CO Fluxes in Western Europe during 2017–2020 Winter Seasons Inverted by WRF-Chem/Data Assimilation Research Testbed with MOPITT Observations
Abstract
1. Introduction
2. Materials and Methods
2.1. Methods
2.1.1. Chemical Transport Model
2.1.2. Regional CO Flux Inversion System
2.2. Data
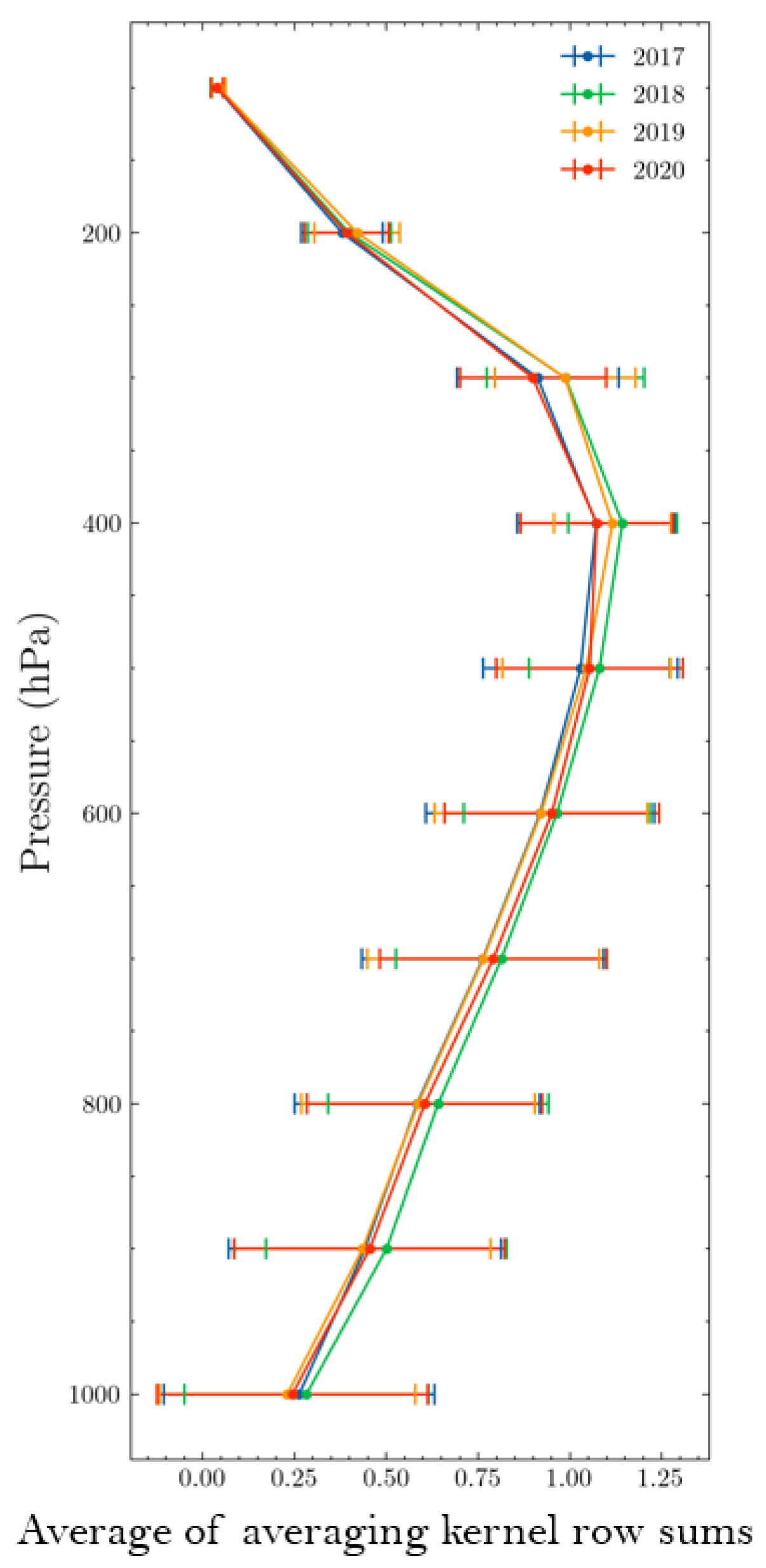
2.2.1. MOPITT CO Retrievals
2.2.2. Prior Fluxes
2.2.3. Chemical Initial and Boundary Conditions
2.2.4. Meteorological Data
2.2.5. ICOS CO Observations
2.3. Experiment Design
2.3.1. Study Area and Periods
2.3.2. Experiment Setting
2.3.3. Experiment Inputs
2.3.4. Evaluation Metrics
3. Results and Discussion
3.1. CO Concentration Experimental Results
3.1.1. Evaluated by the External CAM-Chem Results
3.1.2. Evaluated by the ICOS CO Observations
3.2. CO Flux Inversion Results
3.3. Compared with the UNFCCC Inventories
4. Conclusions
Supplementary Materials
Author Contributions
Funding
Institutional Review Board Statement
Informed Consent Statement
Data Availability Statement
Acknowledgments
Conflicts of Interest
References
- Myhre, G.; Shindell, D.; Bréon, F.; Collins, W.; Fuglestvedt, J.; Huang, J.; Koch, D.; Lamarque, J.; Lee, D.; Mendoza, B.; et al. Climate change 2013: The physical science basis. In Contribution of Working Group I to the Fifth Assessment Report of the Intergovernmental Panel on Climate Change; Cambridge University Press: Cambridge, UK, 2013; pp. 659–740. Available online: https://www.ipcc.ch/report/ar5/wg1/ (accessed on 21 November 2021).
- Turnbull, J.C.; Miller, J.B.; Lehman, S.J.; Tans, P.P.; Sparks, R.J.; Southon, J. Comparison of 14CO2, CO, and SF6 as tracers for recently added fossil fuel CO2 in the atmosphere and implications for biological CO2 exchange. Geophys. Res. Lett. 2006, 33. [Google Scholar] [CrossRef]
- Levin, I.; Karstens, U. Inferring high-resolution fossil fuel CO2 records at continental sites from combined 14CO2 and CO observations. Tellus B 2007, 59, 245–250. [Google Scholar] [CrossRef]
- Super, I.; Denier van der Gon, H.; Visschedijk, A.; Moerman, M.; Chen, H.; van der Molen, M.; Peters, W. Interpreting continuous in-situ observations of carbon dioxide and carbon monoxide in the urban port area of Rotterdam. Atmos. Pollut. Res. 2017, 8, 174–187. [Google Scholar] [CrossRef]
- Hoesly, R.M.; Smith, S.J.; Feng, L.; Klimont, Z.; Janssens-Maenhout, G.; Pitkanen, T.; Seibert, J.J.; Vu, L.; Andres, R.J.; Bolt, R.M.; et al. Historical (1750–2014) anthropogenic emissions of reactive gases and aerosols from the Community Emissions Data System (CEDS). Geosci. Model Dev. 2018, 11, 369–408. [Google Scholar] [CrossRef]
- Shindell, D.T.; Faluvegi, G.; Stevenson, D.S.; Krol, M.C.; Emmons, L.K.; Lamarque, J.F.; Pétron, G.; Dentener, F.J.; Ellingsen, K.; Schultz, M.G.; et al. Multimodel simulations of carbon monoxide: Comparison with observations and projected near-future changes. J. Geophys. Res. Atmos. 2006, 111. [Google Scholar] [CrossRef]
- Duncan, B.N.; Logan, J.A. Model analysis of the factors regulating the trends and variability of carbon monoxide between 1988 and 1997. Atmos. Chem. Phys. 2008, 8, 7389–7403. [Google Scholar] [CrossRef]
- Stein, O.; Schultz, M.G.; Bouarar, I.; Clark, H.; Huijnen, V.; Gaudel, A.; George, M.; Clerbaux, C. On the wintertime low bias of Northern Hemisphere carbon monoxide found in global model simulations. Atmos. Chem. Phys. 2014, 14, 9295–9316. [Google Scholar] [CrossRef]
- Logan, J.A.; Prather, M.J.; Wofsy, S.C.; McElroy, M.B. Tropospheric chemistry: A global perspective. J. Geophys. Res. Ocean. 1981, 86, 7210–7254. [Google Scholar] [CrossRef]
- Gaubert, B.; Worden, H.M.; Arellano, A.F.J.; Emmons, L.K.; Tilmes, S.; Barré, J.; Martinez Alonso, S.; Vitt, F.; Anderson, J.L.; Alkemade, F.; et al. Chemical Feedback From Decreasing Carbon Monoxide Emissions. Geophys. Res. Lett. 2017, 44, 9985–9995. [Google Scholar] [CrossRef]
- Taylor, J.A.; Zimmerman, P.R.; Erickson, D.J. A 3-D modelling study of the sources and sinks of atmospheric carbon monoxide. Ecol. Model. 1996, 88, 53–71. [Google Scholar] [CrossRef]
- Lelieveld, J.; Gromov, S.; Pozzer, A.; Taraborrelli, D. Global tropospheric hydroxyl distribution, budget and reactivity. Atmos. Chem. Phys. 2016, 16, 12477–12493. [Google Scholar] [CrossRef]
- Holloway, T.; Levy, H., II; Kasibhatla, P. Global distribution of carbon monoxide. J. Geophys. Res. Atmos. 2000, 105, 12123–12147. [Google Scholar] [CrossRef]
- Lamarque, J.F.; Bond, T.C.; Eyring, V.; Granier, C.; Heil, A.; Klimont, Z.; Lee, D.; Liousse, C.; Mieville, A.; Owen, B.; et al. Historical (1850–2000) gridded anthropogenic and biomass burning emissions of reactive gases and aerosols: Methodology and application. Atmos. Chem. Phys. 2010, 10, 7017–7039. [Google Scholar] [CrossRef]
- Zheng, B.; Chevallier, F.; Yin, Y.; Ciais, P.; Fortems-Cheiney, A.; Deeter, M.N.; Parker, R.J.; Wang, Y.; Worden, H.M.; Zhao, Y. Global atmospheric carbon monoxide budget 2000–2017 inferred from multi-species atmospheric inversions. Earth Syst. Sci. Data 2019, 11, 1411–1436. [Google Scholar] [CrossRef]
- Worden, H.M.; Bloom, A.A.; Worden, J.R.; Jiang, Z.; Marais, E.A.; Stavrakou, T.; Gaubert, B.; Lacey, F. New constraints on biogenic emissions using satellite-based estimates of carbon monoxide fluxes. Atmos. Chem. Phys. 2019, 19, 13569–13579. [Google Scholar] [CrossRef]
- Wiedinmyer, C.; Akagi, S.K.; Yokelson, R.J.; Emmons, L.K.; Al-Saadi, J.A.; Orlando, J.J.; Soja, A.J. The Fire INventory from NCAR (FINN): A high resolution global model to estimate the emissions from open burning. Geosci. Model Dev. 2011, 4, 625–641. [Google Scholar] [CrossRef]
- Van der Werf, G.R.; Randerson, J.T.; Giglio, L.; Collatz, G.J.; Kasibhatla, P.S.; Arellano, A.F., Jr. Interannual variability in global biomass burning emissions from 1997 to 2004. Atmos. Chem. Phys. 2006, 6, 3423–3441. [Google Scholar] [CrossRef]
- Conte, L.; Szopa, S.; Séférian, R.; Bopp, L. The oceanic cycle of carbon monoxide and its emissions to the atmosphere. Biogeosciences 2019, 16, 881–902. [Google Scholar] [CrossRef]
- Drummond, J.R.; Mand, G.S. The Measurements of Pollution in the Troposphere (MOPITT) Instrument: Overall Performance and Calibration Requirements. J. Atmos. Ocean. Technol. 1996, 13, 314–320. [Google Scholar] [CrossRef][Green Version]
- Aumann, H.; Chahine, M.; Gautier, C.; Goldberg, M.; Kalnay, E.; McMillin, L.; Revercomb, H.; Rosenkranz, P.; Smith, W.; Staelin, D.; et al. AIRS/AMSU/HSB on the Aqua mission: Design, science objectives, data products, and processing systems. IEEE Trans. Geosci. Remote Sens. 2003, 41, 253–264. [Google Scholar] [CrossRef]
- Beer, R. TES on the aura mission: Scientific objectives, measurements, and analysis overview. IEEE Trans. Geosci. Remote Sens. 2006, 44, 1102–1105. [Google Scholar] [CrossRef]
- Clerbaux, C.; Boynard, A.; Clarisse, L.; George, M.; Hadji-Lazaro, J.; Herbin, H.; Hurtmans, D.; Pommier, M.; Razavi, A.; Turquety, S.; et al. Monitoring of atmospheric composition using the thermal infrared IASI/MetOp sounder. Atmos. Chem. Phys. 2009, 9, 6041–6054. [Google Scholar] [CrossRef]
- Veefkind, J.P.; Aben, I.; McMullan, K.; Förster, H.; de Vries, J.; Otter, G.; Claas, J.; Eskes, H.J.; de Haan, J.F.; Kleipool, Q.; et al. TROPOMI on the ESA Sentinel-5 Precursor: A GMES mission for global observations of the atmospheric composition for climate, air quality and ozone layer applications. RSE 2012, 120, 70–83. [Google Scholar] [CrossRef]
- Worden, H.M.; Deeter, M.N.; Frankenberg, C.; George, M.; Nichitiu, F.; Worden, J.; Aben, I.; Bowman, K.W.; Clerbaux, C.; Coheur, P.F.; et al. Decadal record of satellite carbon monoxide observations. Atmos. Chem. Phys. 2013, 13, 837–850. [Google Scholar] [CrossRef]
- Zeng, G.; Wood, S.W.; Morgenstern, O.; Jones, N.B.; Robinson, J.; Smale, D. Trends and variations in CO, C2H6, and HCN in the Southern Hemisphere point to the declining anthropogenic emissions of CO and C2H6. Atmos. Chem. Phys. 2012, 12, 7543–7555. [Google Scholar] [CrossRef]
- Schultz, M.G.; Akimoto, H.; Bottenheim, J.; Buchmann, B.; Galbally, I.E.; Gilge, S.; Helmig, D.; Koide, H.; Lewis, A.C.; Novelli, P.C.; et al. The Global Atmosphere Watch reactive gases measurement network. Elem. Sci. Anthr. 2015, 3, 000067. [Google Scholar] [CrossRef]
- Yin, Y.; Chevallier, F.; Ciais, P.; Broquet, G.; Fortems-Cheiney, A.; Pison, I.; Saunois, M. Decadal trends in global CO emissions as seen by MOPITT. Atmos. Chem. Phys. 2015, 15, 13433–13451. [Google Scholar] [CrossRef]
- Jiang, Z.; McDonald, B.C.; Worden, H.; Worden, J.R.; Miyazaki, K.; Qu, Z.; Henze, D.K.; Jones, D.B.A.; Arellano, A.F.; Fischer, E.V.; et al. Unexpected slowdown of US pollutant emission reduction in the past decade. Proc. Natl. Acad. Sci. USA 2018, 115, 5099–5104. [Google Scholar] [CrossRef]
- Tang, W.; Arellano, A.F.; Gaubert, B.; Miyazaki, K.; Worden, H.M. Satellite data reveal a common combustion emission pathway for major cities in China. Atmos. Chem. Phys. 2019, 19, 4269–4288. [Google Scholar] [CrossRef]
- Zheng, B.; Chevallier, F.; Ciais, P.; Yin, Y.; Deeter, M.N.; Worden, H.M.; Wang, Y.; Zhang, Q.; He, K. Rapid decline in carbon monoxide emissions and export from East Asia between years 2005 and 2016. Environ. Res. Lett. 2018, 13, 044007. [Google Scholar] [CrossRef]
- Buchholz, R.R.; Worden, H.M.; Park, M.; Francis, G.; Deeter, M.N.; Edwards, D.P.; Emmons, L.K.; Gaubert, B.; Gille, J.; Martínez-Alonso, S.; et al. Air pollution trends measured from Terra: CO and AOD over industrial, fire-prone, and background regions. Remote Sens. Environ. 2021, 256, 112275. [Google Scholar] [CrossRef]
- Granier, C.; Bessagnet, B.; Bond, T.; D’Angiola, A.; Denier van der Gon, H.; Frost, G.J.; Heil, A.; Kaiser, J.W.; Kinne, S.; Klimont, Z.; et al. Evolution of anthropogenic and biomass burning emissions of air pollutants at global and regional scales during the 1980–2010 period. Clim. Change 2011, 109, 163. [Google Scholar] [CrossRef]
- Crippa, M.; Guizzardi, D.; Muntean, M.; Schaaf, E.; Dentener, F.; van Aardenne, J.A.; Monni, S.; Doering, U.; Olivier, J.G.J.; Pagliari, V.; et al. Gridded emissions of air pollutants for the period 1970–2012 within EDGAR v4.3.2. Earth Syst. Sci. Data 2018, 10, 1987–2013. [Google Scholar] [CrossRef]
- Miyazaki, K.; Eskes, H.J.; Sudo, K. A tropospheric chemistry reanalysis for the years 2005–2012 based on an assimilation of OMI, MLS, TES, and MOPITT satellite data. Atmos. Chem. Phys. 2015, 15, 8315–8348. [Google Scholar] [CrossRef]
- Strode, S.A.; Worden, H.M.; Damon, M.; Douglass, A.R.; Duncan, B.N.; Emmons, L.K.; Lamarque, J.F.; Manyin, M.; Oman, L.D.; Rodriguez, J.M.; et al. Interpreting space-based trends in carbon monoxide with multiple models. Atmos. Chem. Phys. 2016, 16, 7285–7294. [Google Scholar] [CrossRef]
- Jiang, Z.; Jones, D.B.A.; Worden, J.; Worden, H.M.; Henze, D.K.; Wang, Y.X. Regional data assimilation of multi-spectral MOPITT observations of CO over North America. Atmos. Chem. Phys. 2015, 15, 6801–6814. [Google Scholar] [CrossRef]
- Jiang, Z.; Worden, J.R.; Worden, H.; Deeter, M.; Jones, D.B.A.; Arellano, A.F.; Henze, D.K. A 15-year record of CO emissions constrained by MOPITT CO observations. Atmos. Chem. Phys. 2017, 17, 4565–4583. [Google Scholar] [CrossRef]
- Yoon, J.; Pozzer, A. Model-simulated trend of surface carbon monoxide for the 2001–2010 decade. Atmos. Chem. Phys. 2014, 14, 10465–10482. [Google Scholar] [CrossRef]
- Zhang, Q.; Li, M.; Wang, M.; Mizzi, A.P.; Huang, Y.; Wei, C.; Jin, J.; Gu, Q. CO2 Flux over the Contiguous United States in 2016 Inverted by WRF-Chem/DART from OCO-2 XCO2 Retrievals. Remote Sens. 2021, 13, 2996. [Google Scholar] [CrossRef]
- Jiang, Z.; Jones, D.B.A.; Worden, H.M.; Henze, D.K. Sensitivity of top-down CO source estimates to the modeled vertical structure in atmospheric CO. Atmos. Chem. Phys. 2015, 15, 1521–1537. [Google Scholar] [CrossRef]
- Commission, E.; Centre, J.R.; Ciais, P. Towards a European Operational Observing System to Monitor Fossil: CO2 Emissions: Final Report from the Expert Group; Publications Office in Luxembourg: Luxembourg, 2016. [Google Scholar] [CrossRef]
- Crippa, M.; Solazzo, E.; Huang, G.; Guizzardi, D.; Koffi, E.; Muntean, M.; Schieberle, C.; Friedrich, R.; Janssens-Maenhout, G. High resolution temporal profiles in the Emissions Database for Global Atmospheric Research. Sci. Data 2020, 7, 121. [Google Scholar] [CrossRef] [PubMed]
- Zhang, X.; Kondragunta, S.; Ram, J.; Schmidt, C.; Huang, H.C. Near-real-time global biomass burning emissions product from geostationary satellite constellation. J. Geophys. Res. Atmos. 2012, 117. [Google Scholar] [CrossRef]
- Randerson, J.T.; Chen, Y.; van der Werf, G.R.; Rogers, B.M.; Morton, D.C. Global burned area and biomass burning emissions from small fires. J. Geophys. Res. Biogeosci. 2012, 117. [Google Scholar] [CrossRef]
- National Inventory Submissions 2021, UNFCCC. Available online: https://unfccc.int/ghg-inventories-annex-i-parties/2021 (accessed on 25 October 2021).
- ICOS RI. ICOS Atmosphere Station Specifications V2.0; Laurent, O., Ed.; ICOS ERIC: Helsinki, Finland, 2020. [Google Scholar] [CrossRef]
- Atmospheric Chemistry Observations & Modeling, National Center for Atmospheric Research, University Corporation for Atmospheric Research. CESM2.1 The Community Atmosphere Model with Chemistry (CAM-chem) Outputs as Boundary Conditions; National Center for Atmospheric Research: Boulder, CO, USA, 2020; Available online: https://rda.ucar.edu/datasets/ds313.7 (accessed on 21 November 2021).
- Grell, G.A.; Peckham, S.E.; Schmitz, R.; McKeen, S.A.; Frost, G.; Skamarock, W.C.; Eder, B. Fully coupled “online” chemistry within the WRF model. Atmos. Environ. 2005, 39, 6957–6975. [Google Scholar] [CrossRef]
- Fast, J.D.; Gustafson, W.I., Jr.; Easter, R.C.; Zaveri, R.A.; Barnard, J.C.; Chapman, E.G.; Grell, G.A.; Peckham, S.E. Evolution of ozone, particulates, and aerosol direct radiative forcing in the vicinity of Houston using a fully coupled meteorology-chemistry-aerosol model. J. Geophys. Res. Atmos. 2006, 111. [Google Scholar] [CrossRef]
- WRF-Chem Model Version 4.1.5. Available online: https://github.com/wrf-model/WRF/releases/tag/v4.1.5 (accessed on 25 October 2021).
- Emmons, L.K.; Walters, S.; Hess, P.G.; Lamarque, J.F.; Pfister, G.G.; Fillmore, D.; Granier, C.; Guenther, A.; Kinnison, D.; Laepple, T.; et al. Description and evaluation of the Model for Ozone and Related chemical Tracers, version 4 (MOZART-4). Geosci. Model Dev. 2010, 3, 43–67. [Google Scholar] [CrossRef]
- Chin, M.; Rood, R.B.; Lin, S.J.; Müller, J.F.; Thompson, A.M. Atmospheric sulfur cycle simulated in the global model GOCART: Model description and global properties. J. Geophys. Res. Atmos. 2000, 105, 24671–24687. [Google Scholar] [CrossRef]
- Pfister, G.G.; Avise, J.; Wiedinmyer, C.; Edwards, D.P.; Emmons, L.K.; Diskin, G.D.; Podolske, J.; Wisthaler, A. CO source contribution analysis for California during ARCTAS-CARB. Atmos. Chem. Phys. 2011, 11, 7515–7532. [Google Scholar] [CrossRef]
- Damian, V.; Sandu, A.; Damian, M.; Potra, F.; Carmichael, G. The kinetic preprocessor KPP*/a software environment for solving chemical kinetics. Comput. Chem. Eng. 2002, 26, 1567–1579. [Google Scholar] [CrossRef]
- Mansell, E.R.; Ziegler, C.L.; Bruning, E.C. Simulated Electrification of a Small Thunderstorm with Two-Moment Bulk Microphysics. J. Atmos. Sci. 2010, 67, 171–194. [Google Scholar] [CrossRef]
- Stergiou, I.; Tagaris, E.; Sotiropoulou, R.E.P. Sensitivity Assessment of WRF Parameterizations over Europe. Proceedings 2017, 1, 119. [Google Scholar] [CrossRef]
- Kain, J.S. The Kain–Fritsch convective parameterization: An update. J. Appl. Meteorol. 2004, 43, 170–181. [Google Scholar] [CrossRef]
- Iacono, M.J.; Delamere, J.S.; Mlawer, E.J.; Shephard, M.W.; Clough, S.A.; Collins, W.D. Radiative forcing by long-lived greenhouse gases: Calculations with the AER radiative transfer models. J. Geophys. Res. Atmos. 2008, 113. [Google Scholar] [CrossRef]
- Hong, S.Y.; Noh, Y.; Dudhia, J. A New Vertical Diffusion Package with an Explicit Treatment of Entrainment Processes. Mon. Weather. Rev. 2006, 134, 2318–2341. [Google Scholar] [CrossRef]
- Beljaars, A. The parametrization of surface fluxes in large scale models under free convection. Q. J. R. Meteorol. Soc. 1995, 121, 255–270. [Google Scholar] [CrossRef]
- Tie, X.; Madronich, S.; Walters, S.; Zhang, R.; Rasch, P.; Collins, W. Effect of clouds on photolysis and oxidants in the troposphere. J. Geophys. Res. Atmos. 2003, 108. [Google Scholar] [CrossRef]
- Anderson, J.; Hoar, T.; Raeder, K.; Liu, H.; Collins, N.; Torn, R.; Avellano, A. The Data Assimilation Research Testbed: A Community Facility. Bull. Am. Meteorol. Soc. 2009, 90, 1283–1296. [Google Scholar] [CrossRef]
- Zhang, Q.; Li, M.; Wei, C.; Mizzi, A.P.; Huang, Y.; Gu, Q. Assimilation of OCO-2 retrievals with WRF-Chem/DART: A case study for the Midwestern United States. Atmos. Environ. 2021, 246, 118106. [Google Scholar] [CrossRef]
- Mizzi, A.P.; Arellano, A.F., Jr.; Edwards, D.P.; Anderson, J.L.; Pfister, G.G. Assimilating compact phase space retrievals of atmospheric composition with WRF-Chem/DART: A regional chemical transport/ensemble Kalman filter data assimilation system. Geosci. Model Dev. 2016, 9, 965–978. [Google Scholar] [CrossRef]
- Mizzi, A.P.; Edwards, D.P.; Anderson, J.L. Assimilating compact phase space retrievals (CPSRs): Comparison with independent observations (MOZAIC in situ and IASI retrievals) and extension to assimilation of truncated retrieval profiles. Geosci. Model Dev. 2018, 11, 3727–3745. [Google Scholar] [CrossRef]
- Liu, X.; Mizzi, A.P.; Anderson, J.L.; Fung, I.Y.; Cohen, R.C. Assimilation of satellite NO2 observations at high spatial resolution using OSSEs. Atmos. Chem. Phys. 2017, 17, 7067–7081. [Google Scholar] [CrossRef]
- Anderson, J.L. An Ensemble Adjustment Kalman Filter for Data Assimilation. Mon. Weather. Rev. 2001, 129, 2884–2903. [Google Scholar] [CrossRef]
- Anderson, J.L. A Local Least Squares Framework for Ensemble Filtering. Mon. Weather. Rev. 2003, 131, 634–642. [Google Scholar] [CrossRef]
- Kang, J.S.; Kalnay, E.; Miyoshi, T.; Liu, J.; Fung, I. Estimation of surface carbon fluxes with an advanced data assimilation methodology. J. Geophys. Res. Atmos. 2012, 117. [Google Scholar] [CrossRef]
- Drummond, J.R.; Zou, J.; Nichitiu, F.; Kar, J.; Deschambaut, R.; Hackett, J. A review of 9-year performance and operation of the MOPITT instrument. Adv. Space Res. 2010, 45, 760–774. [Google Scholar] [CrossRef]
- Deeter, M.N.; Martínez-Alonso, S.; Edwards, D.P.; Emmons, L.K.; Gille, J.C.; Worden, H.M.; Pittman, J.V.; Daube, B.C.; Wofsy, S.C. Validation of MOPITT Version 5 thermal-infrared, near-infrared, and multispectral carbon monoxide profile retrievals for 2000–2011. J. Geophys. Res. Atmos. 2013, 118, 6710–6725. [Google Scholar] [CrossRef]
- Merritt, N.; Deeter, MOPITT Algorithm Development Team. MOPITT Validated Version 4 Product User’s Guide; National Center for Atmospheric Research: Boulder, CO, USA, 2009; Available online: https://www.acom.ucar.edu/mopitt/v4_users_guide_val.pdf (accessed on 21 November 2021).
- Deeter, M.N.; Worden, H.M.; Gille, J.C.; Edwards, D.P.; Mao, D.; Drummond, J.R. MOPITT multispectral CO retrievals: Origins and effects of geophysical radiance errors. J. Geophys. Res. Atmos. 2011, 116. [Google Scholar] [CrossRef]
- MOPITT Algorithm Development Team. MOPITT Version 8 Product User’s Guide; National Center for Atmospheric Research: Boulder, CO, USA, 2018; Available online: https://www2.acom.ucar.edu/sites/default/files/mopitt/v8_users_guide_201812.pdf (accessed on 21 November 2021).
- MOPITT V8 L2 CO Products. Available online: https://www2.acom.ucar.edu/mopitt/products (accessed on 25 October 2021).
- Deeter, M.N.; Edwards, D.P.; Francis, G.L.; Gille, J.C.; Mao, D.; Martínez-Alonso, S.; Worden, H.M.; Ziskin, D.; Andreae, M.O. Radiance-based retrieval bias mitigation for the MOPITT instrument: The version 8 product. Atmos. Meas. Tech. 2019, 12, 4561–4580. [Google Scholar] [CrossRef]
- Tang, W.; Worden, H.M.; Deeter, M.N.; Edwards, D.P.; Emmons, L.K.; Martínez-Alonso, S.; Gaubert, B.; Buchholz, R.R.; Diskin, G.S.; Dickerson, R.R.; et al. Assessing Measurements of Pollution in the Troposphere (MOPITT) carbon monoxide retrievals over urban versus non-urban regions. Atmos. Meas. Tech. 2020, 13, 1337–1356. [Google Scholar] [CrossRef]
- Francis, G.L.; Deeter, M.; Martínez-Alonso, S.; Gille, J.; Edwards, D.P.; cai Mao, D.; Worden, H.M.; Ziskin, D.C. Measurement of Pollution in the Troposphere Algorithm Theoretical Basis Document: Retrieval of Carbon Monoxide Profiles and Column Amounts from MOPITT Observed Radiances (Level 1 to Level 2); Atmospheric Chemistry Observations and Modelling Laboratory, National Center for Atmospheric Research: Boulder, CO, USA, 2017; Available online: https://www2.acom.ucar.edu/sites/default/files/mopitt/ATBD_5_June_2017.pdf (accessed on 21 November 2021).
- Crippa, M.; Janssens-Maenhout, G.; Guizzardi, D.; Muntean, M.; Schaaf, E. Emissions Database for Global Atmospheric Research, Version v4.3.2 Part II Air Pollutants (Gridmaps); European Commission: Brussels, Belgium; Joint Research Centre (JRC): Ispra, Italy, 2018; Available online: https://edgar.jrc.ec.europa.eu/emissions_data_and_maps (accessed on 21 November 2021).
- Edgar V4.3.2 Part II Air Pollutants Gridmaps Dataset. Available online: https://data.europa.eu/data/datasets/jrc-edgar-v432-ap-gridmaps (accessed on 25 October 2021).
- Guenther, A.; Jiang, X.; Heald, C.L.; Sakulyanontvittaya, T.; Duhl, T.; Emmons, L.; Wang, X. The Model of Emissions of Gases and Aerosols from Nature version 2.1 (MEGAN2.1): An extended and updated framework for modeling biogenic emissions. Geosci. Model Dev. 2012, 5, 1471–1492. [Google Scholar] [CrossRef]
- MEGAN V2.1 Input Data Files. Available online: https://www.acom.ucar.edu/wrf-chem/download.shtml (accessed on 25 October 2021).
- Fire INventory from National Center for Atmospheric Research V1.5 Dataset. Available online: https://www.acom.ucar.edu/Data/fire/ (accessed on 25 October 2021).
- Wiedinmyer, C.; Quayle, B.; Geron, C.; Belote, A.; McKenzie, D.; Zhang, X.; O’Neill, S.; Wynne, K.K. Estimating emissions from fires in North America for air quality modeling. Atmos. Environ. 2006, 40, 3419–3432. [Google Scholar] [CrossRef]
- The Community Atmosphere Model with Chemistry Outputs as Boundary Conditions Dateset. Available online: https://rda.ucar.edu/datasets/ds313.7/ (accessed on 25 October 2021).
- Lamarque, J.F.; Emmons, L.K.; Hess, P.G.; Kinnison, D.E.; Tilmes, S.; Vitt, F.; Heald, C.L.; Holland, E.A.; Lauritzen, P.H.; Neu, J.; et al. CAM-chem: Description and evaluation of interactive atmospheric chemistry in the Community Earth System Model. Geosci. Model Dev. 2012, 5, 369–411. [Google Scholar] [CrossRef]
- Danabasoglu, G.; Lamarque, J.F.; Bacmeister, J.; Bailey, D.A.; DuVivier, A.K.; Edwards, J.; Emmons, L.K.; Fasullo, J.; Garcia, R.; Gettelman, A.; et al. The Community Earth System Model Version 2 (CESM2). J. Adv. Model. Earth Syst. 2020, 12, e2019MS001916. [Google Scholar] [CrossRef]
- Emmons, L.K.; Schwantes, R.H.; Orlando, J.J.; Tyndall, G.; Kinnison, D.; Lamarque, J.F.; Marsh, D.; Mills, M.J.; Tilmes, S.; Bardeen, C.; et al. The Chemistry Mechanism in the Community Earth System Model Version 2 (CESM2). J. Adv. Model. Earth Syst. 2020, 12, e2019MS001882. [Google Scholar] [CrossRef]
- National Centers for Environmental Prediction; National Weather Service; NOAA; U.S. Department of Commerce. NCEP FNL Operational Model Global Tropospheric Analyses, Continuing from July 1999; National Center for Atmospheric Research: Boulder, CO, USA, 2000.
- The Final (FNL) Operational Global Analysis Data from National Centers for Environmental Prediction. Available online: https://rda.ucar.edu/datasets/ds083.2/ (accessed on 25 October 2021).
- National Centers for Environmental Prediction; National Weather Service; NOAA; U.S. Department of Commerce. NCEP ADP Global Upper Air and Surface Weather Observations (PREPBUFR Format); National Center for Atmospheric Research: Boulder, CO, USA, 2008. Available online: https://rda.ucar.edu/datasets/ds337.0/6 (accessed on 21 November 2021).
- NCEP ADP Global Upper Air and Surface Weather Observations. Available online: https://rda.ucar.edu/datasets/ds337.0/ (accessed on 25 October 2021).
- ICOS Atmosphere Release 2021-1 of Level 2 Greenhouse Gas Mole Fractions Data Product. Available online: https://www.icos-cp.eu/data-products/atmosphere-release (accessed on 25 October 2021).
- Hazan, L.; Tarniewicz, J.; Ramonet, M.; Laurent, O.; Abbaris, A. Automatic processing of atmospheric CO2 and CH4 mole fractions at the ICOS Atmosphere Thematic Centre. Atmos. Meas. Tech. 2016, 9, 4719–4736. [Google Scholar] [CrossRef]
- ICOS RI. ICOS Atmosphere Release 2021-1 of Level 2 Greenhouse Gas Mole Fractions of CO2, CH4, N2O, CO, Meteorology and 14CO2; ICOS ERIC: Helsinki, Finland, 2021. [Google Scholar] [CrossRef]
- Annex I Countries, UNFCCC. Available online: https://unfccc.int/process/parties-non-party-stakeholders/parties-convention-and-observer-states (accessed on 25 October 2021).
- Jacobson, A.R.; Schuldt, K.N.; Miller, J.B.; Oda, T.; Tans, P.; Andrews, A.; Mund, J.; Ott, L.; Collatz, G.J.; Aalto, T.; et al. CarbonTracker Documentation CT2019B Release; National Oceanic and Atmospheric Administration: Boulder, CO, USA, 2020. Available online: https://gml.noaa.gov/ccgg/carbontracker/CT2019_doc.php (accessed on 21 November 2021).
- Arellano, A.F., Jr.; Raeder, K.; Anderson, J.L.; Hess, P.G.; Emmons, L.K.; Edwards, D.P.; Pfister, G.G.; Campos, T.L.; Sachse, G.W. Evaluating model performance of an ensemble-based chemical data assimilation system during INTEX-B field mission. Atmos. Chem. Phys. 2007, 7, 5695–5710. [Google Scholar] [CrossRef]
- Gaspari, G.; Cohn, S.E. Construction of correlation functions in two and three dimensions. Q. J. R. Meteorol. Soc. 1999, 125, 723–757. [Google Scholar] [CrossRef]
- Barré, J.; Gaubert, B.; Arellano, A.F.J.; Worden, H.M.; Edwards, D.P.; Deeter, M.N.; Anderson, J.L.; Raeder, K.; Collins, N.; Tilmes, S.; et al. Assessing the impacts of assimilating IASI and MOPITT CO retrievals using CESM-CAM-chem and DART. J. Geophys. Res. Atmos. 2015, 120, 10–501. [Google Scholar] [CrossRef]
- WRF-Chem Preprocessor Tools. Available online: https://www2.acom.ucar.edu/wrf-chem/wrf-chem-tools-community (accessed on 25 October 2021).
- Barker, D.; Huang, X.Y.; Liu, Z.; Aulign, T.; Zhang, X.; Rugg, S.; Ajjaji, R.; Bourgeois, A.; Bray, J.; Chen, Y.; et al. The Weather Research and Forecasting Model’s Community Variational/Ensemble Data Assimilation System: WRFDA. Bull. Am. Meteorol. Soc. 2012, 93, 831–843. [Google Scholar] [CrossRef]
- Crippa, M.; Guizzardi, D.; Muntean, M.; Schaaf, E. EDGAR v5.0 Global Air Pollutant Emissions. Available online: https://publications.jrc.ec.europa.eu/repository/handle/JRC122516 (accessed on 25 October 2021).














| Options | Configuration |
|---|---|
| Domian Center | 46.982 N, 3.626 E |
| Grid Resolution | 27 km |
| nx, ny, nz | 99, 99, 36 |
| Time Step | 150 s |
| MicroPhysics Process | NSSL 2-moment Scheme [56,57] |
| Cumulus Parameterization | Kain–Fritsch Scheme [57,58] |
| Longwave Atmospheric Radiation | RRTMG scheme [57,59] |
| Shortwave Atmospheric Radiation | RRTMG scheme [57,59] |
| Planetary Boundary Layer Scheme | YSU [57,60] |
| Land surface scheme | MM5 [57,61] |
| Chemical Option | MOZCART [52,53,54] using KPP library [55] |
| Photolysis Option | Madronich F-TUV photolysis [52,62] |
| Level | MAE | RMSE | Difference Relative to a Priori (%) |
|---|---|---|---|
| Surface | 12.66 | 23.94 | 14.79 |
| 900 hPa | 12.57 | 20.71 | 10.22 |
| 800 hPa | 11.14 | 15.65 | 9.87 |
| 700 hPa | 10.51 | 13.93 | 9.96 |
| 600 hPa | 10.60 | 13.56 | 10.30 |
| 500 hPa | 11.20 | 14.74 | 11.33 |
| 400 hPa | 13.74 | 20.22 | 14.69 |
| 300 hPa | 15.15 | 24.13 | 18.18 |
| 200 hPa | 5.83 | 9.69 | 10.80 |
| 100 hPa | 0.75 | 1.16 | 3.04 |
| Experiment | Prior CO Fluxes (Kiloton) | Prior CO Fluxes (mol ) | |||
|---|---|---|---|---|---|
| Anthro (EDGARV) | Biogenic (MEGAN) | Biomass Burning (FINN) | Total | ||
| Exp2017 | 6018.59 | 126.14 | 140.93 | 6285.66 | 14.55 |
| Exp2018 | 6018.59 | 121.26 | 45.84 | 6185.69 | 14.31 |
| Exp2019 | 6018.59 | 130.58 | 210.82 | 6359.99 | 14.72 |
| Exp2020 | 6018.59 | 141.97 | 101.10 | 6261.66 | 14.49 |
| Source | Mean Surface CO Concentrations (ppb) | |||
|---|---|---|---|---|
| Exp2017 | Exp2018 | Exp2019 | Exp2020 | |
| DA experiment | 160.93 | 134.60 | 130.12 | 122.59 |
| SIM experiment | 130.12 | 122.72 | 123.48 | 116.43 |
| SIM_anthro experiment | 129.20 | 122.22 | 122.52 | 115.67 |
| MOPV8J | 166.47 | 166.56 | 166.43 | 164.46 |
| External CAM-Chem | 126.84 | 111.51 | 112.06 | 104.23 |
| Source | Mean XCO (ppb) | |||
|---|---|---|---|---|
| Exp2017 | Exp2018 | Exp2019 | Exp2020 | |
| DA Experiment | 74.87 | 70.26 | 67.96 | 67.93 |
| SIM Experiment | 72.76 | 69.02 | 67.38 | 67.49 |
| SIM_anthro Experiment | 72.68 | 68.97 | 67.28 | 67.43 |
| MOPV8J | 84.59 | 84.63 | 82.06 | 81.01 |
| External CAM-Chem | 74.50 | 69.40 | 68.39 | 68.52 |
| Type | Exp2017 | Exp2018 | Exp2019 | Exp2020 | ||||
|---|---|---|---|---|---|---|---|---|
| MBE | RMSE | MBE | RMSE | MBE | RMSE | MBE | RMSE | |
| SIM | 3.28 | 2.86 | 11.21 | 3.45 | 11.43 | 3.51 | 12.20 | 3.56 |
| DA | 33.84 | 5.89 | 20.06 | 4.50 | 14.71 | 3.94 | 14.53 | 3.89 |
| MOPV8J | 39.63 | 6.32 | 55.05 | 7.42 | 54.37 | 7.37 | 60.23 | 7.76 |
| Type | Exp2017 | Exp2018 | Exp2019 | Exp2020 | ||||
|---|---|---|---|---|---|---|---|---|
| MBE | RMSE | MBE | RMSE | MBE | RMSE | MBE | RMSE | |
| SIM | −1.73 | 1.46 | −0.38 | 1.10 | −1.00 | 1.22 | −1.04 | 1.26 |
| DA | 0.38 | 1.40 | 0.86 | 2.17 | −0.43 | 2.63 | −0.59 | 2.63 |
| MOPV8J | 11.12 | 3.34 | 17.69 | 4.21 | 16.13 | 4.02 | 14.56 | 3.82 |
| Exp2017 | Exp2018 | Exp2019 | Exp2020 | Total | |
|---|---|---|---|---|---|
| Number of observations | 7585 | 18,893 | 25,461 | 30,631 | 82,570 |
| Experiment | Type | CAM-Chem (ppb) | SIM (ppb) | DA (ppb) | MOPITT (ppb) | ICOS (ppb) |
|---|---|---|---|---|---|---|
| Exp2017 | median | 144.45 | 115.12 | 127.31 | 131.40 | 139.95 |
| mean | 158.44 | 130.33 | 175.70 | 146.17 | 157.86 | |
| Exp2018 | median | 121.39 | 114.77 | 121.37 | 142.63 | 148.25 |
| mean | 130.51 | 127.07 | 151.01 | 151.41 | 172.99 | |
| Exp2019 | median | 114.30 | 110.60 | 114.23 | 131.11 | 143.13 |
| mean | 125.94 | 123.48 | 134.43 | 138.27 | 168.72 | |
| Exp2020 | median | 107.10 | 106.52 | 109.92 | 129.20 | 132.92 |
| mean | 115.14 | 117.51 | 129.11 | 137.43 | 150.83 |
| Experiment | SIM Experiment | DA Experiment | External CAM-Chem | ||||||
|---|---|---|---|---|---|---|---|---|---|
| MBE (ppb) | RMSE (ppb) | CORR | MBE (ppb) | RMSE (ppb) | CORR | MBE (ppb) | RMSE (ppb) | CORR | |
| Exp2017 | −44.11 | 59.33 | 0.76 | −26.92 | 51.54 | 0.77 | −23.48 | 58.00 | 0.45 |
| Exp2018 | −43.71 | 67.17 | 0.76 | −16.68 | 64.96 | 0.76 | −48.03 | 79.76 | 0.59 |
| Exp2019 | −41.07 | 71.02 | 0.71 | −27.80 | 65.48 | 0.70 | −45.78 | 84.06 | 0.49 |
| Exp2020 | −30.91 | 49.53 | 0.79 | −18.32 | 48.36 | 0.75 | −31.77 | 60.65 | 0.45 |
| Average | −39.95 | 61.76 | 0.76 | −22.43 | 57.59 | 0.75 | −37.27 | 70.62 | 0.50 |
| CO Flux (mol ) | Exp2017 | Exp2018 | Exp2019 | Exp2020 |
|---|---|---|---|---|
| Posterior | 28.45 | 21.79 | 20.19 | 19.86 |
| Prior | 14.55 | 14.31 | 14.72 | 14.49 |
| Difference | 13.90 | 7.48 | 5.47 | 5.37 |
| Winter Season of the Year | CO Emissions (Kilotons) | Difference (%) | |
|---|---|---|---|
| DA Experiment | From UNFCCC | ||
| 2017 | 6198.15 | 5467.90 | 13.36 |
| 2018 | 4939.72 | 5177.29 | −4.59 |
| 2019 | 4697.80 | 4932.55 | −4.76 |
| 2020 | 5456.19 | - | - |
Publisher’s Note: MDPI stays neutral with regard to jurisdictional claims in published maps and institutional affiliations. |
© 2022 by the authors. Licensee MDPI, Basel, Switzerland. This article is an open access article distributed under the terms and conditions of the Creative Commons Attribution (CC BY) license (https://creativecommons.org/licenses/by/4.0/).
Share and Cite
Huang, Y.; Wei, J.; Jin, J.; Zhou, Z.; Gu, Q. CO Fluxes in Western Europe during 2017–2020 Winter Seasons Inverted by WRF-Chem/Data Assimilation Research Testbed with MOPITT Observations. Remote Sens. 2022, 14, 1133. https://doi.org/10.3390/rs14051133
Huang Y, Wei J, Jin J, Zhou Z, Gu Q. CO Fluxes in Western Europe during 2017–2020 Winter Seasons Inverted by WRF-Chem/Data Assimilation Research Testbed with MOPITT Observations. Remote Sensing. 2022; 14(5):1133. https://doi.org/10.3390/rs14051133
Chicago/Turabian StyleHuang, Yongjian, Jianming Wei, Jiupin Jin, Zhiwei Zhou, and Qianrong Gu. 2022. "CO Fluxes in Western Europe during 2017–2020 Winter Seasons Inverted by WRF-Chem/Data Assimilation Research Testbed with MOPITT Observations" Remote Sensing 14, no. 5: 1133. https://doi.org/10.3390/rs14051133
APA StyleHuang, Y., Wei, J., Jin, J., Zhou, Z., & Gu, Q. (2022). CO Fluxes in Western Europe during 2017–2020 Winter Seasons Inverted by WRF-Chem/Data Assimilation Research Testbed with MOPITT Observations. Remote Sensing, 14(5), 1133. https://doi.org/10.3390/rs14051133

