Monitoring Key Wheat Growth Variables by Integrating Phenology and UAV Multispectral Imagery Data into Random Forest Model
Abstract
:1. Introduction
- (1)
- To verify the phenology effect on retrieving wheat crop parameters from UAV multispectral data;
- (2)
- To use RF models to evaluate the accuracy of different combinations of band reflections, Vis, and PIs in wheat parameters prediction;
- (3)
- To Specify the accuracy of different growth stages and N treatments in established models to understand the model applicability.
2. Materials and Methods
2.1. Experimental Site and Design
2.2. Crop Data Acquisition and Calculation of Nitrogen Nutrient Index
2.3. Acquisition and Preprocessing of UAV Images
2.4. Feature Extraction and Determination
2.5. Data Analysis and Model Establishment
2.6. Model Evaluation
3. Results
3.1. Statistics of Crop Data and Their Relationships with Selected Bands and VIs
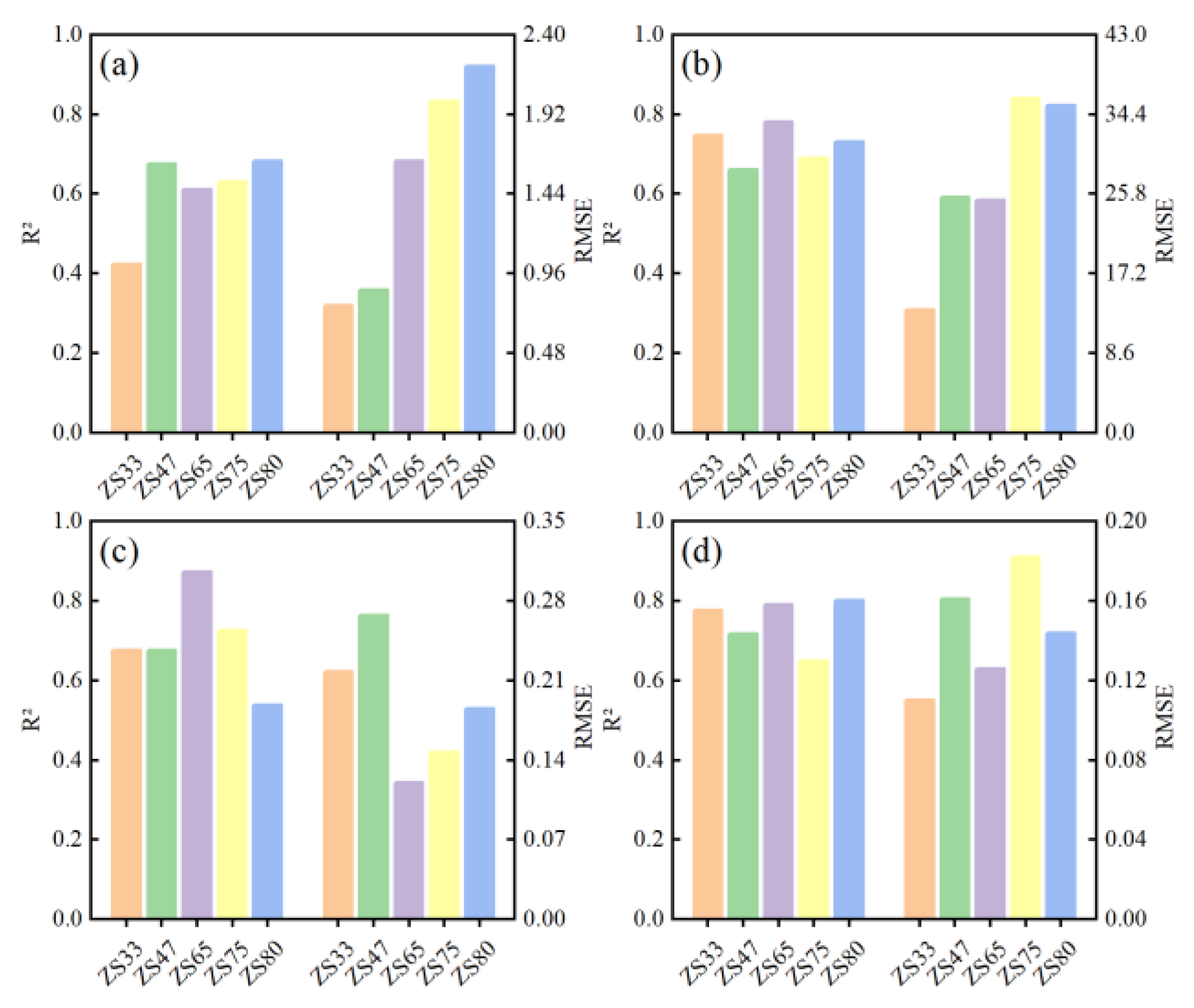
3.2. Phenology Contribution in Estimating Crop Data
3.3. RF Model Results of Different Combinations
3.3.1. Model Results Using All Features
3.3.2. Model Iteration and Feature Selection Results
3.4. Model Validation and Spatial Results of UAV Data
3.5. Model Accuracy in Different STAGES and N treatments
4. Discussion
4.1. Comparison between Models Using Band or VI
4.2. Integrating PIs into Crop Growth Monitoring Is Promising
4.3. Other Machine Learning Models Integrated with PIs
5. Conclusions
Author Contributions
Funding
Data Availability Statement
Acknowledgments
Conflicts of Interest
References
- Zörb, C.; Ludewig, U.; Hawkesford, M.J. Perspective on wheat yield and quality with reduced nitrogen supply. Trends Plant Sci. 2018, 23, 1029–1037. [Google Scholar] [CrossRef] [Green Version]
- Berger, K.; Verrelst, J.; Féret, J.-B.; Wang, Z.; Wocher, M.; Strathmann, M.; Danner, M.; Mauser, W.; Hank, T. Crop nitrogen monitoring: Recent progress and principal developments in the context of imaging spectroscopy missions. Remote Sens. Environ. 2020, 242, 111758. [Google Scholar] [CrossRef]
- Gao, Z.; Wang, C.; Zhao, J.; Wang, K.; Shang, M.; Qin, Y.; Bo, X.; Chen, F.; Chu, Q. Adopting different irrigation and nitrogen management based on precipitation year types balances winter wheat yields and greenhouse gas emissions. Field Crops Res. 2022, 280, 108484. [Google Scholar] [CrossRef]
- Subbarao, G.; Searchinger, T.D. Opinion: A “more ammonium solution” to mitigate nitrogen pollution and boost crop yields. Proc. Natl. Acad. Sci. USA 2021, 118, e2107576118. [Google Scholar] [CrossRef]
- Pullanagari, R.R.; Dehghan-Shoar, M.; Yule, I.J.; Bhatia, N. Field spectroscopy of canopy nitrogen concentration in temperate grasslands using a convolutional neural network. Remote Sens. Environ. 2021, 257, 112353. [Google Scholar] [CrossRef]
- Lemaire, G.; Meynard, J.M. Use of the nitrogen nutrition index for the analysis of agronomical data. In Diagnosis of the Nitrogen Status in Crops; Springer: Berlin/Heidelberg, Germany, 1997; pp. 45–55. [Google Scholar] [CrossRef]
- Justes, E.; Mary, B.; Meynard, J.-M.; Machet, J.-M.; Thelier-Huché, L. Determination of a critical nitrogen dilution curve for winter wheat crops. Ann. Bot. 1994, 74, 397–407. [Google Scholar] [CrossRef]
- Zheng, H.; Cheng, T.; Li, D.; Yao, X.; Tian, Y.; Cao, W.; Zhu, Y. Combining Unmanned Aerial Vehicle (UAV)-Based Multispectral Imagery and Ground-Based Hyperspectral Data for Plant Nitrogen Concentration Estimation in Rice. Front. Plant Sci. 2018, 9, 936. [Google Scholar] [CrossRef]
- Fu, Y.; Yang, G.; Li, Z.; Li, H.; Li, Z.; Xu, X.; Song, X.; Zhang, Y.; Duan, D.; Zhao, C.; et al. Progress of hyperspectral data processing and modelling for cereal crop nitrogen monitoring. Comput. Electron. Agric. 2020, 172, 105321. [Google Scholar] [CrossRef]
- Verrelst, J.; Camps-Valls, G.; Muñoz-Marí, J.; Rivera, J.P.; Veroustraete, F.; Clevers, J.G.P.W.; Moreno, J. Optical remote sensing and the retrieval of terrestrial vegetation bio-geophysical properties—A review. ISPRS J. Photogramm. Remote Sens. 2015, 108, 273–290. [Google Scholar] [CrossRef]
- Jin, X.; Zarco-Tejada, P.J.; Schmidhalter, U.; Reynolds, M.P.; Hawkesford, M.J.; Varshney, R.K.; Yang, T.; Nie, C.; Li, Z.; Ming, B. High-throughput estimation of crop traits: A review of ground and aerial phenotyping platforms. IEEE Geosci. Remote Sens. Mag. 2020, 9, 200–231. [Google Scholar] [CrossRef]
- Wang, F.; Yang, M.; Ma, L.; Zhang, T.; Qin, W.; Li, W.; Zhang, Y.; Sun, Z.; Wang, Z.; Li, F.; et al. Estimation of Above-Ground Biomass of Winter Wheat Based on Consumer-Grade Multi-Spectral UAV. Remote Sens. 2022, 14, 1251. [Google Scholar] [CrossRef]
- Jiang, J.; Zhang, Z.; Cao, Q.; Liang, Y.; Krienke, B.; Tian, Y.; Zhu, Y.; Cao, W.; Liu, X. Use of an Active Canopy Sensor Mounted on an Unmanned Aerial Vehicle to Monitor the Growth and Nitrogen Status of Winter Wheat. Remote Sens. 2020, 12, 3684. [Google Scholar] [CrossRef]
- Song, X.; Yang, G.; Xu, X.; Zhang, D.; Yang, C.; Feng, H. Winter Wheat Nitrogen Estimation Based on Ground-Level and UAV-Mounted Sensors. Sensors 2022, 22, 549. [Google Scholar] [CrossRef]
- Fu, Y.; Yang, G.; Li, Z.; Song, X.; Li, Z.; Xu, X.; Wang, P.; Zhao, C. Winter Wheat Nitrogen Status Estimation Using UAV-Based RGB Imagery and Gaussian Processes Regression. Remote Sens. 2020, 12, 3778. [Google Scholar] [CrossRef]
- Lu, N.; Zhou, J.; Han, Z.; Li, D.; Cao, Q.; Yao, X.; Tian, Y.; Zhu, Y.; Cao, W.; Cheng, T. Improved estimation of aboveground biomass in wheat from RGB imagery and point cloud data acquired with a low-cost unmanned aerial vehicle system. Plant Methods 2019, 15, 17. [Google Scholar] [CrossRef] [PubMed] [Green Version]
- Li, Z.; Jin, X.; Yang, G.; Drummond, J.; Yang, H.; Clark, B.; Li, Z.; Zhao, C. Remote Sensing of Leaf and Canopy Nitrogen Status in Winter Wheat (Triticum aestivum L.) Based on N-PROSAIL Model. Remote Sens. 2018, 10, 1463. [Google Scholar] [CrossRef] [Green Version]
- Verrelst, J.; Malenovský, Z.; Van der Tol, C.; Camps-Valls, G.; Gastellu-Etchegorry, J.-P.; Lewis, P.; North, P.; Moreno, J. Quantifying Vegetation Biophysical Variables from Imaging Spectroscopy Data: A Review on Retrieval Methods. Surv. Geophys. 2019, 40, 589–629. [Google Scholar] [CrossRef] [Green Version]
- Qiu, Z.; Ma, F.; Li, Z.; Xu, X.; Ge, H.; Du, C. Estimation of nitrogen nutrition index in rice from UAV RGB images coupled with machine learning algorithms. Comput. Electron. Agric. 2021, 189, 106421. [Google Scholar] [CrossRef]
- Yue, J.; Yang, G.; Tian, Q.; Feng, H.; Xu, K.; Zhou, C. Estimate of winter-wheat above-ground biomass based on UAV ultrahigh-ground-resolution image textures and vegetation indices. ISPRS J. Photogramm. Remote Sens. 2019, 150, 226–244. [Google Scholar] [CrossRef]
- Breiman, L. Random forests. Mach. Learn. 2001, 45, 5–32. [Google Scholar] [CrossRef] [Green Version]
- Wang, S.; Azzari, G.; Lobell, D.B. Crop type mapping without field-level labels: Random Forest transfer and unsupervised clustering techniques. Remote Sens. Environ. 2019, 222, 303–317. [Google Scholar] [CrossRef]
- Yang, S.; Hu, L.; Wu, H.; Ren, H.; Qiao, H.; Li, P.; Fan, W. Integration of Crop Growth Model and Random Forest for Winter Wheat Yield Estimation from UAV Hyperspectral Imagery. IEEE J. Sel. Top. Appl. Earth Obs. Remote Sens. 2021, 14, 6253–6269. [Google Scholar] [CrossRef]
- Prado Osco, L.; Marques Ramos, A.P.; Roberto Pereira, D.; Akemi Saito Moriya, É.; Nobuhiro Imai, N.; Takashi Matsubara, E.; Estrabis, N.; de Souza, M.; Marcato Junior, J.; Gonçalves, W.N.; et al. Predicting Canopy Nitrogen Content in Citrus-Trees Using Random Forest Algorithm Associated to Spectral Vegetation Indices from UAV-Imagery. Remote Sens. 2019, 11, 2925. [Google Scholar] [CrossRef] [Green Version]
- Zha, H.; Miao, Y.; Wang, T.; Li, Y.; Zhang, J.; Sun, W.; Feng, Z.; Kusnierek, K. Improving Unmanned Aerial Vehicle Remote Sensing-Based Rice Nitrogen Nutrition Index Prediction with Machine Learning. Remote Sens. 2020, 12, 215. [Google Scholar] [CrossRef] [Green Version]
- Jacquemoud, S.; Verhoef, W.; Baret, F.; Bacour, C.; Zarco-Tejada, P.J.; Asner, G.P.; François, C.; Ustin, S.L. PROSPECT+SAIL models: A review of use for vegetation characterization. Remote Sens. Environ. 2009, 113, S56–S66. [Google Scholar] [CrossRef]
- Boogaard, H.; Van Diepen, C.; Rotter, R.; Cabrera, J.; Van Laar, H. WOFOST 7.1; user’s guide for the WOFOST 7.1 crop growth simulation model and WOFOST Control Center 1.5. Ann. Appl. Biol. 1998. [Google Scholar]
- Li, P.; Zhang, X.; Wang, W.; Zheng, H.; Yao, X.; Tian, Y.; Zhu, Y.; Cao, W.; Chen, Q.; Cheng, T. Estimating aboveground and organ biomass of plant canopies across the entire season of rice growth with terrestrial laser scanning. Int. J. Appl. Earth Obs. Geoinf. 2020, 91, 102132. [Google Scholar] [CrossRef]
- Guo, Y.; Fu, Y.; Hao, F.; Zhang, X.; Wu, W.; Jin, X.; Robin Bryant, C.; Senthilnath, J. Integrated phenology and climate in rice yields prediction using machine learning methods. Ecol. Indic. 2021, 120, 106935. [Google Scholar] [CrossRef]
- Li, Z.; Taylor, J.; Yang, H.; Casa, R.; Jin, X.; Li, Z.; Song, X.; Yang, G. A hierarchical interannual wheat yield and grain protein prediction model using spectral vegetative indices and meteorological data. Field Crops Res. 2020, 248, 107711. [Google Scholar] [CrossRef]
- Wang, L.; Chen, S.; Li, D.; Wang, C.; Jiang, H.; Zheng, Q.; Peng, Z. Estimation of Paddy Rice Nitrogen Content and Accumulation Both at Leaf and Plant Levels from UAV Hyperspectral Imagery. Remote Sens. 2021, 13, 2956. [Google Scholar] [CrossRef]
- Ge, H.; Xiang, H.; Ma, F.; Li, Z.; Qiu, Z.; Tan, Z.; Du, C. Estimating Plant Nitrogen Concentration of Rice through Fusing Vegetation Indices and Color Moments Derived from UAV-RGB Images. Remote Sens. 2021, 13, 1620. [Google Scholar] [CrossRef]
- Li, D.; Miao, Y.; Gupta, S.K.; Rosen, C.J.; Yuan, F.; Wang, C.; Wang, L.; Huang, Y. Improving Potato Yield Prediction by Combining Cultivar Information and UAV Remote Sensing Data Using Machine Learning. Remote Sens. 2021, 13, 3322. [Google Scholar] [CrossRef]
- Dong, R.; Miao, Y.; Wang, X.; Yuan, F.; Kusnierek, K. Canopy Fluorescence Sensing for In-Season Maize Nitrogen Status Diagnosis. Remote Sens. 2021, 13, 5141. [Google Scholar] [CrossRef]
- Zhang, X.; Han, L.; Sobeih, T.; Lappin, L.; Lee, M.A.; Howard, A.; Kisdi, A. The Self-Supervised Spectral and Spatial Vision Transformer Network for Accurate Prediction of Wheat Nitrogen Status from UAV Imagery. Remote Sens. 2022, 14, 1400. [Google Scholar] [CrossRef]
- Lemaire, G.; Jeuffroy, M.-H.; Gastal, F. Diagnosis tool for plant and crop N status in vegetative stage: Theory and practices for crop N management. Eur. J. Agron. 2008, 28, 614–624. [Google Scholar] [CrossRef]
- Zhao, Y.; Chen, P.; Li, Z.; Casa, R.; Feng, H.; Yang, G.; Yang, W.; Wang, J.; Xu, X. A modified critical nitrogen dilution curve for winter wheat to diagnose nitrogen status under different nitrogen and irrigation rates. Front. Plant Sci. 2020, 11, 549636. [Google Scholar] [CrossRef]
- Daughtry, C.S.; Walthall, C.; Kim, M.; De Colstoun, E.B.; McMurtrey Iii, J. Estimating corn leaf chlorophyll concentration from leaf and canopy reflectance. Remote Sens. Environ. 2000, 74, 229–239. [Google Scholar] [CrossRef]
- Verstraete, M.M.; Pinty, B.; Myneni, R.B. Potential and limitations of information extraction on the terrestrial biosphere from satellite remote sensing. Remote Sens. Environ. 1996, 58, 201–214. [Google Scholar] [CrossRef]
- Jiang, Z.; Huete, A.R.; Didan, K.; Miura, T. Development of a two-band enhanced vegetation index without a blue band. Remote Sens. Environ. 2008, 112, 3833–3845. [Google Scholar] [CrossRef]
- Datt, B. A New Reflectance Index for Remote Sensing of Chlorophyll Content in Higher Plants: Tests using Eucalyptus Leaves. J. Plant Physiol. 1999, 154, 30–36. [Google Scholar] [CrossRef]
- Peng, G.; Ruiliang, P.; Biging, G.S.; Larrieu, M.R. Estimation of forest leaf area index using vegetation indices derived from Hyperion hyperspectral data. IEEE Trans. Geosci. Remote Sens. 2003, 41, 1355–1362. [Google Scholar] [CrossRef] [Green Version]
- Qi, J.; Chehbouni, A.; Huete, A.R.; Kerr, Y.H.; Sorooshian, S. A modified soil adjusted vegetation index. Remote Sens. Environ. 1994, 48, 119–126. [Google Scholar] [CrossRef]
- Chen, J.M. Evaluation of Vegetation Indices and a Modified Simple Ratio for Boreal Applications. Can. J. Remote Sens. 1996, 22, 229–242. [Google Scholar] [CrossRef]
- Barnes, E.; Clarke, T.; Richards, S.; Colaizzi, P.; Haberland, J.; Kostrzewski, M.; Waller, P.; Choi, C.; Riley, E.; Thompson, T. Coincident detection of crop water stress, nitrogen status and canopy density using ground based multispectral data. In Proceedings of the Fifth International Conference on Precision Agriculture, Bloomington, MN, USA, 16–19 July 2000. [Google Scholar]
- Rouse, J.; Haas, R.; Schell, J.; Deering, D. Monitoring vegetation systems in the great plains with ERTS proceeding. In Proceedings of the Third Earth Reserves Technology Satellite Symposium, Greenbelt: NASA SP-351, Washington, DC, USA, 10–14 December 1973. [Google Scholar]
- Pearson, R.L.; Miller, L.D. Remote mapping of standing crop biomass for estimation of the productivity of the shortgrass prairie. Remote Sens. Environ. 1972, VIII, 1355. [Google Scholar]
- Huete, A.R. A soil-adjusted vegetation index (SAVI). Remote Sens. Environ. 1988, 25, 295–309. [Google Scholar] [CrossRef]
- Zadoks, J.C.; Chang, T.T.; Konzak, C.F. A decimal code for the growth stages of cereals. Weed Res. 1974, 14, 415–421. [Google Scholar] [CrossRef]
- Feng, Q.; Liu, J.; Gong, J. UAV remote sensing for urban vegetation mapping using random forest and texture analysis. Remote Sens. 2015, 7, 1074–1094. [Google Scholar] [CrossRef] [Green Version]
- Liu, S.; Zeng, W.; Wu, L.; Lei, G.; Chen, H.; Gaiser, T.; Srivastava, A.K. Simulating the Leaf Area Index of Rice from Multispectral Images. Remote Sens. 2021, 13, 3663. [Google Scholar] [CrossRef]
- Kanke, Y.; Raun, W.; Solie, J.; Stone, M.; Taylor, R. Red edge as a potential index for detecting differences in plant nitrogen status in winter wheat. J. Plant Nutr. 2012, 35, 1526–1541. [Google Scholar] [CrossRef]
- Wang, Y.; Zhang, K.; Tang, C.; Cao, Q.; Tian, Y.; Zhu, Y.; Cao, W.; Liu, X. Estimation of rice growth parameters based on linear mixed-effect model using multispectral images from fixed-wing unmanned aerial vehicles. Remote Sens. 2019, 11, 1371. [Google Scholar] [CrossRef] [Green Version]
- Zhang, J.; Cheng, T.; Shi, L.; Wang, W.; Niu, Z.; Guo, W.; Ma, X. Combining spectral and texture features of UAV hyperspectral images for leaf nitrogen content monitoring in winter wheat. Int. J. Remote Sens. 2022, 43, 2335–2356. [Google Scholar] [CrossRef]
- Zhao, B.; Zhang, Y.; Duan, A.; Liu, Z.; Xiao, J.; Liu, Z.; Qin, A.; Ning, D.; Li, S.; Ata-Ul-Karim, S.T. Estimating the Growth Indices and Nitrogen Status Based on Color Digital Image Analysis During Early Growth Period of Winter Wheat. Front. Plant Sci. 2021, 12, 619522. [Google Scholar] [CrossRef]
- Yue, J.; Yang, G.; Li, C.; Li, Z.; Wang, Y.; Feng, H.; Xu, B. Estimation of Winter Wheat Above-Ground Biomass Using Unmanned Aerial Vehicle-Based Snapshot Hyperspectral Sensor and Crop Height Improved Models. Remote Sens. 2017, 9, 708. [Google Scholar] [CrossRef] [Green Version]
- Fu, Z.; Yu, S.; Zhang, J.; Xi, H.; Gao, Y.; Lu, R.; Zheng, H.; Zhu, Y.; Cao, W.; Liu, X. Combining UAV multispectral imagery and ecological factors to estimate leaf nitrogen and grain protein content of wheat. Eur. J. Agron. 2022, 132, 126405. [Google Scholar] [CrossRef]
- Dong, L.; Du, H.; Han, N.; Li, X.; Zhu, D.E.; Mao, F.; Zhang, M.; Zheng, J.; Liu, H.; Huang, Z.; et al. Application of Convolutional Neural Network on Lei Bamboo Above-Ground-Biomass (AGB) Estimation Using Worldview-2. Remote Sens. 2020, 12, 958. [Google Scholar] [CrossRef] [Green Version]
- Yang, Q.; Shi, L.; Han, J.; Yu, J.; Huang, K. A near real-time deep learning approach for detecting rice phenology based on UAV images. Agric. For. Meteorol. 2020, 287, 107938. [Google Scholar] [CrossRef]
- Li, Z.; Zhao, Y.; Taylor, J.; Gaulton, R.; Jin, X.; Song, X.; Li, Z.; Meng, Y.; Chen, P.; Feng, H.; et al. Comparison and transferability of thermal, temporal and phenological-based in-season predictions of above-ground biomass in wheat crops from proximal crop reflectance data. Remote Sens. Environ. 2022, 273, 112967. [Google Scholar] [CrossRef]
- Yang, Q.; Shi, L.; Han, J.; Chen, Z.; Yu, J. A VI-based phenology adaptation approach for rice crop monitoring using UAV multispectral images. Field Crops Res. 2022, 277, 108419. [Google Scholar] [CrossRef]
- Yang, X.; Guo, R.; Knops, J.M.H.; Mei, L.; Kang, F.; Zhang, T.; Guo, J. Shifts in plant phenology induced by environmental changes are small relative to annual phenological variation. Agric. For. Meteorol. 2020, 294, 108144. [Google Scholar] [CrossRef]
- Large, E.C. Growth stages in cereals. Illustration of the Feekes scale. Plant Pathol. 1954, 3, 128–129. [Google Scholar] [CrossRef]
- Bian, C.; Shi, H.; Wu, S.; Zhang, K.; Wei, M.; Zhao, Y.; Sun, Y.; Zhuang, H.; Zhang, X.; Chen, S. Prediction of Field-Scale Wheat Yield Using Machine Learning Method and Multi-Spectral UAV Data. Remote Sens. 2022, 14, 1474. [Google Scholar] [CrossRef]













| Data Type | Features | Acronym | Equation | Reference |
|---|---|---|---|---|
| Original Reflectance | Blue Band Reflectance | B | Reflectance of B band | / |
| Green Band Reflectance | G | Reflectance of G band | / | |
| Red Band Reflectance | R | Reflectance of R band | / | |
| RedEdge Band Reflectance | RE | Reflectance of RE band | / | |
| Near-Infrared Band Reflectance | NIR | Reflectance of NIR band | / | |
| Vegetation Indices | Difference Vegetation Index | DVI | NIR − R | [38] |
| Enhanced Vegetation Index | EVI | [39] | ||
| Enhanced Vegetation Index 2 | EVI2 | [40] | ||
| Leaf Chlorophyll Index | LCI | [41] | ||
| Modified Chlorophyll Absorbtion Ratio Index | MCARI | [38] | ||
| Modified Non-Linear Index | MNLI | [42] | ||
| Modified Soil-Adjusted Vegetation Index | MSAVI | [43] | ||
| Modified Simple Ratio Index | MSR | [44] | ||
| Normalized Difference Red-Edge | NDRE | [45] | ||
| Normalized Difference Vegetation Index | NDVI | [46] | ||
| Ratio Vegetation Index | RVI | [47] | ||
| Soil-Adjusted Vegetation Index | SAVI | [48] | ||
| Phenology Indicators | Phenology Indicators | PI | 33 (jointing stage), 47 (flag leaf stage), 65 (anthesis), 75 (early filling), 80 (late filling) | [49] |
| Band | VI | PI | |
|---|---|---|---|
| C1 | √ | ||
| C2 | √ | ||
| C3 | √ | √ | |
| C4 | √ | √ | |
| C5 | √ | √ | |
| C6 | √ | √ | √ |
| Feature | AGB | PNA | PNC | NNI | |
|---|---|---|---|---|---|
| Original Reflectance | Blue | 0.21 ** | 0.17 ** | 0.00 ns | 0.13 ** |
| Green | 0.22 ** | 0.25 ** | 0.08 ** | 0.26 ** | |
| Red | 0.25 ** | 0.35 ** | 0.19 ** | 0.42 ** | |
| RE | 0.11 ** | 0.07 ** | 0.00 ns | 0.03 * | |
| NIR | 0.03 * | 0.14 ** | 0.21 ** | 0.24 ** | |
| Vegetation Indices | DVI | 0.16 ** | 0.35 ** | 0.35 ** | 0.52 ** |
| EVI | 0.1 ** | 0.29 ** | 0.39 ** | 0.48 ** | |
| EVI2 | 0.38 ** | 0.5 ** | 0.06 ** | 0.52 ** | |
| LCI | 0.28 ** | 0.33 ** | 0.08 ** | 0.34 ** | |
| MCARI | 0.21 ** | 0.37 ** | 0.29 ** | 0.49 ** | |
| MNLI | 0.22 ** | 0.43 ** | 0.33 ** | 0.59 ** | |
| MSAVI | 0.23 ** | 0.45 ** | 0.36 ** | 0.61 ** | |
| MSR | 0.31 ** | 0.52 ** | 0.29 ** | 0.63 ** | |
| NDRE | 0.64 ** | 0.58 ** | 0.01 ns | 0.43 ** | |
| NDVI | 0.3 ** | 0.49 ** | 0.32 ** | 0.61 ** | |
| RVI | 0.3 ** | 0.5 ** | 0.26 ** | 0.6 ** | |
| SAVI | 0.23 ** | 0.45 ** | 0.36 ** | 0.61 ** |
| Factor | AGB | PNA | PNC | NNI | ||||
|---|---|---|---|---|---|---|---|---|
| p Value | Contribution | p Value | Contribution | p Value | Contribution | p Value | Contribution | |
| V | 0.941 | 0.00% | 0.654 | 0.15% | 0.114 | 1.22% | 0.428 | 0.59% |
| N | 0.000 | 36.81% | 0.000 | 51.53% | 0.000 | 41.54% | 0.000 | 72.64% |
| P | 0.000 | 49.87% | 0.000 | 35.02% | 0.000 | 40.22% | 0.001 | 16.04% |
| V*N | 0.819 | 0.64% | 0.616 | 1.35% | 0.237 | 2.04% | 0.593 | 1.75% |
| V*P | 0.990 | 0.21% | 0.975 | 0.36% | 0.963 | 0.29% | 0.946 | 0.69% |
| N*P | 0.123 | 10.96% | 0.287 | 9.78% | 0.004 | 12.22% | 0.873 | 5.88% |
| V*N*P | 0.999 | 1.52% | 0.998 | 1.80% | 0.947 | 2.45% | 0.997 | 2.42% |
| R2 | RMSE | NRMSE | ||||||||||
|---|---|---|---|---|---|---|---|---|---|---|---|---|
| AGB | PNA | PNC | NNI | AGB | PNA | PNC | NNI | AGB | PNA | PNC | NNI | |
| C1 | 0.62 | 0.67 | 0.42 | 0.68 | 2.25 | 33.96 | 0.33 | 0.16 | 14.65 | 14.13 | 16.44 | 15.15 |
| C2 | 0.81 | 0.78 | 0.76 | 0.74 | 1.57 | 27.9 | 0.21 | 0.14 | 10.24 | 11.61 | 10.38 | 13.61 |
| C3 | 0.81 | 0.78 | 0.78 | 0.75 | 1.58 | 27.53 | 0.20 | 0.14 | 10.31 | 11.45 | 10.00 | 13.28 |
| C4 | 0.74 | 0.69 | 0.67 | 0.67 | 1.86 | 33.02 | 0.25 | 0.16 | 12.15 | 15.93 | 12.36 | 15.34 |
| C5 | 0.82 | 0.78 | 0.74 | 0.74 | 1.56 | 27.75 | 0.21 | 0.14 | 10.15 | 11.55 | 10.83 | 13.57 |
| C6 | 0.82 | 0.79 | 0.75 | 0.76 | 1.56 | 27.06 | 0.21 | 0.14 | 10.16 | 11.26 | 10.62 | 13.18 |
| R2 | RMSE | NRMSE | ||||||||||
|---|---|---|---|---|---|---|---|---|---|---|---|---|
| AGB | PNA | PNC | NNI | AGB | PNA | PNC | NNI | AGB | PNA | PNC | NNI | |
| C1 | 0.45 | 0.46 | 0.39 | 0.68 | 2.79 | 45.52 | 0.34 | 0.16 | 18.19 | 18.94 | 17.04 | 15.28 |
| C2 | 0.81 | 0.74 | 0.76 | 0.74 | 1.58 | 30.48 | 0.21 | 0.14 | 10.31 | 12.68 | 10.58 | 13.71 |
| C3 | 0.81 | 0.74 | 0.77 | 0.76 | 1.59 | 30.26 | 0.20 | 0.14 | 10.40 | 12.59 | 10.20 | 13.25 |
| C4 | 0.71 | 0.63 | 0.66 | 0.69 | 2.00 | 38.27 | 0.25 | 0.16 | 13.02 | 13.74 | 12.53 | 15.13 |
| C5 | 0.81 | 0.74 | 0.75 | 0.74 | 1.57 | 30.12 | 0.21 | 0.14 | 10.26 | 12.53 | 10.75 | 13.73 |
| C6 | 0.81 | 0.75 | 0.77 | 0.77 | 1.57 | 29.68 | 0.2 | 0.14 | 10.22 | 12.35 | 10.28 | 12.87 |
Publisher’s Note: MDPI stays neutral with regard to jurisdictional claims in published maps and institutional affiliations. |
© 2022 by the authors. Licensee MDPI, Basel, Switzerland. This article is an open access article distributed under the terms and conditions of the Creative Commons Attribution (CC BY) license (https://creativecommons.org/licenses/by/4.0/).
Share and Cite
Han, S.; Zhao, Y.; Cheng, J.; Zhao, F.; Yang, H.; Feng, H.; Li, Z.; Ma, X.; Zhao, C.; Yang, G. Monitoring Key Wheat Growth Variables by Integrating Phenology and UAV Multispectral Imagery Data into Random Forest Model. Remote Sens. 2022, 14, 3723. https://doi.org/10.3390/rs14153723
Han S, Zhao Y, Cheng J, Zhao F, Yang H, Feng H, Li Z, Ma X, Zhao C, Yang G. Monitoring Key Wheat Growth Variables by Integrating Phenology and UAV Multispectral Imagery Data into Random Forest Model. Remote Sensing. 2022; 14(15):3723. https://doi.org/10.3390/rs14153723
Chicago/Turabian StyleHan, Shaoyu, Yu Zhao, Jinpeng Cheng, Fa Zhao, Hao Yang, Haikuan Feng, Zhenhai Li, Xinming Ma, Chunjiang Zhao, and Guijun Yang. 2022. "Monitoring Key Wheat Growth Variables by Integrating Phenology and UAV Multispectral Imagery Data into Random Forest Model" Remote Sensing 14, no. 15: 3723. https://doi.org/10.3390/rs14153723
APA StyleHan, S., Zhao, Y., Cheng, J., Zhao, F., Yang, H., Feng, H., Li, Z., Ma, X., Zhao, C., & Yang, G. (2022). Monitoring Key Wheat Growth Variables by Integrating Phenology and UAV Multispectral Imagery Data into Random Forest Model. Remote Sensing, 14(15), 3723. https://doi.org/10.3390/rs14153723

