Anti-Rain Clutter Interference Method for Millimeter-Wave Radar Based on Convolutional Neural Network
Abstract
1. Introduction
2. Triangular Wave Linear Frequency Modulation Signal
3. Rain Clutter Signal
3.1. Signal Propagation in Rainfall Environments
3.2. The Influence of the Rainfall Environment on Signals
3.2.1. Attenuation Under a Rainfall Environment
3.2.2. Reflected Signal Under a Rainfall Environment
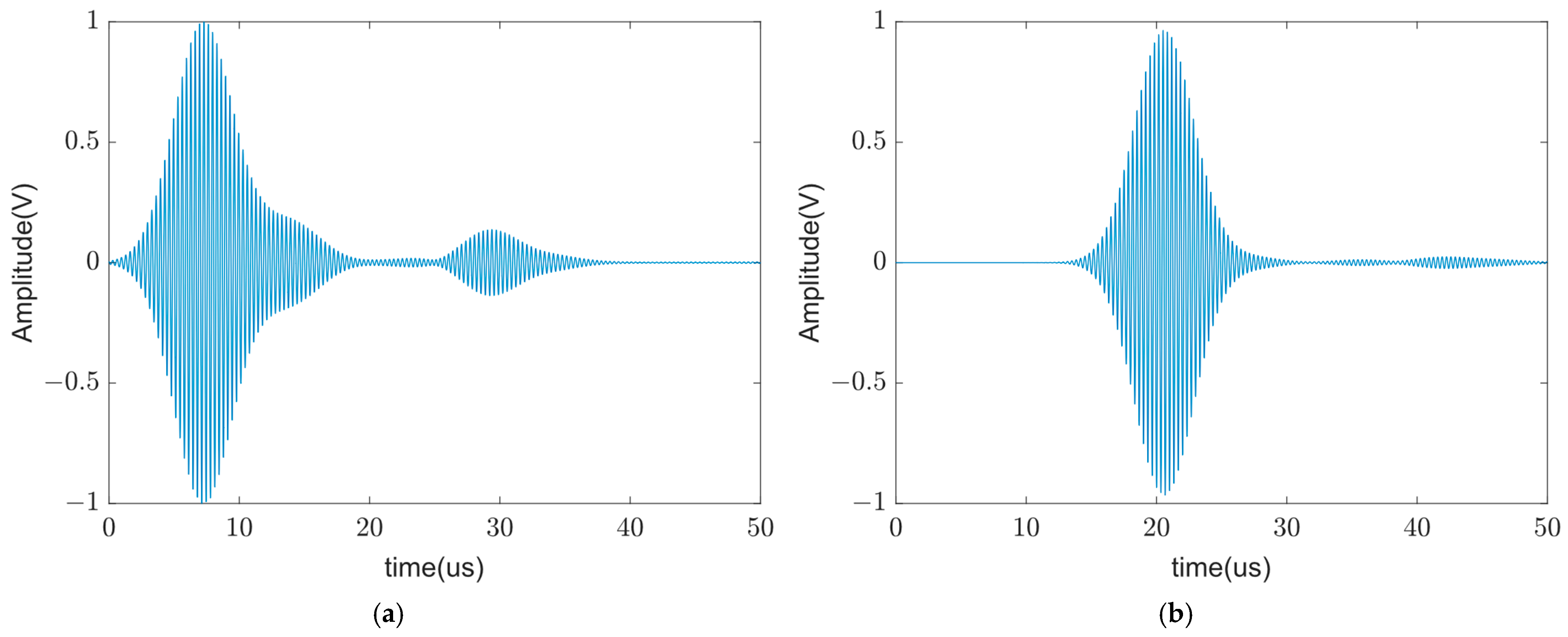
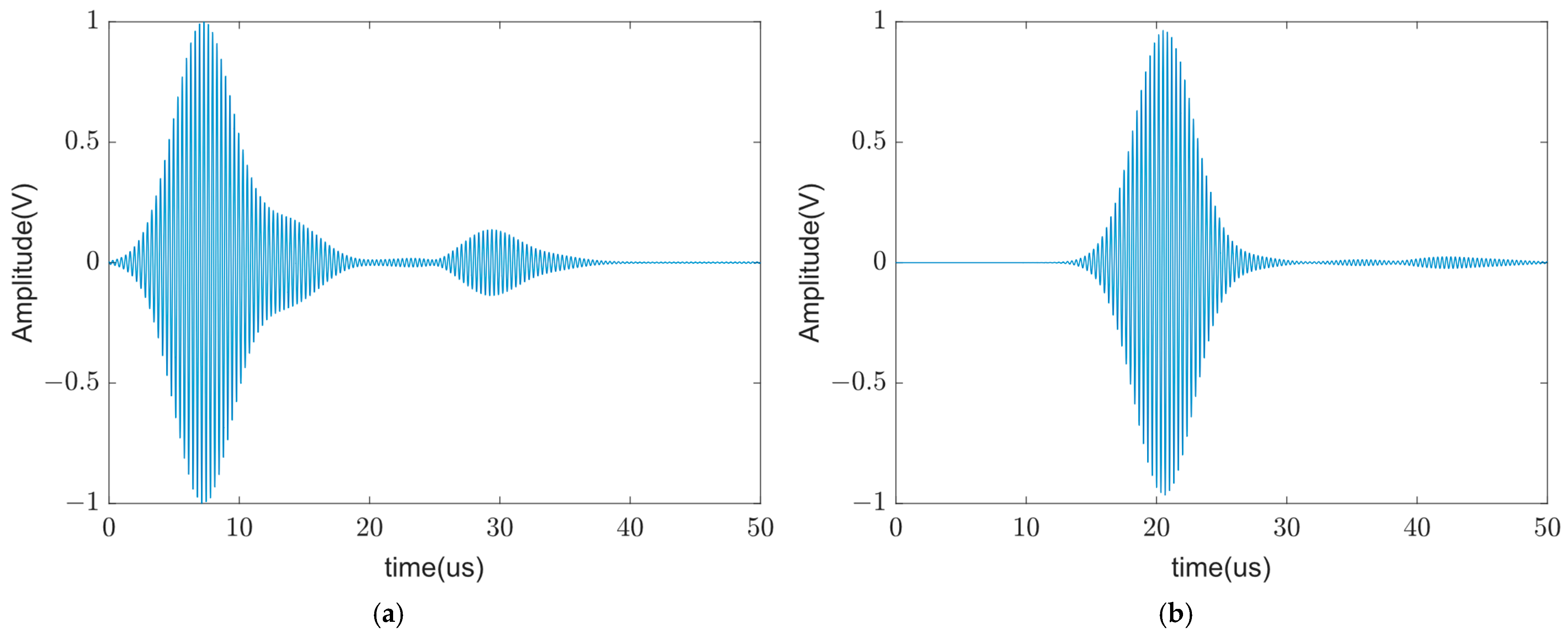
3.2.3. Signal Modeling and Simulation in Rainfall Environments
3.3. Signal Measurement in a Rainfall Environment
4. Convolutional Neural Network for Anti-Rain Clutter
4.1. Dataset
4.2. The Structure of the CNN
- Convolutional Layer: Extracts local features from the input data. The convolutional layer applies a convolutional kernel by sliding it over the input data and performing the convolution operation, thus generating feature maps. This operation can capture local patterns in the input image, such as edges, corners, or textures. The study employs 30 convolutional kernels of size 5 × 5;
- Pooling Layer: Reduces the spatial dimensions of the feature maps, thereby decreasing the computational load and memory usage while retaining important features. Pooling operations typically use either max pooling or average pooling, which select the maximum value or the average value from a local region, respectively. The choice made in this study is max pooling;
- Fully Connected Layer: Integrates and classifies the features extracted by the convolutional and pooling layers. The fully connected layer flattens the output from the previous layers into a one-dimensional vector and connects each neuron to all neurons in the preceding layer, facilitating the final decision-making or prediction;
- Activation Layer: Introduces non-linearity to the network, enabling it to learn and represent complex functions. Common activation functions include ReLU (Rectified Linear Unit), Sigmoid, and Tanh. The activation function performs a non-linear transformation on the output of each neuron. The activation function used in this study is ReLU.
4.3. Model Training and Result Comparison
- Generate the spectrograms preprocessed with feature enhancement as shown in Figure 11 by using simulation. Then, normalize the image pixels to .
- Classify the simulated dataset, using 80% for the training set and 20% for the test set.
- Construct a CNN model as shown in Figure 12; choose the cross-entropy loss function, and select the stochastic gradient descent optimization algorithm
- Train the model and optimize it with gradient descent, setting the learning rate to 0.00001 and the batch size to 3. Stop training when the loss function stabilizes.
- Evaluate the model performance on the test set by calculating metrics such as accuracy, precision, recall and so on.
5. Application to Anti-Rain Clutter
6. Conclusions
Author Contributions
Funding
Data Availability Statement
Acknowledgments
Conflicts of Interest
References
- Tan, B.; Ma, Z.; Zhu, X.; Li, S.; Zheng, L.; Chen, S.; Huang, L.; Bai, J. 3-D Object Detection for Multiframe 4-D Automotive Millimeter-Wave Radar Point Cloud. IEEE Sens. J. 2023, 23, 11125–11138. [Google Scholar] [CrossRef]
- Futatsumori, S.; Shibagaki, N. 96 GHz Millimeter-Wave Radar System for Airport Surface Detection Purpose. In Proceedings of the 2022 IEEE Conference on Antenna Measurements and Applications (CAMA), Guangzhou, China, 14–17 December 2022; IEEE: Piscataway, NJ, USA, 2022; pp. 1–2. [Google Scholar]
- Zhang, Z.; Qiu, Z.; Hu, W.; Lu, Y.; Zheng, W. Research on Wingtip Distance Measurement of High-Speed Coaxial Helicopter Based on 77 GHz FMCW Millimeter-Wave Radar. Meas. Sci. Technol. 2023, 34, 085111. [Google Scholar] [CrossRef]
- Gharamohammadi, A.; Dabak, A.G.; Yang, Z.; Khajepour, A.; Shaker, G. Volume-Based Occupancy Detection for In-Cabin Applications by Millimeter Wave Radar. Remote Sens. 2024, 16, 3068. [Google Scholar] [CrossRef]
- Guan, J.; Yin, W.; Xia, Y.; Wang, L. A MIMO Millimeter-Wave Radar for High-Resolution Imaging. In Proceedings of the IET International Radar Conference (IRC 2023), Chongqing, China, 3–5 December 2023; Institution of Engineering and Technology: London, UK, 2023; pp. 57–62. [Google Scholar]
- Shibly, I.H.; Zaman, M.M.; Hossain, M.S.; Hasan, M.M.S. Performance Analysis of Adaptive Cruise Control Using Frequency Modulated Continuous Wave Radar Under Rain Clutter. In Proceedings of the 2023 26th International Conference on Computer and Information Technology (ICCIT), Cox’s Bazar, Bangladesh, 13–15 December 2023; IEEE: Piscataway, NJ, USA, 2023; pp. 1–5. [Google Scholar]
- Wang, W.; Yang, G.; Zhang, Y. Application of Two-Dimensional Filtering in Rain Clutter Filtering. In Frontier Computing; Hung, J.C., Yen, N.Y., Chang, J.-W., Eds.; Lecture Notes in Electrical Engineering; Springer Nature: Singapore, 2022; Volume 827, pp. 1756–1761. [Google Scholar]
- Chen, K.; Zhang, J.; Chen, S.; Zhang, S.; Zhao, H. Recognition and Estimation for Frequency-Modulated Continuous-Wave Radars in Unknown and Complex Spectrum Environments. In IEEE Transactions on Aerospace and Electronic Systems; IEEE: Piscataway, NJ, USA, 2023; Volume 59, pp. 6098–6111. [Google Scholar]
- Chen, K.; Zhang, J.; Chen, S.; Zhang, S.; Zhao, H. Active Jamming Mitigation for Short-Range Detection System. In IEEE Transactions on Vehicular Technology; IEEE: Piscataway, NJ, USA, 2023; Volume 72, pp. 11446–11457. [Google Scholar]
- Lecun, Y.; Bottou, L.; Bengio, Y.; Haffner, P. Gradient-based learning applied to document recognition. In Proceedings of the IEEE; IEEE: Piscataway, NJ, USA, 1998; Volume 86, pp. 2278–2324. [Google Scholar]
- Krizhevsky, A.; Sutskever, I.; Hinton, G.E. ImageNet classification with deep convolutional neural networks. Commun. ACM 2012, 60, 84–90. [Google Scholar] [CrossRef]
- Simonyan, K.; Zisserman, A. Very Deep Convolutional Networks for Large-Scale Image Recognition. arXiv 2014, arXiv:1409.1556. [Google Scholar]
- He, K.; Zhang, X.; Ren, S.; Sun, J. Deep Residual Learning for Image Recognition. In Proceedings of the 2016 IEEE Conference on Computer Vision and Pattern Recognition (CVPR), Las Vegas, NV, USA, 27–30 June 2016; IEEE: New York, NY, USA, 2016; pp. 770–778. [Google Scholar]
- Tan, M.; Le, Q.V. EfficientNet: Rethinking Model Scaling for Convolutional Neural Networks. In Proceedings of the International Conference on Machine Learning, Long Beach, CA, USA, 9–15 June 2019; Chaudhuri, K., Salakhutdinov, R., Eds.; Jmlr-Journal Machine Learning Research: San Diego, CA, USA, 2019; Volume 97. [Google Scholar]
- Howard, A.; Sandler, M.; Chu, G.; Chen, L.-C.; Chen, B.; Tan, M.; Wang, W.; Zhu, Y.; Pang, R.; Vasudevan, V.; et al. Searching for MobileNetV3. In Proceedings of the 2019 IEEE/CVF International Conference on Computer Vision (ICCV 2019), Seoul, Republic of Korea, 27 October–2 November 2019; IEEE Computer Soc: Los Alamitos, CA, USA, 2019; pp. 1314–1324. [Google Scholar]
- Li, J.; Zhang, S.; Zhu, L.; Chen, S.; Hou, L.; Li, X.; Chen, K. Carrier-Free Ultra-Wideband Sensor Target Recognition in the Jungle Environment. Remote Sens. 2024, 16, 1549. [Google Scholar] [CrossRef]
- Strząbała, K.; Ćwiąkała, P.; Puniach, E. Identification of Landslide Precursors for Early Warning of Hazards with Remote Sensing. Remote Sens. 2024, 16, 2781. [Google Scholar] [CrossRef]
- Jiang, C.; Zhang, H.; Zhan, R.; Shu, W.; Zhang, J. Open-Set Recognition Model for SAR Target Based on Capsule Network with the KLD. Remote Sens. 2024, 16, 3141. [Google Scholar] [CrossRef]
- Dai, Y.; Yang, S.; Lee, K. Sensing and Navigation for Multiple Mobile Robots Based on Deep Q-Network. Remote Sens. 2023, 15, 4757. [Google Scholar] [CrossRef]
- Dang, X.; Fan, K.; Li, F.; Tang, Y.; Gao, Y.; Wang, Y. Multi-Person Action Recognition Based on Millimeter-Wave Radar Point Cloud. Appl. Sci. 2024, 14, 7253. [Google Scholar] [CrossRef]
- Jia, F.; Li, C.; Bi, S.; Qian, J.; Wei, L.; Sun, G. TC–Radar: Transformer–CNN Hybrid Network for Millimeter-Wave Radar Object Detection. Remote Sens. 2024, 16, 2881. [Google Scholar] [CrossRef]
- Bai, Y.; Wang, J.; Chen, P.; Gong, Z.; Xiong, Q. Hand Trajectory Recognition by Radar with a Finite-State Machine and a Bi-LSTM. Appl. Sci. 2024, 14, 6782. [Google Scholar] [CrossRef]















| 0.1425 | 0.1404 | 1.0101 | 0.9561 | |
| 0.3374 | 0.3224 | 0.9074 | 0.8761 | 
| The Output Image Dimensions | Weights | Bias | |
|---|---|---|---|
| Input | 0 | 0 | |
| Gray | 0 | 0 | |
| Convolution | 750 | 30 | |
| ReLU1 | 0 | 0 | |
| Maxpooling | 0 | 0 | |
| Affine1 | 9,075,000 | 100 | |
| ReLU2 | 0 | 0 | |
| Affine2 | 300 | 3 | 
| VGGnet | Resnet | CNN of This Paper | |||||||
|---|---|---|---|---|---|---|---|---|---|
| Mix | Rain | Target | Mix | Rain | Target | Mix | Rain | Target | |
| Precision | 0.938 | 0.947 | 0.992 | 0.986 | 0.913 | 0.996 | 0.984 | 0.988 | 1.0 | 
| Recall | 0.938 | 0.951 | 0.988 | 0.901 | 0.988 | 1.0 | 0.988 | 0.984 | 1.0 | 
| Specificity | 0.969 | 0.973 | 0.996 | 0.994 | 0.953 | 0.998 | 0.992 | 0.994 | 1.0 | 
| Time(s) | 101,988.78 | 5022.14 | 260.67 | ||||||
| Disclaimer/Publisher’s Note: The statements, opinions and data contained in all publications are solely those of the individual author(s) and contributor(s) and not of MDPI and/or the editor(s). MDPI and/or the editor(s) disclaim responsibility for any injury to people or property resulting from any ideas, methods, instructions or products referred to in the content. | 
© 2024 by the authors. Licensee MDPI, Basel, Switzerland. This article is an open access article distributed under the terms and conditions of the Creative Commons Attribution (CC BY) license (https://creativecommons.org/licenses/by/4.0/).
Share and Cite
Zhan, C.; Zhang, S.; Sun, C.; Chen, S. Anti-Rain Clutter Interference Method for Millimeter-Wave Radar Based on Convolutional Neural Network. Remote Sens. 2024, 16, 3907. https://doi.org/10.3390/rs16203907
Zhan C, Zhang S, Sun C, Chen S. Anti-Rain Clutter Interference Method for Millimeter-Wave Radar Based on Convolutional Neural Network. Remote Sensing. 2024; 16(20):3907. https://doi.org/10.3390/rs16203907
Chicago/Turabian StyleZhan, Chengjin, Shuning Zhang, Chenyu Sun, and Si Chen. 2024. "Anti-Rain Clutter Interference Method for Millimeter-Wave Radar Based on Convolutional Neural Network" Remote Sensing 16, no. 20: 3907. https://doi.org/10.3390/rs16203907
APA StyleZhan, C., Zhang, S., Sun, C., & Chen, S. (2024). Anti-Rain Clutter Interference Method for Millimeter-Wave Radar Based on Convolutional Neural Network. Remote Sensing, 16(20), 3907. https://doi.org/10.3390/rs16203907
 
        

 
       