Abstract
With the impacts of climate change and human activities, agricultural drought disaster losses have increased remarkably. Drought disaster risk assessment is a prerequisite for formulating disaster reduction strategies and ensuring food security. However, drought disaster risk is a complex system, and quantitative assessment methods reflecting the risk formation mechanism are still rarely reported. This study presented a chain transmission system structure of drought disaster risk, which meant that drought disaster loss risk R was derived from drought hazard H by the transformation of drought disaster vulnerability V. Based on this point, firstly, a drought hazard curve between drought intensity and drought frequency was established using remote sensing data and the copula function. Then, a crop loss calculation approach under various drought events and drought resistance capacity scenarios was achieved by two-season field experiments and the AquaCrop model. Finally, a loss risk curve cluster of “drought frequency–drought resistance capacity–yield loss rate” was proposed by the composition of the above two quantitative relationships. The results of the case study for summer maize in Bengbu City indicated that the average yield loss rate under 19 droughts occurring during the growth period of maize from 1982 to 2017 was 24.51%. High risk happened in 1988, 1992, 1994, 2001, and 2004, with the largest loss rate in 2001, up to 65.58%. Overall, droughts with a return period less than two years occurred frequently during the growth period of summer maize in Bengbu, though the loss risk was still controllable. In conclusion, the results suggest that the loss risk curve provides a new effective method of drought disaster risk quantitative assessment from a physical mechanism perspective, which lays a scientific foundation for decision-making in risk management.
1. Introduction
Food security is an important issue internationally [1]. Drought disaster is one of the natural disasters that has the widest range of influence and causes the largest agricultural losses [2]. Nearly half of the countries in the world suffer from drought disasters [3]. In recent years, with global climate change and the effect of human activities, the frequency, intensity, and influence of drought disaster has witnessed a significant increase [4,5]. Correspondingly, the drought disaster losses and risk have remarkably increased, which poses a serious threat to world food security and agricultural sustainable development. Risk management is an effective means of dealing with extreme climate events, and risk assessment is the scientific foundation for risk management [6]. Therefore, the quantitative assessment of drought disaster risk is of great significance to improving human’s ability to cope with drought, reducing agricultural losses and guaranteeing food security.
Drought disaster risk assessment is a difficult issue and a hot spot in the current research field of natural disasters [7]. At present, there are three main assessment methods [8,9]: (1) probability statistics–based method [10,11], (2) comprehensive evaluation–based method [12,13], and (3) system structure–based method [14,15]. Furthermore, the drought disaster risk assessment method from a system structure perspective can reflect the element structure and relational structure of drought disaster risk systems. It can simulate various uncertainties in the process of drought disaster risk formation. Therefore, this method has become the main direction of drought disaster risk study.
Drought disaster risk in this study is defined as the quantitative relationship between the possibility of future drought events with different intensities and the corresponding possible losses of drought disaster-bearing bodies. Further to the perspective of the drought disaster risk system structure, drought disaster loss risk (R) is a system output resulting from system input, i.e., the hazard of drought disaster–causing factor (H) by system transformation, i.e., the vulnerability of the drought disaster–bearing body (V), expressed as R = f (H, V) [16,17]. Thus, it can be considered that drought disaster risk has a chain transmission system structure, which consists of the element structure of H, V, and R and the relation structure among these three. Drought hazard can be described quantitatively by the relation curve between drought intensity and the occurrence frequency of the corresponding drought event [18,19]. Drought disaster vulnerability can be described quantitatively by the relation curve between drought intensity and the corresponding losses of the disaster-bearing body [20,21]. Therefore, the drought disaster loss risk curve between drought possibility and the corresponding losses is obtained from the transformation of the drought hazard curve through to the drought disaster vulnerability curve. This loss risk curve method can fully reflect the drought disaster risk system structure and the risk formation mechanism [22]. However, there are a few studies focusing on this. In addition, the scenario simulation of crop modelling is an effective approach to establishing the drought disaster loss risk curve [23,24]. Crop models simulate the growth process of crops under drought stress by using statistical and dynamic methods, which can reveal the quantitative response relationship of crop growth and yield formation to drought.
AquaCrop is a crop model developed by the FAO in 2009 based on the water driving principle [25]. Due to advantages such as few input parameters, simple interface, strong intuition, and high precision, the AquaCrop model has been used in crop yield simulation [26], crop response to drought [27], and irrigation system optimization [28]. At present, crop models such as DSSAT [15], EPIC [23], and APSIM [24] are used for drought disaster risk assessment. Nevertheless, there are few studies on the application of the AquaCrop model, with its stronger adaptability and higher efficiency in drought disaster risk.
Maize is one of the worlds’ three major food crops [29]. With the upgrading of the industrial structure and the improvement of people’s living standards, the proportion of maize as fodder and industrial product has gradually increased [30]. Thus maize production plays a key role in global food security and industrial development [31]. According to the statistics released by the FAO, China’s maize yield in 2020 was 2.61 × 1011 kg, accounting for 22.90% of the world’s total maize yield and ranking No. 2 in the world [32,33]. However, maize requires a large amount of water during the growth period, and the main water source is precipitation. Therefore, precipitation has a great influence on the growth and yield of maize. China is located in the southeast of Eurasia; it has a significant monsoon climate and extremely uneven interannual and annual distributions of precipitation [22,34]. Moreover, due to the high temperature, strong evaporation, and frequent droughts during the growth period of summer maize, drought disaster has become an important factor affecting China’s maize production [35,36]. To sum up, the drought disaster risk assessment method based on the system structure is less reported; there is a lack of studies on risk assessment that combine the scenario simulation of crop models with the disaster loss risk curve. In addition, the quantitative assessment of maize drought disaster risk in China’s major production areas is urgently needed. Therefore, this study chose Bengbu City in the Huaibei Plain of Anhui Province in China as the study region. Using the field experiment data of summer maize implemented at Xinmaqiao Agriculture and Water Conservancy Comprehensive Experimental Station in Bengbu during 2018 and 2019 seasons, this study calibrated and verified the parameters of the AquaCrop model. Furthermore, drought index SPI and run theory were used to identify the drought events and characteristic variables during the growth period of summer maize in Bengbu from 1982 to 2017. Run theory is a method of time series analysis. For SPI series, the drought processes were identified by truncation level. The length of negative run (when SPI value was lower than the truncation level) was drought duration, and the degree of negative run (the cumulative deviation of SPI value below the truncation level) was drought intensity. Moreover, the copula function was applied to calculate the drought frequency of double variables. Then, the calibrated AquaCrop model was used to simulate the yield of maize under normal and drought conditions in various irrigation scenarios. Finally, the drought disaster loss risk curve between drought frequency and the corresponding yield loss rate of maize under different drought resistance capacities were established, and the drought disaster risk of summer maize in Bengbu was assessed quantitatively to provide decision support for guaranteeing regional maize production and food security.
2. Materials and Methods
2.1. Study Area
Bengbu City is the central city in Northern Anhui Province, China (32°43′N–33°30′N, 116°45′E–118°04′E) (Figure 1), with a land area of 5.95 × 103 km2 and a population of 3.30 million. Meanwhile, Bengbu is a major production area of maize, belonging to the Huang-Huai-Hai planting region, as well as an important commodity grain base in China [37], with a cultivated area of 3.79 × 105 hm2. According to statistics, in 2020, the sown area of summer maize in Bengbu was 1.31 × 105 hm2 and the yield was 6.57 × 108 kg [38]. Furthermore, the summer maize in this region is mainly rain-fed. However, because Bengbu is located in the transition zone between temperate and subtropical monsoon climates, the annual distribution of precipitation is extremely uneven. Meanwhile, the monsoon climate causes a large inter-annual variation and frequent droughts [22,39,40]. For instance, during July and August 2013, the precipitation was 91% less than that of a normal year. There were 4.26 × 104 hm2 of crops suffering from drought, which accounted for 13.62% of the planting area [41]. In addition, from September to November 2019, there was high temperature and little precipitation. Most regions suffered from mild drought, while some suffered from moderate drought. The affected area was 9.87 × 104 hm2, and the area not sown was 1.05 × 104 hm2 [42]. Therefore, assessing the summer maize drought disaster risk in Bengbu City is of great significance for stable grain production.
Figure 1.
Location of Bengbu City in Anhui Province, China.
2.2. Establishment of Summer Maize Drought Disaster Risk Assessment Model
The establishment of the summer maize drought disaster risk assessment model in Bengbu City is as follows (Figure 2):
Figure 2.
Establishment of summer maize drought disaster risk assessment model in Bengbu City.
- (a)
- Drought frequency calculation
A standardized precipitation index with one-month SPI1 was chosen as the drought index. Based on the precipitation data in Bengbu City from 1982 to 2017, the SPI1 values were obtained. Furthermore, run theory was used to identify the drought events during the growth period of summer maize for each year. The two variables of drought duration and drought intensity were extracted. Then, the copula function was used to calculate the drought frequency corresponding to the joint probability distribution of duration and intensity.
- (b)
- Drought resistance capacity simulation
The irrigation water amount at each growth stage of maize was selected as a quantitative index describing drought resistance capacity. Various irrigation scenarios were set to simulate different resistance capacities combined with the actual irrigation schedule.
- (c)
- AquaCrop model parameter calibration
The measured field experiment data of summer maize conducted in 2018 and 2019 were used to calibrate and verify the key parameters of the AquaCrop model, so as to ensure the simulation precision of maize growth, development, and yield formation in Bengbu.
- (d)
- Summer maize drought loss assessment
The drought loss of summer maize was represented by the yield loss rate. According to the identified drought events during the growth period of maize, the meteorological data in the year corresponding to each drought event and various irrigation scenarios were input into the calibrated AquaCrop model. Then, the yields of maize with different drought resistance capacities in the drought year were obtained, and the yield loss rate relative to the yield in normal year was assessed.
- (e)
- Summer maize drought disaster loss risk curve establishment
The drought disaster loss risk in this study referred to the crop yield loss rate under a certain level of drought disaster–causing factors and a certain level of drought resistance capacity (assuming that the crop was fully exposed to a drought environment). The loss risk curve of drought frequency–drought resistance capacity–crop yield loss rate was established to quantitatively assess the drought disaster risk of summer maize in Bengbu.
2.3. Remote Sensing Data and Techniques
The daily precipitation data from 1982 to 2017 in Bengbu City were mainly from the ground-based Bengbu National Meteorological Station, which can be accessed from https://data.cma.cn (accessed on 12 September 2020). In addition, the missing and abnormal observations from the meteorological station were replaced with the corrected remote sensing data, guaranteeing the precision of precipitation data and drought disaster risk assessment results.
NASA (National Aeronautics and Space Administration) and JAXA (Japan Aerospace Exploration Agency) jointly implement the Global Precipitation Measurement (GPM). The satellite precipitation products under the GPM have a wider coverage and a higher spatial and temporal resolution; the satellite data and inversion algorithm used are enhanced compared with previous products, and the accuracy is improved. Furthermore, JAXA develops the Global Satellite Mapping of Precipitation (GSMaP), which fully integrates the observation data of GPM satellites and continuously optimizes the inversion algorithm, with the precision and resolution being further improved. In addition, GSMaP_Gauge is a high precision product with 1 h and 0.1°, which is adjusted by the Climate Prediction Center (CPC) precipitation gauge dataset (daily precipitation data derived from more than 30,000 gauges worldwide). This study replaced the missing and abnormal precipitation observations from the Bengbu National Meteorological Station with the matching GSMaP_Gauge product, which can be accessed from https://sharaku.eorc.jaxa.jp/GSMaP/ (accessed on 26 May 2022). Hence the remote sensing techniques provide an effective precipitation data supplement of the ground-based meteorological station, which greatly supports and promotes the drought identification and drought disaster risk quantitative assessment in this study.
2.4. Drought Frenquency Calculation
Bengbu City mainly belongs to the rain-fed agricultural region; thus, the meteorological drought index was more appropriate to reflect drought events. In this study, the standardized precipitation index with one-month SPI1 [39] was selected as the drought index. Then, the run theory [15] was used to identify the drought events during the growth period of summer maize, and the drought duration and drought intensity of each event were extracted.
The process of drought event identification using SPI1 and run theory is as follows (Figure 3); there were three truncation levels, R0, R1, and R2, set in the process.
Figure 3.
Drought event identification process based on standardized precipitation index (SPI) and run theory.
- (1)
- When the SPI value was lower than R1, it was preliminarily determined that a drought event occurred in this month (such as a, b, c, e, f, and h in Figure 3). Otherwise, there were no droughts (such as g).
- (2)
- Then, for the drought event that lasted for only one month, when the SPI value was less than R2, it was finally considered that there was a drought event in that month (such as b and f). Otherwise, there were no droughts (such as a).
- (3)
- Furthermore, for two adjacent drought events with an interval of only one month, when the SPI value in the month of the interval was lower than R0, these two adjacent droughts were merged into one event. The drought duration was the sum of these two drought durations plus 1; the drought intensity was the sum of two drought intensities (such as c, d, and e). Otherwise, there were two independent droughts (such as f and h).
Drought duration and drought intensity can generally be described by exponential distribution and gamma distribution, respectively. However, some studies have indicated that the fitting effects of exponential and gamma distributions were not adequate [43,44]. Therefore, in this study, the empirical frequency of drought duration and drought intensity were calculated by the formula of mathematical expectation, and the P-III distribution function was used to fit the empirical frequency points.
The probability density function of P-III distribution is shown as follows [39]:
where α, β, and a0 are the parameters of the probability density function of P-III distribution, which were obtained by the population parameters [39]:
where x, Cv, and Cs are the mean value, coefficient of variation, and coefficient of skew for the drought characteristic variable series (drought duration or intensity), respectively.
The G-H (Gumbel-Hougaard) function [45] in Archimedean copula was used to describe the correlation between drought duration and drought intensity. The copula joint distribution function is shown by the following formula [45,46]:
where u = FT(t), v = FD(d), and FT(t) and FD(d) are the probability distribution functions of drought duration and drought intensity, respectively. θ (θ ≥ 1) is the parameter of the G-H function and was calculated as follows [45,46]:
where τ is the Kendall rank correlation coefficient, and its calculation formula is as follows [45,46]:
where tk, dk and tj, dj represent the duration and intensity of the k-th and the j-th drought events, respectively. sgn(z) represents a sign function, that is, when z > 0, sgn(z) = 1, when z = 0, sgn(z) = 0, and when z < 0, sgn(z) = −1 [45,46].
When the drought duration was longer than t and the drought intensity was larger than d, the corresponding probability of exceedance was as follows [46]:
In addition, when the drought duration was longer than t or the drought intensity was larger than d, the corresponding probability of exceedance was as follows [46]:
2.5. Summer Maize Field Experiments
The field experiments were conducted at Xinmaqiao Agriculture and Water Conservancy Comprehensive Experimental Station (33°09′N, 117°22′E) in 2018 and 2019. This station was located in Xinmaqiao Town, Bengbu City, with an average altitude of 19.7 m, average temperature of 14.3 °C, average precipitation of 911 mm, and average evaporation of 917 mm. In each year, the experiment was implemented in a field with an area of about 600 m2, and the field was divided into three plots (10 m × 15 m) for repeated tests. To avoid the influence caused by lateral migration of water, a 3 m long isolation zone was set between plots. The summer maize was sown on 15 June 2018 and 12 June 2019, and the variety was “Longping 206”. Furthermore, according to the field planting density of summer maize in the Huaibei Plain, the density in each plot was 65,000 plants/hm2. The application rate of compound fertilizer was 750 kg/hm2, and the urea was 300 kg/hm2.
The field experiments aimed to verify the simulation effect of the growth and yield formation process of summer maize under natural drought conditions by the AquaCrop model. Therefore, in the experiments during the 2018 and 2019 seasons, a completely rain-fed mode without irrigation for summer maize was designed. The soil in the field tillage layer was the typical Shajiang black soil of the Huaibei Plain [22]. In addition, during the experiment period, the field management measures in all experimental plots were consistent, so as to ensure the normal growth and development of summer maize plants.
According to the growth records of summer maize at the station over many years, and the studies on growth stage division of maize [30,35,36], the whole growth period of summer maize in the experiments was divided into four stages, i.e., the seedling stage, jointing stage, tasseling stage, and filling and ripening stage. Moreover, the whole growth process of maize was monitored, and some plants with uniform growth were randomly selected at each stage from each plot for destructive tests. The test items are described as follows.
2.5.1. Canopy Cover Degree
The WinFOLIA leaf image analysis system (Version: 2007b Basic, Regent Instruments Inc., Canada, Quebec, QC) and a scanner (CanoScan LiDE 90, Canon Inc., Que Vo, Vietnam) were used to scan the leaf area per maize plant sample. The leaf area index of the whole plant was obtained by accumulation. The average value of leaf areas for all samples in a plot was regarded as the leaf area index per plant. Furthermore, the canopy cover degree of each maize plant is shown as follows:
where LAI and CC represent the leaf area index and canopy cover degree per plant.
2.5.2. Aboveground Biomass
The bottom of the maize stem was cut off to obtain the complete aboveground part. Each part (leaf, stem, spike, and seed) was separated and cleaned and put into a drying oven at 105 °C for one hour. The sample was dried at 80 °C until the weight was constant. Then, an electronic balance (TD30K-0.1, Tianjin Balance Instrument Co., Ltd., Tianjin, China) was used to weigh the total amount of aboveground dry matter for each plant. The average value of all samples in each plot was the aboveground biomass.
2.5.3. Seed Yield
All maize fruits in each plot were taken down and put into a numbered yarn bag and then were exposed uniformly outdoors until the weighs were constant. After the extraction of maize seeds, an electronic balance (TD30K-0.1, Tianjin Balance Instrument Co., Ltd., China, Tianjin) was used to weigh the total amount of seeds in each plot. The average value of all samples in each plot was the seed yield of maize.
2.6. Summer Maize Drought Loss Assessment
2.6.1. Input of AquaCrop Model
The input parameters of the AquaCrop model mainly included meteorological parameters, crop parameters, soil parameters, and field management parameters.
- (a)
- Meteorological parameters
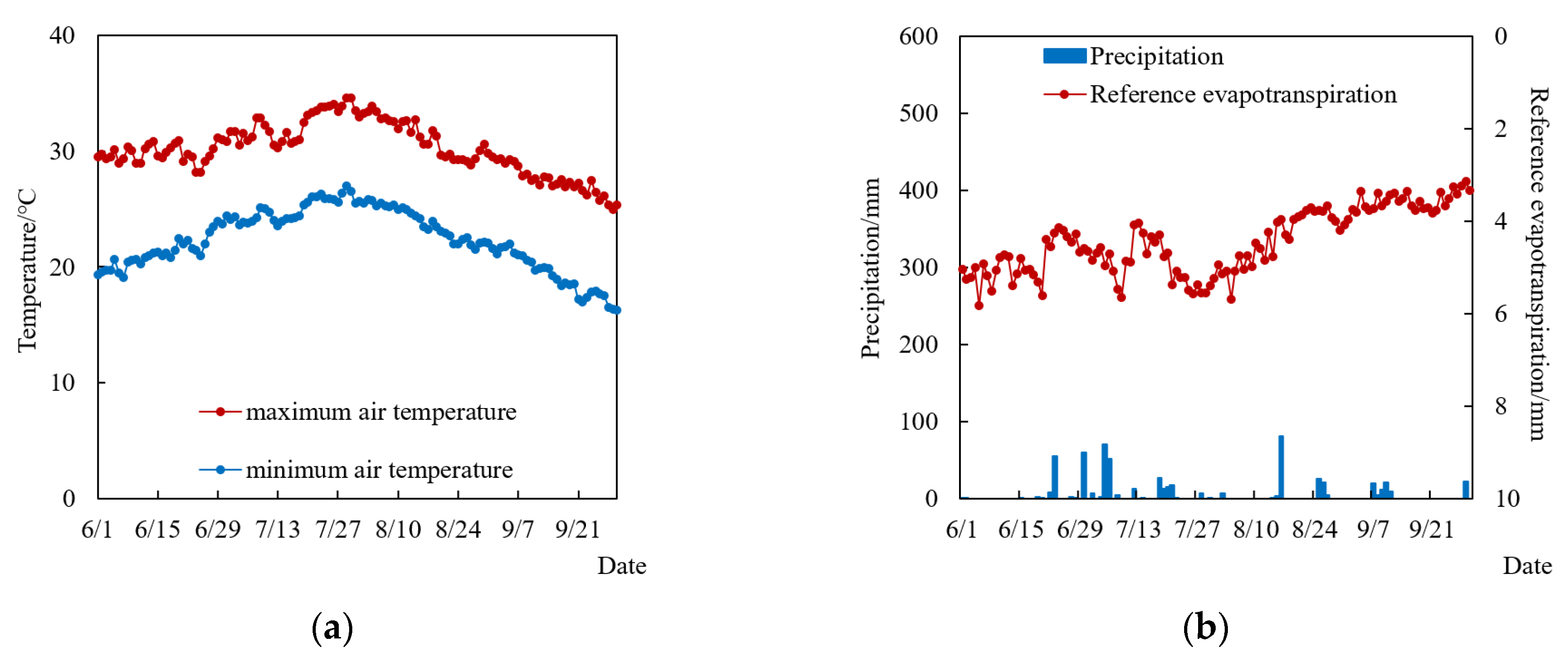
Meteorological parameters mainly included daily maximum air temperature, minimum air temperature, precipitation, CO2 concentration, and reference crop evapotranspiration ET0. The daily meteorological data in this study were obtained from the automatic meteorological station at Xinmaqiao station. The daily maximum and minimum air temperature during the whole growth period of summer maize at the station in 2018 and 2019 are shown in Figure 4. Furthermore, ET0 was obtained by the “ET0 calculator” recommended by the FAO [25]. The parameters required for the calculator, including daily maximum and minimum air temperature, relative humidity, wind speed, and hours of sunshine, were also provided by the automatic meteorological station. The daily precipitation and ET0 during the whole growth period of maize in 2018 and 2019 are shown in Figure 5. The CO2 concentration was obtained from the data of Mauna Loa CO2 in the AquaCrop model [25].
Figure 4.
Daily maximum and minimum air temperature during the whole growth period of summer maize at the experimental station. (a) 2018 season; (b) 2019 season.
Figure 5.
Daily precipitation and reference evapotranspiration during the whole growth period of summer maize at the experimental station. (a) 2018 season; (b) 2019 season.
- (b)
- Crop parameters
Crop parameters were determined according to the crop types (C3 or C4 crops, grain, tuber, or vegetable crops) and the actual situation of crop planting. These mainly included planting density, growth stage, canopy expansion, and root growth parameters, as well as those parameters that reflected the influences of various stress conditions (water, fertility, and temperature) on crop growth. The AquaCrop model manual provides the reference values or reference range of some physiological parameters for summer maize [25,47]. Specifically, for some physiological parameters that did not change with the planting time and location, this study adopted the reference values in the manual. However, for those that changed with the planting conditions, this study further calibrated and verified them based on the data of summer maize field experiments, i.e., the localization of the AquaCrop model.
- (c)
- Soil parameters
Soil parameters mainly included the number of soil layers as well as the thickness, texture, and physical and chemical properties of each layer. The experimental soil in this study was Shajiang black soil, a kind of medium and low yield field soil with poor physical and chemical properties, adhesive texture, and permeability [22]. The summer maize selected in this study had a developed root system. In addition, a previous study reported that the proportion of maize root weight in the soil layer of 0–10 cm is 75.6%, and 94.4% of root weight is distributed in the tillage layer of 0–40 cm [48]. Some have proposed that the maize root is mainly distributed in the soil layer of 0–40 cm, with little in the layer of 60–80 cm [49]. Some have found that the root system of maize during the seedling stage is distributed in a shallow soil layer, mainly between 0–20 cm. After the jointing stage, the root quickly reached about 100 cm underground during the tasseling stage [50]. Therefore, this study set three soil layers in combination with previous studies of the properties of Shajiang black soil [51,52] and input the soil parameters into the AquaCrop model (Table 1).
Table 1.
Main soil parameters input into AquaCrop model.
- (d)
- Field management parameters
Field management parameters included field management and irrigation management measures. Field management measures included fertilization level, farmland coverage, and covering materials, which were input according to the actual experimental situation. Irrigation management measures included irrigation method and irrigation schedule. In this study, the field experiments of maize were conducted under rain-fed conditions without irrigation; thus, the irrigation management parameters did not need to be set.
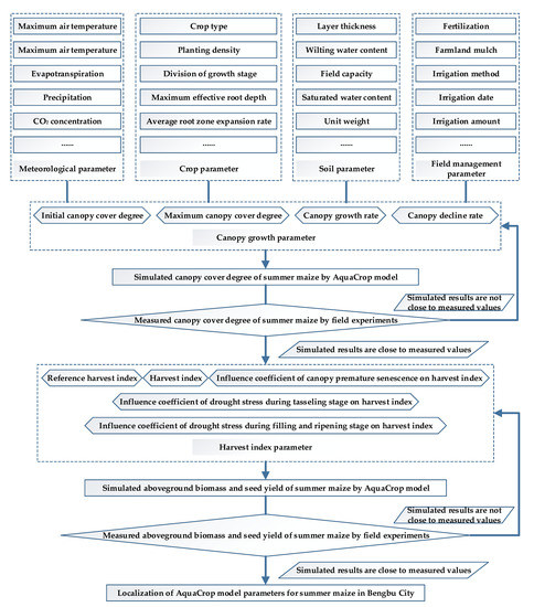
2.6.2. AquaCrop Model Parameter Calibration
The AquaCrop model manual listed the reference values or reference range of some physiological parameters of summer maize. However, some parameters that changed with planting conditions needed to be optimized according to the actual experimental situation. In this study, the data of maize field experiments in the 2019 season were used for calibration of AquaCrop model parameters, and those in 2018 were used for parameter verification. The process of AquaCrop model parameter calibration is shown in Figure 6.
Figure 6.
Process of AquaCrop model parameter calibration and verification.
In the process of AquaCrop model parameter calibration (Figure 6), canopy cover degree, aboveground biomass, and seed yield were selected as the objective functions. Firstly, the required meteorological parameters, soil parameters, field management parameters, and appropriate initial values of partial crop parameters referring to the AquaCrop model manual [47] were input into the model. Then, the values of crop parameters were adjusted continuously until the simulated canopy cover degrees approached the field measured results. Secondly, the remaining crop parameters were input and adjusted until the simulated aboveground biomass and seed yield were close to the measured values.
Partially calibrated crop parameters in the AquaCrop model are shown in Table 2. Other crop parameters adopt the reference values given in the AquaCrop model manual.
Table 2.
Partially calibrated crop parameters input into AquaCrop model.
2.6.3. Validity Test of AquaCrop Model
To reasonably evaluate the fitting degree between the simulated results of the calibrated AquaCrop model and the field measured values, relative error (RE) and root mean squared error (RMSE) were used to quantify the simulation accuracy of the AquaCrop model:
where OVn and SVn are the measured and simulated values of canopy cover degree (aboveground biomass or seed yield), respectively. N is the number of maize samples.
2.6.4. Summer Maize Yield Loss Rate Calculation
The average value of many years for each meteorological parameter from the Bengbu National Meteorological Station was used as the input under normal meteorological conditions, while the meteorological data in each year corresponding to the actual drought events (during the growth period of summer maize) was used as the input under drought conditions. Meanwhile, combined with the irrigation scenarios that had been set, various irrigation management measures were input into the calibrated AquaCrop model to simulate the maize yields under normal and drought conditions. Thus, the yield loss rate LS of maize under different drought resistance capacities is calculated as follows:
where YN is the summer maize yield under the normal meteorological conditions, and YD is the maize yield under the actual drought events and different drought resistance capacities.
2.7. Summer Maize Drought Diasater Loss Risk Curve Establishment
In this study, the summer maize drought disaster loss risk curve was a set of curves between drought frequency and the corresponding maize yield loss rate under various drought resistance capacities (Figure 7). According to the water requirement characteristics and irrigation schedule of summer maize in Bengbu City, the amount of irrigation water, which was 0%, 50%, and 100% of the actual irrigation quota, was set and input into the calibrated AquaCrop model to simulate the maize yields under different resistance capacities during the same drought event period. Furthermore, the “drought frequency–drought resistance capacity–yield loss rate” summer maize drought disaster loss risk curve was established using the following formula:
where P is the drought frequency, and a and b are the parameters of summer maize drought disaster loss risk curve.
Figure 7.
Drought disaster loss risk curve between drought frequency and the corresponding crop yield loss rate under various drought resistance capacities.
3. Results
3.1. Drought Frequency Analysis
The drought index SPI1 and run theory were used to identify the drought events in Bengbu City from 1982 to 2017, and 19 drought events during the growth period of summer maize were selected. Then, the drought duration and drought intensity of each event were extracted. The empirical frequency points of drought duration and drought intensity of these 19 drought events were fitted, the results are shown in Figure 8 and Table 3. The degree of fitting between the P-III distribution curve and empirical frequency points were both higher than 0.90, indicating that the P-III distribution curve method had a good fit with the univariate probability distributions of drought duration and drought intensity for the drought events during the growth period of summer maize in Bengbu City.
Figure 8.
P-III distribution curves of drought duration and drought intensity for drought events during the growth period of summer maize in Bengbu. (a) Drought duration; (b) drought intensity.
Table 3.
P-III function parameters of drought duration and drought intensity for drought events during the growth period of summer maize in Bengbu.
The joint probability distribution function for drought duration and drought intensity was calculated by the G-H copula as shown in Figure 9; θ = 1.02.
Figure 9.
The joint probability distribution of drought duration and drought intensity for drought events during the growth period of summer maize in Bengbu.
The drought duration–drought intensity joint probability was the x-coordinate, and the drought intensity of the corresponding drought event was the y-coordinate. The power function, exponential function, and semilogarithmic function were used to fit the relationship, and the results are shown in Table 4. The degree of fitting of the semilogarithmic function was relatively high (R2 = 0.94). Therefore, semilogarithmic function was selected to establish the quantitative relationship between drought duration–drought intensity joint drought frequency and drought intensity for 19 drought events during the growth period of summer maize in Bengbu City, i.e., drought hazard curve, as shown in Figure 10.
Table 4.
Parameters of drought hazard curve in Bengbu.
Figure 10.
The drought hazard curve between drought frequency and drought intensity in Bengbu.
From Figure 10, as the drought duration–drought intensity joint frequency increased, drought intensity declined. There was a strong correlation between these two. Among 19 drought events during the growth period of maize in Bengbu from 1982 and 2017, there were 15 events whose drought frequency was between 0.2–0.8. Furthermore, the drought intensity was basically below 2.0; the events whose intensity were larger than 3.0 were fewer. This reflected that droughts occurred frequently during the growth period of summer maize in Bengbu, with most of them mild droughts with low intensity. These were consistent with the drought identification results in Cheng et al. [37] and Duan et al. [39].
3.2. AquaCrop Model Simulation Analysis
3.2.1. Canopy Growth Process Simulation Analysis
Canopy cover degree was used to describe the growth of summer maize leaves. The canopy cover degree of maize measured in the field experiments and the simulated results of the AquaCrop model are shown in Figure 11. According to Figure 11a, the canopy growth processes of maize plants under natural conditions without irrigation in 2018 and 2019 were basically consistent, and the maximum canopy cover degree in 2019 was slightly higher than that in 2018. In addition, the calibrated AquaCrop model accurately simulated the dynamic change of canopy cover degree with the growth of maize plants in 2018 and 2019. From Figure 11, the degree of fitting for low canopy cover was slightly worse than that in the second stage, i.e., the stable stage, which was the rapid growth period of the canopy. This was mainly influenced by the canopy growth rate in the AquaCrop model parameters. Furthermore, there were only a few observed canopy cover degrees during the seedling and tasseling stages in 2018, which also caused a certain impact on simulation accuracy. The RMSE of simulated canopy cover degree relative to the measured values in the field experiments in 2018 and 2019 was 0.067 and 0.079, respectively. In addition, there was a satisfactory correlation between the simulated and measured values (R2 = 0.99) (Figure 11b). The linear regression fitting function passed through the point of origin, while the simulated results were overall less than the observed values, especially during the period of low canopy cover. Therefore, it is considered that a good degree of fit was achieved between the simulated canopy growth by the AquaCrop model and the field measured results.
Figure 11.
Simulated canopy growth processes of summer maize during 2018 and 2019 seasons in Bengbu by the calibrated AquaCrop model. (a) Results comparison; (b) results correlation.
3.2.2. Aboveground Biomass Accumulative Process Simulation Analysis
The aboveground biomass accumulative process of plants is an important index to measure the productivity and development of maize. From Figure 12a, after parameter localization, the AquaCrop model well simulated the aboveground biomass accumulative process of summer maize plants in 2018 and 2019. As the number of planting days increased, maize plants gradually grew up, and the total amount of aboveground biomass continuously increased. Moreover, the accumulative rate firstly increased and then declined. Similar to canopy growth, the accumulative process of aboveground biomass under natural conditions without irrigation in 2018 and 2019 was basically consistent in the early growth period. However, when the maize plant grew to about 80 days, the aboveground biomass in 2019 was larger than that in 2018 until harvest. The RMSE of simulated aboveground biomass by the AquaCrop model relative to the field observed values in 2018 and 2019 was 0.755 and 0.966, respectively. There was a satisfactory correlation between simulated and measured results (R2 = 0.99), and the linear regression fitting function passed through the point of origin (Figure 12b). This indicated that there was an accurate fitting between the simulated accumulative process of aboveground biomass for summer maize by the AquaCrop model and the measured values in field experiments.
Figure 12.
Simulated accumulative processes of aboveground biomass for summer maize during 2018 and 2019 seasons in Bengbu by the calibrated AquaCrop model. (a) Results comparison; (b) results correlation.
3.2.3. Yield Simulation Analysis
The comparison between the simulated aboveground biomass at harvest and yield per unit area obtained by the AquaCrop model and the field observed values is shown in Table 5. The simulated aboveground biomass and yield in 2018 were both lower than those in 2019, which accorded with the measured results in field experiments. Furthermore, the relative error (RE) between the simulated and measured values of aboveground biomass at harvest in 2018 and 2019 were 1.38% and 1.79%, respectively, and the RE of yield per unit area was 0.67% and 0.31%. Overall, the simulated results were slightly larger than the measured values. The relative errors were quite small, indicating that the calibrated and verified AquaCrop model well simulated the growth and yield formation process of summer maize in Bengbu, and the crop parameters after localization were reasonable and accurate. Therefore, the drought disaster loss simulation of summer maize in Bengbu can be effectively implemented based on the calibrated AquaCrop model.
Table 5.
Comparison between simulated aboveground biomass at harvest and yield per unit area by the calibrated AquaCrop model and field measured values of summer maize during 2018 and 2019 seasons in Bengbu.
3.3. Summer Maize Drought Loss Simulation Analysis
3.3.1. Determination of Data under Normal Meteorological Conditions
The daily maximum and minimum temperature under normal meteorological conditions took the average values of daily data from the Bengbu National Meteorological Station from 1982 to 2017. The daily reference crop evapotranspiration was calculated by the “ET0 calculator”; the required parameters took the average values of daily data from the Bengbu Station from 1982 to 2017. CO2 concentration was obtained from the data of Mauna Loa CO2 in the AquaCrop model. In addition, the daily precipitation was constructed from each month during the growth period of summer maize from the Bengbu Station from 1982 to 2017 combined with the corrected GSMap_Gauge precipitation product. Taking June as an example, the average value of monthly precipitation in June from 1982 to 2017 was obtained, and the precipitation in June of each year was compared with the average value; the daily precipitation that was closest to the average value was selected as the data under normal meteorological conditions. The daily maximum and minimum air temperature, precipitation, and reference crop evapotranspiration under normal meteorological conditions during the growth period of summer maize are shown in Figure 13.
Figure 13.
Daily maximum and minimum air temperature, precipitation, and reference evapotranspiration under normal meteorological conditions during the growth period of maize in Bengbu. (a) Maximum and minimum air temperature; (b) precipitation and reference evapotranspiration.
3.3.2. Summer Maize Yield Loss Simulation Analysis
The data under the normal meteorological conditions were input to the calibrated AquaCrop model, and the yield per unit area of summer maize under normal meteorological conditions in Bengbu was obtained. Then, the meteorological data under the actual drought events during the growth period of maize from 1982 to 2017 were input into the AquaCrop model, and the yield per unit area of maize during each drought period was obtained. Furthermore, compared with the yield under the normal meteorological conditions, the corresponding yield loss rate caused by each drought event was determined, as shown in Table 6.
Table 6.
Simulated yield losses of summer maize under each drought event in Bengbu from 1982 to 2017 by the calibrated AquaCrop model.
The average yield per unit area under drought events for summer maize in Bengbu was 4.483 t/hm2, and the yield loss was 1.455 t/hm2. The average yield loss rate per unit area was 24.51%, which accounted for approximately 1/4 of the total yield. This reflected that droughts caused a severe impact on the summer maize growth in Bengbu, resulting in significant yield losses. In addition, serious yield reduction happened in 1988, 1992, 1994, 2001, and 2004, which is in agreement with the findings of Zhang et al. [53], Sun et al. [54], and Gao et al. [40]. The largest yield loss rate was in 2001, at up to 65.58%. According to the historical drought data in Bengbu, the period of 1990–1992 was three continuous drought years, 1994–1995 were the most severe drought years, and 2000–2001 was another period of serious drought, following 1978 and 1994 [15]. For instance, in 2001, the precipitation in Anhui Province was low; the flood season encountered an empty plum rain period [55]. On July 27, the upstream water level of Bengbu Sluice declined to the lowest value for the same period in history [40]. The government of Bengbu City took emergency measures and gave priority to the urban water supply, which caused a great reduction of maize production. This indicates that the maize yield losses simulated by the AquaCrop model were basically consistent with the actual drought situations in agricultural production for Bengbu.
3.4. Summer Maize Drought Disaster Risk Loss Curve Analysis
According to the analysis of crop irrigation experiments in the Huaibei Plain of Anhui Province, water consumption during the growth period of the main crops in this region, such as maize [56], wheat [57], and soybean [58], were basically equal to the mean annual precipitation in the same period. However, due to the uneven distribution of precipitation, additional irrigation was required in most cases. Based on the experiments of crop water production function conducted at Xinmaqiao station from 1996 to 2001, some studies established models of optimal irrigation schedules for the four main crops in various types of hydrological years in the Huaibei Plain of Anhui Province [56]. The optimal irrigation schedule of summer maize in Bengbu City is shown in Table 7.
Table 7.
Optimal irrigation schedule and economical irrigation quota of summer maize in Bengbu.
From Table 7, the irrigation times and irrigation amounts during the growth period of summer maize increased with the reduction of precipitation, which can effectively increase the water supply and reduce the adverse impact on maize plants in drought years. For the hydrological years of 50%, 75%, and 95%, the corresponding economical irrigation quota of summer maize in Bengbu was 45 mm, 125 mm, and 225 mm, respectively. The optimal irrigation schedule of maize indicated that the irrigation time was basically concentrated in the jointing and tasseling stages. This reflected that the precipitation during this period in Bengbu was relatively low and could not meet the large water demand of maize plants for growth and development. In addition, the jointing stage and the tasseling stage were two key stages in which the growth of maize was quite sensitive to drought stress. The maize drought sensitivity results are consistent with the study of Wei et al. [59].
Based on the above research results and Industry Water-use Quota for Anhui Province (DB34/T 679—2019) and considering the practical field planting situation of summer maize in the Huaibei Plain of Anhui Province, the irrigation management measures in the AquaCrop model were set. Specifically, the irrigation method was flood irrigation, and irrigation dates were July 5 (jointing stage) and August 5 (tasseling stage). Moreover, three irrigation levels, which were 100% irrigation (45 mm on each irrigation date), 50% irrigation (22.5 mm on each irrigation date), and without irrigation, were set. Correspondingly, three irrigation scenarios (100%, 50%, and without drought resistance capacity scenarios) were arranged, as shown in Table 8. Consequently, the meteorological data of each actual drought event during the growth period of summer maize were input to the calibrated AquaCrop model to obtain the yield loss rates caused by each event under various irrigation levels. Then, the semilogarithmic function was adopted to fit the summer maize drought disaster loss risk curve between drought frequency and the corresponding yield loss rate under different irrigation levels (i.e., different drought resistance capacities) in Bengbu, as shown in Figure 14 and Table 9.
Table 8.
Irrigation scenarios set for simulating different drought resistance capacities.
Figure 14.
Summer maize drought disaster loss risk curve in Bengbu City.
Table 9.
Function parameters of summer maize drought disaster loss risk curve in Bengbu City.
According to Table 9, the semilogarithmic function was used to fit the quantitative relationships between drought frequency and the corresponding yield loss rate of maize under different irrigation levels, and the determination coefficients R2 were all higher than 0.90. This indicates that there was a significant correlation between the drought frequency of the identified drought events during the growth period of summer maize in Bengbu and the corresponding yield loss rate simulated by the calibrated AquaCrop model. From Figure 14, as the drought frequency declined, the yield loss rate of maize continuously increased. That is, the drought disaster loss risk of maize continuously increased with the increase of drought hazard; the quantitative relationship between these two as fitted by the semilogarithmic function is reliable and precise, which reflects the drought-causing disaster mechanism and the system structure of drought disaster risk.
From Figure 14, the loss risk curve of maize without irrigation was significantly higher than that with irrigation, and the curve with 100% irrigation was lower than that with 50% irrigation. That is, under the same drought hazard, as the drought resistance capacity increases, the loss risk reduces significantly, which is in accordance with the physical mechanism of drought disaster risk [9,22]. This suggests that irrigation during the drought period can effectively relieve the yield loss of maize, and the stronger the drought resistance capacity, the smaller the loss [59]. For the droughts with frequency between 0.2–0.8, 100% irrigation reduced the yield loss rate to below 10%. Especially when the drought frequency was higher than 0.8, 100% irrigation basically prevented the drought loss. This indicates that for the droughts with high frequency and low intensity, adding timely irrigation is of great significance for avoiding yield loss of summer maize [30]. Nevertheless, for the droughts with frequency lower than 0.2, the loss reduction effect of irrigation was far less than that for droughts with high frequency. This phenomenon may be related to the fact that the irrigation water amount for summer maize set in this study is lower than the economical irrigation quota in Table 7, which cannot compensate for the water demand of plants after suffering from drought stress. Alternatively, this may be due to the fact that the drought intensity is too high and that drought stress causes irreversible damage to summer maize plants; thus, the loss mitigation effect of irrigation decreases. These are consistent with the compensation effect of irrigation for different drought degrees in the studies of Cui et al. [58,60].
For droughts with frequency between 0.3–0.5, as seen in Figure 14, the yield loss rate also increased with the adding of drought frequency, which was related to the occurrence time and intensity of drought events. For the identified drought events in Bengbu City, some differ in the occurrence time but have similar drought frequency between 0.3–0.5. However, the sensitivity of maize growth and development to drought stress at different growth stages is markedly different, so that the recovery effects of irrigation at different stages are different. These are in accordance with the phenomenon that the maize sensitivity to drought stress at different growth stages is significantly different, as obtained by Wang et al. [20] and Wei et al. [59]. Therefore, although there is similar drought frequency with various occurrence times, the yield losses are different. As a whole, the curves under three irrigation levels still meet the physical mechanism of drought disaster risk. That is, under the same drought resistance capacity, as the drought frequency increases, the yield loss declines.
4. Discussions
Drought disaster risk has a clear chain transmission system structure, which includes an element structure of drought hazard (H), drought disaster vulnerability (V), and drought disaster loss risk (R), and a relation structure that R is derived from H by the transformation of V. For the specific functional relationship, the drought disaster loss risk curve between drought frequency and crop losses is obtained from the transformation of the drought hazard curve between drought frequency and drought intensity, by the drought disaster vulnerability curve between drought intensity and crop losses (Figure 15). Moreover, drought intensity is the key intermediate variable in the process. Hence, the established loss risk curve in this study fully reflects the formation mechanism of drought disaster risk.
Figure 15.
Chain transmission process of drought disaster loss risk curve. (a) Drought hazard curve; (b) drought disaster vulnerability curve; (c) drought disaster loss risk curve.
The loss risk curve established in this study provides effective support for the system structure of drought disaster risk, i.e., the drought hazard is transformed into drought disaster loss risk by the vulnerability of the drought disaster–bearing body. This is the same as the chain transmission theory of drought disaster risk proposed by Jin et al. [61]. Furthermore, this study shows that the semilogarithmic risk curve between drought frequency and the corresponding yield loss rate quantitatively describes the drought disaster risk and basically agrees with the relevant research on drought disaster risk assessment by Zhang et al. [14], Yin et al. [23], and Wang et al. [24]. In addition, from the perspective of practical significance, in Figure 14, the x-coordinate represents drought frequency, and the y-coordinate represents crop yield loss rate under different irrigation levels, which visually reflects the physical meaning of drought disaster risk [15,22]. Moreover, Figure 14 can be used to quickly estimate the possible yield loss of summer maize in various drought and irrigation scenarios, which provides a scientific guarantee to conduct a reasonable assessment of drought loss and an effective response to drought disaster risk for Bengbu City.
The drought disaster risk curve cluster under various drought resistance capacities built in this study can accurately evaluate the potential losses when encountering droughts with different frequencies in the future. Then, appropriate drought resistance measures can be taken in advance or not, according to the acceptable drought disaster risk (crop yield loss rate) threshold, which provides key decision support for risk prevention and control and effectively reduces losses. Furthermore, this curve cluster is a fundamental work for assessing drought disaster risk under the actual drought resistance capacity.
In fact, the drought resistance capacity is generally not constant but decreases with the increase of drought severity. The lower the drought frequency, the lower the available water resource amount, and the weaker the drought resistance capacity. Therefore, to assess the drought disaster risk under an actual drought resistance capacity, firstly, the quantitative relationship between drought resistance capacity and drought frequency should be built. For a given frequency, the actual resistance capacity can be obtained. Then, according to the established loss risk curve cluster under various resistance capacities in this study (Figure 7), the crop yield loss rate under the given frequency and resistance capacity can be obtained by interpolation. Thus, the loss risk curve between drought frequency and the corresponding crop yield loss rate under the actual drought resistance capacity is established, which may represent important future work on the basis of this study.
Precipitation is the most direct drought disaster-inducing factor and is usually adopted to construct the drought index; thus, the precision of precipitation data markedly affects the results of drought event identification and drought disaster risk assessment. Normally, precipitation data use the observations from ground-based meteorological stations. However, due to the influences of geographic, economic, external environment, and other factors, the station network is usually sparsely and unevenly distributed, lacking good temporal continuity and spatial consistency. In addition, precipitation has a large variability of temporal and spatial distributions and a strong uncertainty, especially for extreme precipitation events, such as droughts. Therefore, for the ground-based meteorological station, it is difficult to provide precipitation information with high temporal and spatial resolutions in a large range. The missing and abnormal precipitation observations from meteorological stations are usually difficult to obtain by spatial interpolation. Thus, when the available stations are sparse, the calculated drought index according to the station observations cannot accurately depict the actual drought situations on a regional scale. In recent years, with the rapid development of remote sensing and data inversion techniques, a range of precipitation products based on satellite remote sensing inversion have been released, which have a wide scale coverage and high temporal and spatial resolutions. These remote sensing data effectively make up for the lack of ground station spatial distribution, provide a new data source for the calculation of drought index, which improves the precision of drought identification and drought disaster risk assessment.
This study replaced the missing and abnormal precipitation observations from 1982 to 2017 in Bengbu City from the Bengbu National Meteorological Station with the corrected GSMaP_Gauge satellite products. According to the results of drought event identification (Figure 8 and Table 3) and the drought hazard curve (Figure 9), the adjusted GSMaP_Gauge data were well matched with the ground station observations. The fused precipitation data were accurately used to identify the drought process combined with drought index SPI in Bengbu. This may be due to the fact that the GSMaP_Gauge is a satellite precipitation product adjusted by the CPC global gauge dataset. Therefore, the satellite remote sensing data play an important role in this study. GSMaP_Gauge provides a valid precipitation data source for supplementing the Bengbu station, which lays the data foundation for system structure–based drought disaster risk quantitative assessment in Bengbu. In addition, this study verifies the effectiveness of fusion between station precipitation data and the GSMaP_Gauge product, providing an effective way to further conduct regional or large-scale drought disaster risk study using remote sensing data.
This study uses the field experimental data, meteorological data, and soil and crop parameters provided by Xinmaqiao station to calibrate the AquaCrop model and then calculate the drought disaster loss risk of summer maize in Bengbu City. Firstly, the Xinmaqiao experimental station (33°09′N, 117°22′E) is located in the center of Bengbu City (32°43′N–33°30′N, 116°45′E–118°04′E) (Figure 16), close to the Huaihe River; it has the typical climate characteristics of temperate and subtropical monsoon transition zones, like Bengbu. Specifically, the mean monthly precipitation and reference crop evapotranspiration in Xinmaqiao station and Bengbu City are highly consistent (Figure 17). Meanwhile, the main daily meteorological indexes during the growth period of summer maize (June to September) for the 2018 season in Xinmaqiao station are all very close to those in Bengbu (Figure 18). Furthermore, the soil (Shajiang black soil) and maize variety (Longping 206) used in Xinmaqiao station are the main types in Bengbu. Therefore, it can be considered that the data provided by Xinmaqiao station are representative for the whole Bengbu area. In addition, if the experimental conditions are sufficient, multiple stations’ data will be further applied to the drought disaster risk assessment of Bengbu City in future work.
Figure 16.
Location of Xinmaqiao experimental station in Bengbu City.
Figure 17.
Comparison between mean monthly precipitation and reference evapotranspiration in Xinmaqiao station and Bengbu City. (a) Precipitation; (b) reference evapotranspiration.
Figure 18.
Correlations between main daily meteorological indexes during the growth period of summer maize for the 2018 season in Xinmaqiao station and Bengbu City. (a) Maximum air temperature; (b) minimum air temperature; (c) precipitation; (d) reference evapotranspiration.
Based on the reference values of maize crop parameters in the AquaCrop model manual [47], this study further adopts two-season field experiment data to calibrate and verify partial crop parameters, which change with the actual planting conditions (Table 2). Firstly, the simulated canopy cover degree (Figure 11), aboveground biomass (Figure 12), and biomass yield (Table 5) of summer maize in Bengbu using the calibrated parameters indicate that the simulated results are all highly consistent with the field measured values; the simulation accuracy meets the requirements. Furthermore, the simulated yield losses of maize caused by severe droughts in Bengbu from 1982 to 2017 (Table 6) are all in accordance with the historical drought situations [41,55] and relevant studies [40,52,53]. In addition, the calibrated maize crop parameters in this study (Table 2) are basically consistent with the studies of Han et al. [62], Wolka et al. [63], and Wu et al. [64], who obtained the parameters by field experiments in the Heihe River Basin of China, the BokoleKartha watershed of southwest Ethiopia, and Wuwei City of northwest China, respectively. Therefore, it can be considered that the obtained crop parameters of summer maize for the AquaCrop model in Table 2 are reasonable. Moreover, these parameters can be further verified and modified by continuous field experiments in future work.
The crop parameter of maximum canopy cover in the AquaCrop model for summer maize in this study is 78%. First, the simulated canopy cover degrees are highly consistent with the field measured results (Figure 11). Then, the measured samples of maize maximum canopy cover degree in 2018 and 2019 seasons are only 80.15% and 85.00%, respectively. The field experiments in this study are conducted under a rain-fed condition; the water demand of maize plants cannot be fully met. According to the measured gravimetric soil water content during the growth period of maize (Figure 19), the values are basically lower than 75% field capacity (19.65%). Furthermore, the measured yields per unit area in 2018 and 2019 seasons are 5.54 t/hm2 and 5.88 t/hm2 (Table 5), respectively, which are both less than that under normal meteorological conditions (5.94 t/hm2). This reflects that there is significant drought stress for maize plant growth in the experiments, resulting in a maximum canopy cover degree of only about 80%. Similar results were proposed by Abedinpour et al. [65], who found that the maximum canopy cover degree of maize decreased with the declining of soil water content in New Delhi, India; those under full irrigation and rain-fed conditions were about 90% and 80%, respectively. Moreover, the maximum canopy cover parameter of 78% may be related to the planting density, meteorological conditions, and maize variety [66]. A relatively low maximum canopy cover parameter of maize in the AquaCrop model was also obtained in some studies. Nyakudya et al. [66] calibrated the parameter of maximum canopy cover CCx for rain-fed maize in a semi-arid region of Zimbabwe by field experiments in various sites, and the CCx in the Magaranhewe site and Chongma site was 70% and 65%, respectively. Ran et al. [67] presented that the calibrated CCx for summer maize in an arid region of northwest China during the 2012 and 2013 seasons was 85%, and the field measured maximum canopy cover degree was about 80%. Furthermore, in the study of Li et al. [68], the calibrated CCx for summer maize in the Shijin irrigation district of North China was 80%. Therefore, it can be considered that the CCx of 78% for maize in this study is reasonable.
Figure 19.
Field measured gravimetric soil water content during the growth period of summer maize in 2018 season.
5. Conclusions
In this study, the drought events and characteristic variables during the growth period of summer maize in Bengbu from 1982 to 2017 were identified, and the drought frequency of double variables was calculated. In addition, the AquaCrop model was used to simulate the yield loss of maize based on field experiments in 2018 and 2019. Finally, the loss risk curves between drought frequency and the corresponding yield loss rate under different drought resistance capacities were established. The conclusions are as follows:
- (1)
- The P-III distribution curve method well fitted the univariate probability distributions of drought duration and drought intensity. Furthermore, the semilogarithmic function quantitatively described the drought hazard curve between drought duration–drought intensity joint drought frequency and drought intensity. Among 19 drought events, there were 15 events whose drought frequency was 0.2–0.8. Moreover, the drought intensity was basically below 2.0; the events whose intensity was larger than 3.0 were less. Therefore, droughts occurred frequently during the growth period of summer maize in Bengbu, though most of them were mild droughts with low intensity.
- (2)
- The RMSE of simulated maize canopy cover degree by the AquaCrop model relative to the field measured results in 2018 and 2019 was 0.067 and 0.079, respectively. The RMSE of aboveground biomass was 0.755 and 0.966. In addition, the relative error (RE) between the simulated and measured aboveground biomass at harvest in 2018 and 2019 was 1.38% and 1.79%, respectively. The RE of yield per unit area was 0.67% and 0.31%. Therefore, the optimized crop parameters were effective; the calibrated AquaCrop model accurately simulated the growth and yield formation process of summer maize in Bengbu.
- (3)
- The simulated average yield loss per unit area under 19 drought events identified during the growth period of summer maize in Bengbu from 1982 to 2017 was 1.455 t/hm2, and the yield loss rate was 24.51%. Droughts caused a severe impact on the summer maize production in Bengbu, resulting in significant yield losses. In addition, serious yield reduction happened in 1988, 1992, 1994, 2001, and 2004, and the largest yield loss rate was in 2001, at up to 65.58%. Therefore, the simulated yield losses were consistent with the actual drought situations in maize production for Bengbu.
- (4)
- The semilogarithmic function accurately depicted the summer maize drought disaster loss risk curve in Bengbu City. Under the same drought hazard condition, as the drought resistance capacity increased, the maize loss risk reduced significantly. Furthermore, for the droughts with frequency between 0.2–0.8, 100% irrigation reduced the yield loss rate of maize to below 10%. Especially when the frequency was higher than 0.8, 100% irrigation basically prevented the loss. Therefore, for the droughts with high frequency and low intensity in Bengbu, adding timely irrigation was a key measure to reduce the yield loss of maize. Nevertheless, for the droughts with frequency lower than 0.2, the loss reduction effect of irrigation was far less than that for the droughts with high frequency. This study provides an effective approach for quantifying the regional drought disaster loss risk and supporting the decisions of regional drought disaster risk management.
Author Contributions
Conceptualization, Y.C. and J.J.; methodology, Y.C. and J.J.; validation, H.T., Y.Z. and M.C.; resources, S.J.; writing—original draft preparation, Y.C.; writing—review and editing, H.T., J.J. and Y.Z.; visualization, S.J. and M.C.; funding acquisition, Y.C. and J.J. All authors have read and agreed to the published version of the manuscript.
Funding
This research was funded by the National Natural Science Foundation of China (grant Nos. 52109009, U2240223), the Natural Science Foundation of Anhui Province, China (grant Nos. 2108085QE254, 2208085QE179), and the Fundamental Research Funds for the Central Universities (grant No. JZ2021HGTA0165).
Data Availability Statement
The raw data supporting the conclusion of this article will be made available by the authors, without undue reservation.
Conflicts of Interest
The authors declare no conflict of interest.
References
- Kchouk, S.; Melsen, L.A.; Walker, D.W.; van Oel, P.R. A geography of drought indices: Mismatch between indicators of drought and its impacts on water and food securities. Nat. Hazards Earth Syst. Sci. 2022, 22, 323–344. [Google Scholar] [CrossRef]
- Hameed, M.; Ahmadalipour, A.; Moradkhani, H. Drought and food security in the Middle East: An analytical framework. Agric. For. Meteorol. 2020, 281, 107816. [Google Scholar] [CrossRef]
- Farrukh, M.U.; Bashir, M.K.; Hassan, S.; Adil, S.A.; Kragt, M.E. Mapping the food security studies in India, Pakistan and Bangladesh: Review of research priorities and gaps. Glob. Food Secur. 2020, 26, 100370. [Google Scholar] [CrossRef]
- Sheffield, J.; Wood, E.F.; Roderick, M.L. Little change in global drought over the past 60 years. Nature 2012, 491, 435–438. [Google Scholar] [CrossRef] [PubMed]
- Mccabe, G.J.; Wolock, D.M. Variability and trends in global drought. Earth Space Sci. 2015, 2, 223–228. [Google Scholar] [CrossRef]
- IPCC (Intergovernmental Panel on Climate Change). Managing the Risks of Extreme Events and Disasters to Advance Climate Change Adaptation: Special Report of the Intergovernmental Panel on Climate Change; Cambridge University Press: Cambridge, UK, 2012. [Google Scholar]
- Kim, J.S.; Park, S.Y.; Hong, H.P.; Chen, J.; Choi, S.J.; Kim, T.W.; Lee, J.H. Drought risk assessment for future climate projections in the Nakdong River Basin, Korea. Int. J. Climatol. 2020, 40, 4528–4540. [Google Scholar] [CrossRef]
- Qu, Y.P.; Hui, G.; Lv, J.; Su, Z.C.; Cheng, X.T.; Sun, H.Q. Agricultural drought disaster risk assessment in China based on the regional disaster system theory. J. Hydraul. Eng. 2015, 46, 908–917. [Google Scholar]
- Cui, Y.; Jin, J.L.; Bai, X.; Ning, S.W.; Zhang, L.B.; Wu, C.G.; Zhang, Y.L. Quantitative evaluation and obstacle factor diagnosis of agricultural drought disaster risk using connection number and information entropy. Entropy 2022, 24, 872. [Google Scholar] [CrossRef]
- Xie, Z.T.; Xu, J.P.; Deng, Y.F. Risk analysis and evaluation of agricultural drought disaster in the major grain-producing areas, China. Geomat. Nat. Hazards Risk 2016, 7, 1691–1706. [Google Scholar] [CrossRef]
- Yu, X.B.; Li, C.L.; Huo, T.Z.; Ji, Z.H. Information diffusion theory-based approach for the risk assessment of meteorological disasters in the Yangtze River Basin. Nat. Hazards 2021, 107, 2337–2362. [Google Scholar]
- Ma, Y.N.; Guga, S.; Xu, J.; Liu, X.P.; Tong, Z.J.; Zhang, J.Q. Assessment of maize drought risk in Midwestern Jilin Province: A comparative analysis of TOPSIS and VIKOR models. Remote Sens. 2022, 14, 2399. [Google Scholar] [CrossRef]
- Villani, L.; Castelli, G.; Piemontese, L.; Penna, D.; Bresci, E. Drought risk assessment in Mediterranean agricultural watersheds: A case study in Central Italy. Agric. Water Manag. 2022, 271, 107748. [Google Scholar] [CrossRef]
- Zhang, F.; Chen, Y.N.; Zhang, J.Q.; Guo, E.L.; Wang, R.; Li, D.J. Dynamic drought risk assessment for maize based on crop simulation model and multi-source drought indices. J. Clean. Prod. 2019, 233, 100–114. [Google Scholar] [CrossRef]
- Wei, Y.Q.; Jin, J.L.; Cui, Y.; Ning, S.W.; Fei, Z.Y.; Wu, C.G.; Zhou, Y.L.; Zhang, L.B.; Liu, L.; Tong, F. Quantitative assessment of soybean drought risk in Bengbu city based on disaster loss risk curve and DSSAT. Int. J. Disaster Risk Reduct. 2021, 56, 102126. [Google Scholar] [CrossRef]
- Schwarz, M.; Landmann, T.; Cornish, N.; Wetzel, K.-F.; Siebert, S.; Franke, J. A spatially transferable drought hazard and drought risk modeling approach based on remote sensing data. Remote Sens. 2020, 12, 237. [Google Scholar] [CrossRef]
- Zhang, Q.; Zhang, J.Q.; Wang, C.Y. Risk assessment of drought disaster in typical area of corn cultivation in China. Theor. Appl. Climatol. 2017, 128, 533–540. [Google Scholar] [CrossRef]
- Yoo, J.; Kim, D.; Kim, H.; Kim, T.-W. Application of copula functions to construct confidence intervals of bivariate drought frequency curve. J. Hydro-Environ. Res. 2016, 11, 113–122. [Google Scholar] [CrossRef]
- Sun, P.; Zhang, Q.; Singh, V.P.; Xiao, M.Z.; Zhang, X.Y. Transitional variations and risk of hydro-meteorological droughts in the Tarim River basin, China. Stoch. Environ. Res. Risk Assess. 2017, 31, 1515–1526. [Google Scholar] [CrossRef]
- Wang, Z.Q.; Jiang, J.Y.; Ma, Q. The drought risk of maize in the farming–pastoral ecotone in Northern China based on physical vulnerability assessment. Nat. Hazards Earth Syst. Sci. 2016, 16, 2697–2711. [Google Scholar] [CrossRef]
- Zhong, S.B.; Wang, X.L.; Yang, Y.S.; Huang, Q.Y. Risk assessment of drought in Yun-Gui-Guang of China jointly using the Standardized Precipitation Index and vulnerability curves. Geomat. Nat. Hazards Risk 2018, 9, 892–918. [Google Scholar] [CrossRef]
- Cui, Y.; Jiang, S.M.; Jin, J.L.; Ning, S.W.; Feng, P. Quantitative assessment of soybean drought loss sensitivity at different growth stages based on S-shaped damage curve. Agric. Water Manag. 2019, 213, 821–832. [Google Scholar] [CrossRef]
- Yin, Y.Y.; Zhang, X.M.; Lin, D.G.; Yu, H.; Wang, J.A.; Shi, P.J. GEPIC-V-R model: A GIS-based tool for regional crop drought risk assessment. Agric. Water Manag. 2014, 144, 107–119. [Google Scholar] [CrossRef]
- Wang, Y.X.; Lv, J.; Wang, Y.C.; Sun, H.Q.; Hannaford, J.; Su, Z.C.; Barker, L.J.; Qu, Y.P. Drought risk assessment of spring maize based on APSIM crop model in Liaoning province, China. Int. J. Disaster Risk Reduct. 2020, 45, 101483. [Google Scholar] [CrossRef]
- Steduto, P.; Hsiao, T.C.; Raes, D.; Fereres, E. AquaCrop-the FAO crop model to simulate yield response to water: I. concepts and underlying principles. Agron. J. 2009, 101, 426–437. [Google Scholar] [CrossRef]
- Paredesa, P.; Wei, Z.; Liu, Y.; Xu, D.; Xin, Y.; Zhang, B.; Pereira, L.S. Performance assessment of the FAO AquaCrop model for soil water, soil evaporation, biomass and yield of soybeans in North China Plain. Agric. Water Manag. 2015, 152, 57–71. [Google Scholar] [CrossRef]
- Katerji, N.; Campi, P.; Mastrorilli, M. Productivity, evapotranspiration, and water use efficiency of corn and tomato crops simulated by AquaCrop under contrasting water stress conditions in the Mediterranean region. Agric. Water Manag. 2015, 152, 57–71. [Google Scholar] [CrossRef]
- Ahmadi, S.H.; Mosallaeepour, E.; Kamgar-Haghighi, A.A.; Sepaskhah, A.R. Modeling maize yield and soil water content with AquaCrop under full and deficit irrigation managements. Water Resour. Manag. 2015, 29, 2837–2853. [Google Scholar] [CrossRef]
- Mashaba-Munghemezulu, Z.; Chirima, G.J.; Munghemezulu, C. Mapping smallholder maize farms using multi-temporal Sentinel-1 data in support of the sustainable development goals. Remote Sens. 2021, 13, 1666. [Google Scholar] [CrossRef]
- Jia, H.C.; Wang, J.A.; Cao, C.X.; Pan, D.H.; Shi, P.J. Maize drought disaster risk assessment of China based on EPIC model. Int. J. Digit. Earth 2012, 5, 488–515. [Google Scholar] [CrossRef]
- Zampieri, M.; Ceglar, A.; Dentener, F.; Dosio, A.; Naumann, G.; van den Berg, M.; Toreti, A. When will current climate extremes affecting maize production become the norm? Earth’s Future 2019, 7, 113–122. [Google Scholar] [CrossRef]
- Zhang, S.; Bai, Y.; Zhang, J.H. Remote sensing-based quantification of the summer maize yield gap induced by suboptimum sowing dates over North China Plain. Remote Sens. 2021, 13, 3582. [Google Scholar] [CrossRef]
- Zhu, B.X.; Chen, S.B.; Cao, Y.J.; Xu, Z.Y.; Yu, Y.; Han, C. A regional maize yield hierarchical linear model combining Landsat 8 vegetative indices and meteorological data: Case study in Jilin Province. Remote Sens. 2021, 13, 356. [Google Scholar] [CrossRef]
- He, Q.J.; Zhou, G.S.; Lü, X.M.; Zhou, M.Z. Climatic suitability and spatial distribution for summer maize cultivation in China at 1.5 and 2.0 °C global warming. Sci. Bull. 2019, 64, 690–697. [Google Scholar] [CrossRef]
- Wang, R.; Zhang, J.Q.; Wang, C.Y.; Guo, E.L. Characteristic analysis of droughts and waterlogging events for maize based on a new comprehensive index through coupling of multisource data in Midwestern Jilin Province, China. Remote Sens. 2020, 12, 60. [Google Scholar] [CrossRef]
- Wu, X.; Wang, P.J.; Ma, Y.P.; Gong, Y.D.; Wu, D.R.; Yang, J.Y.; Huo, Z.G. Standardized relative humidity index can be used to identify agricultural drought for summer maize in the Huang-Huai-Hai Plain, China. Ecol. Indic. 2021, 131, 108222. [Google Scholar] [CrossRef]
- Cheng, H.; Wang, W.; van Oel, P.R.; Lu, J.X.; Wang, G.; Wang, H.J. Impacts of different human activities on hydrological drought in the Huaihe River Basin based on scenario comparison. J. Hydrol. Reg. Stud. 2021, 37, 100909. [Google Scholar] [CrossRef]
- Anhui Statistical Bureau; NBS Survey Office in Anhui. Anhui Statistical Yearbook 2021; China Statistics Press: Beijing, China, 2021. [Google Scholar]
- Duan, K.; Mei, Y.D. Comparison of meteorological, hydrological and agricultural drought responses to climate change and uncertainty assessment. Water Resour. Manag. 2014, 28, 5039–5054. [Google Scholar] [CrossRef]
- Gao, C.; Li, X.W. Precipitation thresholds of drought disaster for maize in areas in front of Bengbu Sluice, Huaihe River Basin, China. Water 2018, 10, 1395. [Google Scholar] [CrossRef]
- China Meteorological Administration. Yearbook of Meteorological Disasters in China 2014; China Meteorological Press: Beijing, China, 2015. [Google Scholar]
- China Meteorological Administration. Yearbook of Meteorological Disasters in China 2020; China Meteorological Press: Beijing, China, 2021. [Google Scholar]
- Wei, T.; Song, S.B. Copula-based composite likelihood approach for frequency analysis of short annual precipitation records. Hydrol. Res. 2018, 49, 1498–1512. [Google Scholar] [CrossRef]
- Du, M.C.; Zhang, J.Y.; Yang, Q.L.; Wang, Z.L.; Bao, Z.X.; Liu, Y.L.; Jin, J.L.; Liu, C.S.; Wang, G.Q. Spatial and temporal variation of rainfall extremes for the North Anhui Province Plain of China over 1976–2018. Nat. Hazards 2021, 105, 2777–2797. [Google Scholar] [CrossRef]
- Tosunoglu, F.; Kisi, O. Joint modelling of annual maximum drought severity and corresponding duration. J. Hydrol. 2016, 543, 406–422. [Google Scholar] [CrossRef]
- Lu, G.H.; Yan, G.X.; Wu, Z.Y.; Kang, Y.X. Regional drought analysis approach based on copula function. Adv. Water Sci. 2010, 21, 188–193. [Google Scholar]
- Hsiao, T.C.; Heng, L.; Steduto, P.; Rojas-Lara, B.; Raes, D.; Fereres, E. AquaCrop-the FAO crop model to simulate yield response to water: III. parameterization and testing for maize. Agron. J. 2009, 101, 448–459. [Google Scholar] [CrossRef]
- Dai, J.Y.; Gu, W.L. Studies on the relationship between root growth and yield in maize II: The interaction of root system and leaves of maize and its relation with yield. Acta Agron. Sin. 1998, 14, 310–314. [Google Scholar]
- Song, H.X.; Li, S.X. Effect of root growing space of on maize its absorbing characteristics. Sci. Agric. Sin. 2003, 36, 899–904. [Google Scholar]
- Yang, Q.H.; Gao, E.M.; Ma, X.M. Study on growing dynamic of maize root system in Shajiang black soil. Acta Agron. Sin. 2000, 26, 587–593. [Google Scholar]
- Zhang, Y.F.; Wang, Y.F.; Liu, L.X. Function mechanism between the drought and waterlogging disaster and the soil-structure of the Shajiang soil in Huaibei Plain. Prog. Geogr. 2001, 20, 169–176. [Google Scholar]
- Wang, Z.L. Study on “Four Waters” Transformation Mechanism in the Huaibei Plain. Ph.D. Thesis, Hohai University, Nanjing, China, 2017. [Google Scholar]
- Zhang, C.L.; Ye, J.Y.; Qiu, X.M. Characteristics of drought and flood in Bengbu City in recent 45 years based on standardized precipitation index. Water Resour. Power 2013, 31, 9–12, 135. [Google Scholar]
- Sun, P.; Zhang, Q.; Cheng, C.; Singh, V.P.; Shi, P.J. ENSO-induced drought hazards and wet spells and related agricultural losses across Anhui province, China. Nat. Hazards 2017, 89, 963–983. [Google Scholar] [CrossRef]
- Zhou, Y.L.; Zuo, Y.L.; Zhang, Y.L.; Jin, J.L.; Zhou, P.; Wu, C.G.; Cui, Y.; Ning, S.W. Identification and characteristics analysis of Meiyu in Anhui Province based on the National Standard of Meiyu monitoring indices. Hydrol. Res. 2021, 52, 975–989. [Google Scholar] [CrossRef]
- Tang, G.M.; Wang, Y.Z. Optimization irrigation procedure and economic irrigation norm of main arid crops. J. Irrig. Drain. 2006, 25, 24–29. [Google Scholar]
- Cui, Y.; Jiang, S.M.; Feng, P.; Jin, J.L.; Yuan, H.W. Winter wheat evapotranspiration estimation under drought stress during several growth stages in Huaibei Plain, China. Water 2018, 10, 1208. [Google Scholar] [CrossRef]
- Cui, Y.; Ning, S.W.; Jin, J.L.; Jiang, S.M.; Zhou, Y.L.; Wu, C.G. Quantitative lasting effects of drought stress at a growth stage on soybean evapotranspiration and aboveground biomass. Water 2021, 13, 18. [Google Scholar] [CrossRef]
- Wei, Y.Q.; Jin, J.L.; Jiang, S.M.; Ning, S.W.; Cui, Y.; Zhou, Y.L. Simulated assessment of summer maize drought loss sensitivity in Huaibei Plain, China. Agronomy 2019, 9, 78. [Google Scholar] [CrossRef]
- Cui, Y.; Jin, J.L.; Jiang, S.M.; Zhou, Y.L.; Wu, C.G.; Ning, S.W. Study on response relationship between evapotranspiration and aboveground growth matter of soybean under different drought stress. J. Catastrophology 2021, 36, 79–87. [Google Scholar]
- Jin, J.L.; Ma, Q.; Cui, Y.; Bai, X.; Jiang, S.M.; Zhou, Y.L.; Zhou, R.X. Analysis on comprehensive prevention mechanism of actual risk of regional drought based on ternary chain transmission structure. J. Catastrophology 2022, 37, 6–12. [Google Scholar]
- Han, C.Y.; Zhang, B.Z.; Chen, H.; Liu, Y.; Wei, Z. Novel approach of upscaling the FAO AquaCrop model into regional scale by using distributed crop parameters derived from remote sensing data. Agric. Water Manag. 2020, 240, 106288. [Google Scholar] [CrossRef]
- Wolka, K.; Biazin, B.; Martinsen, V.; Mulder, J. Soil and water conservation management on hill slopes in southwest Ethiopia. II. Modeling effects of soil bunds on surface runoff and maize yield using AquaCrop. J. Environ. Manag. 2021, 296, 113187. [Google Scholar] [CrossRef]
- Wu, H.; Yue, Q.; Guo, P.; Xu, X.Y.; Huang, X. Improving the AquaCrop model to achieve direct simulation of evapotranspiration under nitrogen stress and joint simulation-optimization of irrigation and fertilizer schedules. Agric. Water Manag. 2022, 266, 107599. [Google Scholar] [CrossRef]
- Abedinpour, M.; Sarangi, A.; Rajput, T.B.S.; Singh, M.; Pathak, H.; Ahmad, T. Performance evaluation of AquaCrop model for maize crop in a semi-arid environment. Agric. Water Manag. 2012, 110, 55–66. [Google Scholar] [CrossRef]
- Nyakudya, I.W.; Stroosnijder, L. Effect of rooting depth, plant density and planting date on maize (Zea mays L.) yield and water use efficiency in semi-arid Zimbabwe: Modelling with AquaCrop. Agric. Water Manag. 2014, 146, 280–296. [Google Scholar] [CrossRef]
- Ran, H.; Kang, S.Z.; Li, F.S.; Tong, L.; Ding, R.S.; Du, T.S.; Li, S.E.; Zhang, X.T. Performance of AquaCrop and SIMDualKc models in evapotranspiration partitioning on full and deficit irrigated maize for seed production under plastic film-mulch in an arid region of China. Agric. Syst. 2017, 151, 20–32. [Google Scholar] [CrossRef]
- Li, F.W.; Liu, Y.; Yan, W.H.; Zhao, Y.; Jiang, R.G. Effect of future climate change on summer maize growth in Shijin Irrigation District. Theor. Appl. Climatol. 2020, 139, 33–44. [Google Scholar] [CrossRef]
Publisher’s Note: MDPI stays neutral with regard to jurisdictional claims in published maps and institutional affiliations. |
© 2022 by the authors. Licensee MDPI, Basel, Switzerland. This article is an open access article distributed under the terms and conditions of the Creative Commons Attribution (CC BY) license (https://creativecommons.org/licenses/by/4.0/).


















