Analysis and Selection Method for Radar Echo Features in Challenging Scenarios
Abstract
1. Introduction
2. Construction of High-Difficulty Scenario Datasets
2.1. Construction of Data for Different Sea Conditions
2.2. The Construction of Data with Different Grazing Angles
3. Feature Extraction and Characteristic Analysis
3.1. Feature Extraction
3.1.1. Features in the Time Domain
3.1.2. Features in the Frequency Domain
3.1.3. Features in the Time-Frequency Domain
3.2. Feature Characteristics Analysis
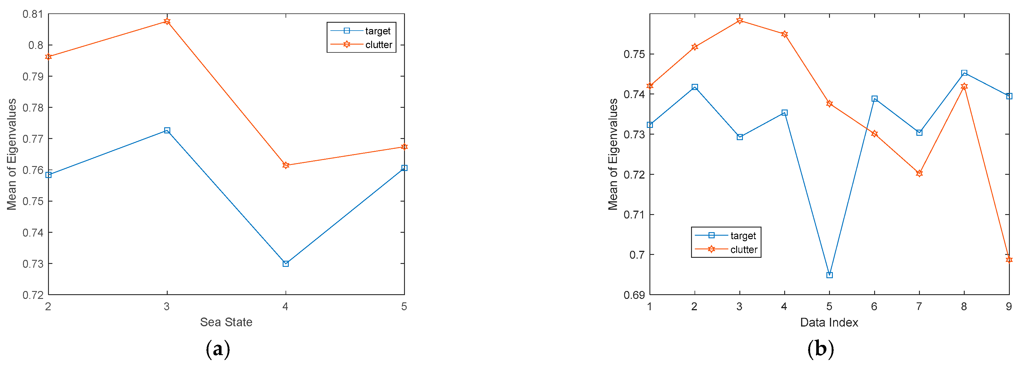
3.2.1. Centrality and Variability Analysis
3.2.2. Separability Analysis
3.2.3. Correlation Analysis
4. Feature Selection Method Based on Spectral Clustering and Separability
4.1. Spectral Clustering
4.2. Feature Optimization
| Algorithm 1: Feature Optimization |
| 0 Input: m candidate feature data, k feature classes, and n features to be selected. 1 Select and compute the evaluation coefficient: Choose the evaluation coefficient BD or FD based on the number of candidate features and the size of the data, and perform the calculation. 2 Within-class sorting: Sort each of the k feature classes in descending order based on the evaluation coefficient. 3 Select the best within each class: Choose the feature with the highest evaluation coefficient within each class as a candidate feature. 4 Between-class ranking: If the number of selected features k = n, then the n features obtained from the within-class selection are the output. If k > n, then the candidate features are ranked in descending order based on their evaluation coefficients. 5 Between-class selection: Select the top n features from the sorted between-class features as the output. |
5. Performance Analysis and Discussion
5.1. Sea Surface Target Detection Problem and Methods
| Algorithm 2: Convex Hull Detection |
| 1 Detection Initialization: Assume the number of feature vectors in the feature set of the clutter for the three features used is , set the false alarm rate as , and calculate the number of false alarms as . 2 Outlier Removal: Identify and remove the sample points in that are farthest from the region where clutter samples are concentrated. 3 Generate Decision Region: Use the clutter feature points after outlier removal to generate the convex hull decision region , as shown in the green transparent area in Figure 19. 4 Detection and Calculation of Results: Check if the target feature point falls outside the decision region. If it falls outside the region, assume hypothesis H1 is true, and this point is a correctly detected target sample, as shown by the red points in Figure 19. If it falls inside the region, assume hypothesis H0 is true, and this point is a false detection of the target, as shown by the green points. The detection probability Pd is calculated by dividing the number of correctly detected points by the total number of target feature points. |
5.2. Parameter Selection
5.2.1. Impact of Gaussian Kernel Function Parameters on Performance
5.2.2. Impact of the Number of Clusters on Performance
5.3. Performance Analysis
5.3.1. Detection Performance Analysis Under Different False Alarm Probabilities
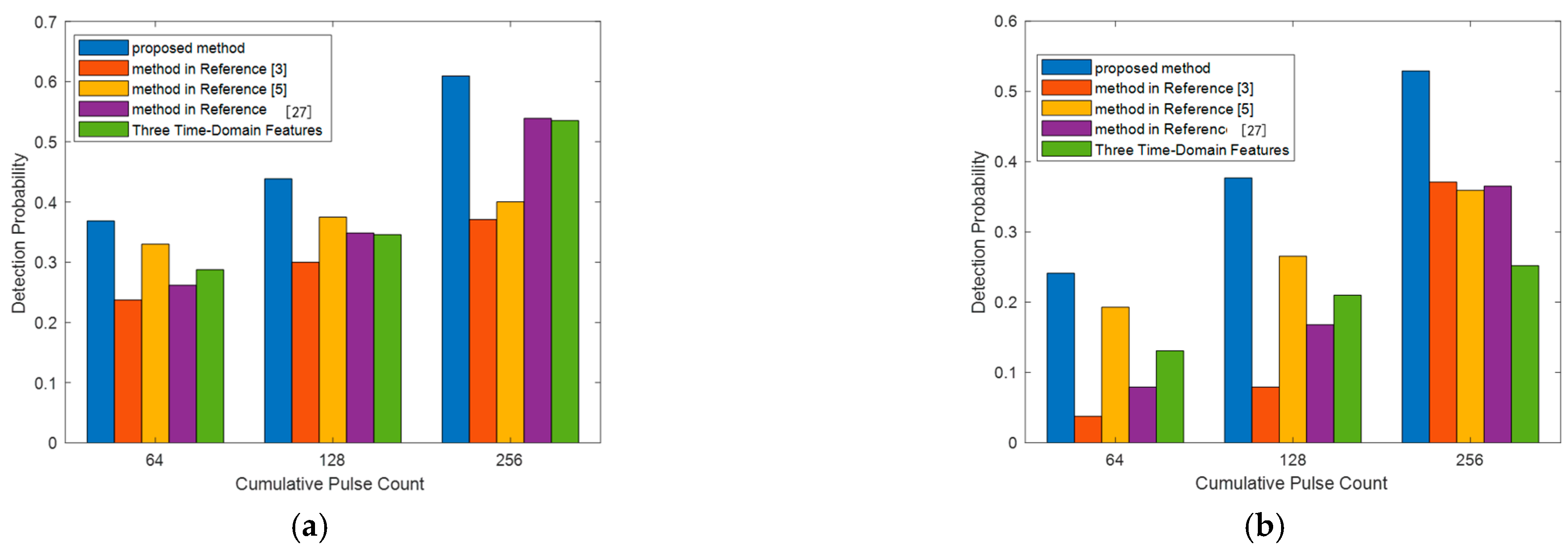
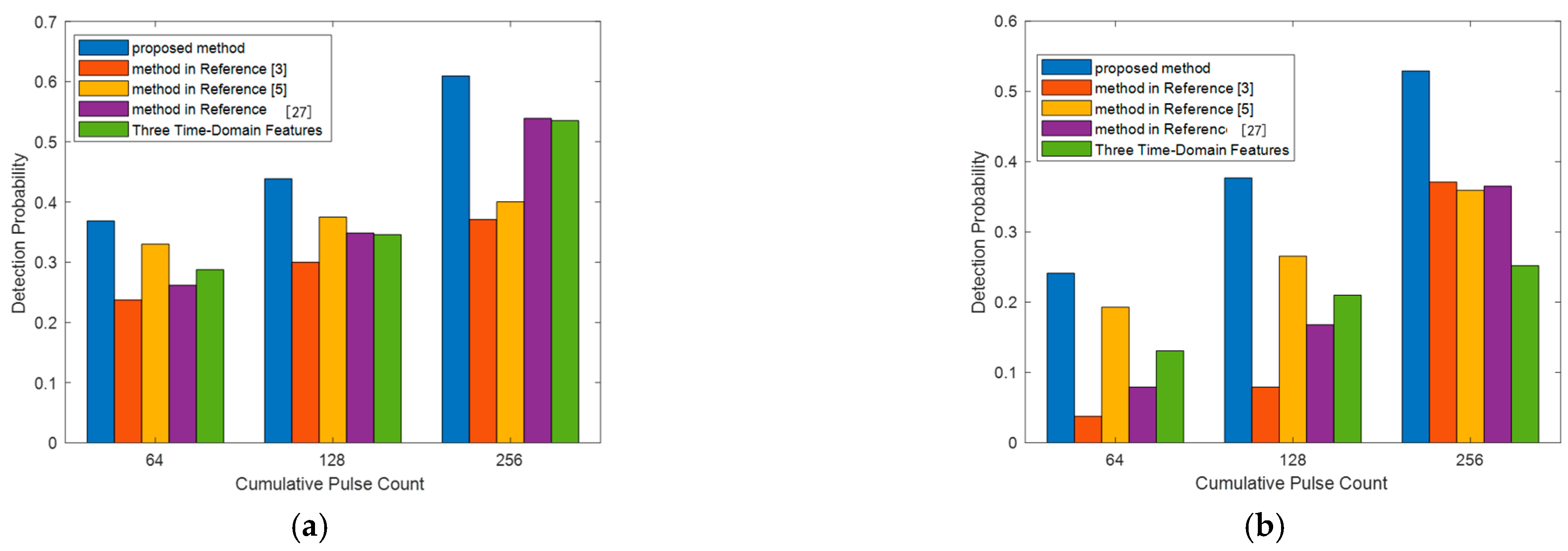
5.3.2. Performance Analysis for Different Cumulative Pulse Counts
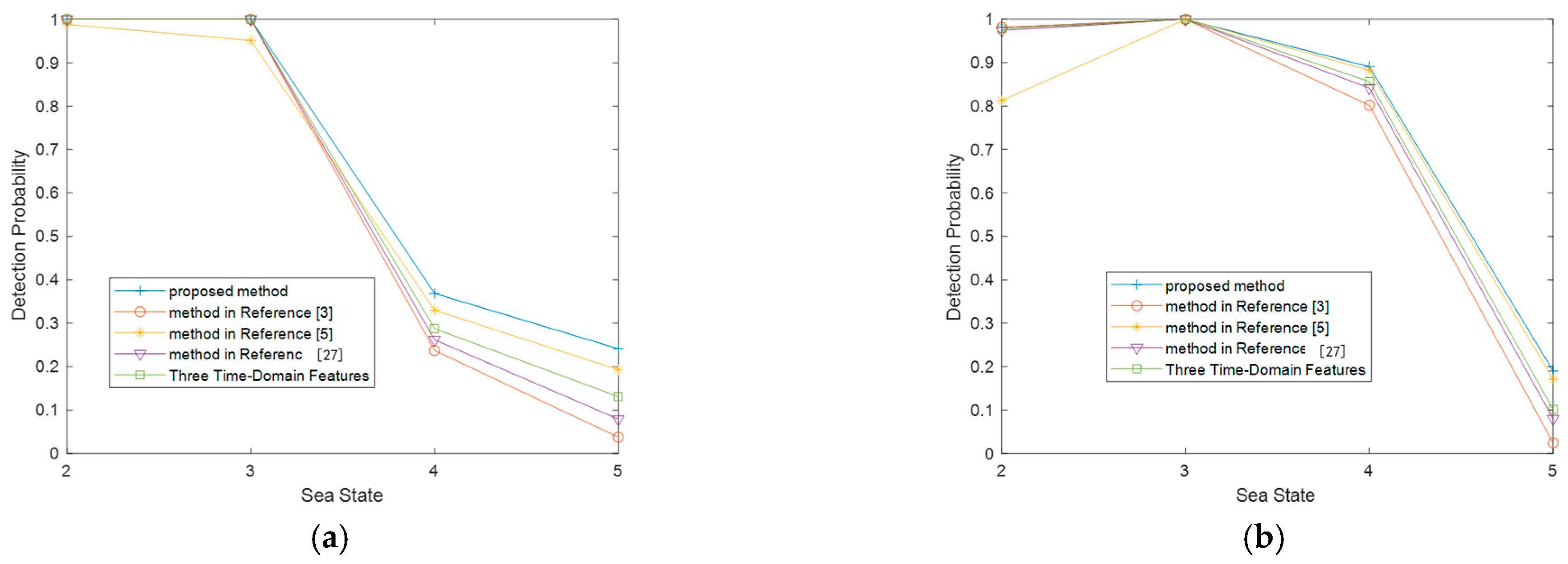
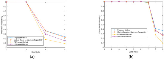
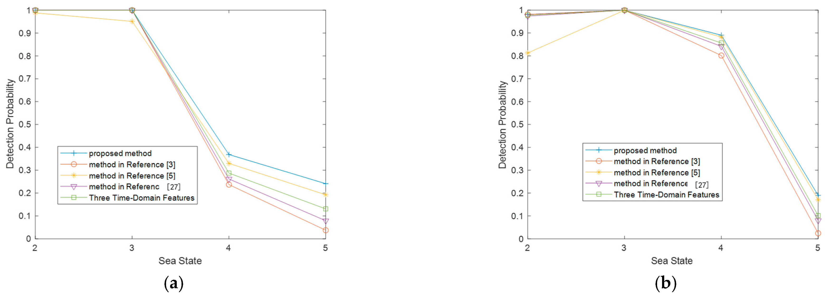
5.3.3. Performance Analysis in Different Scenarios
5.3.4. Performance Analysis of Moving Target Detection
5.3.5. Comparison with Multi-Feature Processing Methods
6. Conclusions
Author Contributions
Funding
Data Availability Statement
Conflicts of Interest
References
- Guan, J. Summary of marine radar target characteristics. J. Radars 2020, 9, 674–683. [Google Scholar] [CrossRef]
- Xu, S.W.; Bai, X.H.; Guo, Z.X.; Shui, P.L. Current status and prospects of radar target feature detection methods under sea clutter background. J. Radars 2020, 9, 684–714. [Google Scholar]
- Hao, D.; Yunlong, D.; Ningbo, L.; Guoqing, W.; Jian, G. Overview and prospects of research on sea clutter property cognition. J. Radars 2016, 5, 499–516. [Google Scholar] [CrossRef]
- Shui, P.L.; Li, D.C.; Xu, S.W. Tri-feature-based detection of floating small targets in sea clutter. IEEE Trans. Aerosp. Electron. Syst. 2014, 50, 1416–1430. [Google Scholar] [CrossRef]
- Li, Y.Z.; Xie, P.C.; Tang, Z.S.; Jiang, T.; Qi, P. SVM based sea-surface small target detection: A false-alarm-rate-controllable approach. IEEE Geosci. Remote Sens. Lett. 2019, 16, 1225–1229. [Google Scholar] [CrossRef]
- Shi, S.N.; Shui, P.L. Sea-surface floating small target detection by one-class classifier in time-frequency feature space. IEEE Trans. Geosci. Remote Sens. 2018, 56, 6395–6411. [Google Scholar] [CrossRef]
- Guan, J.; Wu, X.J.; Ding, H.; Liu, N.; Dong, Y.; Zhang, P. Detection method of slow small targets on sea surface based on diagonal integral bispectrum. J. Electron. Inf. Technol. 2022, 44, 2449–2460. [Google Scholar]
- Guan, J.; Jiang, X.Y.; Liu, N.B.; Huang, Y.; Ding, H. Target detection method based on fractional domain spectral norm features in sea clutter. J. Electron. Inf. Technol. 2023, 45, 2162–2170. [Google Scholar]
- Ding, H.; Zhu, C.G.; Liu, N.B.; Wang, G.Q. Feature extraction and analysis of small floating targets on the sea surface under high sea conditions. J. Nav. Aeronaut. Univ. 2023, 38, 301–312. [Google Scholar]
- Han, J.W.; Yang, Y.; Lian, J.; Wang, W. Ship Detection Method for Radar Seeker with Amplitude-Phase Polarization Feature Fusion at High Grazing Angles. Syst. Eng. Electron. 2024, 1–10. Available online: http://kns.cnki.net/kcms/detail/11.2422.tn.20240420.1753.011.html (accessed on 27 August 2024).
- Qin, X.; Zhu, X.; Yu, Z.; Yang, H. Analysis on the influence of sea conditions on radar echo of sea surface Target. Mod. Radar 2019, 41, 76–79. [Google Scholar]
- Rosenberg, L.; Watts, S. High Grazing Angle Sea-Clutter Literature Review; Electronic Warfare and Radar Division Defense Science and Technology Organization: Edinburgh, UK, 2013; pp. 2–3. [Google Scholar]
- Yong, Y.; Xiao, S.P.; Wang, X.S. Radar detection of small target in sea clutter using orthogonal projection. IEEE Geosci. Remote Sens. Lett. 2019, 16, 382–386. [Google Scholar] [CrossRef]
- Liu, N.B.; Jiang, X.Y.; Ding, H.; Guan, J. A review of radar sea clutter characteristics and target detection at high grazing angles. J. Electron. Inf. Technol. 2021, 43, 2771–2780. [Google Scholar]
- Guan, J.; Liu, N.B.; Wang, G.Q.; Ding, H.; Dong, Y.; Huang, Y.; Tian, K.; Zhang, M. Sea-detecting Radar Experiment and Target Feature Data Acquisition for Dual Polarization Multistate Scattering Dataset of Marine Targets. J. Radars 2023, 12, 456–469. [Google Scholar] [CrossRef]
- Shi, Y.L.; Xie, X.Y.; Li, D.C. Range distributed floating target detection in sea clutter via feature-based detector. IEEE Geosci. Remote Sens. Lett. 2016, 13, 1847–1850. [Google Scholar] [CrossRef]
- Zhou, H.K.; Jiang, T. Decision tree based sea surface weak target detection with false alarm rate controllable. IEEE Signal Process. Lett. 2019, 26, 793–797. [Google Scholar] [CrossRef]
- Chen, X.L.; Guan, J.; Yu, X.H.; He, Y. Extraction and detection method of radar target micro-motion characteristics based on short-time sparse time-frequency distribution. J. Electron. Inf. Technol. 2017, 39, 1017–1023. [Google Scholar]
- Xu, S.W.; Zheng, J.B.; Pu, J.; Shui, P. Sea-surface floating small target detection based on polarization features. IEEE Geosci. Remote Sens. Lett. 2018, 15, 1505–1509. [Google Scholar] [CrossRef]
- Liu, N.B.; Guan, J.; Wang, G.Q.; Chen, X.L.; He, Y. Target detection method based on multi-scale Hurst exponent of FRFT spectrum in sea clutter. Acta Electron. Sin. 2013, 41, 1847–1853. [Google Scholar]
- Haykin, S.; Li, X.B. Detection of signals in chaos. Proc. IEEE 1995, 83, 95–122. [Google Scholar] [CrossRef]
- Wu, X.J.; Ding, H.; Liu, N.B.; Guan, J. A method for detecting small targets in sea surface based on singular spectrum analysis. IEEE Trans. Geosci. Remote Sens. 2022, 60, 5110817. [Google Scholar] [CrossRef]
- Zhao, Y.; Chen, Z.C.; Jiu, B.; Zhang, L.; Liu, H.W. A method for feature extraction of narrowband radar airplane target classification based on time-frequency analysis. J. Electron. Inf. Technol. 2017, 39, 2225–2231. [Google Scholar]
- Guan, J.; Jiang, X.Y.; Liu, N.B.; Ding, H.; Dong, Y.; Liu, T. Target detection in sea clutter based on feature re-expression using Spearman correlation. IEEE Sens. J. 2024, 24, 30435–30450. [Google Scholar] [CrossRef]
- Zhou, L.; Ping, X.; Xu, S.; Zhang, T. Cluster Ensemble Algorithm Based on Spectral Clustering. Acta Autom. Sin. 2012, 38, 1335–1342. [Google Scholar] [CrossRef]
- Yang, J.C.; Zhao, C. A survey on K-means clustering algorithm. Comput. Eng. Appl. 2019, 55, 7–14+63. [Google Scholar]
- Dong, Y.L.; Zhang, Z.X.; Ding, H.; Huang, Y.; Liu, N. Detection method for small targets in sea clutter based on three-feature prediction. J. Radars 2023, 12, 762–775. [Google Scholar] [CrossRef]
- Guo, Z.X.; Bai, X.H.; Shui, P.L.; Wang, L.; Su, J. Fast dual trifeature-based detection of small targets in sea clutter by using median normalized Doppler amplitude spectra. IEEE J. Sel. Top. Appl. Earth Obs. Remote Sens. 2023, 16, 4050–4063. [Google Scholar] [CrossRef]
- Gu, T. Detection of small floating targets on the sea surface based on multi-features and principal component analysis. IEEE Geosci. Remote Sens. Lett. 2020, 17, 809–813. [Google Scholar] [CrossRef]
- Ali, H.; Bahari, N.I.; Elshaikh, M. Shape recognition of GPR images using Hough transform and PCA plus LDA. In Proceedings of the 2022 2nd International Conference on Electronic and Electrical Engineering and Intelligent System (ICE3IS), Yogyakarta, Indonesia, 4–5 November 2022; pp. 387–391. [Google Scholar] [CrossRef]

































| Characteristic Domain | Feature |
|---|---|
| Time Domain | Relative Average Amplitude [4], Relative Peak Height [10], Time-domain Information Entropy [5], Time-domain Hurst Index [5], Speckle Uniformity Factor [16] |
| Frequency Domain | Spectral Peak-to-Mean Ratio [5], Relative Doppler Peak Height [4], Relative Doppler Spectral Entropy [4], Frequency-domain Hurst Index [17] |
| Time-Frequency Domain | Time-frequency Ridge Cumulants [6], Number of Connected Regions and Maximum Connected Region Size in Time-frequency Binary Images [6], Micro-Doppler Features [18] |
| Phase Domain | Linear Phase Degree, Mean Unwrapped Phase Difference [10], Mean Co-polarization Ratio Phase [10] |
| Bispectrum Domain | Bispectral Peak Value [7], Spectral Width [7] |
| Polarization Domain | Relative Volume Scattering Mechanism Energy [19], Relative Double-bounce Scattering Mechanism Energy [19], Relative Surface Scattering Mechanism Energy [19] |
| Other Features | Fractal Features [20], Chaotic Features [21], Singular Spectrum Singular Values [22], Fractional Domain Singular Values [8], etc. |
| Sea Condition Level | 2 | 3 | 4 | 5 |
|---|---|---|---|---|
| Selected Features | RAA | RAA | RI | RI |
| RI | RI | TEM | TEM | |
| RVE | RVE | FPAR | FPAR |
| Data Index | 1 | 2 | 3 | 4 | 5 | 6 | 7 | 8 | 9 |
|---|---|---|---|---|---|---|---|---|---|
| Selected Features | RAA | RAA | RAA | RAA | RAA | RAA | RAA | RAA | RAA |
| TEM | TEM | TEM | TEM | TEM | TEM | TEM | RI | RI | |
| RVE | RPH | RVE | RI | RPH | RI | RI | NR | RVE |
| Separability Criterion | Sea State | |||
|---|---|---|---|---|
| 2 | 3 | 4 | 5 | |
| BD | 1.0000 | 1.0000 | 0.3687 | 0.2412 |
| FD | 1.0000 | 1.0000 | 0.3521 | 0.2412 |
| Separability Criterion | Data Index | ||||||||
|---|---|---|---|---|---|---|---|---|---|
| 1 | 2 | 3 | 4 | 5 | 6 | 7 | 8 | 9 | |
| BD | 1.0000 | 1.0000 | 1.0000 | 1.0000 | 0.9969 | 1.0000 | 0.9781 | 0.4109 | 0.3688 |
| FD | 1.0000 | 1.0000 | 1.0000 | 1.0000 | 0.9969 | 1.0000 | 0.9781 | 0.4016 | 0.3344 |
Disclaimer/Publisher’s Note: The statements, opinions and data contained in all publications are solely those of the individual author(s) and contributor(s) and not of MDPI and/or the editor(s). MDPI and/or the editor(s) disclaim responsibility for any injury to people or property resulting from any ideas, methods, instructions or products referred to in the content. |
© 2025 by the authors. Licensee MDPI, Basel, Switzerland. This article is an open access article distributed under the terms and conditions of the Creative Commons Attribution (CC BY) license (https://creativecommons.org/licenses/by/4.0/).
Share and Cite
Dong, Y.; Luo, X.; Ding, H.; Liu, N.; Cao, Z. Analysis and Selection Method for Radar Echo Features in Challenging Scenarios. Remote Sens. 2025, 17, 129. https://doi.org/10.3390/rs17010129
Dong Y, Luo X, Ding H, Liu N, Cao Z. Analysis and Selection Method for Radar Echo Features in Challenging Scenarios. Remote Sensing. 2025; 17(1):129. https://doi.org/10.3390/rs17010129
Chicago/Turabian StyleDong, Yunlong, Xiao Luo, Hao Ding, Ningbo Liu, and Zheng Cao. 2025. "Analysis and Selection Method for Radar Echo Features in Challenging Scenarios" Remote Sensing 17, no. 1: 129. https://doi.org/10.3390/rs17010129
APA StyleDong, Y., Luo, X., Ding, H., Liu, N., & Cao, Z. (2025). Analysis and Selection Method for Radar Echo Features in Challenging Scenarios. Remote Sensing, 17(1), 129. https://doi.org/10.3390/rs17010129
