Response of Natural Forests and Grasslands in Xinjiang to Climate Change Based on Sun-Induced Chlorophyll Fluorescence
Abstract
1. Introduction
2. Materials and Methods
2.1. Study Region
2.2. Datasets
2.2.1. Vegetation Cover Data
2.2.2. SIF Data
2.2.3. Climate Data
2.2.4. NDVI Data
2.3. Research Methods
2.3.1. Trend Analysis
2.3.2. Calculation Formula and Grade Division of Drought Index
2.3.3. Classification of Vegetation Coverage Levels
2.3.4. Selection of Drought Periods and Corresponding SPEI Timescales
2.3.5. Correlation Analysis
2.3.6. Technical Roadmap
3. Results
3.1. Spatiotemporal Variation Characteristics of Drought in Xinjiang
3.1.1. Overall Trend Analysis of Drought in the Study Region
3.1.2. Overall Spatial Distribution of Drought in the Study Region
3.1.3. Trend Analysis of Drought in Different Ecological Regions of Xinjiang
3.2. Spatiotemporal Variation Characteristics of Vegetation in Xinjiang
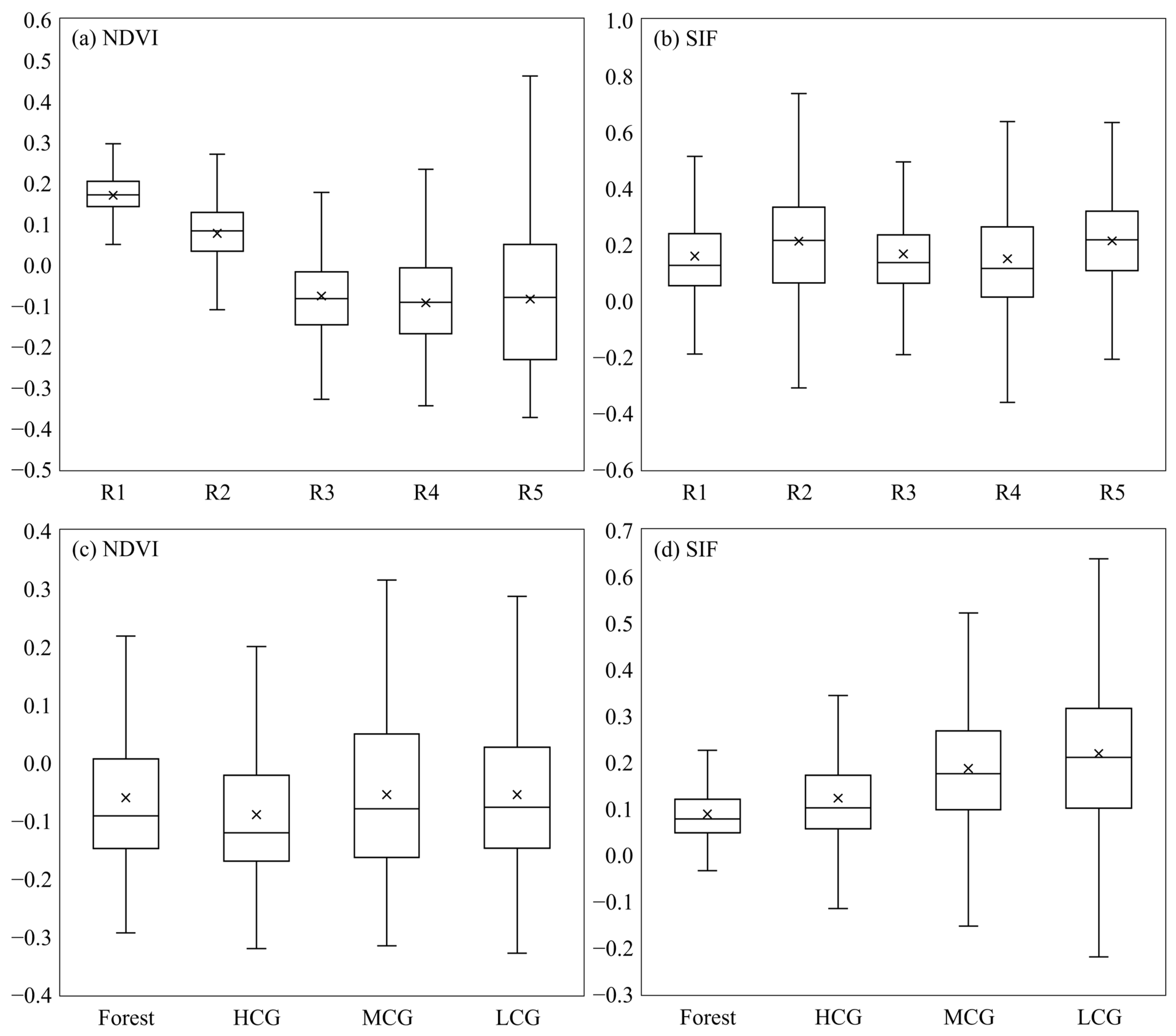
3.2.1. Spatiotemporal Variation Analysis of Vegetation NDVI and SIF
3.2.2. Analysis of Multi-Year Trend Change of Vegetation Based on Pixel
3.2.3. Spatiotemporal Distribution Characteristics of Natural Forest Grasslands in Xinjiang
3.3. Response of Vegetation to Drought in Xinjiang
3.3.1. Spatial Distribution of Vegetation Condition Response to Climate Change in Xinjiang
3.3.2. Spatial Distribution of Vegetation Condition Response Times to Climate Change in Xinjiang
4. Discussion
5. Conclusions
Author Contributions
Funding
Data Availability Statement
Conflicts of Interest
References
- Ciais, P.; Reichstein, M.; Viovy, N.; Granier, A.; Ogée, J.; Allard, V.; Aubinet, M.; Buchmann, N.; Bernhofer, C.; Carrara, A. Europe-Wide Reduction in Primary Productivity Caused by the Heat and Drought in 2003. Nature 2005, 437, 529–533. [Google Scholar] [CrossRef]
- Jolly, W.M.; Dobbertin, M.; Zimmermann, N.E.; Reichstein, M. Divergent Vegetation Growth Responses to the 2003 Heat Wave in the Swiss Alps. Geophys. Res. Lett. 2005, 32, 2005GL023252. [Google Scholar] [CrossRef]
- Zhao, M.; Running, S.W. Drought-Induced Reduction in Global Terrestrial Net Primary Production from 2000 through 2009. Science 2010, 329, 940–943. [Google Scholar] [CrossRef] [PubMed]
- Yuan, W.; Cai, W.; Chen, Y.; Liu, S.; Dong, W.; Zhang, H.; Yu, G.; Chen, Z.; He, H.; Guo, W.; et al. Severe Summer Heatwave and Drought Strongly Reduced Carbon Uptake in Southern China. Sci. Rep. 2016, 6, 18813. [Google Scholar] [CrossRef]
- Schuldt, B.; Buras, A.; Arend, M.; Vitasse, Y.; Beierkuhnlein, C.; Damm, A.; Gharun, M.; Grams, T.E.E.; Hauck, M.; Hajek, P.; et al. A First Assessment of the Impact of the Extreme 2018 Summer Drought on Central European Forests. Basic Appl. Ecol. 2020, 45, 86–103. [Google Scholar] [CrossRef]
- Zou, X.-Y.; Peng, X.-Y.; Zhao, X.-X.; Chang, C.-P. The Impact of Extreme Weather Events on Water Quality: International Evidence. Nat. Hazards 2023, 115, 1–21. [Google Scholar] [CrossRef]
- Li, M.; Han, Y.; Zhao, H.; Wang, Y. Analysis on Spatial-Temporal Variation Characteristics and Driving Factors of Fractional Vegetation Cover in Ningxia Based on Geographical Detector. Ecol. Environ. 2022, 31, 1317. [Google Scholar] [CrossRef]
- Winsemius, H.C.; Jongman, B.; Veldkamp, T.I.; Hallegatte, S.; Bangalore, M.; Ward, P.J. Disaster Risk, Climate Change, and Poverty: Assessing the Global Exposure of Poor People to Floods and Droughts. Environ. Dev. Econ. 2018, 23, 328–348. [Google Scholar] [CrossRef]
- Xu, C.; McDowell, N.G.; Fisher, R.A.; Wei, L.; Sevanto, S.; Christoffersen, B.O.; Weng, E.; Middleton, R.S. Increasing Impacts of Extreme Droughts on Vegetation Productivity under Climate Change. Nat. Clim. Chang. 2019, 9, 948–953. [Google Scholar] [CrossRef]
- Zhang, C.; Ren, Y.; Cao, L.; Wu, J.; Zhang, S.; Hu, C.; Zhujie, S. Characteristics of Dry-Wet Climate Change in China during the Past 60 Years and Its Trends Projection. Atmosphere 2022, 13, 275. [Google Scholar] [CrossRef]
- Yu, J.; Zhang, J.; Zhang, M.; Yu, R. SAPEI-Based Spatial and Temporal Variation Characteristics of Drought in Xinjiang. Agric. Res. Arid. Areas 2023, 41, 275–288. [Google Scholar]
- Yang, S.Y.; Meng, D.; Li, X.J.; Wu, X.L. Multi-Scale Responses of Vegetation Changes Relative to the SPEI Meteorological Drought Index in North China in 2001–2014. Acta Ecol. Sin. 2018, 38, 1028–1039. [Google Scholar]
- Thi, N.Q.; Govind, A.; Le, M.-H.; Linh, N.T.; Anh, T.T.M.; Hai, N.K.; Ha, T.V. Spatiotemporal Characterization of Droughts and Vegetation Response in Northwest Africa from 1981 to 2020. Egypt. J. Remote Sens. Space Sci. 2023, 26, 393–401. [Google Scholar] [CrossRef]
- Hao, H.; Yao, J.; Chen, Y.; Xu, J.; Li, Z.; Duan, W.; Ismail, S.; Wang, G. Ecological Transitions in Xinjiang, China: Unraveling the Impact of Climate Change on Vegetation Dynamics (1990–2020). J. Geogr. Sci. 2024, 34, 1039–1064. [Google Scholar] [CrossRef]
- Xue, J.; Wang, Y.; Teng, H.; Wang, N.; Li, D.; Peng, J.; Biswas, A.; Shi, Z. Dynamics of Vegetation Greenness and Its Response to Climate Change in Xinjiang over the Past Two Decades. Remote Sens. 2021, 13, 4063. [Google Scholar] [CrossRef]
- Ci, H.; Zhang, Q. Spatio-Temporal Patterns of NDVI Variations and Possible Relations with Climate Changes in Xinjiang Province. J. Geo-Inf. Sci. 2017, 19, 662–671. [Google Scholar]
- Chen, Y.-H.; Rusuli, Y.; Wusiman, A. Analysis of Spatial and Temporal Variation in Grassland Vegetation Cover in Xinjiang Section of Tianshan Mountains and the Driving Factors from 2001 to 2020. Chin. J. Plant Ecol. 2024, 48, 561. [Google Scholar] [CrossRef]
- Chen, C.; Li, G.; Peng, J. Spatio-Temporal Characteristics of Xinjiang Grassland NDVI and Its Response to Climate Change from 1981 to 2018. Acta Ecol. Sin. 2023, 43, 1537–1552. [Google Scholar]
- Vicente-Serrano, S.M.; Beguería, S.; López-Moreno, J.I. A Multiscalar Drought Index Sensitive to Global Warming: The Standardized Precipitation Evapotranspiration Index. J. Clim. 2010, 23, 1696–1718. [Google Scholar] [CrossRef]
- Vicente-Serrano, S.M.; Gouveia, C.; Camarero, J.J.; Beguería, S.; Trigo, R.; López-Moreno, J.I.; Azorín-Molina, C.; Pasho, E.; Lorenzo-Lacruz, J.; Revuelto, J.; et al. Response of Vegetation to Drought Time-Scales across Global Land Biomes. Proc. Natl. Acad. Sci. USA 2013, 110, 52–57. [Google Scholar] [CrossRef]
- Wang, Y.; Chen, T.; Wang, Q.; Peng, L. Time-Lagged and Cumulative Effects of Drought and Anthropogenic Activities on China’s Vegetation Greening from 1990 to 2018. Int. J. Digit. Earth 2023, 16, 2233–2258. [Google Scholar] [CrossRef]
- Qu, X.; Yang, S.; Wang, Y.; Zou, X. Response of VCI to SPEI at Different Time Scales from 2000 to 2017 in Inner Mongolia Chinese Agricultural. Sci. Bull. 2020, 36, 106–111. [Google Scholar]
- Xu, H.; Wang, X.; Zhao, C.; Yang, X. Diverse Responses of Vegetation Growth to Meteorological Drought across Climate Zones and Land Biomes in Northern China from 1981 to 2014. Agric. For. Meteorol. 2018, 262, 1–13. [Google Scholar] [CrossRef]
- Van Der Tol, C.; Berry, J.A.; Campbell, P.K.E.; Rascher, U. Models of Fluorescence and Photosynthesis for Interpreting Measurements of Solar-induced Chlorophyll Fluorescence. J. Geophys. Res. Biogeosci. 2014, 119, 2312–2327. [Google Scholar] [CrossRef] [PubMed]
- Wang, Y.; Chi, Y.; Zhou, L. Spatiotemporal Patterns and Climate Regulation of Gross Primary Productivity and Sun-Induced Chlorophyll Fluorescence of Terrestrial Vegetation in China from 2007 to 2018. Remote Sens. Technol. Appl. 2022, 37, 692–701. [Google Scholar]
- Shi, M.; Tong, X.; Li, J.; Yang, M.; Wang, Y.; Wang, Y. Response of Forest over Eastern Monsoon China to Dry-Wet Change Based on Solar-Induced Chlorophyll Fluorescence. Chin. J. Appl. Ecol. 2024, 35, 3107–3118. [Google Scholar] [CrossRef]
- Wang, X.; Qiu, B.; Li, W.; Zhang, Q. Impacts of Drought and Heatwave on the Terrestrial Ecosystem in China as Revealed by Satellite Solar-Induced Chlorophyll Fluorescence. Sci. Total Environ. 2019, 693, 133627. [Google Scholar] [CrossRef] [PubMed]
- Kimm, H.; Guan, K.; Jiang, C.; Miao, G.; Wu, G.; Suyker, A.E.; Ainsworth, E.A.; Bernacchi, C.J.; Montes, C.M.; Berry, J.A. A Physiological Signal Derived from Sun-Induced Chlorophyll Fluorescence Quantifies Crop Physiological Response to Environmental Stresses in the US Corn Belt. Environ. Res. Lett. 2021, 16, 124051. [Google Scholar] [CrossRef]
- Yang, L.; Wei, W.; Wang, T.; Li, L. Temporal-Spatial Variations of Vegetation Cover and Surface Soil Moisture in the Growing Season across the Mountain-Oasis-Desert System in Xinjiang, China. Geocarto Int. 2022, 37, 3912–3940. [Google Scholar] [CrossRef]
- Gao, Q.; Wan, Y.; Xu, H.; Li, Y.; Jiangcun, W.-z.; Borjigidai, A. Alpine Grassland Degradation Index and Its Response to Recent Climate Variability in Northern Tibet, China. Quat. Int. 2010, 226, 143–150. [Google Scholar] [CrossRef]
- Liu, Y.; Li, L.; Chen, X.; Zhang, R.; Yang, J. Temporal-Spatial Variations and Influencing Factors of Vegetation Cover in Xinjiang from 1982 to 2013 Based on GIMMS-NDVI3g. Glob. Planet. Chang. 2018, 169, 145–155. [Google Scholar] [CrossRef]
- Xu, X.; Liu, J.; Zhang, S.; Li, R.; Yan, C.; Wu, S. China Multi Period Land Use Remote Sensing Monitoring Dataset (CNLUCC); Resource and Environmental Science Data Registration and Publishing System: Beijing, China, 2018. [Google Scholar]
- Cheng, K.; Yang, H.; Guan, H.; Ren, Y.; Chen, Y.; Chen, M.; Yang, Z.; Lin, D.; Liu, W.; Xu, J.; et al. Unveiling China’s Natural and Planted Forest Spatial–Temporal Dynamics from 1990 to 2020. ISPRS J. Photogramm. Remote Sens. 2024, 209, 37–50. [Google Scholar] [CrossRef]
- Li, X.; Xiao, J. A Global, 0.05-Degree Product of Solar-Induced Chlorophyll Fluorescence Derived from OCO-2, MODIS, and Reanalysis Data. Remote Sens. 2019, 11, 517. [Google Scholar] [CrossRef]
- Vicente-Serrano, S.M.; Beguería, S.; López-Moreno, J.I.; Angulo, M.; El Kenawy, A. A New Global 0.5 Gridded Dataset (1901–2006) of a Multiscalar Drought Index: Comparison with Current Drought Index Datasets Based on the Palmer Drought Severity Index. J. Hydrometeorol. 2010, 11, 1033–1043. [Google Scholar] [CrossRef]
- Gao, J.; Shi, Y.; Zhang, H.; Chen, X.; Zhang, W.; Shen, W.; Xiao, T.; Zhang, Y. China Regional 250 m Normalized Difference Vegetation Index Data Set (2000–2022); National Tibetan Plateau/Third Pole Environment Data Center: Beijing, China, 2023. [Google Scholar]
- Yang, J.; Li, Y.; Zhou, L.; Zhang, Z.; Zhou, H.; Wu, J. Effects of Temperature and Precipitation on Drought Trends in Xinjiang, China. J. Arid Land 2024, 16, 1098–1117. [Google Scholar] [CrossRef]
- Chen, Y.-R.; Liu, B.; Cai, X.; Zhou, T.-J.; He, Q. Moisture Transport and Sources of an Extreme Rainfall Event of June 2021 in Southern Xinjiang, China. Adv. Clim. Chang. Res. 2022, 13, 843–850. [Google Scholar] [CrossRef]
- López, J.; Way, D.A.; Sadok, W. Systemic Effects of Rising Atmospheric Vapor Pressure Deficit on Plant Physiology and Productivity. Glob. Chang. Biol. 2021, 27, 1704–1720. [Google Scholar] [CrossRef]
- Qi, X.-W.; Chen, M.; Wang, H.-s. Detecting Response of Vegetation Photosynthesis to Meteorological Drought Based on Solar-Induced Chlorophyll Fluorescence. Chin. J. Agrometeorol. 2023, 44, 133. [Google Scholar]
- Fayech, D.; Tarhouni, J. Climate Variability and Its Effect on Normalized Difference Vegetation Index (NDVI) Using Remote Sensing in Semi-Arid Area. Model. Earth Syst. Environ. 2021, 7, 1667–1682. [Google Scholar] [CrossRef]
- Wu, Y.; Zhang, Z.; Wu, L.; Zhang, Y. Solar-Induced Chlorophyll Fluorescence Tracks Canopy Photosynthesis under Dry Conditions in a Semi-Arid Grassland. Agric. For. Meteorol. 2024, 356, 110174. [Google Scholar] [CrossRef]
- Gross, N.; Maestre, F.T.; Liancourt, P.; Berdugo, M.; Martin, R.; Gozalo, B.; Ochoa, V.; Delgado-Baquerizo, M.; Maire, V.; Saiz, H. Unforeseen Plant Phenotypic Diversity in a Dry and Grazed World. Nature 2024, 632, 808–814. [Google Scholar] [CrossRef]
- Damm, A.; Paul-Limoges, E.; Haghighi, E.; Simmer, C.; Morsdorf, F.; Schneider, F.D.; van der Tol, C.; Migliavacca, M.; Rascher, U. Remote Sensing of Plant-Water Relations: An Overview and Future Perspectives. J. Plant Physiol. 2018, 227, 3–19. [Google Scholar] [CrossRef]
- Li, D.; An, L.; Zhong, S.; Shen, L.; Wu, S. Declining Coupling between Vegetation and Drought over the Past Three Decades. Glob. Chang. Biol. 2024, 30, e17141. [Google Scholar] [CrossRef]
- Song, L.; Guanter, L.; Guan, K.; You, L.; Huete, A.; Ju, W.; Zhang, Y. Satellite Sun-Induced Chlorophyll Fluorescence Detects Early Response of Winter Wheat to Heat Stress in the Indian Indo-Gangetic Plains. Glob. Chang. Biol. 2018, 24, 4023–4037. [Google Scholar] [CrossRef]
- Wang, S.; Huang, C.; Zhang, L.; Lin, Y.; Cen, Y.; Wu, T. Monitoring and Assessing the 2012 Drought in the Great Plains: Analyzing Satellite-Retrieved Solar-Induced Chlorophyll Fluorescence, Drought Indices, and Gross Primary Production. Remote Sens. 2016, 8, 61. [Google Scholar] [CrossRef]
- Yoshida, Y.; Joiner, J.; Tucker, C.; Berry, J.; Lee, J.-E.; Walker, G.; Reichle, R.; Koster, R.; Lyapustin, A.; Wang, Y. The 2010 Russian Drought Impact on Satellite Measurements of Solar-Induced Chlorophyll Fluorescence: Insights from Modeling and Comparisons with Parameters Derived from Satellite Reflectances. Remote Sens. Environ. 2015, 166, 163–177. [Google Scholar] [CrossRef]
- Anjum, S.A.; Xie, X.; Wang, L.; Saleem, M.F.; Man, C.; Lei, W. Morphological, Physiological and Biochemical Responses of Plants to Drought Stress. Afr. J. Agric. Res. 2011, 6, 2026–2032. [Google Scholar]
- Cartwright, J.M.; Littlefield, C.E.; Michalak, J.L.; Lawler, J.J.; Dobrowski, S.Z. Topographic, Soil, and Climate Drivers of Drought Sensitivity in Forests and Shrublands of the Pacific Northwest, USA. Sci. Rep. 2020, 10, 18486. [Google Scholar] [CrossRef] [PubMed]
- Wu, L.; Zhang, Y.; Zhang, Z.; Zhang, X.; Wu, Y.; Chen, J.M. Deriving Photosystem-Level Red Chlorophyll Fluorescence Emission by Combining Leaf Chlorophyll Content and Canopy Far-Red Solar-Induced Fluorescence: Possibilities and Challenges. Remote Sens. Environ. 2024, 304, 114043. [Google Scholar] [CrossRef]













| Data Set | Data Product | Spatial Resolution | Temporal Resolution | Period | Source |
|---|---|---|---|---|---|
| Natural grassland | China Multi-Period Land Use Remote Sensing Monitoring Dataset (CNLUCC) | 1 km | Multi-year | 2000–2020 | Xu X et al. [32] |
| Natural forest | Planted forest maps of China from 1990 to 2020v1.0 | 1 km | 5-year | 2000–2020 | Cheng et al. [33] |
| SIF | Global OCO-2 Sun-Induced Fluorescence (GOSIF) | 0.05° × 0.05° | 8 d | 2000–2020 | Li and Xiao [34] |
| SPEI | SPEIbase v2.10 | 0.5° × 0.5° | Monthly | 2000–2020 | Vicente-Serrano et al. [35] |
| NDVI | China regional 250 m normalized difference vegetation index data set (2000–2023) | 250 m | Monthly | 2000–2020 | Gao et al. [36] |
| Slope | Z Normal Statistics | Variation Trends |
|---|---|---|
| ≥0.0005 | >1.96 | Significant improvement |
| ≥0.0005 | −1.96 < Z < 1.96 | Slight improvement |
| −0.0005–0.0005 | −1.96 < Z < 1.96 | Relatively stable |
| ≤−0.0005 | −1.96 < Z < 1.96 | Slight deterioration |
| ≤−0.0005 | <−1.96 | Significant deterioration |
| SPEI-n | Ecological Zone | Z | p | SLOPE | Variation Trends |
|---|---|---|---|---|---|
| SPEI-03 | R1 | −1.55 | >0.05 | ≤−0.0005 | Slight deterioration |
| R2 | −1.56 | >0.05 | ≤−0.0005 | Slight deterioration | |
| R3 | −0.48 | >0.05 | −0.0005–0.0005 | Relatively stable | |
| R4 | −0.5 | >0.05 | ≤−0.0005 | Slight deterioration | |
| R5 | −1.23 | >0.05 | ≤−0.0005 | Slight deterioration | |
| SPEI-06 | R1 | −2.07 | <0.05 | ≤−0.0005 | Significant deterioration |
| R2 | −2.24 | <0.05 | ≤−0.0005 | Significant deterioration | |
| R3 | −0.23 | >0.05 | −0.0005–0.0005 | Relatively stable | |
| R4 | −0.48 | >0.05 | ≤−0.0005 | Slight deterioration | |
| R5 | −0.99 | >0.05 | ≤−0.0005 | Slight deterioration | |
| SPEI-12 | R1 | −3.01 | <0.05 | ≤−0.0005 | Significant deterioration |
| R2 | −4.48 | <0.05 | ≤−0.0005 | Significant deterioration | |
| R3 | 0.11 | >0.05 | −0.0005–0.0005 | Relatively stable | |
| R4 | 0.51 | >0.05 | ≤−0.0005 | Slight deterioration | |
| R5 | 0.37 | >0.05 | ≤−0.0005 | Slight deterioration | |
| SPEI-24 | R1 | −3.98 | <0.05 | ≤−0.0005 | Significant deterioration |
| R2 | −5.51 | <0.05 | ≤−0.0005 | Significant deterioration | |
| R3 | −1.07 | >0.05 | ≤−0.0005 | Slight deterioration | |
| R4 | 0.68 | >0.05 | ≤−0.0005 | Slight deterioration | |
| R5 | 0.47 | >0.05 | −0.0005–0.0005 | Relatively stable |
Disclaimer/Publisher’s Note: The statements, opinions and data contained in all publications are solely those of the individual author(s) and contributor(s) and not of MDPI and/or the editor(s). MDPI and/or the editor(s) disclaim responsibility for any injury to people or property resulting from any ideas, methods, instructions or products referred to in the content. |
© 2025 by the authors. Licensee MDPI, Basel, Switzerland. This article is an open access article distributed under the terms and conditions of the Creative Commons Attribution (CC BY) license (https://creativecommons.org/licenses/by/4.0/).
Share and Cite
He, J.; Fan, J.; Lv, Z.; Li, S. Response of Natural Forests and Grasslands in Xinjiang to Climate Change Based on Sun-Induced Chlorophyll Fluorescence. Remote Sens. 2025, 17, 152. https://doi.org/10.3390/rs17010152
He J, Fan J, Lv Z, Li S. Response of Natural Forests and Grasslands in Xinjiang to Climate Change Based on Sun-Induced Chlorophyll Fluorescence. Remote Sensing. 2025; 17(1):152. https://doi.org/10.3390/rs17010152
Chicago/Turabian StyleHe, Jinrun, Jinglong Fan, Zhentao Lv, and Shengyu Li. 2025. "Response of Natural Forests and Grasslands in Xinjiang to Climate Change Based on Sun-Induced Chlorophyll Fluorescence" Remote Sensing 17, no. 1: 152. https://doi.org/10.3390/rs17010152
APA StyleHe, J., Fan, J., Lv, Z., & Li, S. (2025). Response of Natural Forests and Grasslands in Xinjiang to Climate Change Based on Sun-Induced Chlorophyll Fluorescence. Remote Sensing, 17(1), 152. https://doi.org/10.3390/rs17010152
