0.9 for wet snow in both relationships, ascVV—ascVH and descVV—descVH, while for hard-packed and powder snow, they are much lower or below moderate correlation values (R < 0.70). The SAR data have similar RMSE values (Table 6).
The behavior of the optical satellite data showed that the maximum values of optical data indices correspond generally to the minimum values of SAR backscatter data for objects consisting of water and moisture.
Optical indices are much more suitable for distinguishing between hard-packed and powder snow (Table 6), while SAR data is more suitable for wet snow (Table 4, Figure 10).
Mobile thermal cameras can identify thermal anomalies that may not be visible at lower resolution, which in this case Sentinel-3 LST has. In this way, we obtained visual information about temperature differences on surfaces in real time, which helped in the analysis of data received from satellites (Figure 3a,c,e and Figure 8, Table 3). The Sentinel 3LST data successfully helped analyze the test site and confirmed the conditions under which the in situ points for the three snow types were taken.
From the Sentinel-3 LST parameters, the values for the three types of snow can be distinguished, as the highest values are characteristic of wet snow and the lowest for hard-packed snow. This was proven by the data from the correlation relationships and the additional calculation of correlation and R2 for each of the three snow types. Through the R2 data, the quality of the model for each set and snow type was proved (Figure 9).
This type of research and the correlations found could be used in future automated snow monitoring models, as most correlations have a value above 0.7, indicating strong positive dependencies for the three types of snow.
Where possible, one satellite data can be successfully replaced by another (Sentinel 2 with PlanetScope and vice versa), one optical index can be replaced by another at R > 0.5, and one polarization can be replaced by another at R > 0.5, but not for cross-linking data from different SAR orbits.

Author Contributions

Conceptualization, T.S., A.S. and A.D.; methodology, T.S., A.S. and A.D.; software, T.S. and A.S.; validation, T.S.; formal analysis, T.S., A.S. and A.D.; investigation, T.S. and A.S.; resources, T.S. and A.S.; data curation, T.S. and A.S.; writing—original draft preparation, T.S. and A.S.; writing—review and editing, T.S., A.S., D.A. and A.D.; visualization, T.S. and A.S.; super-vision, T.S., A.S.; and A.D.; project administration, A.S.; funding acquisition, A.S., D.A., T.S. and A.D. All authors have read and agreed to the published version of the manuscript.

Funding

This study is part of the “Monitoring of the seasonal dynamics and stability of the snow cover in the mountain range of the Republic of Bulgaria for a period of 10 years (2014–2024) based on Remote sensing” project financed by the National Science Fund of the Ministry of Education and Science of the Republic of Bulgaria under contract No. KP-06-M64/1.

Data Availability Statement

The original contributions presented in this study are included in the article. Further inquiries can be directed to the corresponding author.

Conflicts of Interest

The authors declare no conflicts of interest.

Appendix A

Table A1. Spectral (in nanometers) and spatial (in meters) resolution of Sentinel-2MSI.
Table A1. Spectral (in nanometers) and spatial (in meters) resolution of Sentinel-2MSI.
BandNameCentral Wavelength [nm]Spatial Resolution [m]
1Coastal aerosol44360
2Blue49010
3Green56010
4Red66510
5Vegetation Red Edge70520
6Vegetation Red Edge74020
7Vegetation Red Edge78320
8NIR84210
8aVegetation Red Edge86520
9Water Vapor94560
10SWIR Cirrus137560
11SWIR161020
12SWIR219020
Figure A1. Example of powder snow point 6 with GPS coordinates generated by OruxMaps mobile application V.7.4.26, 30 December 2024, Author: Temenuzhka Spasova.
Figure A1. Example of powder snow point 6 with GPS coordinates generated by OruxMaps mobile application V.7.4.26, 30 December 2024, Author: Temenuzhka Spasova.
Remotesensing 17 03326 g0a1
Figure A2. Example of wet snow point 42 with GPS coordinates generated by OruxMaps mobile application V.7.4.26, 29 December 2024, Author: Temenuzhka Spasova.
Figure A2. Example of wet snow point 42 with GPS coordinates generated by OruxMaps mobile application V.7.4.26, 29 December 2024, Author: Temenuzhka Spasova.
Remotesensing 17 03326 g0a2
Figure A3. Example of hard-packed snow point 30 with GPS coordinates generated by OruxMaps mobile application V.7.4.26, 30 December 2024, Author: Temenuzhka Spasova.
Figure A3. Example of hard-packed snow point 30 with GPS coordinates generated by OruxMaps mobile application V.7.4.26, 30 December 2024, Author: Temenuzhka Spasova.
Remotesensing 17 03326 g0a3
Figure A4. Corine Land Cover (CLC) 2018 Copernicus, European Space Agency [79], (a) CLC, Bulgaria, (b) CLC Pirin Mountain.
Figure A4. Corine Land Cover (CLC) 2018 Copernicus, European Space Agency [79], (a) CLC, Bulgaria, (b) CLC Pirin Mountain.
Remotesensing 17 03326 g0a4
Table A2. Pixel values from VH and VV polarizations in ascending and descending orbits in dB (Sentinel 1 SAR images 30 December 2024 and 5 January 2025), test site with points for three types of snow.
Table A2. Pixel values from VH and VV polarizations in ascending and descending orbits in dB (Sentinel 1 SAR images 30 December 2024 and 5 January 2025), test site with points for three types of snow.
PointType SnowAltitudeasc_VVdb
30 December 2024
asc_VHdb
30 December 2024
desc_VVdb
5 January 2025
desc_VHdb
5 January 2025
1powder snow2405.6−8.97−14.57−11.27−17.79
2powder snow1638.1−7.37−15.24−14.1−34.04
3powder snow1849.4−9.73−17.14−7.73−18.38
4powder snow1532.9−11.84−20.15−10.52−15.08
5powder snow1542.1−11.84−20.15−10.52−15.08
6powder snow1545−7.9−16.22−14.02−20.94
7powder snow1575.3−12.71−19.43−7.76−16.11
8wet snow1581−11.04−18.22−10.82−20.5
9wet snow1581−11.04−18.22−10.82−20.5
10powder snow1839.7−7.1−16.43−13.35−18.2
11powder snow1829.3−9.02−16.6−13.1−20.48
12powder snow2406−10.8−15.5−11.05−15.62
13powder snow2403.8−10.8−15.5−11.05−16.22
14hard-packed snow2403−8.88−13.45−9.7−15.11
15hard-packed snow2088−8.88−13.45−9.7−15.11
16powder snow2088.8−8.43−12.84−10.78−15.79
17powder snow2077.5−9.01−13.57−7.2−14.25
18powder snow2031.1−9.86−14.75−12.53−15.76
19powder snow1996.2−8.91−14.64−9.15−13.95
20powder snow1957.1−8.24−13.59−10.51−16.83
21powder snow1906.2−11.85−14.52−10.61−17.58
22powder snow1887.1−10.99−18.35−8.08−15.64
23powder snow1848.4−10.18−15.74−11.91−17.49
24hard-packed snow1910−5.42−12.01−12.42−19.85
25hard-packed snow2471.4−12.16−19.24−9.34−16.68
26hard-packed snow2420.5−10.56−22.51−9.2−19.17
27hard-packed snow2364.2−10.03−19.61−7.6−18.09
28hard-packed snow2338.1−11.28−19.44−8.35−19.96
29hard-packed snow2287.6−12.75−16.13−10.64−19
30hard-packed snow2270.5−12.6−19.67−9.47−15.82
31hard-packed snow2238.6−9.76−19.25−13.53−17.39
32hard-packed snow2224.6−8.46−19.36−9.43−17.4
33hard-packed snow2204−15.39−17.03−12.2−17.99
34hard-packed snow2109.8−8.6−15.49−6.61−16.45
35hard-packed snow2100−8.6−15.49−6.61−16.45
36hard-packed snow1591.9−8.6−15.49−6.61−16.45
37hard-packed snow2165−10.55−16.44−9.29−18.15
38hard-packed snow2167.7−12−17.71−9.29−18.15
39hard-packed snow2167−2.91−13−6.91−12.88
40wet snow2194.5−2.91−13−6.91−12.88
41wet snow2195−2.91−13−5.78−11.58
42wet snow2203.3−11.69−19.81−9.51−14.82
43powder snow2468−13.83−20.64−9.3−17.83
44hard-packed snow2468−13.83−20.64−9.3−17.83
45hard-packed snow2509−11.09−16.57−7.48−13.95
46hard-packed snow2510.9−11.09−16.57−7.48−13.95
STDEV.S 2.672.612.163.35
Remotesensing 17 03326 i003 minimum value Remotesensing 17 03326 i004 maximum value.
Table A3. Minimum, maximum, and mean reflectance values for SAR images.
Table A3. Minimum, maximum, and mean reflectance values for SAR images.
Type Snowasc_VVdb
30 December 2024
asc_VHdb
30 December 2024
desc_VVdb
5 January 2025
desc_VHdb
5 January 2025
powder snow
max−7.10−12.84−7.20−13.95
min−13.83−20.64−14.10−34.04
mean−9.97−16.28−10.73−17.65
hard-packed snow
max−2.91−12.01−6.61−12.88
min−15.39−22.51−13.53−19.96
mean−10.16−17.07−9.10−16.94
wet snow
max−2.91−13−5.78−11.58
min−11.69−19.81−10.82−20.50
mean−7.92−16.45−8.77−16.06
Table A4. Minimum, maximum, and mean reflectance values for optical images.
Table A4. Minimum, maximum, and mean reflectance values for optical images.
Type of SnowNDSI
(Sentinel 2)
2 January 2025
NDFSI
(Sentinel 2)
2 January 2025
NDVI
(Sentinel 2)
2 January 2025
TCW
(Sentinel 2)
2 January 2025
NDSII
(PlanetScope) 30 December 2024
NDVI
(PlanetScope) 30 December 2024
powder snow
max0.6800.7000.34041.280.2100.580
min0.1900.140−0.0803.620−0.400−0.080
mean0.4000.3920.04311.906−0.0850.181
hard-packed snow
max0.6800.7000.23041.280.0300.510
min0.1400.190−0.2003.450−0.520−0.030
mean0.5660.5820.01026.61−0.0350.047
wet snow
max0.6200.6500.50029.560.0400.01
min0.5500.5800.00021.57−0.080−0.040
mean0.5960.6320.01224.58−0.004−0.026

References

  1. Ralph, K. Analysis of Snow Bidirectional Reflectance from ARCTAS Spring-2008 Campaign. Atmos. Chem. Phys. 2010, 10, 4359–4375. [Google Scholar]
  2. Available online: https://www.esa.int/Applications/Observing_the_Earth/Reflecting_on_Earth_s_albedo (accessed on 24 September 2025).
  3. Available online: https://dendrochronologybg.net/forests-and-avalanches-in-pirin-bulgaria (accessed on 11 June 2023).
  4. Niittynen, P.; Heikkinen, R.K.; Luoto, M. Snow cover is a neglected driver of Arctic biodiversity loss. Nat. Clim. Change 2018, 8, 997–1001. [Google Scholar] [CrossRef]
  5. Siljamo, N. Empirical Approach to Satellite Snow Detection; Finnish Meteorological Institute Helsinki: Helsinki, Finland, 2020. [Google Scholar] [CrossRef]
  6. Warren, S.G. Optical properties of snow. Rev. Geophy. Space Phys. 1982, 20, 67–89. [Google Scholar] [CrossRef]
  7. Dozier, J.; Warren, S. Effect of viewing angle on the infrared brightness temperature of snow. Water Resour. Res. 1982, 18, 1424–1434. [Google Scholar] [CrossRef]
  8. Key, J.R.; Collins, J.B.; Fowler, C.; Stone, R.S. High-latitude surface temperature estimates from thermal satellite data. Remote Sens. Environ. 1997, 61, 302–309. [Google Scholar] [CrossRef]
  9. Dozier, J.; Painter, T.H. Multispectral and hyperspectral remote sensing of alpine snow properties. Annu. Rev. Earth Planet. Sci. 2004, 32, 465–494. [Google Scholar] [CrossRef]
  10. Hori, M.; Aoki, T.; Tanikawa, T.; Kuchiki, K.; Niwano, M.; Yamaguchi, S.; Matoba, S. Dependence of thermal infrared emissive behaviors of snow cover on the surface snow type. Bull. Glaciol. Res. 2014, 32, 33–45. [Google Scholar] [CrossRef]
  11. Meier, M.F. Remote sensing of snow and ice/La télédétection de neige et de glace. Hydrol. Sci. Bull. 1980, 25, 307–330. [Google Scholar] [CrossRef]
  12. Dozier, J. Remote sensing of snow characteristics in the southern Sierra Nevada. In Large Scale Effects of Seasonal Snow Cover, Proceedings of the Vancouver SyrnPosium, Vancouver, Canada, 9–22 August 1987; International Association of Hydrological Sciences: Roorkee, India, 1987; pp. 305–314. Available online: https://www.academia.edu/27605022/Large_Scale_Effects_of_Seasonal_Snow_Cover (accessed on 24 September 2025).
  13. Dozier, J. Spectral Signature of Alpine Snow Cover from the Landsat Thematic Mapper. Remote Sens. Environ. 1989, 28, 9–22. [Google Scholar] [CrossRef]
  14. Nolin, A.W. Recent Advances in Remote Sensing of Seasonal Snow. J. Glaciol. 2010, 56, 1141–1150. [Google Scholar] [CrossRef]
  15. Hiltbrunner, D.; Strozzi, T.; Standley, A. Identification of Electromagnetic Signatures and Data Gaps of Snow Related to Microwave and Optical Measurements. 29 January 1997. pp. 1–53. Available online: https://www.researchgate.net/publication/228386437_Identification_of_electromagnetic_signatures_and_data_gaps_of_snow_related_to_microwave_and_optical_measurements#fullTextFileContent (accessed on 24 September 2025).
  16. Valovcin, F.R. Snow/Cloud Discrimination; AFGL-TR-76-0174, ADA 032385; Air Force Geophysics Laboratory: Hanscom Air Force Base, MA, USA, 1976. [Google Scholar]
  17. Spasova, T.; Avetisyan, D.; Stoyanov, A. Snow Cover Mapping Based on a Multi-Index Technique in Vitosha, Pirin and Rila mountains. In Proceedings of the SPIE 13197, Earth Resources and Environmental Remote Sensing/GIS Applications XV, 131971B, Edinburgh, UK, 16–20 September 2024. [Google Scholar] [CrossRef]
  18. Wang, Y.; Hess, L.L.; Filoso, S.; Melack, J.M. Understanding the radar backscattering from flooded and nonflooded Amazonian forests: Results from canopy backscatter modeling. Remote Sens. Environ. 1995, 54, 324–332. [Google Scholar] [CrossRef]
  19. Wang, X.Y.; Wang, J.; Jiang, Z.Y.; Li, H.; Hao, X.H. An effective method for snow-cover mapping of dense coniferous forests in the upper Heihe river basin using landsat operational land imager data. Remote Sens. 2015, 7, 17246–17257. [Google Scholar] [CrossRef]
  20. Wang, X.; Wang, J.; Che, T.; Huang, X.; Hao, X.; Li, H. Snow Cover Mapping for Complex Mountainous Forested Environments Based on a Multi-Index Technique. IEEE J. Sel. Top. Appl. Earth Obs. Remote Sens. 2018, 11, 1433–1441. [Google Scholar] [CrossRef]
  21. Avetisyan, D.; Spasova, T. Copernicus data utilization for polar research and monitoring purposes. In Proceedings of the 3rd National Workshop with International Participation Under the EU Copernicus Programme, Online, 31 December 2023; pp. 28–38. [Google Scholar] [CrossRef]
  22. Sansosti, E.; Berardino, P.; Bonano, M.; Calò, F.; Castaldo, R.; Casu, F.; Manunta, M.; Manzo, M.; Pepe, A.; Pepe, S.; et al. How Second Generation Sar Systems are Impacting the Analysis of Ground Deformation; National Research Council (CNR) of Italy—Istituto per il Rilevamento Elettromagnetico dell’Ambiente (IREA): Napoli, Italy, 2013; Volume 328, p. 80124. [Google Scholar]
  23. Nirupama; Simonovic, S.S. Role of Remote Sensing in Disaster Management; Insitute of Catastrophic Loss Reduction: Toronto, Ontario, 2002; Available online: https://www.researchgate.net/publication/209804877_Role_of_remote_sensing_in_disaster_management (accessed on 24 September 2025).
  24. Stoyanov, A.; Spasova, T.; Avetisyan, D. An Analysis of Powder, Hard-Packed, and Wet Snow in High Mountain Areas Based on SAR, Optical Data, and In Situ Data. Remote Sens. 2025, 17, 1649. [Google Scholar] [CrossRef]
  25. Spasova, T.; Avetisyan, D. Remote Sensing in Polar Regions Antarctic Part I, for Space Research and Technology Institute; Bulgarian Academy of Sciences: Sofia, Bulgaria, 2024; ISBN 978-619-7490-19-0/978-619-7490-14-5 (pdf). [Google Scholar]
  26. Spasova, T. Monitoring of short-lived snow coverage by SAR data around Livingston Island, South Shetland Islands in Antarctica. In Proceedings of the Adaptation Futures 2018—5th International Climate Change Adaptation Conference, EMG, Cape Town, South Africa, 18–21 June 2018; pp. 170–173. [Google Scholar]
  27. Available online: https://www.oruxmaps.com/cs/en/ (accessed on 24 September 2025).
  28. Ht-19 Thermal Camera Manual. Available online: https://hti-instrument.com/pages/ht-19-manual (accessed on 24 September 2025).
  29. Osborne, J. Regression & Linear Modeling; SAGE Publications, Inc.: Thousand Oaks, CA, USA, 2017. [Google Scholar] [CrossRef]
  30. Helsel, D.R.; Hirsch, R.M.; Ryberg, K.R.; Archfield, S.A.; Gilroy, E.J. Statistical Methods in Water Resources: U.S. Geological Survey Techniques and Methods; [Supersedes USGS Techniques of Water-Resources Investigations, Book 4, Chap. A3, Version 1.1.]; U.S. Geological Survey: Reston, VA, USA, 2020; Volume 4, p. 458. [Google Scholar] [CrossRef]
  31. Moore, D.S.; McCabe, G.P.; Craig, B.A. Introduction to the Practice of Statistics, 9th ed.; W. H. Freeman: New York, NY, USA, 2017. [Google Scholar]
  32. Willmott, C.J.; Matsuura, K. Advantages of the mean absolute error (MAE) over the root mean square error (RMSE) in assessing average model performance. Clim. Res. 2005, 30, 79–82. [Google Scholar] [CrossRef]
  33. Montgomery, D.; Runger, G. Applied Statistics and Probability for Engineers; John Wiley & Sons: Hoboken, NJ, USA, 2014. [Google Scholar]
  34. Available online: https://www.meteoswiss.admin.ch/weather/weather-and-climate-from-a-to-z/snow/types-of-snow.html (accessed on 24 September 2025).
  35. Available online: https://compuweather.com/the-important-difference-between-wet-snow-and-dry-snow/ (accessed on 24 September 2025).
  36. Available online: https://www.acurite.com/blogs/weather-101/types-of-snow?srsltid=AfmBOoowqd602gFqNOlIskJSchC5jnfhAd7LRCCtBn0Iw_6elXYd1gG9 (accessed on 24 September 2025).
  37. Assenov, A. Biogeography and Natural Capital of Bulgaria; University Press St. Kliment Ohridski: Sofia, Bulgaria, 2021. (In Bulgarian) [Google Scholar]
  38. Available online: https://infospravka.com/2024/09/15/pirin-planina (accessed on 24 September 2025).
  39. Draft Management Plan for Pirin National Park for the Period 2014–2023. Implementation of Contract No. UR-051/29. 01. 2014. Available online: https://www.pirin.bg/ (accessed on 24 September 2025).
  40. The Copernicus Data Space Ecosystem. 2024. Available online: https://dataspace.copernicus.eu/ (accessed on 24 September 2025).
  41. Available online: https://browser.stac.dataspace.copernicus.eu/collections/sentinel-1-grd?.language=en (accessed on 24 September 2025).
  42. Available online: https://sentinels.copernicus.eu/documents/247904/685211/Sentinel-2_User_Handbook (accessed on 24 September 2025).
  43. Sentinel-3 SLSTR User Guide. 2024. Available online: https://sentinels.copernicus.eu/documents/247904/1848151/Sentinel-3_SLSTR_Data_Access_and_Products.pdf (accessed on 24 September 2025).
  44. Available online: https://developers.planet.com/docs/data/planetscope/ (accessed on 24 September 2025).
  45. Available online: https://www.esa.int/Applications/Observing_the_Earth/Copernicus/The_Sentinel_missions (accessed on 24 September 2025).
  46. Spasova, T. Differentiated Approach to Monitoring Flooded Areas, Surface Water Bodies and Wet Snow Cover Based on Remote Sensing Methods and GIS. Ph.D. Thesis, SRTI-BAS, Sofia, Bulgaria, 2019. [Google Scholar]
  47. Singh, G.; Yamaguchi, Y.; Park, S.E.; Venkataraman, G. Identification of Snow using SAR Polarimetry techniques. Int. Arch. Photogramm. Remote Sens. Spat. Inf. Sci. 2010, 38 Pt 8, 146–149. [Google Scholar]
  48. Martini, A. Télédétection d’un Couvert Neigeux en Milieux Alpins à Partir de Données SAR Polarimétriques Mul-ti-Fréquentielles et Multitemporelles. Ph.D. Thesis, Universite de Rennes, Rennes, France, 2005. [Google Scholar]
  49. Magagi, R.; Bernier, M. Optimal conditions for wet snow detection using RADARSAT SAR data. Remote Sens. Environ. 2003, 84, 221–233. [Google Scholar] [CrossRef]
  50. Marin, C.; Bertoldi, G.; Premier, V.; Callegari, M.; Brida, C.; Hürkamp, K.; Tschiersch, J.; Zebisch, M.; Notarnicola, C. Use of Sentinel-1 radar observations to evaluate snowmelt dynamics in alpine regions. Cryosphere 2020, 14, 935–956. [Google Scholar] [CrossRef]
  51. Spasova, T.; Nedkov, R. Monitoring of Short-Lived Snow Coverage by Radar and Optical Data from Sentinel-1 and Sentinel-2 Satellites. Ecol. Eng. Environ. Prot. 2017, 2, 13–19. [Google Scholar] [CrossRef]
  52. Available online: https://step.esa.int/main/download/snap-download (accessed on 24 September 2025).
  53. Available online: https://www.esri.com/en-us/arcgis/products/arcgis-pro/overview (accessed on 24 September 2025).
  54. Yommy, A.S.; Liu, R.; Wu, S. SAR Image Despeckling Using Refined Lee Filter. In Proceedings of the 2015 7th International Conference on Intelligent Hu-man-Machine Systems and Cybernetics, Hangzhou, China, 26 August 2015; pp. 209–213. [Google Scholar]
  55. Available online: https://step.esa.int/main/doc/tutorials/ (accessed on 24 September 2025).
  56. Available online: https://www.esa.int/Enabling_Support/Operations/Sentinel-2_operations (accessed on 24 September 2025).
  57. Spasova, T.; Avetisyan, D.; Dancheva, A.; Ivanova, I.; Tsvetkov, M.Y. Spectral analysis and mapping of unregulated landfills in Varna, North-East planning region of Bulgaria. In Proceedings of the SPIE 13212, Tenth International Conference on Remote Sensing and Geoinformation of the Environment (RSCy2024), 132121L, Paphos, Cyprus, 13 September 2024. [Google Scholar] [CrossRef]
  58. Rouse, J.W.; Haas, R.H.; Schell, J.A.; Deering, D.W. Monitoring vegetation systems in the Great Plains with ERTS. In Proceedings of the Third Earth Resources Technology Satellite—1 Symposium, Washington, DC, USA, 1 January 1974; pp. 301–317. [Google Scholar]
  59. Yanakieva, N.; Avetisyan, D. Testing Optical Spectral Indices for Assessment of Surface Changes Due to Permafrost Melting on Livingston Island, Antarctica. Aerosp. Res. Bulg. 2024, 36, 79–93. [Google Scholar] [CrossRef]
  60. Valovcin, F.R. Spectral Radiance of Snow and Clouds in the Near Infrared Spectral Region; AFGL-TR-78-0289, ADA 063761; Air Force Geophysics Laboratory, Air Force Systems Command, United States Air Force: Hanscom Air Force Base, MA, USA, 1978. [Google Scholar]
  61. Kauth, R.J.; Thomas, G.S. The Tasselled cap—A graphic description of the spectral-temporal development of agricultural crops as seen by Landsat. In Proceedings of the Symposium on Machine Processing of Remotely Sensed Data, West Lafayette, IN, USA, 29 June–1 July 1976; pp. 41–51. [Google Scholar]
  62. Crist, E.; Cicone, R. A physicaly-based transformation of Thematic Mapper data—The TM Tasseled Cap. IEEE. Trans. Geosci. Remote Sens. 1984, 22, 256–263. [Google Scholar] [CrossRef]
  63. Nedkov, R. Orthogonal transformation of segmented images from the satellite Sentinel-2. Comptes Rendus L’acad´Emie Bulg. Sci. 2017, 70, 687–692. [Google Scholar]
  64. Ivanova, I.; Nedkov, R.; Borisova, D.; Stankova, N. Using SAR and optical data from Sentinel satellites for precise modeling of seasonal floating reed islands dynamics in Srebarna Lake. In Proceedings of the SPIE 10790, Earth Resources and Environmental Remote Sensing/GIS Applications IX, 107900E, Berlin, Germany, 9 October 2018. [Google Scholar] [CrossRef]
  65. Stankova, N.; Nedkov, R. Research model of monitoring the recovery of an ecosystem after fire based on satellite and GPS data. Ecol. Eng. Environ. Prot. 2016, 1, 5–11. [Google Scholar]
  66. Stankova, N.; Avetisyan, D. Postfire Forest Regrowth Algorithm Using Tasseled-Cap-Retrieved Indices. Application of Remote Sensing in Forest Fire. Remote Sens. 2024, 16, 597. [Google Scholar] [CrossRef]
  67. Available online: https://sentiwiki.copernicus.eu/web/s3-slstr-instrument (accessed on 24 September 2025).
  68. Available online: https://sentiwiki.copernicus.eu/web/slstr-applications (accessed on 24 September 2025).
  69. Available online: https://desktop.arcgis.com/en/arcmap/latest/get-started/setup/arcgis-desktop-system-requirements.htm (accessed on 24 September 2025).
  70. Available online: https://cds.climate.copernicus.eu/datasets/satellite-albedo?tab=overview (accessed on 24 September 2025).
  71. Dancheva, A. Methods for identification and visualization of municipal waste disposal sites using aerospace data. Ecol. Eng. Environ. Prot. 2021, 2, 56–60. [Google Scholar] [CrossRef]
  72. Dancheva, A. Differential estimation of temperature changes in landfills through the use of satellite data. In Proceedings of the SPIE 11534, Earth Resources and Environmental Remote Sensing/GIS Applications XI, 115340J, Online, 20 September 2020. [Google Scholar] [CrossRef]
  73. Dancheva, A.; Asenovski, S. Study of waste disposal thermal radiation using satellite data and considering solar influence. Aerosp. Res. Bulg. 2018, 30, 16–25. [Google Scholar] [CrossRef]
  74. Hall, D.K.; Riggs, G.A.; Salomonson, V.V. Development of methods for mapping global snow cover using moderate resolution imaging spectroradiometer data. Remote Sens. Environ. 1995, 54, 127–140. [Google Scholar] [CrossRef]
  75. Available online: https://hexagon.com/products/erdas-imagine (accessed on 24 September 2025).
  76. Available online: https://sdi.eea.europa.eu/catalogue/copernicus/api/records/71c95a07-e296-44fc-b22b-415f42acfdf0?language=all (accessed on 24 September 2025).
  77. Available online: https://land.copernicus.eu/en/map-viewer?dataset=0407d497d3c44bcd93ce8fd5bf78596a (accessed on 24 September 2025).
  78. Mätzler, C. Applications of the interaction of microwaves with the natural snow cover. Remote Sens. Rev. 1987, 2, 259–387. [Google Scholar] [CrossRef]
  79. Rignot, E.; Echelmeyer, K.; Krabill, W. Penetration depth of interferometric synthetic-aperture radar signals in snow and ice. Geophys. Res. Lett. 2001, 28, 3501–3504. [Google Scholar] [CrossRef]
  80. Langley, K.; Hamran, S.-E.; Hogda, K.A.; Storvold, R.; Brandt, O.; Hagen, J.O.; Kohler, J. Use of C-Band Ground Penetrating Radar to Determine Backscatter Sources Within Glaciers. IEEE Trans. Geosci. Remote Sens. 2007, 45, 1236–1246. [Google Scholar] [CrossRef]
  81. Shi, J.; Dozier, J. Inferring snow wetness using C-band data from SIR-C’s polarimetric synthetic aperture radar. IEEE Trans. Geosci. Remote Sens. 1995, 33, 905–914. [Google Scholar]
  82. Mätzler, C.; Schanda, E. Snow mapping with active microwave sensors. Int. J. Remote Sens. 1984, 5, 409–422. [Google Scholar] [CrossRef]
  83. Mardirosyan, G. Fundamentals of Remote Aerospace Technologies; New Bulgarian University: Sofia, Bulgaria, 2015; p. 238. ISBN 978-954-535-882-1. [Google Scholar]
  84. Avetisyan, D.; Cvetanova, G. Assessment of drought impact on phenological development of selected sunflower hybrids based on vegetation indices and orthogonalization of multispectral satellite data. Bulg. J. Agric. Sci. 2022, 28, 1006–1026. [Google Scholar]
Figure 1. Location of the test site of Bansko, Pirin Mountain and field points with three types of snow.
Figure 1. Location of the test site of Bansko, Pirin Mountain and field points with three types of snow.
Remotesensing 17 03326 g001
Figure 2. A model of an integrated methodology for spectral analysis of snow based on satellite data, in situ and open data in Bansko, Pirin Mountain.
Figure 2. A model of an integrated methodology for spectral analysis of snow based on satellite data, in situ and open data in Bansko, Pirin Mountain.
Remotesensing 17 03326 g002
Figure 3. Hard-packed snow by mobile thermal camera images and photo images, 30 December 2024, Bansko, Autor: Temenuzhka Spasova. (a) 30 December 2024, 15:50:02 p.m., point 33; (b) point 33; (c) 30 December 2024, 16:02:22 p.m., point 6; (d) point 6; (e) 30 December 2024, 15:15:59 p.m., point 44; (f) point 44.
Figure 3. Hard-packed snow by mobile thermal camera images and photo images, 30 December 2024, Bansko, Autor: Temenuzhka Spasova. (a) 30 December 2024, 15:50:02 p.m., point 33; (b) point 33; (c) 30 December 2024, 16:02:22 p.m., point 6; (d) point 6; (e) 30 December 2024, 15:15:59 p.m., point 44; (f) point 44.
Remotesensing 17 03326 g003
Figure 4. SAR images of the test site with points for three types of snow (described in Figure 1). (a) ascVH, 30 December 2024, Sentinel 1 SAR; (b) ascVV, 30 December 2024, Sentinel 1 SAR; (c) descVH, 5 January 2025, Sentinel 1 SAR; (d) descVV, 5 January 2025, Sentinel 1 SAR.
Figure 4. SAR images of the test site with points for three types of snow (described in Figure 1). (a) ascVH, 30 December 2024, Sentinel 1 SAR; (b) ascVV, 30 December 2024, Sentinel 1 SAR; (c) descVH, 5 January 2025, Sentinel 1 SAR; (d) descVV, 5 January 2025, Sentinel 1 SAR.
Remotesensing 17 03326 g004
Figure 5. Optical indices and Tasseled Cap Transformation, wetness of the test site with points for three types of snow, Sentinel-2MSI from 2 January 2025. (a) NDSI, 2 January 2025, Sentinel 2MSI; (b) NDFSI, 2 January 2025, Sentinel 2MSI; (c) NDVI, 2 January 2025, Sentinel 2MSI; (d) TCT, wetness component (TCW), 2 January 2025, Sentinel 2MSI.
Figure 5. Optical indices and Tasseled Cap Transformation, wetness of the test site with points for three types of snow, Sentinel-2MSI from 2 January 2025. (a) NDSI, 2 January 2025, Sentinel 2MSI; (b) NDFSI, 2 January 2025, Sentinel 2MSI; (c) NDVI, 2 January 2025, Sentinel 2MSI; (d) TCT, wetness component (TCW), 2 January 2025, Sentinel 2MSI.
Remotesensing 17 03326 g005
Figure 6. PlanetScope image, RGB composite of the test site with points for three types of snow. (a) RGB, PlanetScope, 29 December 2024; (b) RGB, PlanetScope, 30 December 2024; (c) NDSII, PlanetScope, 29 December 2024; (d) NDSII, PlanetScope, 30 December 2024, (“Image © 2024 Planet Labs PBC”).
Figure 6. PlanetScope image, RGB composite of the test site with points for three types of snow. (a) RGB, PlanetScope, 29 December 2024; (b) RGB, PlanetScope, 30 December 2024; (c) NDSII, PlanetScope, 29 December 2024; (d) NDSII, PlanetScope, 30 December 2024, (“Image © 2024 Planet Labs PBC”).
Remotesensing 17 03326 g006
Figure 7. Normalized Difference Vegetation Index (NDVI) of the test site with points for three types of snow, (a) NDVI, PlanetScope, 30 December 2024; (b) NDVI, Sentinel 2 MSI, 2 January 2025. (“Image © 2024 Planet Labs PBC”).
Figure 7. Normalized Difference Vegetation Index (NDVI) of the test site with points for three types of snow, (a) NDVI, PlanetScope, 30 December 2024; (b) NDVI, Sentinel 2 MSI, 2 January 2025. (“Image © 2024 Planet Labs PBC”).
Remotesensing 17 03326 g007
Figure 8. Sentinel-3LST parameters, Pirin Mountain (a) LST, 30 December 2024 (08:16:25 a.m.); (b) LST, 30 December 2024 (19:36:20 p.m.); (c) air temperature (20:09:23 p.m.); (d) snow albedo (20:09:23 p.m.).
Figure 8. Sentinel-3LST parameters, Pirin Mountain (a) LST, 30 December 2024 (08:16:25 a.m.); (b) LST, 30 December 2024 (19:36:20 p.m.); (c) air temperature (20:09:23 p.m.); (d) snow albedo (20:09:23 p.m.).
Remotesensing 17 03326 g008
Figure 9. Scatter plots with Regression for Sentinel-3LST parameters.
Figure 9. Scatter plots with Regression for Sentinel-3LST parameters.
Remotesensing 17 03326 g009
Figure 10. Scatter plot with regression for SAR data in dB values of (a) ascending and (b) descending orbit (46 field points) Sentinel 1 SAR, 30 December 2024 and for wet snow (c) asc_VV_ascVH and (d) desc_VV-desc_VH. (a) R = +0.664, R2 = 0.442; (b) R = +0.567, R2 = 0.321; (c) R = 0.99, R2 = 0.98; (d) R = 0.94, R2 = 0.88.
Figure 10. Scatter plot with regression for SAR data in dB values of (a) ascending and (b) descending orbit (46 field points) Sentinel 1 SAR, 30 December 2024 and for wet snow (c) asc_VV_ascVH and (d) desc_VV-desc_VH. (a) R = +0.664, R2 = 0.442; (b) R = +0.567, R2 = 0.321; (c) R = 0.99, R2 = 0.98; (d) R = 0.94, R2 = 0.88.
Remotesensing 17 03326 g010
Figure 11. Scatter plot with regression for NDSI (Sentinel 2)—NDVI (Sentinel 2), R = −0.50, R2 = 0.243, RMSE = 0.520, negative correlation.
Figure 11. Scatter plot with regression for NDSI (Sentinel 2)—NDVI (Sentinel 2), R = −0.50, R2 = 0.243, RMSE = 0.520, negative correlation.
Remotesensing 17 03326 g011
Figure 12. Scatter plot with regression for optical indices (Sentinel-2MSI and PlanetScope).
Figure 12. Scatter plot with regression for optical indices (Sentinel-2MSI and PlanetScope).
Remotesensing 17 03326 g012
Table 1. Satellite image and mobile thermal camera acquisition dates.
Table 1. Satellite image and mobile thermal camera acquisition dates.
SatelliteDateSpectral Band, WavelengthBandGSD *, m
Sentinel-1A30 December 2024λ = 5.6 cm,C10 × 10 *
5 January 2025Polarization: VH, VV
Sentinel-2B2 January 20250.56 µm310
0.665 µm410
0.842 µm810
0.865 µm8a20
1.61 µm1120
2.19 µm1220
Sentinel-3A
Sentinel-3B
30 December 20243.74 μmS71000
10.85 μm,S81000
12 μmS91000
PlanetScope29 December 2024
30 December 2024
443 nmCoastal Blue3
490 nmBlue3
531 nmGreen3
565 nmGreen I3
610 nmYellow3
665 nmRed3
705 nmRed edge3
865 nmNIR3
Thermal camera
HT-19
30 December 20248 to 14 μmInfrared320 × 240 Pixels
* Ground sample distance (GSD).
Table 2. Calculation formulas and description of the optical indices used in the study.
Table 2. Calculation formulas and description of the optical indices used in the study.
IndexFormulaBands, References
NDVI (Sentinel 2)
NDVI (PlanetScope)
Normalized Difference
Vegetation Index
N D V I = ρ n i r ρ r e d ρ n i r + ρ r e d (1)The bands used by Sentinel 2MSI are Band 8 and Band 4.
Rouse et al. (1973) [58] The index can be indicative of the dynamics of snow cover (0–0.2) [59], vegetation and water bodies. Its values range from −1 to +1 (one). The bands used by PlanetScope are Band 8 and Band 6.
NDFSI (Sentinel 2)
Normalized Difference Forest Snow Index
N D F S I = ρ n i r ρ s w i r ρ n i r + ρ s w i r (2)The Sentinel 2MSI bands used are Band8 and Band 3.
Wang, X.Y., Wang, J., Jiang, Z.Y. (2015) [19],
Wang, Xiao-Yan (2018) [20] NDFSI can be used in forested regions together with a land cover classification map of the area, and the accuracy of snow detection can reach over 93.92%.
NDSI (Sentinel 2)
Normalized Difference Snow Index
N S D I = ρ g r e e n ρ s w i r ρ g r e e n + ρ s w i r (3)The Sentinel 2MSI bands used are Band3 and Band11.
Valovcin, F.R., 1976 [16,17,60]
Its values range from 0 to 1 (one).
NDSII and NDSII-2
(PlanetScope)
Normalized Diference Snow and Ice Index
N D S I I 2   =   ρ g r e e n ρ n i r ρ g r e e n + ρ n i r (4)Bands with wavelengths of 865nm (Green) and 565nm (NIR) by PlanetScope were used.
TCT (Sentinel 2)
Tasseled Cap Transformation
Kauth-Thomas Transformation
Brightness (Br), Greenness (Gr), Wetness (W)
n W = W E W / S t . D e v W (5)
n B R = B R E B R / S t . D e v B R (6)
n G R = G R E G R / S t . D e v G R (7)
All Sentinel 2MSI bands are used for TCT needs.
Kauth and Thomas (1976) [61];
Crist and Cicone (1984) [62]
Nedkov (2017) [63]
Table 3. Sentinel-3LST parameters, Pirin mountain: LST, 30 December 2024 (08:16:25 a.m.), LST, 30 December 2024 (19:36:20 p.m.), air temperature, 30 December 2024 and snow albedo, 30 December 2024.
Table 3. Sentinel-3LST parameters, Pirin mountain: LST, 30 December 2024 (08:16:25 a.m.), LST, 30 December 2024 (19:36:20 p.m.), air temperature, 30 December 2024 and snow albedo, 30 December 2024.
PointNameAltitude [m]S3A_LST, 30 December 2024 (08:16:25 a.m.)S3A_LST, 30 December 2024 (19:36:20 p.m.)S3A_LST, Air Temperature (20:09:23 p.m.)S3A_LST, Snow Albedo (20:09:23 p.m.)
1powder snow2405.6−3.79−13.22−1.690.710067
2powder snow1638.10.62−11.32−1.730.711348
3powder snow1849.40.62−11.32−1.730.711348
4powder snow1532.90.62−6.23−1.850.711794
5powder snow1542.10.62−6.23−1.850.711794
6powder snow15450.62−6.23−1.730.710067
7powder snow1575.30.62−11.32−1.730.711348
8wet snow15810.62−11.32−1.730.711348
9wet snow15810.62−11.32−1.730.711348
10powder snow1839.7−1.20−7.35−1.800.709259
11powder snow1829.3−1.20−7.35−1.800.710067
12powder snow2406−2.20−13.22−1.690.710067
13powder snow2403.8−2.20−10.40−1.690.710708
14hard-packed snow2403−2.20−10.40−1.710.710708
15hard-packed snow2088−2.20−10.40−1.710.710708
16powder snow2088.8−2.20−10.40−1.710.710708
17powder snow2077.5−2.20−10.40−1.710.710708
18powder snow2031.1−2.20−10.40−1.710.710708
19powder snow1996.2−2.20−10.40−1.710.710708
20powder snow1957.1−2.20−10.40−1.710.710708
21powder snow1906.2−2.20−10.40−1.710.710708
22powder snow1887.1−2.20−11.32−1.710.709259
23powder snow1848.4−2.20−11.32−1.800.709259
24hard-packed snow1910−1.20−7.35−1.800.710067
25hard-packed snow2471.4−2.20−13.22−1.690.710067
26hard-packed snow2420.5−2.20−13.22−1.690.710067
27hard-packed snow2364.2−2.20−13.22−1.690.710067
28hard-packed snow2338.1−2.20−13.22−1.690.710067
29hard-packed snow2287.6−2.20−13.22−1.690.710067
30hard-packed snow2270.5−2.20−13.22−1.690.708414
31hard-packed snow2238.6−2.20−13.22−1.790.708414
32hard-packed snow2224.6−2.20−12.78−1.790.708414
33hard-packed snow2204−2.20−12.78−1.790.711348
34hard-packed snow2109.80.62−11.32−1.730.711348
35hard-packed snow21000.62−6.80−1.730.711348
36hard-packed snow1591.90.62−6.80−1.730.708414
37hard-packed snow2165−2.20−6.80−1.790.710067
38hard-packed snow2167.7−2.20−6.80−1.790.710067
39hard-packed snow2167−2.20−6.80−1.790.710067
40wet snow2194.5−2.20−6.80−1.790.708414
41wet snow2195−2.20−6.80−1.790.708414
42wet snow2203.3−2.20−6.80−1.790.710067
43powder snow2468−2.20−13.22−1.690.710067
44hard-packed snow2468−2.20−13.22−1.690.710067
45hard-packed snow2509−2.20−13.22−1.690.710067
46hard-packed snow2510.9−2.20−13.22−1.690.710067
Table 4. Correlation (R) and coefficient of determination (R2) values for three types of snow, SAR data.
Table 4. Correlation (R) and coefficient of determination (R2) values for three types of snow, SAR data.
Snow Typeasc_VVdb-asc_VHdb
30 December 2024
desc_VVdb-desc_VHdb
5 January 2025
powder snow R0.680.57
hard-packed snow R0.590.46
wet snow R0.990.94
Total R0.6640.442
powder snow R20.460.33
hard-packed snow R20.350.21
wet snow R20.980.88
Total R20.5670.321
Table 5. Distribution of reflectance indices of the test site with points for three types of snow: NDSI, NDVI and NDFSI, pixel values from Tasseled Cap Transformation, wetness component (Sentinel 2MSI—2 January 2025) and optical indices NDSII and NDVI (PlanetScope—30 December 2024).
Table 5. Distribution of reflectance indices of the test site with points for three types of snow: NDSI, NDVI and NDFSI, pixel values from Tasseled Cap Transformation, wetness component (Sentinel 2MSI—2 January 2025) and optical indices NDSII and NDVI (PlanetScope—30 December 2024).
PointsNameAmslNDSI
Sentinel-2
NDFSI
Sentinel-2
NDVI
Sentinel-2
TCW
Sentinel-2
NDSII
PlanetScope
NDVI
PlanetScope
1powder snow2405.60.470.35−0.0810.290.17−0.08
2powder snow1638.10.340.25−0.015.80.110.08
3powder snow1849.40.370.22−0.066.50.210.01
4powder snow1532.90.660.680.0226.7−0.030.02
5powder snow1542.10.660.680.0226.7−0.030.01
6powder snow15450.250.210.055.12−0.150.28
7powder snow1575.30.530.53011.42−0.020.02
8wet snow15810.620.65024.790.03−0.04
9wet snow15810.620.65024.790.03−0.04
10powder snow1839.70.470.560.1211.48−0.120.19
11powder snow1829.30.470.560.1211.48−0.150.23
12powder snow24060.610.61−0.0124.040.04−0.03
13powder snow2403.80.610.62−0.0124.420.04−0.04
14hard-packed snow24030.250.190.014.34−0.210.31
15hard-packed snow20880.250.190.014.34−0.210.31
16powder snow2088.80.230.20.054−0.220.36
17powder snow2077.50.30.2104.86−0.20.36
18powder snow2031.10.260.50.344.64−0.330.51
19powder snow1996.20.220.150.023.68−0.40.58
20powder snow1957.10.240.14−0.013.96−0.190.37
21powder snow1906.20.190.180.083.62−0.130.25
22powder snow1887.10.220.290.174.08−0.230.32
23powder snow1848.40.230.20.064.06−0.090.22
24hard-packed snow19100.140.30.233.45−0.520.51
25hard-packed snow2471.40.650.67−0.0134.780.02−0.03
26hard-packed snow2420.50.670.68−0.0135.620.02−0.02
27hard-packed snow2364.20.640.66032.110.01−0.02
28hard-packed snow2338.10.660.69−0.0136.590.01−0.01
29hard-packed snow2287.60.630.64−0.0132.780.01−0.01
30hard-packed snow2270.50.640.65−0.0132.320.01−0.02
31hard-packed snow2238.60.610.61−0.0128.180.03−0.01
32hard-packed snow2224.60.610.61−0.0225.630.02−0.01
33hard-packed snow22040.630.64−0.0127.840.03−0.03
34hard-packed snow2109.80.560.570.0120.340.010.02
35hard-packed snow21000.560.570.0120.340.010.02
36hard-packed snow1591.90.560.570.0120.340.010.02
37hard-packed snow21650.610.640.0225.93−0.020.05
38hard-packed snow2167.70.610.640.0225.930.010.01
39hard-packed snow21670.610.650.0129.56−0.04−0.02
40wet snow2194.50.610.650.0129.56−0.04−0.02
41wet snow21950.550.58022.2−0.080.01
42wet snow2203.30.580.630.0521.570.04−0.04
43powder snow24680.680.7041.280.02−0.03
44hard-packed snow24680.680.7041.280.02−0.03
45hard-packed snow25090.670.69−0.0139.70.02−0.03
46hard-packed snow2510.90.650.67−0.0137.40.02−0.02
Stdev.S 0.1750.1970.071312.550.1380.177
Remotesensing 17 03326 i001 minimum value Remotesensing 17 03326 i002 maximum value.
Table 6. Results of linear regression and RMSE for all satellite data.
Table 6. Results of linear regression and RMSE for all satellite data.
Optical SatellitesCorrelation [R]R2RMSE
NDSI (Sentinel-2)-NDFSI (Sentinel-2)+0.9450.8920.065
powder snow+0.905 ↓0.820 ↓
hard-packed snow+0.964 ↑0.929 ↑
wet snow+0.957 ↑0.915 ↑
NDFSI(Sentinel-2)-TCW(Sentinel-2)+0.9000.81023.02
powder snow+0.849 ↓0.720 ↓
hard-packed snow+0.932 ↑0.869 ↑
wet snow+0.594 ↓0.353 ↓
NDVI (Sentinel-2)-NDSI(Sentinel-2)−0.500.2430.520
powder snow−0.380 ↓0.114 ↓
hard-packed snow−0.699 ↑0.489 ↑
wet snow−0.250 ↓0.06 ↓
NDSI(Sentinel-2)-TCW(Sentinel-2)+0.9310.86623.03
powder snow+0.912 ↓0.832 ↓
hard-packed snow+0.932 ↑0.869 ↑
wet snow+0.619 ↓0.383 ↓
NDSII (PlanetScope)-NDVI (PlanetScope)−0.9170.8420.342
powder snow−0.924 ↑0.854 ↑
hard-packed snow−0.971 ↑0.943 ↑
wet snow−0.970 ↑0.940 ↓
NDVI (PlanetScope) -NDVI(Sentinel-2)+0.6490.4210.158
powder snow+0.580 ↓0.336 ↓
hard-packed snow+0.784 ↑0.615 ↑
wet snow+0.337 ↓0.113 ↓
NDSII2(PlanetScope) -NDSI(Sentinel-2)+0.7130.5080.564
powder snow+0.565 ↓0.319 ↓
hard-packed snow+0.926 ↑0.857 ↑
wet snow+0.604 ↓0.365 ↓
SARcorrelation [r]R2RMSE
VVas–VHasc+0.6640.442 ↓7.15
VVdes-VHdes+0.5670.321 ↓7.88
Sentinel-3LSTcorrelation [r]R2RMSE
LSTnight—air tempreture−0.6760.4579.01
powder snow−0.749 ↓0.561 ↑
hard-packed snow−0.561 ↑0.315 ↓
wet snow−1 ↓1 ↑
LSTday—air tempreture−0.260.071.27
powder snow−0.54 ↓0.29 ↓
hard-packed snow−0.06 ↓0.004 ↑
wet snow+1 ↑1 ↑
LSTday—altitude−0.7680.5892101
powder snow−0.810 ↓0.656 ↑
hard-packed snow−0.659 ↑0.434 ↓
wet snow−0.999 ↓0.999 ↑
LSTnight-altitude−0.5110.2612109
powder snow−0.690 ↓0.476 ↑
hard-packed snow−0.703 ↓0.494 ↑
wet snow+0.999 ↑0.999 ↑
↑ increasing value ↓ decreasing value.
Disclaimer/Publisher’s Note: The statements, opinions and data contained in all publications are solely those of the individual author(s) and contributor(s) and not of MDPI and/or the editor(s). MDPI and/or the editor(s) disclaim responsibility for any injury to people or property resulting from any ideas, methods, instructions or products referred to in the content.

Share and Cite

MDPI and ACS Style

Spasova, T.; Stoyanov, A.; Dancheva, A.; Avetisyan, D. Spectral Analysis of Snow in Bansko, Pirin Mountain, in Different Ranges of the Electromagnetic Spectrum. Remote Sens. 2025, 17, 3326. https://doi.org/10.3390/rs17193326

AMA Style

Spasova T, Stoyanov A, Dancheva A, Avetisyan D. Spectral Analysis of Snow in Bansko, Pirin Mountain, in Different Ranges of the Electromagnetic Spectrum. Remote Sensing. 2025; 17(19):3326. https://doi.org/10.3390/rs17193326

Chicago/Turabian Style

Spasova, Temenuzhka, Andrey Stoyanov, Adlin Dancheva, and Daniela Avetisyan. 2025. "Spectral Analysis of Snow in Bansko, Pirin Mountain, in Different Ranges of the Electromagnetic Spectrum" Remote Sensing 17, no. 19: 3326. https://doi.org/10.3390/rs17193326

APA Style

Spasova, T., Stoyanov, A., Dancheva, A., & Avetisyan, D. (2025). Spectral Analysis of Snow in Bansko, Pirin Mountain, in Different Ranges of the Electromagnetic Spectrum. Remote Sensing, 17(19), 3326. https://doi.org/10.3390/rs17193326

Note that from the first issue of 2016, this journal uses article numbers instead of page numbers. See further details here.

Article Metrics

Back to TopTop