Influence of the Accuracy of Chlorophyll-Retrieval Algorithms on the Estimation of Solar Radiation Absorbed in the Barents Sea
Abstract
1. Introduction
2. Materials and Methods
2.1. Study Area
2.2. Field Measurements
- An instrument complex to measure surface and underwater photosynthetically active radiation [31]. The complex was developed and built at the Ocean Optics Laboratory of the Shirshov Institute of Oceanology of the Russian Academy of Sciences (SIO) based on LI-192 LI-COR photodiode sensors (measuring total irradiance in the range of 400–700 nm), supplemented by devices to collect and transmit information.
- A set of two Ramses submersible hyperspectral radiometers. The radiometers are designed to measure underwater irradiance spectra in the wavelength range of 320–950 nm with a spectral resolution of 3.3 nm. The simultaneous use of two sensors, making it possible to carry out synchronous measurements of Ed(λ, z) and Eu(λ, z). Thus, it is possible to directly calculate the spectral diffuse attenuation coefficients (Kd(λ, z)) from the obtained Ramses data.
- A portable spectrophotometer with an integrating sphere ICAM (integrating cavity absorption meter) [32]. The device was used to determine the spectra of the total light absorption coefficient of seawater (a(λ)), as well as the spectra of the light absorption coefficient of particles (ap(λ)) and CDOM (ag(λ)). The measurement data were processed according to the method described in [33].
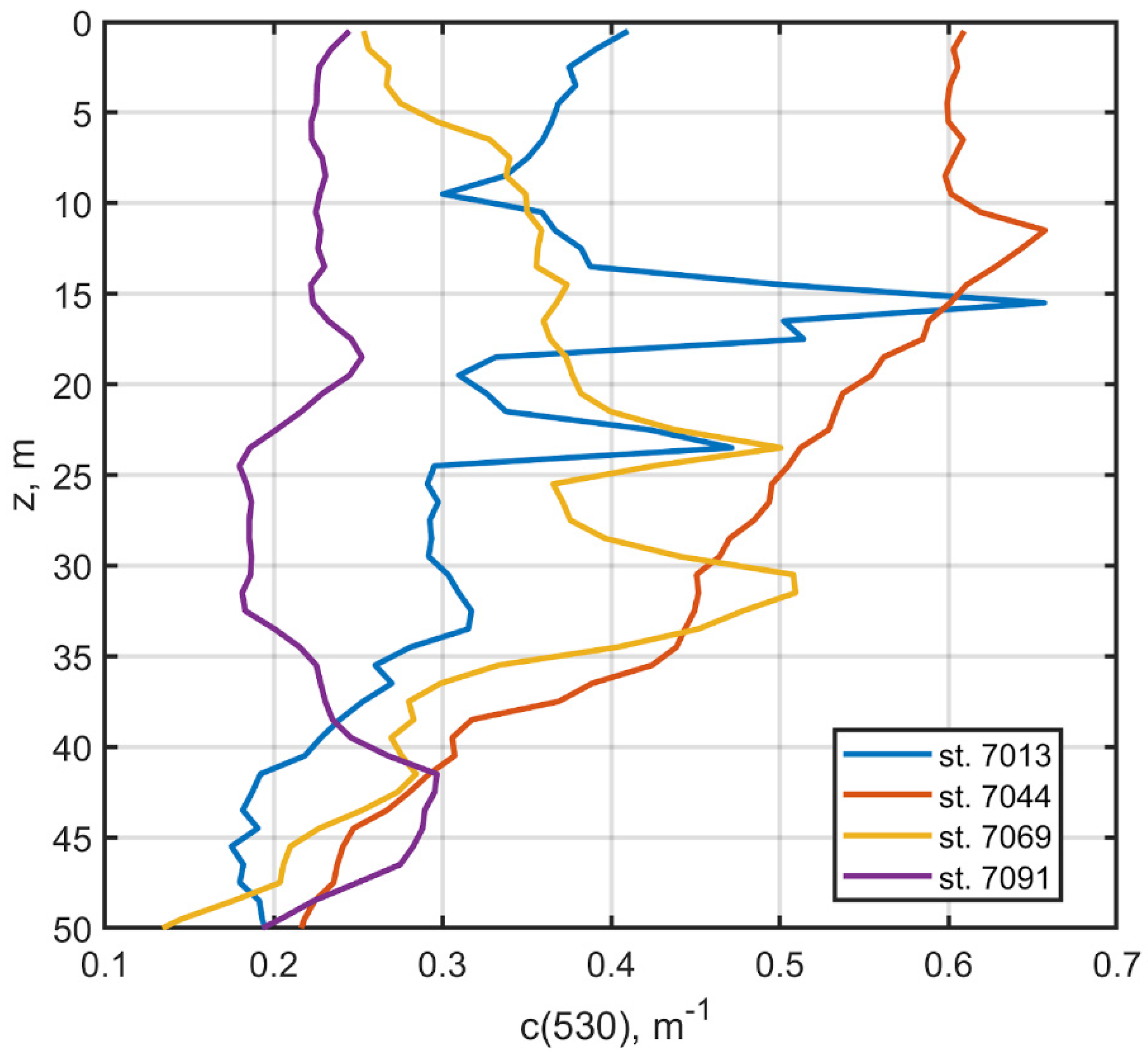
- A PUM-200 submersible transmissometer. The device was designed and assembled at the Laboratory of Ocean Optics, SIO RAS [34]. Its goal is to measure vertical profiles (c(530, z)), as well as seawater temperature and chlorophyll-a fluorescence intensity.
- A flow-through measuring complex [35], which includes a PFD-2M two-channel flow-through fluorimeter, a laser hyperspectral fluorimeter [36], a PUM-A transmissometer, and a thermosalinograph. In the present study, we used only spatial distributions of the Chl fluorescence intensity (FlChl) excited by radiation at wavelength of 532 nm and registered near 685 nm. The measurements were taken in the seawater surface layer at a depth of 2–3 m, with a spatial resolution of about 50 m. Calibration of the flow-through fluorimeter according to the data of direct determinations of the Chl concentration made it possible to obtain the distributions of this quantity (Chlfl) along the ship’s route. When calibrating the flow-through fluorimeter data, there were no significant deviations associated with non-photochemical quenching (NPQ) [37]. In our recent work [36], based on the results of the analysis of 648 samples, we demonstrated that the effect of NPQ on the relationship between the Chl fluorescence intensity and its concentration in the studied polar region is small. It is important to note that most of the samplings were carried out under conditions of a polar day in cloudy weather, which reduces the variations in the PAR flux and, accordingly, minimizes the influence of NPQ.
2.3. Hydro-Optical Models and Algorithms
bb = ½ bw + vf bbs + vc bbl,
2.4. Satellite Data
2.5. SIO RAS Regional Chl-Retrieval Alghorithm
3. Results
3.1. Validation of the SIO RAS Regional Chl-Retrieval Alghorithm
3.2. Chlorophyll Concentrations
3.3. Validation of Instantaneous Irradiance Calculations
4. Discussion
4.1. The Influence of Chl Concentration on the Accuracy of Calculating the Seawater Energy Absorbed in the PAR Range
4.2. The Impact of Considering IOP Stratification
4.3. An Example of Using OLCI Data
5. Conclusions
Author Contributions
Funding
Data Availability Statement
Acknowledgments
Conflicts of Interest
References
- Ohlmann, J.C. Ocean radiant heating in climate models. J. Clim. 2003, 16, 1337–1351. [Google Scholar] [CrossRef]
- Mobley, C.D.; Chai, F.; Xiu, P.; Sundman, L.K. Impact of improved light calculations on predicted phytoplankton growth and heating in an idealized upwelling-downwelling channel geometry. J. Geophys. Res. 2015, 120, 875–892. [Google Scholar] [CrossRef]
- Beszczynska-Möller, A.; Fahrbach, E.; Schauer, U.; Hansen, E. Variability in Atlantic water temperature and transport at the entrance to the Arctic Ocean, 1997–2010. ICES J. Mar. Sci. 2012, 69, 852–863. [Google Scholar] [CrossRef]
- Hedley, J.D.; Mobley, C.D. HydroLight 6.0 EcoLight 6.0. Technical Documentation; Numerical Optics Ltd.: Tiverton, UK, 2021; 131p, Available online: https://www.numopt.com/doc/HE60TechDoc.pdf (accessed on 14 August 2022).
- Werdell, P.J.; Franz, B.A.; Bailey, S.W.; Feldman, G.C.; Boss, E.; Brando, V.E.; Dowell, M.; Hirata, T.; Lavender, S.J.; Lee, Z.; et al. Generalized ocean color inversion model for retrieving marine inherent optical properties. Appl. Opt. 2013, 52, 2019–2037. [Google Scholar] [CrossRef] [PubMed]
- Morel, A.; Antoine, D. Heating rate within the upper ocean in relation to its bio–optical state. J. Phys. Oceanogr. 1994, 24, 1652–1665. [Google Scholar] [CrossRef]
- Morel, A.; Prieur, L. Analysis of variations in ocean color 1. Limnol. Oceanogr. 1977, 22, 709–722. [Google Scholar] [CrossRef]
- Hu, C.; Lee, Z.; Franz, B. Chlorophyll a algorithms for oligotrophic oceans: A novel approach based on three-band reflectance difference. J. Geophys. Res. 2012, 117, C01011. [Google Scholar] [CrossRef]
- O’Reilly, J.E.; Maritorena, S.; Mitchell, B.G.; Siegel, D.A.; Carder, K.L.; Garver, S.A.; Kahru, M.; McClain, C. Ocean color chlorophyll algorithms for SeaWiFS. J. Geophys. Res. 1998, 103, 24937–24953. [Google Scholar] [CrossRef]
- Lee, Z.; Carder, K.L.; Arnone, R.A. Deriving inherent optical properties from water color: A multiband quasi-analytical algorithm for optically deep waters. Appl. Opt. 2002, 41, 5755–5772. [Google Scholar] [CrossRef] [PubMed]
- Kopelevich, O.V.; Burenkov, V.I.; Ershova, S.V.; Sheberstov, S.V.; Evdoshenko, M.A. Application of SeaWiFS data for studying variability of bio-optical characteristics in the Barents, Black and Caspian Seas. Deep Sea Res. Part II Top. Stud. Oceanogr. 2004, 51, 1063–1091. [Google Scholar] [CrossRef]
- Vazyulya, S.; Khrapko, A.; Kopelevich, O.; Burenkov, V.; Eremina, T.; Isaev, A. Regional algorithms for the estimation of chlorophyll and suspended matter concentration in the Gulf of Finland from MODIS-Aqua satellite data. Oceanology 2014, 56, 737–756. [Google Scholar] [CrossRef]
- Kopelevich, O.V.; Sahling, I.V.; Vazyulya, S.V.; Glukhovets, D.I.; Sheberstov, S.V.; Burenkov, V.I.; Karalli, P.G.; Yushmanova, A.V. Bio-Optical Characteristics of the Seas, Surrounding the Western Part of Russia, from Data of the Satellite Ocean Color Scanners of 1998–2017; VASh FORMAT, OOO: Moscow, Russia, 2018. [Google Scholar]
- Suslin, V.; Churilova, T. A regional algorithm for separating light absorption by chlorophyll-a and coloured detrital matter in the Black Sea, using 480–560 nm bands from ocean colour scanners. Int. J. Remote Sens. 2016, 37, 4380–4400. [Google Scholar] [CrossRef]
- Demidov, A.B.; Kopelevich, O.V.; Mosharov, S.A.; Sheberstov, S.V.; Vazyulya, S.V. Modelling Kara Sea phytoplankton primary production: Development and skill assessment of regional algorithms. J. Sea Res. 2017, 125, 1–17. [Google Scholar] [CrossRef]
- Salyuk, P.; Bukin, O.; Alexanin, A.; Pavlov, A.; Mayor, A.; Shmirko, K.; Krikun, V. Optical properties of Peter the Great Bay waters compared with satellite ocean colour data. Int. J. Remote Sens. 2010, 31, 4651–4664. [Google Scholar] [CrossRef]
- Glukhovets, D.I.; Kopelevich, O.V.; Sahling, I.V.; Artemiev, V.A.; Pautova, L.A.; Lange, E.K.; Kravchishina, M.D. Biooptical characteristics of the surface layer of the Baltic, Norwegian, and Barents seas in summer 2014–2016 from shipboard and satellite data. Oceanology 2017, 57, 410–418. [Google Scholar] [CrossRef]
- Kravchishina, M.D.; Klyuvitkin, A.A.; Volodin, V.D.; Glukhovets, D.I.; Dubinina, E.O.; Kruglinskii, I.A.; Kudryavtseva, E.A.; Matul, A.G.; Novichkova, E.A.; Politova, N.V.; et al. Systems research of sedimentation in the European arctic in the 84th cruise of the research vessel Akademik Mstislav Keldysh. Oceanology 2022, 62, 660–663. [Google Scholar] [CrossRef]
- Glukhovets, D.I.; Salyuk, P.A.; Sheberstov, S.V.; Vazyulya, S.V.; Sahling, I.V.; Stepochkin, I.E. Retrieval of the full complex of optical characteristics for heat content assessing in the southern part of the Barents Sea in June 2021. Probl. Remote Sens. Earth Space 2021, 18, 214–225. [Google Scholar] [CrossRef]
- Asim, M.; Brekke, C.; Mahmood, A.; Eltoft, T.; Reigstad, M. Improving chlorophyll-a estimation from Sentinel-2 (MSI) in the Barents Sea using machine learning. IEEE J. Sel. Top. Appl. Earth Obs. Remote Sens. 2021, 14, 5529–5549. [Google Scholar] [CrossRef]
- Lewis, K.M.; Arrigo, K.R. Ocean color algorithms for estimating chlorophyll a, CDOM absorption, and particle backscattering in the Arctic Ocean. J. Geophys. Res. 2020, 125, e2019JC015706. [Google Scholar] [CrossRef]
- Kostakis, I.; Röttgers, R.; Orkney, A.; Bouman, H.A.; Porter, M.; Cottier, F.; Berge, J.; McKee, D. Development of a bio-optical model for the Barents Sea to quantitatively link glider and satellite observations. Philos. Trans. A Math. Phys. Eng. Sci. 2020, 378, 20190367. [Google Scholar] [CrossRef] [PubMed]
- Hancke, K.; Hovland, E.K.; Volent, Z.; Pettersen, R.; Johnsen, G.; Moline, M.; Sakshaug, E. Optical properties of CDOM across the Polar Front in the Barents Sea: Origin, distribution and significance. J. Mar. Syst. 2014, 130, 219–227. [Google Scholar] [CrossRef]
- Wernand, M.R.; van der Woerd, H.J.; Gieskes, W.W. Trends in ocean colour and chlorophyll concentration from 1889 to 2000, worldwide. PLoS ONE 2013, 8, e63766. [Google Scholar] [CrossRef] [PubMed]
- Kirk, J.T. Solar heating of water bodies as influenced by their inherent optical properties. J. Geoph. Res. 1988, 93, 10897–10908. [Google Scholar] [CrossRef]
- Stamnes, K.; Tsay, S.-C.; Wiscombe, W.; Jayaweera, K. Numerically stable algorithm for discrete-ordinate-method radiative transfer in multiple scattering and emitting layered media. Appl. Opt. 1988, 27, 2502–2509. [Google Scholar] [CrossRef] [PubMed]
- Chang, G.; Barnard, A.; Zaneveld, J.R.V. Optical closure in a complex coastal environment: Particle effects. Appl. Opt. 2007, 46, 7679–7692. [Google Scholar] [CrossRef] [PubMed]
- Lefering, I.; Bengil, F.; Trees, C.; Röttgers, R.; Bowers, D.; Nimmo-Smith, A.; McKee, D. Optical closure in marine waters from in situ inherent optical property measurements. Opt. Express 2016, 24, 14036–14052. [Google Scholar] [CrossRef] [PubMed]
- Mobley, C. The Oceanic Optics Book; International Ocean Colour Coordinating Group (IOCCG): Monterey, CA, USA, 2022. [Google Scholar] [CrossRef]
- Shifrin, K.S. Introduction to Ocean Optics; Gidrometeoizdat: Leningrad, Soviet Union, 1983. [Google Scholar]
- Grigoriev, A.V.; Khrapko, A.N. Autonomous profiling system for measurement of underwater PAR. In Proceedings of the Modern Methods and Means of Oceanological Measurements, Moscow, Russia, 15–17 May 2019; Shirshov Institute of Oceanology of the Russian Academy of Sciences (SIO RAS): Moscow, Russia, 2019; pp. 240–243. [Google Scholar]
- Pogosyan, S.I.; Durgaryan, A.M.; Konyuhov, I.V.; Chivkunova, O.B.; Merzlyak, M.N. Absorption spectroscopy of microalgae, cyanobacteria, and dissolved organic matter: Measurements in an integrating sphere cavity. Oceanology 2009, 49, 934–939. [Google Scholar] [CrossRef]
- Glukhovets, D.I.; Sheberstov, S.V.; Kopelevich, O.V.; Zajceva, A.F.; Pogosyan, S.I. Measurement of sea water absorption factor using integrating sphere. Light Eng. 2018, 26, 120–126. [Google Scholar] [CrossRef]
- Artemiev, V.A.; Taskaev, V.R.; Grigorev, A.V. Autonomous transparency meter PUM-200. In Proceedings of the Modern Methods and Means of Oceanological Measurements, Moscow, Russia, 18–20 May 2021; Shirshov Institute of Oceanology of the Russian Academy of Sciences (SIO RAS): Moscow, Russia, 2021; pp. 95–99. [Google Scholar]
- Goldin, Y.A.; Glukhovets, D.I.; Gureev, B.A.; Grigoriev, A.V.; Artemiev, V.A. Shipboard flow-through complex for measuring bio-optical and hydrological seawater characteristics. Oceanology 2020, 60, 814–822. [Google Scholar] [CrossRef]
- Glukhovets, D.I.; Goldin, Y.A. Express method for chlorophyll concentration assessment. J. Photochem. Photobiol. 2021, 8, 100083. [Google Scholar] [CrossRef]
- Roesler, C.S.; Barnard, A.H. Optical proxy for phytoplankton biomass in the absence of photophysiology: Rethinking the absorption line height. Methods Oceanogr. 2013, 7, 79–94. [Google Scholar] [CrossRef]
- Arar, E.J.; Collins, G.B. Method 445.0. In Vitro Determination of Chlorophyll “a” and Pheophytin “a” in Marine and Freshwater Algae by Fluorescence, Revision 1.2; Environmental Protection Agency: Cincinnati, OH, USA, 1997. [Google Scholar]
- Plass, G.N.; Kattawar, G.W.; Catchings, F.E. Matrix operator theory of radiative transfer. 1: Rayleigh scattering. Appl. Opt. 1973, 12, 314–329. [Google Scholar] [CrossRef]
- Kopelevich, O.; Sheberstov, S.; Vazyulya, S. Effect of a coccolithophore bloom on the underwater light field and the albedo of the water column. J. Mar. Sci. Eng. 2020, 8, 456. [Google Scholar] [CrossRef]
- Gordon, H.R.; Castaño, D.J. Aerosol analysis with coastal zone color scanner. A simple method for including multiple scattering effects. Appl. Opt. 1989, 28, 1320–1326. [Google Scholar] [CrossRef] [PubMed]
- Ershova, S.V.; Kopelevich, O.V.; Sheberstov, S.V. A method for estimating the penetration of solar radiation into the waters of the Arctic Seas using satellite data: The case of a totally overcast sky. Oceanology 2002, 42, 17–26. [Google Scholar]
- Deirmenjian, D. Electromagnetic Scattering of Spherical Polydispersions; Elsevier: New York, NY, USA, 1969. [Google Scholar]
- Gordon, H.R.; Wang, M. Surface-roughness considerations for atmospheric correction of ocean color sensors. I: The Rayleigh-scattering component. Appl. Opt. 1992, 32, 4247–4260. [Google Scholar] [CrossRef]
- Nakajima, T.; Tanaka, M. Effect of wind-generated waves on the transfer of solar radiation in the atmosphere-ocean system. J. Quant. Spectrosc. Radiat. Transf. 1983, 29, 521–537. [Google Scholar] [CrossRef]
- Kopelevich, O.V. Low-parameter model of the optical properties of seawater. In Optika Okeana; Nauka: Moscow, Russia, 1983; Volume 1, pp. 208–234. [Google Scholar]
- Burenkov, V.I.; Sheberstov, S.V.; Artemiev, V.A.; Taskaev, V.R. Estimation of the error in measuring the indicator of light attenuation by seawater in the turbid waters of the Arctic seas. Light Eng. 2019, 27, 103–111. [Google Scholar] [CrossRef]
- Morel, A.; Gentili, B. Diffuse reflectance of oceanic waters. Bidirectional aspects. Appl. Opt. 1993, 32, 6864–6879. [Google Scholar] [CrossRef]
- Lee, Z.; Carder, K.L.; Mobley, C.D.; Steward, R.G.; Patch, J.S. Hyperspectral remote sensing for shallow waters. I. A semianalytical model. Appl. Opt. 1998, 37, 6329–6338. [Google Scholar] [CrossRef] [PubMed]
- Mobley, C.D.; Gentili, B.; Gordon, H.R.; Jin, Z.; Kattawar, G.W.; Morel, A.; Reinersman, P.; Stamnes, K.; Stavn, R.H. Comparison of numerical models for computing underwater light fields. Appl. Opt. 1993, 32, 7484–7504. [Google Scholar] [CrossRef]
- Gordon, H.R.; Brown, O.B.; Evans, R.H.; Smith, R.C.; Baker, K.S.; Clark, D.K. A semianalytic radiance model of ocean color. J. Geophys. Res. Space Phys. 1988, 93, 10909–10924. [Google Scholar] [CrossRef]
- Bricaud, A.; Morel, A.; Babin, M.; Allali, K.; Claustre, H. Variations in light absorption by suspended particles with chlorophyll a concentration in oceanic (case 1) waters: Analysis and implications for bio-optical models. J. Geophys. Res. 1998, 103, 31033–31044. [Google Scholar] [CrossRef]
- Sheberstov, S.V. A system for batch processing of oceanographic satellite data. Curr. Probl. Remote Sens. Earth Space 2015, 12, 154–161. [Google Scholar]
- Karalli, P.G.; Vazyulya, S.V. Modification of the regional satellite algorithm for determining the concentration of chlorophyll-a in the Barents Sea. In Proceedings of the XI Conference “Current problems in Optics of Natural Waters”, St. Petersburg, Russia, 29 September–1 October 2021; pp. 234–239. [Google Scholar]
- Glukhovets, D.; Kopelevich, O.; Yushmanova, A.; Vazyulya, S.; Sheberstov, S.; Karalli, P.; Sahling, I. Evaluation of the CDOM Absorption Coefficient in the Arctic Seas Based on Sentinel-3 OLCI Data. Remote Sens. 2020, 12, 3210. [Google Scholar] [CrossRef]
- Kopelevich, O.V.; Burenkov, V.I.; Vazyulya, S.V.; Sheberstov, S.V.; Nabiullina, M.V. An assessment of the photosynethetically active radiance balance in the Barents sea from the data of the SeaWiFS satellite color scanner. Oceanology 2003, 43, 786–796. [Google Scholar] [CrossRef]
- Kopelevich, O.V.; Sheberstov, S.V.; Burenkov, V.I.; Vazyulya, S.V.; Likhacheva, M.V. Assessment of underwater irradiance and absorption of solar radiation at water column from satellite data. In Proceedings of the Current Research on Remote Sensing, Laser Probing, and Imagery in Natural Waters, St. Petersburg, Russia, 13 April 2007; Volume 6615, pp. 56–66. [Google Scholar]
- Yushmanova, A.V.; Deryagin, D.N.; Glukhovets, D.I. Considering of bio-optical characteristics stratification for light fields calculation in type I waters. J. Oceanol. Res. 2022, 50, 38–48. [Google Scholar] [CrossRef]
- Madec, G.; Bourdallé-Badie, R.; Bouttier, P.A.; Bricaud, C.; Bruciaferri, D.; Calvert, D.; Chanut, J.; Clementi, E.; Coward, A.; Delrosso, D.; et al. NEMO Ocean Engine; Institut Pierre-Simon Laplace (IPSL): Guyancourt, France, 2017. [Google Scholar]










| Station | Latitude, N | Longitude, E | Date | Time, UTC | Location |
|---|---|---|---|---|---|
| 7013 | 70°25.6092′ | 33°49.061′ | 14 June 2021 | 11:07 | Southern part of the Barents Sea |
| 7044 | 74°57.03′ | 27°36.04′ | 28 July 2021 | 3:00 | Central part of the Barents Sea |
| 7069 | 80°27.02′ | 16°05.54′ | 9 August 2021 | 9:20 | NW of Svalbard |
| 7090 | 78°22.99′ | 25°51.93′ | 18 August 2021 | 14:00 | East of Svalbard |
| 7091 | 78°44.46′ | 24°28.38′ | 18 August 2021 | 19:20 | East of Svalbard |
| Data Set | Algorithm | N | R2 | RMSE, mg m−3 | RE, % | Bias, mg m−3 |
|---|---|---|---|---|---|---|
| AMK 83, 12.06.21 | chlor_a | 421 | 0.28 | 0.23 | 37 | +0.12 |
| B22 | 0.35 | 0.17 | 32 | +0.08 | ||
| AMK 83, 14.06.21 | chlor_a | 271 | 0.36 | 0.19 | 25 | +0.01 |
| B22 | 0.42 | 0.15 | 23 | +0.04 | ||
| AMK 68, 14-15.08.17 | chlor_a | 259 | 0.70 | 0.40 | 28 | +0.34 |
| B22 | 0.70 | 0.37 | 24 | +0.16 |
| Station | Date and Time (UTC) of MODIS/Aqua Overpass (ΔT) | Chlorophyll Concentration, mg m−3 | |||
|---|---|---|---|---|---|
| In Situ | chlor_a | B22 | Chl* | ||
| 7013 | 12.06.21 10:35 (48 h) | 0.51 | 0.50 | 0.52 | 1 |
| 7044 | 26.07.21 11:00 (32 h) | 1.07 | 0.31 | 0.42 | 0.25 |
| 7069 | 09.08.21 11:15 (2 h) | 0.54 | 0.39 | 0.41 | 1 |
| 7091 | 17.08.21 8:50 (11 h) | 0.17 | 0.29 | 0.35 | 1 |
Publisher’s Note: MDPI stays neutral with regard to jurisdictional claims in published maps and institutional affiliations. |
© 2022 by the authors. Licensee MDPI, Basel, Switzerland. This article is an open access article distributed under the terms and conditions of the Creative Commons Attribution (CC BY) license (https://creativecommons.org/licenses/by/4.0/).
Share and Cite
Glukhovets, D.; Sheberstov, S.; Vazyulya, S.; Yushmanova, A.; Salyuk, P.; Sahling, I.; Aglova, E. Influence of the Accuracy of Chlorophyll-Retrieval Algorithms on the Estimation of Solar Radiation Absorbed in the Barents Sea. Remote Sens. 2022, 14, 4995. https://doi.org/10.3390/rs14194995
Glukhovets D, Sheberstov S, Vazyulya S, Yushmanova A, Salyuk P, Sahling I, Aglova E. Influence of the Accuracy of Chlorophyll-Retrieval Algorithms on the Estimation of Solar Radiation Absorbed in the Barents Sea. Remote Sensing. 2022; 14(19):4995. https://doi.org/10.3390/rs14194995
Chicago/Turabian StyleGlukhovets, Dmitry, Sergey Sheberstov, Svetlana Vazyulya, Anna Yushmanova, Pavel Salyuk, Inna Sahling, and Evgeniia Aglova. 2022. "Influence of the Accuracy of Chlorophyll-Retrieval Algorithms on the Estimation of Solar Radiation Absorbed in the Barents Sea" Remote Sensing 14, no. 19: 4995. https://doi.org/10.3390/rs14194995
APA StyleGlukhovets, D., Sheberstov, S., Vazyulya, S., Yushmanova, A., Salyuk, P., Sahling, I., & Aglova, E. (2022). Influence of the Accuracy of Chlorophyll-Retrieval Algorithms on the Estimation of Solar Radiation Absorbed in the Barents Sea. Remote Sensing, 14(19), 4995. https://doi.org/10.3390/rs14194995

