Assessment of FY-2G, FY-4A, and Himawari-8 Atmospheric Motion Vectors over Southeast Asia and Their Assimilating Impact on the Forecasts of Tropical Cyclone PABUK
Abstract
:1. Introduction
2. Data and Tropical Cyclone Events
2.1. Introduction to FY-2G, FY-4A, and HIMA-8 AMVs
2.1.1. FY-2G AMVs
2.1.2. FY-4A AMVs
2.1.3. HIMA-8 AMVs
2.2. Tropical Cyclone PABUK
3. Methods and Experimental Designs
3.1. Methodology for Quantitative Evaluation of AMVs
3.2. WRF Model Configurations and Experimental Setup
4. Results
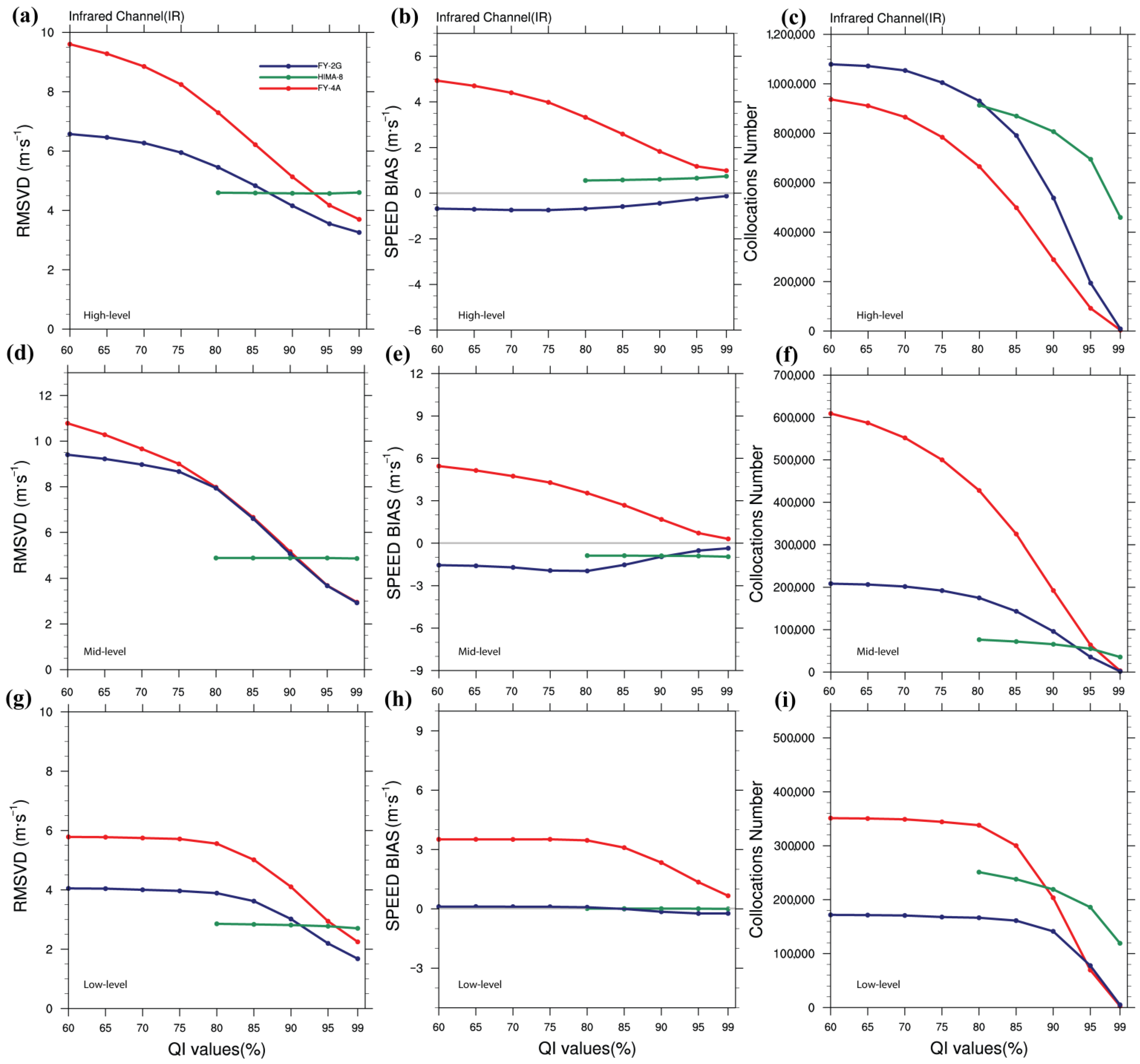
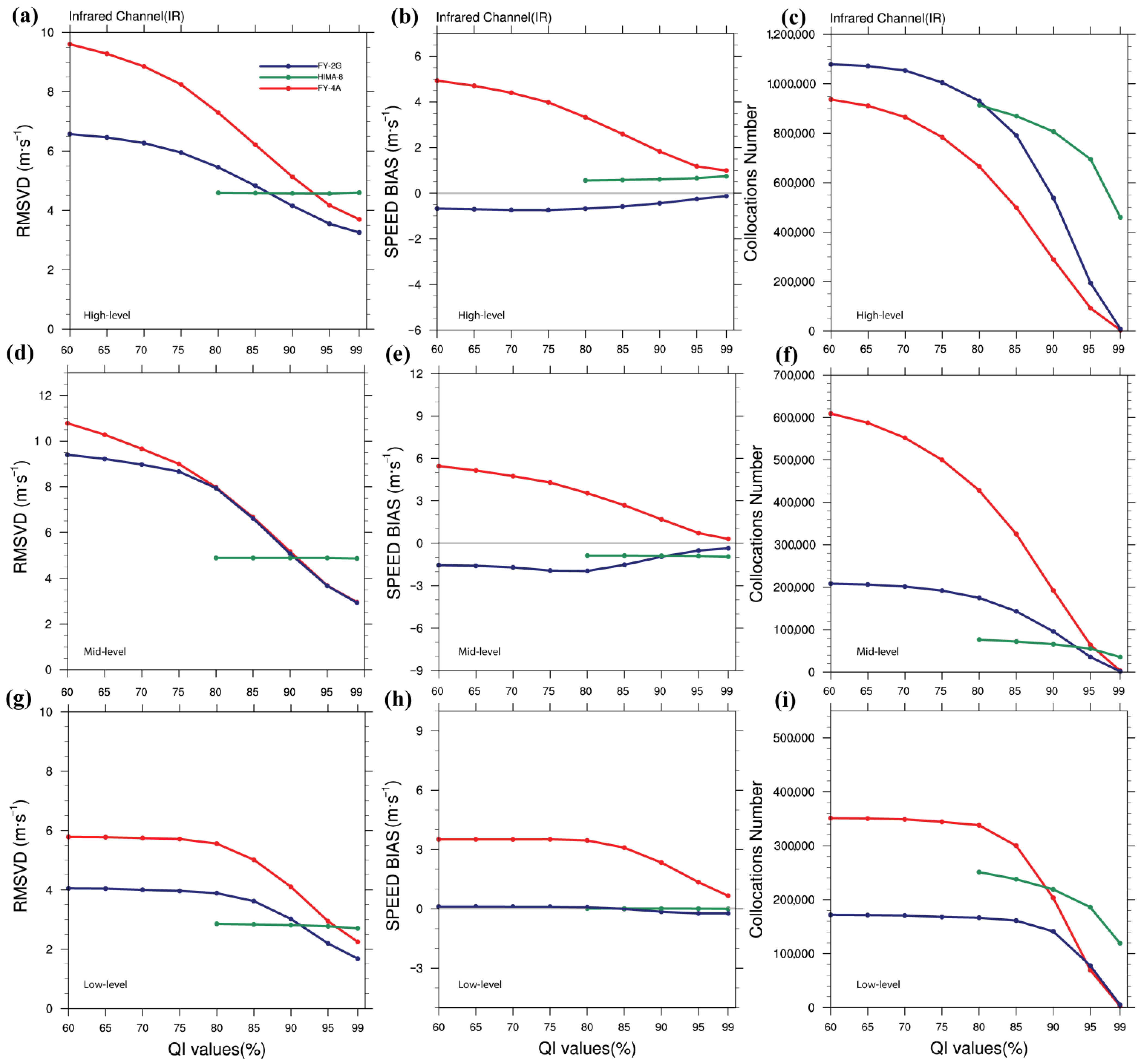
4.1. AMVs against NCEP FNL Wind Analysis Consistent with Diverse Quality Indicator Values
4.2. Comparisons of FY-4A, FY-2G AMVs, and HIMA-8 AMVs Data at QI 85%
4.2.1. Time Series
4.2.2. Vertical Profile
4.2.3. Horizontal Distributions
4.3. Impaction Data Assimilation
4.3.1. Initial Position Error
4.3.2. Initial Intensity Error
4.3.3. Track Forecasts
4.3.4. Intensity Forecasts
5. Conclusions
- Regarding the AMV characteristics, three sets of derived AMVs were used for three months and were compared to NCEP/FNL operational global analysis data. The RMSVD, BIAS, and the number of collocations are highly sensitive to QI values for the FY-2G and FY-4A AMVs over the study domain, whereas the HIMA-8 AMVs are insignificant. As a result, the QI must be considered for usage for the FY AMVs series.
- As the considered QI was at 85%, the retrieval of the IR AMVs from the three satellites was mostly dominant at the high and low levels, whereas the WV AMVs were mostly dominant at high levels between 150 and 400 hPa. The qualities of the FY-2G and FY-4A AMVs were similar, and AMVs from the HIMA-8 generated more accurate totals than those from the FY-2G and FY-4A. Moreover, the monthly mean RMSVD and BIAS AMVs at all levels for the three satellites were comparable with few exceptions for all months; however, among them, the HIMA-8 AMVs have better accuracies compared to FY-2G and FY-4A AMVs.
- The qualities of the FY-2G and FY-4A were similar in nature throughout December 2018, and all WV AMVs were more consistent than IR AMVs. The FY-4A AMVs had a lower quality in the IR channel than the FY-2G AMV, but a comparable quality in the water vapor channel. Although the FY-4A AMVs had improved the spatial and temporal resolution data, the AMV products derived from the FY-4A satellite are still under research. Stricter processes should be conducted in the future for FY-4A AMVs’ quality control, which is necessary to reduce the spatial correlations and errors when employing high-density AMVs. After the second half of 2020, the algorithm for the FY-4A was improved [47]. The quality of the AMVs from the FY4A gradually stabilized after the algorithm improvement. Furthermore, the greater QI value of the FY-4A for using with assimilation should be further considered.
- Four experiments were conducted with and without the assimilation of AMVs from the FY-2G, FY-4A, and HIMA-8 at a QI of 85% via WRF 3D-Var to validate the impact of the AMVs. It was found that the assimilation from three satellites reduced the average initial position error slightly. After a 42 h integration time, the average forecast track error of the FY2G, FY4A, and HIM8 experiments was revealed to be lower than the control experiment (CONV). The HIM8 experiments mostly had more improved typhoon track forecasts than the FY4A and FY2A experiments, respectively. It was demonstrated that the availability of more IR and WV collocation numbers in the FY-2G and FY4A AMVs enhanced the impact of the AMVs on TCs, which have more opportunities with accessible satellites the same as the HIMA-8 over this region. Moreover, it was observed that the AMVs were more effective at the severe stage in reducing the initial positions and track errors rather than at the weak stage for TC PABUK; however, when compared to the control experiment, the initial and forecasted intensities for the TC were statistically insignificant in terms of improvement.
Author Contributions
Funding
Data Availability Statement
Acknowledgments
Conflicts of Interest
Abbreviations
| AMVs | Atmospheric Motion Vectors |
| SEA | Southeast Asia |
| HIMA-8 | Himawari-8 JMA third generation of geostationary satellites |
| FY-2 | FengYun-2 |
| GTS | Global Telecommunication System |
| FY-4A | FengYun-4A |
| NWP | Numerical Weather Prediction |
| QI | Quality Indicator |
| NCEP | National Centers for Environmental Prediction |
| GDAS | Global Data Assimilation System |
| MTSAT | Multifunctional Transport Satellites |
| CIMSS | Cooperative Institute for Meteorological Satellite Studies |
| GRAPES | Global/Regional Assimilation Prediction System |
| RAFS | Rapid updated Forecast System |
| INPSMC | Indochina Peninsula and Maritime Continent |
| RMSVD | Root-Mean-Square Vector Difference |
| BIAS | Speed Bias |
| NMVD | Normalized Mean Vector Differences |
| NC | Number of collocations |
| NBIAS | Normalized Speed Bias |
| NSMC/CMA | National Satellite Meteorological Centre of the Chinese Meteorological Administration |
| AGRI | Advanced Geosynchronous Radiation Imager |
| S-VISSR | Stretched Visible and Infrared Spin Scan Radiometer |
| HIWV | Water vapour channel from FengYun-4A (λ = 6.5 μm) |
| LOWV | Water vapour channel from FengYun-4A (λ = 7.2 μm) |
| JMA | Japan Meteorological Agency |
| CTWV | Water vapour channel from Himawari-8 (λ = 6.2 μm) |
| CAWV | Water vapour channel from Himawari-8 (λ = 6.9 μm) |
| SWIR | Short-wave infrared channels |
| TMD | Thai Meteorological Department |
| MSLP | Minimum sea-level pressure |
| CGMS | Coordination Group for Meteorological Satellites |
| VD | Vector difference |
| MVD | Mean vector difference |
| SPD | Wind speed for reference winds |
| NCAR | National Center for Atmospheric Research |
| WSM6 | WRF Single Moment 6 class microphysics scheme |
| RRTMG | Rapid Radiative Transfer Model for General circulation models |
| WRFDA | Weather Research and Forecasting Variational Data Assimilation |
| BEC | Background error covariance |
| NMC | National Meteorological Centre |
| CONV | Control experiment |
| PREPBUFR | Prepared Binary Universal Form for the Representation of Meteorological Data |
| JTWC | Joint Typhoon Warning Centre |
| NOAA/NESDIS | United States National Oceanic and Atmospheric Administration/National Environmental Satellite, Data, and Information Service |
| IR/WV AMVs | Infrared/Water vapour Atmospheric Motion Vectors |
References
- Nieman, S.J.; Schmetz, J.; Menzel, W.P. A comparison of several techniques to assign heights to cloud tracers. J. Appl. Meteorol. 1993, 32, 1559–1568. [Google Scholar] [CrossRef]
- Velden, C.S.; Hayden, C.M.; Nieman, S.J.; Menzel, W.P.; Wanzong, S.; Goerss, J.S. Upper-tropospheric winds derived from geostationary satellite water vapor observations. Bull. Am. Meteorol. Soc. 1997, 78, 173–195. [Google Scholar] [CrossRef]
- Bedka, K.M.; Mecikalski, J.R. Application of satellite-derived atmospheric motion vectors for estimating meso-scale flows. J. Appl. Meteorol. 2005, 44, 1761–1772. [Google Scholar] [CrossRef]
- Le Marshall, J.F.; Jung, J.; Zapotocny, T.; Redder, C.; Dunn, M.; Daniels, J.; Riishojgaard, L.P. Impact of MODIS atmospheric motion vectors on a global NWP system. Aust. Meteorol. Mag. 2008, 57, 45–51. [Google Scholar]
- Leslie, L.M.; LeMarshall, J.F.; Morison, R.P.; Spinoso, C.; Purser, R.J.; Pescod, N.; Seecamp, R. Improved hurricane track forecasting from the continuous assimilation of high-quality satellite wind data. Mon. Weather Rev. 1998, 126, 1248–1257. [Google Scholar] [CrossRef]
- Soden, J.B.; Velden, C.S.; Tuleya, R.E. The impact of satellite winds on experimental GFDL hurricane model forecasts. Mon. Weather Rev. 2001, 129, 835–852. [Google Scholar] [CrossRef]
- Le Marshall, J.F.; Leslie, L.M.; Abbey, R.F.; Qi, L. Tropical cyclone track and intensity prediction: The generation and assimilation of high-density, satellite-derived data. Meteorol. Atmos. Phys. 2002, 80, 43–57. [Google Scholar] [CrossRef]
- Wang, D.; Liang, X.; Duan, Y. Impact of four-dimensional variational data assimilation of atmospheric motion vectors on tropical cyclone track forecasts. Wea. Forecast. 2006, 21, 663–669. [Google Scholar] [CrossRef]
- Goerss, J.S. Impact of satellite observations on the tropical cyclone track forecasts of the navy operational global atmospheric prediction system. Mon. Weather Rev. 2009, 137, 41–50. [Google Scholar] [CrossRef]
- Langland, R.H.; Velden, C.S.; Pauley, P.M.; Berger, H. Impact of satellite-derived rapid-scan wind observations on numerical model forecasts of hurricane Katrina. Mon. Weather Rev. 2009, 137, 1615–1622. [Google Scholar] [CrossRef]
- Yamashita, K. Observing system experiments of MTSAT-2 rapid scan atmospheric motion vector for T-PARC 2008 using the JMA operational NWP system. In Proceedings of the 10th International Winds Workshop, Tokyo, Japan, 22–26 February 2010. [Google Scholar]
- Deb, S.K.; Kumar, P.; Pal, P.K.; Joshi, P.C. Assimilation of INSAT data in the simulation of the recent tropical Cyclone Aila. Remote Sens. 2011, 32, 5135–5155. [Google Scholar] [CrossRef]
- Velden, C.S.; Lewis, W.E.; Bresky, W.; Stettner, D.; Daniels, J.; Wanzong, S. Assimilation of high-resolution satellite-derived atmospheric motion vectors: Impact on HWRF forecasts of tropical cyclone track and intensity. Mon. Weather Rev. 2017, 145, 1107–1125. [Google Scholar] [CrossRef]
- Berger, H.; Langland, R.H.; Velden, C.S.; Reynolds, C.A.; Pauley, P.M. Impact of enhanced satellite-derived atmospheric motion vector observations on numerical tropical cyclone track forecasts in the western North Pacific during TPARC/TCS-08. J. Appl. Meteorol. Climatol. 2011, 50, 2309–2318. [Google Scholar] [CrossRef]
- Kieu, C.Q.; Truong, N.M.; Mai, H.T.; Ngo-Duc, T. Sensitivity of the track and intensity forecasts of Typhoon Megi (2010) to satellite-derived atmospheric motion vectors with the ensemble Kalman filter. J. Atmos. Ocean. Technol. 2012, 29, 1794–1810. [Google Scholar] [CrossRef]
- Kim, M.; Kim, H.M.; Kim, J.; Kim, S.-M.; Velden, C.S.; Hoover, B. Effect of enhanced satellite-derived atmospheric motion vectors on numerical weather prediction in East Asia using an adjoint-based observation impact method. Wea. Forecast. 2017, 32, 579–594. [Google Scholar] [CrossRef]
- Kim, D.-H.; Kim, H.M. Effect of Assimilating Himawari-8 Atmospheric Motion Vectors on Forecast Errors over East Asia. J. Atmos. Ocean. Technol. 2018, 35, 1737–1752. [Google Scholar] [CrossRef]
- Zhang, X.; Xu, J. Status of operational AMVs from FenfYun-2 satellites. In Proceedings of the 13th International Winds Workshop, Monterey, CA, USA, 27 June–1 July 2016. [Google Scholar]
- Wan, X.M.; Han, W.; Tian, W.H.; He, X.H. The application of intensive FY-2G AMVs in GRAPES_RAFS. Plateau Meteorol. 2018, 37, 1083–1093, (In Chinese with English Abstract). [Google Scholar]
- Wan, X.M.; Gong, J.D.; Han, W.; Tian, W.H. The evaluation of FY-4A AMVs in GRAPES_RAFS. Meteorol. Mon. 2019, 45, 458–468, (In Chinese with English Abstract). [Google Scholar]
- Yang, J.; Zhang, Z.; Wei, C.; Feng, L.U.; Guo, Q. Introducing the new generation of Chinese geostationary weather satellites–Fengyun 4. Bull. Am. Meteorol. Soc. 2017, 98, 1637–1658. [Google Scholar] [CrossRef]
- Yang, C.; Lu, Q.; Zhang, P. A study on height reassignment for the AMV products of the FY-2C satellite. Acta Meteorol. Sin. 2012, 26, 614–628. [Google Scholar] [CrossRef]
- Bessho, K.; Date, K.; Hayashi, M.; Ikeda, A.; Imai, T.; Inoue, H.; Kumagai, Y.; Miyakawa, T.; Murata, H.; Ohno, T.; et al. An introduction to Himawari-8/9—Japan’s new generation geostationary meteorological satellites. J. Meteorol. Soc. 2016, 94, 151–183. [Google Scholar] [CrossRef]
- Shimoji, K. Motion tracking and cloud height assignment method for Himawari-8 AMV. In Proceedings of the 12th International Winds Workshop, Copenhagen, Denmark, 16–20 June 2014. [Google Scholar]
- Shimoji, K. Current status of operational wind products in JMA/MSC. In Proceedings of the 13th International Winds Workshop, Monterey, CA, USA, 27 June–1 July 2016. [Google Scholar]
- Wu, T.-C.; Liu, H.; Majumdar, S.J.; Velden, C.S.; Anderson, J.L. Influence of assimilating satellite-derived atmospheric motion vector observations on numerical analyses and forecasts of tropical cyclone track and intensity. Mon. Weather Rev. 2014, 142, 49–71. [Google Scholar] [CrossRef]
- Wu, T.-C.; Velden, C.S.; Majumdar, S.J.; Liu, H.; Anderson, J.L. Understanding the influence of assimilating subsets of enhanced atmospheric motion vectors on numerical analyses and forecasts of tropical cyclone track and intensity with an ensemble Kalman filter. Mon. Weather Rev. 2015, 143, 2506–2531. [Google Scholar] [CrossRef]
- Sears, J.; Velden, C.S. Validation of satellite-derived atmospheric motion vectors and analyses around tropical disturbances. J. Appl. Meteorol. Climatol. 2012, 51, 1823–1834. [Google Scholar] [CrossRef]
- Menzel, W.P. Report from the Working Group on Verification Statistics. In Proceedings of the 3rd International Winds Workshop, Ascona, Switzerland, 10–12 June 1996. [Google Scholar]
- Velden, C.S.; Holmlund, K. Report from the Working Group on Verification and Quality Indices. In Proceedings of the 4th International Winds Workshop, Saanenmoser, Switzerland, 20–23 October 1998. [Google Scholar]
- Skamarock, W.C.; Klemp, J.B.; Dudhia, J.; Gill, D.O.; Barker, D.M.; Duda, M.G.; Huang, X.Y.; Wang, W.; Powers, J.G. A Description of the Advanced Research WRF, Version 3; NCAR Technical Note; NCAR/TN-475+STR; National Center of Atmospheric Research: Boulder, CO, USA, 2008. [Google Scholar]
- Wicker, L.J.; Skamarock, W.C. Time splitting methods for elastic models using forward time schemes. Mon. Weather Rev. 2002, 130, 2088–2097. [Google Scholar] [CrossRef]
- Hong, S.Y.; Lim, J.O.J. The WRF single-moment 6-class microphysics scheme (WSM6). J. Korean Meteor. Soc. 2006, 42, 129–151. [Google Scholar]
- Tiedtke, M. A comprehensive mass flux scheme for cumulus parameterization in large-scale models. Mon. Weather Rev. 1989, 117, 1779–1800. [Google Scholar] [CrossRef]
- Zhang, C.X.; Wang, Y.Q.; Hamilton, K. Improved representation of boundary layer clouds over the southeast Pacific in ARW-WRF using a modified Tiedtke cumulus parameterization scheme. Mon. Weather Rev. 2011, 139, 3489–3513. [Google Scholar] [CrossRef]
- Hong, S.Y.; Pan, H.L. Non-local boundary layer vertical diffusion in a medium-range forecast model. Mon. Weather Rev. 1996, 124, 2322–2339. [Google Scholar] [CrossRef]
- Hong, S.-Y.; Dudhia, J. Testing of a new non-local boundary layer vertical diffusion scheme in numerical weather prediction applications. In Proceedings of the 20th Conference on Weather Analysis and Forecasting/16th Conference on Numerical Weather Prediction, Seattle, WA, USA, 14 January 2004. [Google Scholar]
- Iacono, M.J.; Delamere, J.S.; Mlawer, E.J.; Shephard, M.W.; Clough, S.A.; Collins, W.D. Radiative forcing by long-lived greenhouse gases: Calculations with the AER radiative transfer models. J. Geophys. Res. Atmos. 2008, 113, D13103. [Google Scholar] [CrossRef]
- Chen, F.; Dudhia, J. Coupling an advanced land-surface/hydrology model with the Penn State/NCAR MM5 modeling system. Part I: Model description and implementation. Mon. Weather Rev. 2001, 129, 569–585. [Google Scholar] [CrossRef]
- Green, B.W.; Zhang, F. Impacts of air–sea flux parameterizations on the intensity and structure of tropical cyclones. Mon. Weather Rev. 2013, 141, 2308–2324. [Google Scholar] [CrossRef]
- Barker, D.M.; Huang, W.; Guo, Y.R.; Bourgeois, A.J.; Xiao, Q.N. A three- dimensional variational data assimilation system for MM5: Implementation and initial results. Mon. Weather Rev. 2004, 132, 897–914. [Google Scholar] [CrossRef]
- Barker, D.M.; Coauthors, W. The Weather Research and Forecasting model’s Community Variational/Ensemble Data Assimilation System: WRFDA. Bull. Am. Meteorol. Soc. 2012, 93, 831–843. [Google Scholar] [CrossRef] [Green Version]
- Parrish, D.F.; Derber, J.C. The National Meteorological Center’s spectral statistical-interpolation analysis system. Mon. Weather Rev. 1992, 120, 1747–1763. [Google Scholar] [CrossRef]
- Wu, W.-S.; Purser, R.J.; Parrish, D.F. Three-dimensional variational analysis with spatially inhomogeneous covariances. Mon. Weather Rev. 2002, 130, 2905–2916. [Google Scholar] [CrossRef]
- Cordoba, M.; Dance, S.L.; Kelly, G.A.; Nichols, N.K.; Waller, J.A. Diagnosing atmospheric motion vector observation errors for an operational high-resolution data assimilation system. R. Meteorol. Soc. 2017, 143, 333–341. [Google Scholar] [CrossRef]
- Holmlund, K. The utilization of statistical properties of satellite-derived atmospheric motion vectors to derive quality indicators. Weather Forecast. 1998, 13, 1093–1104. [Google Scholar] [CrossRef]
- Zhang, X.; Xu, J. Status of AMVs from FenfYun satellites. In Proceedings of the 15th International Winds Workshop, Virtual De Bilt, The Netherlands, 12–16 April 2021. [Google Scholar]

















| Experiments Name | Data used for Assimilation to d01 | Forecast Initial Time | Forecast Hours |
|---|---|---|---|
| CONV | Conventional * (No AMVs) | 06UTC 1 January | 72 |
| 18UTC 1 January | 72 | ||
| 06UTC 2 January | 72 | ||
| 18UTC 2 January | 72 | ||
| 06UTC 3 January | 72 | ||
| 18UTC 3 January | 48 | ||
| FY2G | Conventional * and FY-2G AMVs (IR, and WV) | 06UTC 1 January | 72 |
| 18UTC 1 January | 72 | ||
| 06UTC 2 January | 72 | ||
| 18UTC 2 January | 72 | ||
| 06UTC 3 January | 72 | ||
| 18UTC 3 January | 48 | ||
| FY4A | Conventional * and FY-4A AMVs (IR, HIWV, and LOWV) | 06UTC 1 January | 72 |
| 18UTC 1 January | 72 | ||
| 06UTC 2 January | 72 | ||
| 18UTC 2 January | 72 | ||
| 06UTC 3 January | 72 | ||
| 18UTC 3 January | 48 | ||
| HIM8 | Conventional *and HIMA-8 AMVs (IR, CTWV, and CAWV) | 06UTC 1 January | 72 |
| 18UTC 1 January | 72 | ||
| 06UTC 2 January | 72 | ||
| 18UTC 2 January | 72 | ||
| 06UTC 3 January | 72 | ||
| 18UTC 3 January | 48 |
| FY-2G | FY-4A | HIMA-8 | |||||||
|---|---|---|---|---|---|---|---|---|---|
| High | Mid | Low | High | Mid | Low | High | Mid | Low | |
| Nov-18 | |||||||||
| RMSVD | 4.8 | 6.51 | 3.35 | 6.36 | 6.48 | 4.87 | 4.41 | 4.15 | 2.42 |
| BIAS | −0.59 | −0.92 | −0.12 | 2.9 | 3.16 | 3.21 | 0.66 | −0.42 | 0.14 |
| NC * | 747,216 | 145,120 | 202,812 | 436,959 | 291,448 | 366,732 | 820,055 | 61,627 | 245,949 |
| Dec-18 | |||||||||
| RMSVD | 4.83 | 6.61 | 3.62 | 6.21 | 6.66 | 5.02 | 4.59 | 4.89 | 2.84 |
| BIAS | −0.59 | −1.52 | −0.01 | 2.59 | 2.68 | 3.1 | 0.58 | −0.87 | 0.01 |
| NC * | 790,555 | 143,295 | 16,1222 | 498,574 | 324,989 | 300,173 | 869,395 | 71,921 | 237,993 |
| Jan-19 | |||||||||
| RMSVD | 4.9 | 6.81 | 3.36 | 6.3 | 6.9 | 4.92 | 4.72 | 4.77 | 2.72 |
| BIAS | −0.48 | −1.43 | −0.03 | 2.43 | 2.32 | 3.17 | 0.84 | −0.74 | −0.12 |
| NC * | 637,215 | 160,692 | 225,263 | 383,339 | 294,292 | 424,238 | 753,067 | 60,960 | 318,849 |
| FY-2G | FY-4A | HIMA-8 | ||||||||
|---|---|---|---|---|---|---|---|---|---|---|
| WV | HIWV | LOWV | CTWV | CAWV | ||||||
| High | Mid | High | Mid | High | Mid | High | Mid | High | Mid | |
| Nov-18 | ||||||||||
| RMSVD | 4.69 | 4.95 | 5.18 | 5.46 | 5.06 | 4.91 | 4.17 | - | 4.42 | 4.4 |
| BIAS | 0.64 | −0.98 | −3.05 | −3.03 | −2.61 | −2.32 | 0.94 | - | 0.75 | 0.39 |
| NC * | 1,251,666 | 153,818 | 1,577,073 | 51,333 | 1,415,997 | 230,033 | 882,554 | - | 98,795 | 20,331 |
| Dec-18 | ||||||||||
| RMSVD | 4.74 | 4.83 | 5.06 | 5.46 | 5.09 | 4.77 | 4.38 | - | 4.63 | 4.55 |
| BIAS | 0.8 | −0.72 | −2.84 | −3.24 | −2.57 | −2.36 | 0.97 | - | 1.16 | 0.46 |
| NC * | 1,268,636 | 133,206 | 1,642,542 | 37,445 | 1,572,873 | 177,435 | 93,9433 | - | 73,758 | 12,105 |
| Jan-19 | ||||||||||
| RMSVD | 4.87 | 5.09 | 4.87 | 6.28 | 5.07 | 5.39 | 4.53 | - | 4.89 | 4.91 |
| BIAS | 0.98 | −0.66 | −2.35 | −3.65 | −2.29 | −2.7 | 1.13 | - | 1.34 | 0.19 |
| NC * | 1,041,683 | 140,649 | 1,512,157 | 33,524 | 1,294,358 | 119,479 | 836,825 | - | 70,867 | 11,459 |
Publisher’s Note: MDPI stays neutral with regard to jurisdictional claims in published maps and institutional affiliations. |
© 2022 by the authors. Licensee MDPI, Basel, Switzerland. This article is an open access article distributed under the terms and conditions of the Creative Commons Attribution (CC BY) license (https://creativecommons.org/licenses/by/4.0/).
Share and Cite
Yiemwech, J.; Chen, Y.; Shen, J.; Wang, Y.; Alriah, M.A.A. Assessment of FY-2G, FY-4A, and Himawari-8 Atmospheric Motion Vectors over Southeast Asia and Their Assimilating Impact on the Forecasts of Tropical Cyclone PABUK. Remote Sens. 2022, 14, 4311. https://doi.org/10.3390/rs14174311
Yiemwech J, Chen Y, Shen J, Wang Y, Alriah MAA. Assessment of FY-2G, FY-4A, and Himawari-8 Atmospheric Motion Vectors over Southeast Asia and Their Assimilating Impact on the Forecasts of Tropical Cyclone PABUK. Remote Sensing. 2022; 14(17):4311. https://doi.org/10.3390/rs14174311
Chicago/Turabian StyleYiemwech, Jaral, Yaodeng Chen, Jie Shen, Yuanbing Wang, and Mohamed Abdallah Ahmed Alriah. 2022. "Assessment of FY-2G, FY-4A, and Himawari-8 Atmospheric Motion Vectors over Southeast Asia and Their Assimilating Impact on the Forecasts of Tropical Cyclone PABUK" Remote Sensing 14, no. 17: 4311. https://doi.org/10.3390/rs14174311
APA StyleYiemwech, J., Chen, Y., Shen, J., Wang, Y., & Alriah, M. A. A. (2022). Assessment of FY-2G, FY-4A, and Himawari-8 Atmospheric Motion Vectors over Southeast Asia and Their Assimilating Impact on the Forecasts of Tropical Cyclone PABUK. Remote Sensing, 14(17), 4311. https://doi.org/10.3390/rs14174311

