Comparative Analysis of Machine Learning Models for Tropical Cyclone Intensity Estimation
Abstract
1. Introduction
2. Materials and Methods
2.1. Data and Preprocessing Data
2.1.1. TC Best-Track Dataset
2.1.2. Study Area
2.1.3. Multivariate ENSO Index Version 2 (MEI V2)
2.2. Methods
2.2.1. ML Models and Hyperparameters
- Tree-based models
- Random Forest (RF): Implemented using the randomForest package in R (rf function), Random Forest consists of 2000 decision trees. Each tree is constructed by randomly selecting 5 variables at each split, providing robustness against overfitting and effective handling of complex data relationships [24].
- Bagged Classification and Regression Trees (CART): Utilized via the e1071 package (treebag function) without specific hyperparameter tuning. Bagged CART aggregates multiple decision trees to improve predictive accuracy and stability [25].
- Boosting models
- Gradient Boosting Machine (GBM): Developed with the gbm package (gbm function), GBM employs an ensemble of 100 trees. Each tree is sequentially built to correct errors of the previous one, with an interaction depth of 1, shrinkage of 0.1 to prevent overfitting, and requiring at least 10 observations per node for robust model construction [26,27].
- Cubist: Implemented using the cubist package (cubist function), Cubist utilizes 100 committees and employs 5 nearest neighbors for regression predictions. It combines rule-based models with model averaging techniques, effectively capturing nonlinear relationships in data [28].
- Instanced models
- K-Nearest Neighbors (kNN): Utilized via the caret package (knn function), kNN is employed with k set to 6 for classification tasks. It predicts based on the majority class among its nearest neighbors, making it suitable for clustered data points and non-parametric modeling [29].
- Support Vector Machine (SVM): Developed using the LiblineaR package (svmLinear3 function), SVM constructs hyperplanes in high-dimensional space. It is configured with a cost parameter of 1 and uses L2 loss (mean square error) for optimal fitting, offering robust performance in classification and regression tasks [30].
- Linear models
- Generalized linear models (GLMs): Implemented with the caret package (glm function), GLMs are versatile in modeling various types of linear relationships. They are used here without additional hyperparameter tuning, leveraging simplicity and interpretability for straightforward model implementation [31].
- Bayesian GLM: Developed using the arm package (bayesglm function), Bayesian GLM incorporates Bayesian inference for uncertainty quantification in predictions. It offers insights into parameter uncertainty and posterior distribution, enhancing the interpretability of model results [32].
2.2.2. Model Performance
2.2.3. Important Factor Analysis
3. Results
3.1. Comparison of 32 Model Instances for Intensity Estimate
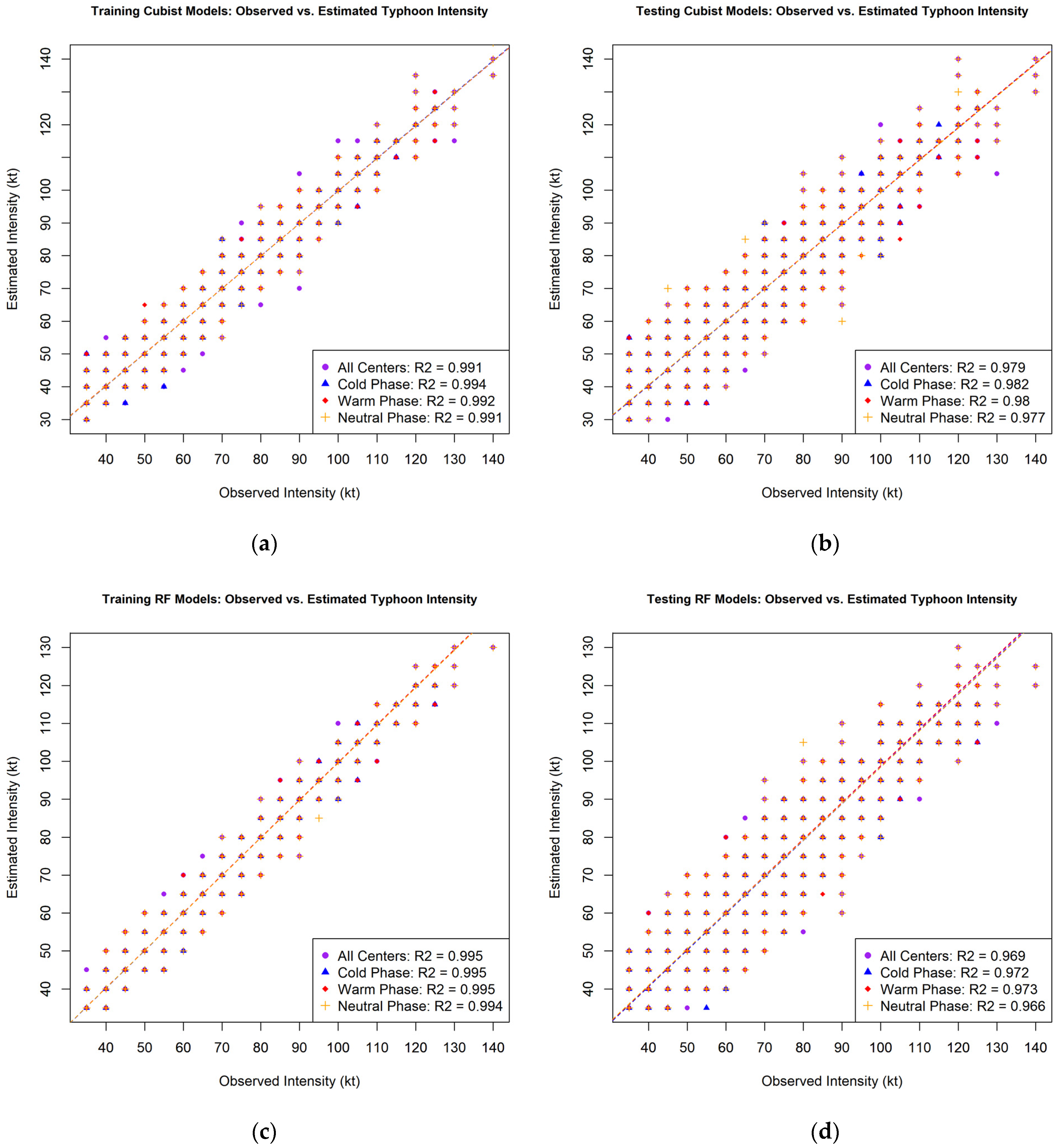
3.2. Cubist-Based and RF-Based Model Perfomance
3.3. Spatial Distribution of Error Estimation
3.4. Month-Wise Distribution of Errors
3.5. Important Features
3.6. Comparison of Model Performance between Current and Previous Studies
4. Discussion
5. Conclusions
- The Cubist and RF methods consistently outperform other models in both training and testing datasets. These two models, Cubist and RF, exhibit superior performance, as indicated by statistical indices. The RMSE of the best-performing algorithm (RF model during the Cold phase of ENSO) is 1.289 knots (~0.663 m/s), showcasing the potential of best-track data for intensity estimation. ENSO phases significantly impact ML model performance, potentially aiding faster learning.
- In testing phase models based on ENSO phases, the performance ranks as follows: Cubist consistently outperforms RF, followed by GBM, GLM, and Bayesian GLM, while kNN and SVM with a Linear Kernel demonstrate lower performance.
- The mean error is highest in November and lowest in February.
- During the Warm phase of ENSO, the error is greater than in other phases, especially in the South China Sea.
- Our findings indicate that minimal central pressure significantly influences TC intensity estimates, exerting the most substantial impact. Further environmental features will be incorporated to enhance the robustness of these models.
Author Contributions
Funding
Data Availability Statement
Conflicts of Interest
Appendix A
| Type of Model | Model | Package (in R) | Command Line (in R) | Hyperparameters |
|---|---|---|---|---|
| Tree-based | Random Forest (RF) | randomForest | rf | ntree = 2000 mtry = 5 |
| Bagged Classification and Regression Trees (CART) | e1071 | treebag | --- | |
| Boosting model | Gradient Boosting Machine (GBM) | gbm | gbm | n.trees = 100 interaction.depth = 1 shrinkage = 0.1 n.minobsinnode = 10 |
| Cubist | cubist | cubist | committees = 100 neighbors = 5 | |
| Instance-based | K-Nearest Neighbor (knn) | caret | knn | k = 6 |
| Support Vector Machine (SVM) | LiblineaR | svmLinear3 | cost = 1 Loss = L2 (Mean square error) | |
| Linear model | Generalized Linear Model (GLM) | caret | glm | --- |
| Bayesian GLM | arm | bayesglm | --- |
References
- IPCC. Climate Change 2021: The Physical Science Basis. In Contribution of Working Group I to the Sixth Assessment Report of the Intergovernmental Panel on Climate Change; Masson-Delmotte, V., Zhai, P., Pirani, A., Connors, S.L., Péan, C., Berger, S., Caud, N., Chen, Y., Goldfarb, L., Gomis, M.I., et al., Eds.; Cambridge University Press: Cambridge, UK, 2021. [Google Scholar]
- Pandey, R.S.; Liou, Y.-A. Typhoon strength rising in the past four decades. Weather Clim. Extrem. 2022, 36, 100446. [Google Scholar] [CrossRef]
- Dvorak, V.F. Tropical cyclone intensity analysis and forecasting from satellite imagery. Mon. Weather Rev. 1975, 103, 420–430. [Google Scholar] [CrossRef]
- Dvorak, V.F. Tropical Cyclone Intensity Analysis Using Satellite Data; National Oceanic and Atmospheric Administration, National Environmental Satellite, Data, and Information Service: Washington, DC, USA, 1984; Volume 11. [Google Scholar]
- Velden, C.; Harper, B.; Wells, F.; Beven, J.L.; Zehr, R.; Olander, T.; McCrone, P. The Dvorak tropical cyclone intensity estimation technique: A satellite-based method that has endured for over 30 years. Bull. Am. Meteorol. Soc. 2006, 87, 1195–1210. [Google Scholar] [CrossRef]
- Olander, T.L.; Velden, C.S. The advanced Dvorak technique (ADT) for estimating tropical cyclone intensity: Update and new capabilities. Weather Forecast. 2019, 34, 905–922. [Google Scholar] [CrossRef]
- Liou, Y.-A.; Liu, J.-C.; Wu, M.-X.; Lee, Y.-J.; Cheng, C.-H.; Kuei, C.-P.; Hong, R.-M. Generalized empirical formulas of threshold distance to characterize cyclone–cyclone interactions. IEEE Trans. Geosci. Remote Sens. 2016, 54, 3502–3512. [Google Scholar] [CrossRef]
- Liou, Y.-A.; Pandey, R.S. Interactions between typhoons Parma and Melor (2009) in North West Pacific Ocean. Weather Clim. Extrem. 2020, 29, 100272. [Google Scholar] [CrossRef]
- Kar, C.; Banerjee, S. An image processing approach for intensity detection of tropical cyclone using feature vector analysis. Int. J. Image Data Fusion 2018, 9, 338–348. [Google Scholar] [CrossRef]
- Finocchio, P.M.; Majumdar, S.J. The predictability of idealized tropical cyclones in environments with time-varying vertical wind shear. J. Adv. Model. Earth Syst. 2017, 9, 2836–2862. [Google Scholar] [CrossRef]
- Lee, C.Y.; Tippett, M.K.; Camargo, S.J.; Sobel, A.H. Probabilistic multiple linear regression modeling for tropical cyclone intensity. Mon. Weather Rev. 2015, 143, 933–954. [Google Scholar] [CrossRef]
- Bhattacharya, S.K.; Kotal, S.D.; Nath, S.; Bhowmik SK, R.; Kundu, P.K. Tropical cyclone intensity prediction over the North Indian Ocean-An NWP based objective approach. Geofizika 2018, 35, 189–278. [Google Scholar] [CrossRef]
- Davis, C.A. Resolving tropical cyclone intensity in models. Geophys. Res. Lett. 2018, 45, 2082–2087. [Google Scholar] [CrossRef]
- Griffin, J.S.; Burpee, R.W.; Marks, F.D.; Franklin, J.L. Real-time airborne analysis of aircraft data supporting operational hurricane forecasting. Weather Forecast. 1992, 7, 480–490. [Google Scholar] [CrossRef]
- Lee, R.S.; Lin, J.N.K. An elastic contour matching model for tropical cyclone pattern recognition. IEEE Trans. Syst. Man Cybern. Part B (Cybern.) 2001, 31, 413–417. [Google Scholar] [CrossRef] [PubMed]
- Chen, R.; Zhang, W.; Wang, X. Machine learning in tropical cyclone forecast modeling: A review. Atmosphere 2020, 11, 676. [Google Scholar] [CrossRef]
- Biswas, K.; Kumar, S.; Pandey, A.K. Tropical cyclone intensity estimations over the Indian ocean using machine learning. arXiv 2021, arXiv:2107.05573. [Google Scholar]
- Olander, T.; Wimmers, A.; Velden, C.; Kossin, J.P. Investigation of machine learning using satellite-based advanced Dvorak technique analysis parameters to estimate tropical cyclone intensity. Weather Forecast. 2021, 36, 2161–2186. [Google Scholar] [CrossRef]
- Zhang, C.J.; Luo, Q.; Dai, L.J.; Ma, L.M.; Lu, X.Q. Intensity estimation of tropical cyclones using the relevance vector machine from infrared satellite image data. IEEE J. Sel. Top. Appl. Earth Obs. Remote Sens. 2019, 12, 763–773. [Google Scholar] [CrossRef]
- Tan, J.; Yang, Q.; Hu, J.; Huang, Q.; Chen, S. Tropical cyclone intensity estimation using Himawari-8 satellite cloud products and deep learning. Remote Sens. 2022, 14, 812. [Google Scholar] [CrossRef]
- Jiang, W.; Hu, G.; Wu, T.; Liu, L.; Kim, B.; Xiao, Y.; Duan, Z. DMANet_KF: Tropical cyclone intensity estimation based on deep learning and Kalman filter from multi-spectral infrared images. IEEE J. Sel. Top. Appl. Earth Obs. Remote Sens. 2023, 16, 4469–4483. [Google Scholar] [CrossRef]
- Knapp, K.R.; Kruk, M.C.; Levinson, D.H.; Diamond, H.J.; Neumann, C.J. The international best track archive for climate stewardship (IBTrACS) unifying tropical cyclone data. Bull. Am. Meteorol. Soc. 2010, 91, 363–376. [Google Scholar] [CrossRef]
- Kursa, M.B.; Rudnicki, W.R. Feature Selection with the Boruta Package. J. Stat. Softw. 2010, 36, 1–13. [Google Scholar] [CrossRef]
- Breiman, L. Random forests. Mach. Learn. 2001, 45, 5–32. [Google Scholar] [CrossRef]
- Sutton, C.D. Classification and regression trees, bagging, and boosting. Handb. Stat. 2005, 24, 303–329. [Google Scholar]
- Friedman, J.H. Greedy function approximation: A gradient boosting machine. Ann. Stat. 2001, 29, 1189–1232. [Google Scholar] [CrossRef]
- Friedman, J.H. Stochastic gradient boosting. Comput. Stat. Data Anal. 2002, 38, 367–378. [Google Scholar] [CrossRef]
- Quinlan, J.R. Learning with Continuous Classes. In Proceedings of the 5th Australian Joint Conference on Artificial Intelligence, Hobart, Australia, 16–18 November 1992. [Google Scholar]
- Kramer, O. K-Nearest Neighbors. In Dimensionality Reduction with Unsupervised Nearest Neighbors; Springer: Berlin/Heidelberg, Germany, 2013; pp. 19–33. [Google Scholar]
- Cortes, C.; Vapnik, V. Support-vector networks. Mach. Learn. 1995, 20, 273–297. [Google Scholar] [CrossRef]
- Myers, R.H.; Montgomery, D.C. A tutorial on generalized linear models. J. Qual. Technol. 1997, 29, 274–291. [Google Scholar] [CrossRef]
- Zhao, Y.; Staudenmayer, J.; Coull, B.A.; Wand, M.P. General design Bayesian generalized linear mixed models. Stat. Sci. 2006, 21, 35–51. [Google Scholar] [CrossRef]
- Altmann, A.; Toloşi, L.; Sander, O.; Lengauer, T. Permutation importance: A corrected feature importance measure. Bioinformatics 2010, 26, 1340–1347. [Google Scholar] [CrossRef]
- Jergensen, G.E.; McGovern, A.; Lagerquist, R.; Smith, T. Classifying convective storms using machine learning. Weather Forecast. 2020, 35, 537–559. [Google Scholar] [CrossRef]
- Wang, C.; Zheng, G.; Li, X.; Xu, Q.; Liu, B.; Zhang, J. Tropical Cyclone Intensity Estimation from Geostationary Satellite Imagery Using Deep Convolutional Neural Networks. IEEE Trans. Geosci. Remote Sens. 2021, 60, 4101416. [Google Scholar] [CrossRef]
- Chen, B.F.; Chen, B.; Lin, H.T.; Elsberry, R.L. Estimating Tropical Cyclone Intensity by Satellite Imagery Utilizing Convolutional Neural Networks. Weather Forecast. 2019, 34, 447–465. [Google Scholar] [CrossRef]
- Tian, W.; Lai, L.; Niu, X.; Zhou, X.; Zhang, Y.; Lim Kam Sian, K.T.C. Estimating Tropical Cyclone Intensity Using Dynamic Balance Convolutional Neural Network from Satellite Imagery. J. Appl. Remote Sens. 2023, 17, 024513. [Google Scholar] [CrossRef]
- Zhong, W.; Zhang, D.; Sun, Y.; Wang, Q. A CatBoost-Based Model for the Intensity Detection of Tropical Cyclones over the Western North Pacific Based on Satellite Cloud Images. Remote Sens. 2023, 15, 3510. [Google Scholar] [CrossRef]
- Zhang, R.; Liu, Y.; Yue, L.; Liu, Q.; Hang, R. Estimating Tropical Cyclone Intensity Using a STIA Model from Himawari-8 Satellite Images in the Western North Pacific Basin. IEEE Trans. Geosci. Remote Sens. 2024, 62, 4101813. [Google Scholar] [CrossRef]
- Xiang, K.; Yang, X.; Zhang, M.; Li, Z.; Kong, F. Objective Estimation of Tropical Cyclone Intensity from Active and Passive Microwave Remote Sensing Observations in the Northwestern Pacific Ocean. Remote Sens. 2019, 11, 627. [Google Scholar] [CrossRef]
- Sakuragi, T.; Hoshino, S.; Kitabatake, N. Development and Verification of a Tropical Cyclone Intensity Estimation Method Reflecting the Variety of TRMM/TMI Brightness Temperature Distribution. RSMC Tokyo-Typhoon Cent. Tech. Rev. 2014, 16, 15. [Google Scholar]
- Ritchie, E.A.; Wood, K.M.; Rodríguez-Herrera, O.G.; Piñeros, M.F.; Tyo, J.S. Satellite-Derived Tropical Cyclone Intensity in the North Pacific Ocean Using the Deviation-Angle Variance Technique. Weather Forecast. 2014, 29, 505–516. [Google Scholar] [CrossRef]
- Lu, X.; Yu, H. An Objective Tropical Cyclone Intensity Estimation Model Based on Digital IR Satellite Images. Trop. Cyclone Res. Rev. 2013, 2, 233–241. [Google Scholar]
- Zhao, Y.; Zhao, C.; Sun, R.; Wang, Z. A Multiple Linear Regression Model for Tropical Cyclone Intensity Estimation from Satellite Infrared Images. Atmosphere 2016, 7, 40. [Google Scholar] [CrossRef]
- Ryu, S.; Hong, S.E.; Park, J.D.; Hong, S. An Improved Conversion Relationship between Tropical Cyclone Intensity Index and Maximum Wind Speed for the Advanced Dvorak Technique in the Northwestern Pacific Ocean Using SMAP Data. Remote Sens. 2020, 12, 2580. [Google Scholar] [CrossRef]
- Knaff, J.A.; Zehr, R.M. Reexamination of tropical cyclone wind–pressure relationships. Weather Forecast. 2007, 22, 71–88. [Google Scholar] [CrossRef]









| Statistical Values | All Centers | ENSO Phase | ||
|---|---|---|---|---|
| Neutral Phase | El Niño (Warm Phase) | La Niña (Cold Phase) | ||
| Training data amount | 17,139 | 7216 | 5687 | 4235 |
| Testing data amount | 7346 | 3093 | 2438 | 1816 |
| Total | 24,485 | 10,309 | 8125 | 6051 |
| Models | Datasets/Phases | R2 | RMSE | NSE | |||
|---|---|---|---|---|---|---|---|
| Training | Testing | Training | Testing | Training | Testing | ||
| GLM | All Centers | 0.941 ± 0 | 0.941 ± 0.001 | 4.752 ± 0.018 | 4.747 ± 0.043 | 0.941 ± 0 | 0.941 ± 0.001 |
| Cold | 0.943 ± 0.001 | 0.941 ± 0.002 | 4.41 ± 0.034 | 4.457 ± 0.079 | 0.943 ± 0.001 | 0.941 ± 0.002 | |
| Neutral | 0.934 ± 0.001 | 0.935 ± 0.002 | 4.955 ± 0.03 | 4.943 ± 0.07 | 0.934 ± 0.001 | 0.935 ± 0.002 | |
| Warm | 0.946 ± 0.001 | 0.946 ± 0.002 | 4.651 ± 0.023 | 4.653 ± 0.055 | 0.946 ± 0.001 | 0.946 ± 0.002 | |
| Bayesian GLM | All Centers | 0.941 ± 0 | 0.941 ± 0.001 | 4.752 ± 0.018 | 4.747 ± 0.043 | 0.941 ± 0 | 0.941 ± 0.001 |
| Cold | 0.943 ± 0.001 | 0.941 ± 0.002 | 4.41 ± 0.034 | 4.457 ± 0.079 | 0.943 ± 0.001 | 0.941 ± 0.002 | |
| Neutral | 0.934 ± 0.001 | 0.935 ± 0.002 | 4.954 ± 0.03 | 4.946 ± 0.07 | 0.934 ± 0.001 | 0.935 ± 0.002 | |
| Warm | 0.946 ± 0.001 | 0.946 ± 0.002 | 4.651 ± 0.023 | 4.653 ± 0.055 | 0.946 ± 0.001 | 0.946 ± 0.002 | |
| RF | All Centers | 0.995 ± 0 | 0.973 ± 0.001 | 1.429 ± 0.008 | 3.224 ± 0.04 | 0.995 ± 0 | 0.973 ± 0.001 |
| Cold | 0.995 ± 0 | 0.975 ± 0.001 | 1.289 ± 0.009 | 2.915 ± 0.054 | 0.995 ± 0 | 0.975 ± 0.001 | |
| Neutral | 0.994 ± 0 | 0.969 ± 0.001 | 1.476 ± 0.015 | 3.395 ± 0.072 | 0.994 ± 0 | 0.969 ± 0.001 | |
| Warm | 0.995 ± 0 | 0.976 ± 0.001 | 1.392 ± 0.014 | 3.143 ± 0.082 | 0.995 ± 0 | 0.976 ± 0.001 | |
| Bagged CART | All Centers | 0.919 ± 0.002 | 0.92 ± 0.002 | 5.542 ± 0.071 | 5.546 ± 0.089 | 0.919 ± 0.002 | 0.919 ± 0.002 |
| Cold | 0.936 ± 0.002 | 0.935 ± 0.005 | 4.656 ± 0.092 | 4.723 ± 0.163 | 0.936 ± 0.002 | 0.934 ± 0.005 | |
| Neutral | 0.919 ± 0.004 | 0.918 ± 0.006 | 5.494 ± 0.133 | 5.522 ± 0.18 | 0.919 ± 0.004 | 0.918 ± 0.006 | |
| Warm | 0.94 ± 0.003 | 0.94 ± 0.003 | 4.91 ± 0.114 | 4.9 ± 0.106 | 0.94 ± 0.003 | 0.94 ± 0.003 | |
| kNN | All Centers | 0.899 ± 0.001 | 0.852 ± 0.003 | 6.471 ± 0.032 | 7.769 ± 0.071 | 0.89 ± 0.001 | 0.841 ± 0.003 |
| Cold | 0.841 ± 0.004 | 0.751 ± 0.01 | 7.779 ± 0.073 | 9.468 ± 0.175 | 0.823 ± 0.004 | 0.733 ± 0.008 | |
| Neutral | 0.862 ± 0.002 | 0.793 ± 0.007 | 7.599 ± 0.058 | 9.155 ± 0.145 | 0.846 ± 0.003 | 0.776 ± 0.007 | |
| Warm | 0.878 ± 0.002 | 0.815 ± 0.007 | 7.316 ± 0.05 | 8.879 ± 0.142 | 0.868 ± 0.002 | 0.804 ± 0.006 | |
| SVM Linear Kernel | All Centers | 0.875 ± 0.012 | 0.874 ± 0.012 | 9.352 ± 2.895 | 9.364 ± 2.885 | 0.749 ± 0.167 | 0.748 ± 0.168 |
| Cold | 0.881 ± 0.014 | 0.88 ± 0.016 | 8.17 ± 2.187 | 8.143 ± 2.202 | 0.79 ± 0.131 | 0.791 ± 0.13 | |
| Neutral | 0.861 ± 0.016 | 0.859 ± 0.015 | 9.69 ± 3.972 | 9.737 ± 3.975 | 0.708 ± 0.316 | 0.708 ± 0.311 | |
| Warm | 0.888 ± 0.029 | 0.886 ± 0.027 | 9.328 ± 2.981 | 9.362 ± 3 | 0.764 ± 0.164 | 0.76 ± 0.168 | |
| GBM | All Centers | 0.96 ± 0 | 0.959 ± 0.001 | 3.882 ± 0.017 | 3.95 ± 0.041 | 0.96 ± 0 | 0.959 ± 0.001 |
| Cold | 0.966 ± 0 | 0.963 ± 0.001 | 3.381 ± 0.022 | 3.557 ± 0.057 | 0.966 ± 0 | 0.963 ± 0.001 | |
| Neutral | 0.96 ± 0.001 | 0.957 ± 0.001 | 3.874 ± 0.025 | 4.024 ± 0.052 | 0.96 ± 0.001 | 0.957 ± 0.001 | |
| Warm | 0.97 ± 0.001 | 0.968 ± 0.001 | 3.491 ± 0.026 | 3.615 ± 0.064 | 0.97 ± 0.001 | 0.968 ± 0.001 | |
| Cubist | All Centers | 0.992 ± 0 | 0.981 ± 0.001 | 1.775 ± 0.01 | 2.661 ± 0.04 | 0.992 ± 0 | 0.981 ± 0.001 |
| Cold | 0.994 ± 0 | 0.984 ± 0.001 | 1.42 ± 0.023 | 2.307 ± 0.079 | 0.994 ± 0 | 0.984 ± 0.001 | |
| Neutral | 0.992 ± 0 | 0.98 ± 0.001 | 1.694 ± 0.02 | 2.732 ± 0.057 | 0.99 ± 0 | 0.98 ± 0.001 | |
| Warm | 0.993 ± 0 | 0.983 ± 0.001 | 1.677 ± 0.024 | 2.627 ± 0.045 | 0.993 ± 0 | 0.983 ± 0.001 | |
| No. | Methods Used for Typhoon Intensity Estimation | Best Performance of Models | Authors | |
|---|---|---|---|---|
| RMSE in m/s | RMSE in Knots | |||
| 1 | Cubist and best-track data | 1.37 ± 0.23 | 2.66 ± 0.04 | Current study |
| 2 | RF and best-track data | 1.66 ± 0.23 | 3.22 ± 0.04 | Current study |
| 3 | DMANet with Kalman Filter | 4.02 | 7.82 | [21] |
| 4 | Deep convolutional neural networks (CNNs) and Himawari-8 geostationary satellite | 4.62 | 8.98 | [35] |
| 5 | CNN | 4.32 | 8.39 | [36] |
| 6 | CNN | 4.06 | 7.89 | [20] |
| 7 | Dynamic balance CNN | 4.09 | 7.95 | [37] |
| 8 | The CatBoost-based model | 3.74 | 7.27 | [38] |
| 9 | Spatiotemporal interaction attention model using Himawari-8 satellite data | 3.61 | 7.02 | [39] |
| 10 | Combination of active (HY-2A scatterometer) and passive (SSMIS radiometer) microwave satellite observations | 5.94 | 11.55 | [40] |
| 11 | Tropical Rainfall Measurement Mission (TRMM) Microwave Imager brightness temperature | 6.26 | 12.17 | [41] |
| 12 | Deviation-angle variance technique | 7.27 | 14.3 | [42] |
| 13 | Relevance vector machine from infrared satellite image data | 6.58 | 12.80 | [19] |
| 14 | Digital infrared satellite images and previous intensity | 7.30 | 14.19 | [43] |
| 15 | Multiple linear regression model with satellite infrared images | 6.18 | 12.01 | [44] |
| 16 | ADT | 4.39 | 8.53 | [45] |
| 17 | AiDT | 3.76 | 7.30 | [18] |
Disclaimer/Publisher’s Note: The statements, opinions and data contained in all publications are solely those of the individual author(s) and contributor(s) and not of MDPI and/or the editor(s). MDPI and/or the editor(s) disclaim responsibility for any injury to people or property resulting from any ideas, methods, instructions or products referred to in the content. |
© 2024 by the authors. Licensee MDPI, Basel, Switzerland. This article is an open access article distributed under the terms and conditions of the Creative Commons Attribution (CC BY) license (https://creativecommons.org/licenses/by/4.0/).
Share and Cite
Liou, Y.-A.; Le, T.-V. Comparative Analysis of Machine Learning Models for Tropical Cyclone Intensity Estimation. Remote Sens. 2024, 16, 3138. https://doi.org/10.3390/rs16173138
Liou Y-A, Le T-V. Comparative Analysis of Machine Learning Models for Tropical Cyclone Intensity Estimation. Remote Sensing. 2024; 16(17):3138. https://doi.org/10.3390/rs16173138
Chicago/Turabian StyleLiou, Yuei-An, and Truong-Vinh Le. 2024. "Comparative Analysis of Machine Learning Models for Tropical Cyclone Intensity Estimation" Remote Sensing 16, no. 17: 3138. https://doi.org/10.3390/rs16173138
APA StyleLiou, Y.-A., & Le, T.-V. (2024). Comparative Analysis of Machine Learning Models for Tropical Cyclone Intensity Estimation. Remote Sensing, 16(17), 3138. https://doi.org/10.3390/rs16173138

