Mobile Airborne Lidar for Remote Methane Monitoring: Design, Simulation of Atmospheric Measurements and First Flight Tests
Abstract
1. Introduction
2. Materials and Methods
2.1. Differential Absorption Method
- -
- Lidar signal recording error;
- -
- Errors in gas absorption cross-section found experimentally or from HITRAN [35];
- -
- Information content of selected wavelength pairs inside (λon) and outside (λoff) an absorption line, for which a large differential absorption cross section , narrow spectral range Δλ = λon − λoff, and a few interfering gases are desirable;
- -
- Detector parameters (sensitivity).
2.2. Theory of Lidar Overlap Function
2.3. Ground-Based Mobile Lidar System
2.4. Mobile Airborne Lidar System
2.4.1. Lidar Design
2.4.2. Installation of a Lidar on Board an Aircraft
3. Results and Discussion
3.1. Simulation of the Lidar Overlap Function for Biaxial Scheme
3.2. Simulation of Remote Sensing of Atmospheric Methane with a Mobile Onboard Lidar
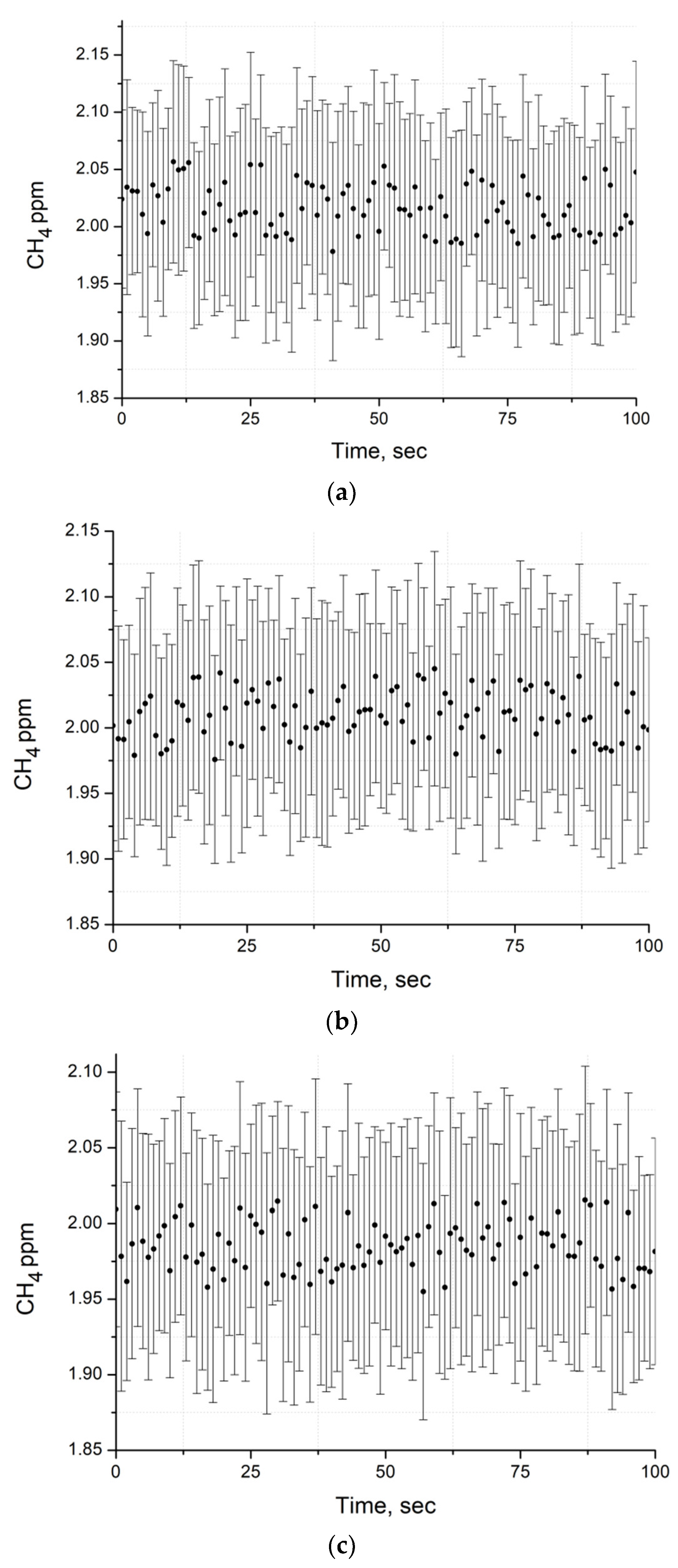
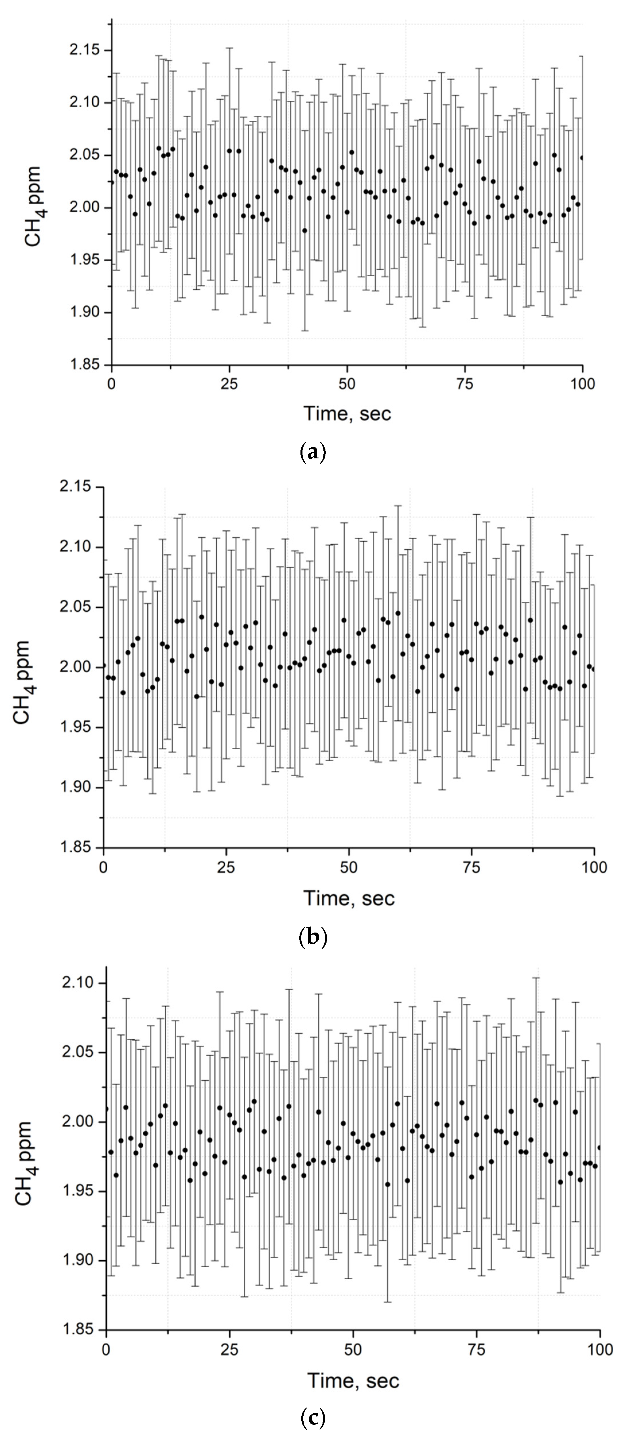
3.3. Experimental Results Using Ground-Based Mobile Lidar System
3.4. Collimated Laser Beam and Stability of the Laser Radiation Pulse Output Energy of the Mobile Airborne Lidar System
3.5. First Test Flights and Measurement Results
4. Conclusions
Author Contributions
Funding
Data Availability Statement
Acknowledgments
Conflicts of Interest
References
- WMO. Greenhouse Gas Bulletin, 15. Available online: https://public.wmo.int/en/resources/library/wmo-greenhouse-gas-bulletin-no-15 (accessed on 12 February 2022).
- Yerasi, A.; Tandy, W.D.; Emery, W.J.; Barton-Grimley, R.A. Comparing the theoretical performances of 1.65- and 3.3-μm differential absorption lidar systems used for airborne remote sensing of natural gas leaks. J. Appl. Remote Sens. 2018, 12, 026030. [Google Scholar] [CrossRef]
- Bartholomew, J.; Lyman, P.; Weimer, C.; Tandy, W. Wide area methane emissions mapping with airborne IPDA lidar. Proc. SPIE 2017, 10406, 1040607. [Google Scholar] [CrossRef]
- Michael, F.B.; Richard, W.T.; Matthew, L.C.; Mark, A.G.; James, R.; Paul, W.; Sean, D.; John, G.; Ron, C.; Daniele, P.; et al. Low-cost lightweight airborne laser-based sensors for pipeline leak detection and reporting. Proc. SPIE 2013, 8726, 87260C. [Google Scholar] [CrossRef]
- Horn, B. ALMA provides smarter gas pipeline aerial survey. Pipeline Gas J. 2014, 241, 96. [Google Scholar]
- Amediek, A.; Ehret, G.; Fix, A.; Wirth, M.; Budenbender, C.; Quatrevalet, M.; Kiemle, C.; Gerbig, C. CHARM-F—A new airborne integrated-path differential-absorption lidar for carbon dioxide and methane observations: Measurement performance and quantification of strong point source emissions. Appl. Opt. 2017, 56, 5182–5197. [Google Scholar] [CrossRef]
- Degtiarev, E.V.; Geiger, A.R.; Richmond, R.D. Compact mid-infrared DIAL lidar for ground-based and airborne pipeline monitoring. Proc. SPIE 2003, 4882, 432–442. [Google Scholar] [CrossRef]
- Murdock, D.G.; Stearns, S.V.; Lines, R.; Lenz, D.; Brown, D.M.; Philbrick, C.R. Applications of real-world gas detection: Airborne Natural Gas Emission Lidar (ANGEL) system. J. Appl. Remote Sens. 2008, 2, 023518. [Google Scholar]
- Fix, A.; Ehret, G.; Hoffstädt, A.; Klingenberg, H.; Lemmerz, C.; Mahnke, P.; Ulbricht, M.; Wittig, R.; Zirnig, W. CHARM—A helicopter-borne lidar system for pipeline monitoring. In Proceedings of the 22nd International Laser Radar Conference (ILRC 2004), Matera, Italy, 12–16 July 2004; pp. 45–48. [Google Scholar]
- Meng, L.; Fix, A.; Wirth, M.; Høgstedt, L.; Tidemand-Lichtenberg, P.; Pedersen, C.; Rodrigo, P.J. Upconversion detector for range-resolved DIAL measurement of atmospheric CH4. Opt. Express 2018, 26, 3850–3860. [Google Scholar] [CrossRef]
- Wagner, G.A.; Plusquellic, D.F. Ground-based, integrated path differential absorption LIDAR measurement of CO2, CH4, and H2O near 1.6 mum. Appl. Opt. 2016, 55, 6292–6310. [Google Scholar] [CrossRef]
- Kara, O.; Sweeney, F.; Rutkauskas, M.; Farrell, C.; Leburn, C.G.; Reid, D.T. Open-path multi-species remote sensing with a broadband optical parametric oscillator. Opt. Express 2019, 27, 21358–21366. [Google Scholar] [CrossRef]
- Innocenti, F.; Robinson, R.; Gardiner, T.; Finlayson, A.; Connor, A.J.R.S. Differential absorption lidar (DIAL) measurements of landfill methane emissions. Remote Sens. 2017, 9, 953. [Google Scholar] [CrossRef]
- Emission Monitoring Using Differential Absorption Lidar (DIAL). Available online: https://www.npl.co.uk/products-services/environmental (accessed on 10 May 2022).
- Riris, H.; Numata, K.; Li, S.; Wu, S.; Ramanathan, A.; Dawsey, M.; Mao, J.; Kawa, R.; Abshire, J.B. Airborne measurements of atmospheric methane column abundance using a pulsed integrated-path differential absorption lidar. Appl. Opt. 2012, 51, 8296–8305. [Google Scholar] [CrossRef]
- Riris, H.; Numata, K.; Wu, S.; Gonzalez, B.; Rodriguez, M.; Scott, S.; Kawa, S.; Mao, J. Methane optical density measurements with an integrated path differential absorption lidar from an airborne platform. J. Appl. Remote Sens. 2017, 11, 034001. [Google Scholar] [CrossRef]
- Fix, A.; Amediek, A.; Büdenbender, C.; Ehret, G.; Quatrevalet, M.; Wirth, M.; Löhring, J.; Kasemann Klein, R.J.; Hoffmann, H.-D.; Klein, V. Development and First Results of a new Near-IR Airborne Greenhouse Gas Lidar. In Proceedings of the Advanced Solid State Lasers Conference, OSA 2015, Berlin, Germany, 4–9 October 2015. [Google Scholar] [CrossRef]
- Fix, A.; Amediek, A.; Bovensmann, H.; Ehret, G.; Gerbig, C.; Gerilowski, K.; Pfeilsticker, K.; Roiger, A.; Zöger, M. CoMet: An airborne mission to simultaneously measure CO2 and CH4 using lidar, passive remote sensing, and in-situ techniques. In Proceedings of the 28th International Laser Radar Conference (ILRC 28), Bucharest, Romania, 25–30 June 2017; Volume 176, p. 02003. [Google Scholar] [CrossRef]
- Galkowski, M.; Jordan, A.; Rothe, M.; Marshall, J.; Koch, F.-T.; Chen, J.; Agusti-Panareda, A.; Fix, A.; Gerbig, C. In situ observations of greenhouse gases over Europe during the CoMet 1.0 campaign aboard the HALO aircraft. Atmos. Meas. Tech. 2021, 14, 1525–1544. [Google Scholar] [CrossRef]
- Fiehn, A.; Kostinek, J.; Eckl, M.; Klausner, T.; Galkowski, M.; Chen, J.; Gerbig, C.; Röckmann, T.; Maazallahi, H.; Schmidt, M.; et al. Estimating CH4, CO2 and CO emissions from coal mining and industrial activities in the Upper Silesian Coal Basin using an aircraft-based mass balance approach. Atmos. Chem. Phys. 2020, 20, 12675–12695. [Google Scholar] [CrossRef]
- Nickl, A.L.; Mertens, M.; Roiger, A.; Fix, A.; Amediek, A.; Fiehn, A.; Gerbig, C.; Galkowski, M.; Kerkweg, A.; Klausner, T.; et al. Hindcasting and forecasting of regional methane from coal mine emissions in the Upper Silesian Coal Basin using the online nested global regional chemistry-climate model MECO(n) (MESSy v2.53). Geosci. Model Dev. 2020, 13, 1925–1943. [Google Scholar] [CrossRef]
- Kostinek, J.; Roiger, A.; Eckl, M.; Fiehn, A.; Luther, A.; Wildmann, N.; Klausner, T.; Fix, A.; Knote, C.; Stohl, A.; et al. Estimating Upper Silesian coal mine methane emissions from airborne in situ observations and dispersion modeling. Atmos. Chem. Phys. 2021, 21, 8791–8807. [Google Scholar] [CrossRef]
- Pierangelo, C.; Millet, B.; Esteve, F.; Alpers, M.; Ehret, G.; Flamant, P.; Berthier, S.; Gibert, F.; Chomette, O.; Edouart, D.; et al. 2015: MERLIN (Methane Remote Sensing Lidar Mission): An Overview. In Proceedings of the 27th International Laser Radar Conference ILRC, New York, NY, USA, 5–10 July 2015. [Google Scholar]
- Nikolov, S.; Wührer, C.; Kühl, C.; Bode, M.; Hupfer, W.; Lucarelli, S. MERLIN: Design of an IPDA LIDAR instrument. CEAS Space J. 2019, 11, 437–457. [Google Scholar] [CrossRef]
- Philipp, M.; Dietz, A.; Buchelt, S.; Kuenzer, C. Trends in satellite earth observation for permafrost related analyses-a review. Remote Sens. 2021, 13, 1217. [Google Scholar] [CrossRef]
- Barton-Grimley, R.A.; Nehrir, A.R.; Kooi, S.A.; Collins, J.E.; Harper, D.B.; Notari, A.; Lee, J.; DiGangi, J.P.; Choi, Y.; Davis, K.J. Evaluation of the High Altitude Lidar Observatory (HALO) methane retrievals during the summer 2019 ACT-America campaign. Atmos. Meas. Tech. 2022, 15, 4623–4650. [Google Scholar] [CrossRef]
- Yakovlev, S.; Sadovnikov, S.; Kharchenko, O.; Kravtsova, N. Remote Sensing of Atmospheric Methane with IR OPO Lidar System. Atmosphere 2020, 11, 70. [Google Scholar] [CrossRef]
- Romanovskii, O.A.; Sadovnikov, S.A.; Kharchenko, O.V.; Yakovlev, S.V. Remote Analysis of Methane Concentration in the Atmosphere with an IR Lidar System in the 3300–3430 nm Spectral Range. Atmos. Ocean. Opt. 2020, 33, 188–194. [Google Scholar] [CrossRef]
- Romanovskii, O.A.; Sadovnikov, S.A.; Yakovlev, S.V.; Tuzhilkin, D.A.; Kharchenko, O.V.; Kravtsova, N.S. Mobile 3.4–µm differential absorption lidar system for remote sensing of the atmospheric methane. Proc. SPIE 2021, 11916, 119161T. [Google Scholar] [CrossRef]
- Collis, R.T.H.; Russell, P.B. Lidar Measurement of Particles and Gases by Elastic Backscattering and Differential Absorption; Springer: New York, NY, USA, 1976; pp. 91–180. [Google Scholar] [CrossRef]
- Ismail, S.; Browell, E.V. LIDAR Differential Absorption Lidar. In Encyclopedia of Atmospheric Sciences, 2nd ed.; Elsevier: Amsterdam, The Netherlands, 2015; pp. 277–288. [Google Scholar] [CrossRef]
- Vasil’ev, B.I.; Mannoun, U.M. IR differential-absorption lidars for ecological monitoring of the environment. Quantum Electron. 2006, 36, 801–820. [Google Scholar] [CrossRef]
- Weitkamp, C. Lidar: Range-Resolved Optical Remote Sensing of the Atmosphere; Springer Science & Business: Berlin/Heidelberg, Germany, 2006; Volume 102. [Google Scholar] [CrossRef][Green Version]
- Li, J.; Yu, Z.; Du, Z.; Ji, Y.; Liu, C. Standoff chemical detection using laser absorption spectroscopy. Remote Sens. 2020, 12, 2771. [Google Scholar] [CrossRef]
- Gordon, I.E.; Rothman, L.S.; Hargreaves, R.J.; Hashemia, R.; Karlovetsa, E.V.; Skinnera, F.M.; Conwaya, E.K.; Hillb, C.; Kochanovacd, R.V.; Tan, Y.; et al. The HITRAN2020 molecular spectroscopic database. J. Quant. Spectr. Radiat. Transfer. 2022, 277, 107949. [Google Scholar] [CrossRef]
- Babchenko, S.V.; Matvienko, G.G.; Sukhanov, A.Y. Assessing the possibilities of sensing CH4 and CO2 greenhouse gases above the underlying surface with satellite-based IPDA lidar. Atmos. Ocean. Opt. 2015, 28, 245–253. [Google Scholar] [CrossRef]
- Matvienko, G.G.; Sukhanov, A.Y. Application of Neural Networks for Retrieval of the CO2 Concentration at Aerospace Sensing by IPDA-DIAL lidar. Remote Sens. 2019, 11, 659. [Google Scholar] [CrossRef]
- Halldórsson, T.; Langerholc, J. Geometrical form factors for the lidar function. Appl. Opt. 1978, 17, 240–244. [Google Scholar] [CrossRef]
- Measures, R.M. Laser Remote Sensing Fundamentals and Applications; John Wiley & Sons, Inc.: Hoboken, NJ, USA, 1984. [Google Scholar]
- Refaat, T. Advanced Atmospheric Water Vapor Dial Detection System. Ph.D. Thesis, Electrical & Computer Engineering, Old Dominion University, Norfolk, VA, USA, 2000. [Google Scholar] [CrossRef]
- Yakovlev, S.V.; Romanovskii, O.A.; Sadovnikov, S.A.; Tuzhilkin, D.A.; Nevzorov, A.A.; Kharchenko, O.V.; Kravtsova, N.S. Mobile mid-infrared differential absorption lidar for methane monitoring in the atmosphere: Calibration and first in situ tests. Results Opt. 2022, 8, 100233. [Google Scholar] [CrossRef]
- Available online: https://lop.iao.ru/EN/ (accessed on 5 June 2021).
- Anokhin, G.G.; Antokhin, P.N.; Arshinov, M.Y.; Barsuk, V.E.; Belan, B.D.; Belan, S.B.; Davydov, D.K.; Ivlev, G.A.; Inoue, G.; Kozlov, A.V.; et al. Aircraft laboratory Tu-134 “Optic”. Atmos. Ocean. Opt. 2011, 24, 805–816. (In Russian) [Google Scholar]
- Sicard, M.; Rodriguez-Gomez, A.; Comeron, A.; Munoz-Porcar, C. Calculation of the Overlap Function and Associated Error of an Elastic Lidar or a Ceilometer: Cross-Comparison with a Cooperative Overlap-Corrected System. Sensors 2020, 20, 6312. [Google Scholar] [CrossRef]
- Bobrovnikov, S.M.; Gorlov, E.V.; Zharkov, V.I. A Multi-Aperture Transceiver System of a Lidar with Narrow Field of View and Minimal Dead Zone. Atmos. Ocean. Opt. 2018, 31, 690–697. [Google Scholar] [CrossRef]
- Stelmaszczyk, K.; Dell’Aglio, M.; Chudzyński, S.; Stacewicz, T.; Wöste, L. Analytical function for lidar geometrical compression form-factor calculations. Appl. Opt. 2005, 44, 1323–1331. [Google Scholar] [CrossRef]
- Kuze, H.; Kinjo, H.; Sakurada, Y.; Takeuchi, N. Field-ofview dependence of lidar signals by use of Newtonian and Cassegrainian telescopes. Appl. Opt. 1998, 37, 3128–3132. [Google Scholar] [CrossRef]
- Available online: https://www.python.org (accessed on 20 April 2022).
- Sadovnikov, S.A. Software system for numerical simulation of broadband laser gas analysis of the atmosphere. Inf. Control Syst. 2018, 97, 66–73. [Google Scholar] [CrossRef]
- Zuev, V.E.; Komarov, V.S. Statistical Models of the Temperature and Gaseous Components of the Atmosphere; Gidrometeoizdat: Leningrad, Russia, 1986. [Google Scholar]
- Available online: https://gml.noaa.gov/ccgg/trends_ch4/ (accessed on 30 May 2022).
- Available online: https://www.google.ru/maps/ (accessed on 10 October 2022).





















| Laser Source | ||
| Wavelength, nm | ~3430 | |
| Wavenumber, cm−1 | Midlatitude summer: Arctic summer: 2916.55 on-line 2917.00 on-line 2915.00 off-line 2915.00 off-line | |
| Maximal pulse energy, mJ | ≤4.5 | |
| Wavelength of the alignment laser beam matched with IR radiation, nm | 630 | |
| Pulse duration, ns | 10 | |
| Line width, cm−1 | ≤1.5 | |
| Off-axis collimator | ||
| Magnification | 4 | |
| Beam diameter after collimator, mm | 12 | |
| Optical receiving system | ||
| Type | Cassegrain | |
| Diameter of primary mirror, mm | 300 | |
| Effective focal length, mm | 1457 | |
| Narrowband filter | ||
| Central wavelength, nm | 3425 | 3422 |
| Transmission band, nm | 101 | 61 |
| Photodetector | ||
| Sensitivity range, µm | 2.2–3.8 | |
| Photosensitive area size, mm | 1 × 1 | |
| ADC | ||
| Resolution, bit | 14 | |
| Parameter | Value |
|---|---|
| Telescope radius, mm | 150 |
| Laser beam radius at the collimator exit, mm | 6 |
| Space between the laser beam and telescope centers, mm | 265.5 |
| Half-angle of laser beam divergence, mrad | 0.25 |
| Photodetector radius, mm | 0.1, 0.3, 0.5, 0.8, 1 |
| Effective focal length, mm | 1457 |
| Parameter | Value |
|---|---|
| Wavelength range | 3415–3445 nm |
| Wavenumber | 2900–2930 cm−1 |
| Maximal pulse energy | 4.5 mJ |
| Pulse repetition rate | 10–20 Hz |
| Point spread function (AF) | 1.45 cm−1 |
| Diameter of receiving aperture | 300 mm |
| Photodetector NEP | 10−10 W |
| Location | Path, m | Concentration CH4, ppm (Lidar) | Concentration CH4, ppm (Picarro) | Lidar Error Relative to Picarro Measurements, % |
|---|---|---|---|---|
| Fonovaya observatory (Tomsk region–midlatitude summer) | 500 | 1.95–2.10 | 1.98 | 7.5 |
| Location | Altitude, m | Concentration CH4, ppm (Lidar) | Concentration CH4, ppm (Picarro) | Lidar Error Relative to Picarro Measurements, % |
|---|---|---|---|---|
| Novosibirsk—midlatitude summer | 2000–3000 | 1.86–2.15 | 2.01–2.02 | 14.1 |
| The coastal part near the Kara Sea—Arctic summer | 380 | 1.89–2.13 | 2.00–2.01 | 11.6 |
| Water area of the Kara Sea—Arctic summer | 270 | 1.87–2.10 | 1.98 | 11 |
Publisher’s Note: MDPI stays neutral with regard to jurisdictional claims in published maps and institutional affiliations. |
© 2022 by the authors. Licensee MDPI, Basel, Switzerland. This article is an open access article distributed under the terms and conditions of the Creative Commons Attribution (CC BY) license (https://creativecommons.org/licenses/by/4.0/).
Share and Cite
Yakovlev, S.V.; Sadovnikov, S.A.; Romanovskii, O.A. Mobile Airborne Lidar for Remote Methane Monitoring: Design, Simulation of Atmospheric Measurements and First Flight Tests. Remote Sens. 2022, 14, 6355. https://doi.org/10.3390/rs14246355
Yakovlev SV, Sadovnikov SA, Romanovskii OA. Mobile Airborne Lidar for Remote Methane Monitoring: Design, Simulation of Atmospheric Measurements and First Flight Tests. Remote Sensing. 2022; 14(24):6355. https://doi.org/10.3390/rs14246355
Chicago/Turabian StyleYakovlev, Semyon V., Sergey A. Sadovnikov, and Oleg A. Romanovskii. 2022. "Mobile Airborne Lidar for Remote Methane Monitoring: Design, Simulation of Atmospheric Measurements and First Flight Tests" Remote Sensing 14, no. 24: 6355. https://doi.org/10.3390/rs14246355
APA StyleYakovlev, S. V., Sadovnikov, S. A., & Romanovskii, O. A. (2022). Mobile Airborne Lidar for Remote Methane Monitoring: Design, Simulation of Atmospheric Measurements and First Flight Tests. Remote Sensing, 14(24), 6355. https://doi.org/10.3390/rs14246355

