Mapping Alteration Mineralogy in Eastern Tsogttsetsii, Mongolia, Based on the WorldView-3 and Field Shortwave-Infrared Spectroscopy Analyses
Abstract
1. Introduction
2. Geologic and Field Observations
3. Methods
3.1. Field Reflectance Spectrum Measurements
3.2. Chemical Analysis
3.3. WV-3 SWIR Data Preprocessing
3.4. WV-3 SWIR Data Mapping
3.4.1. Decorrelation Stretch and Band Math
3.4.2. Mixture-Tuned-Matched Filter
3.5. Drone Photogrammetric-Derived DEM
4. Results
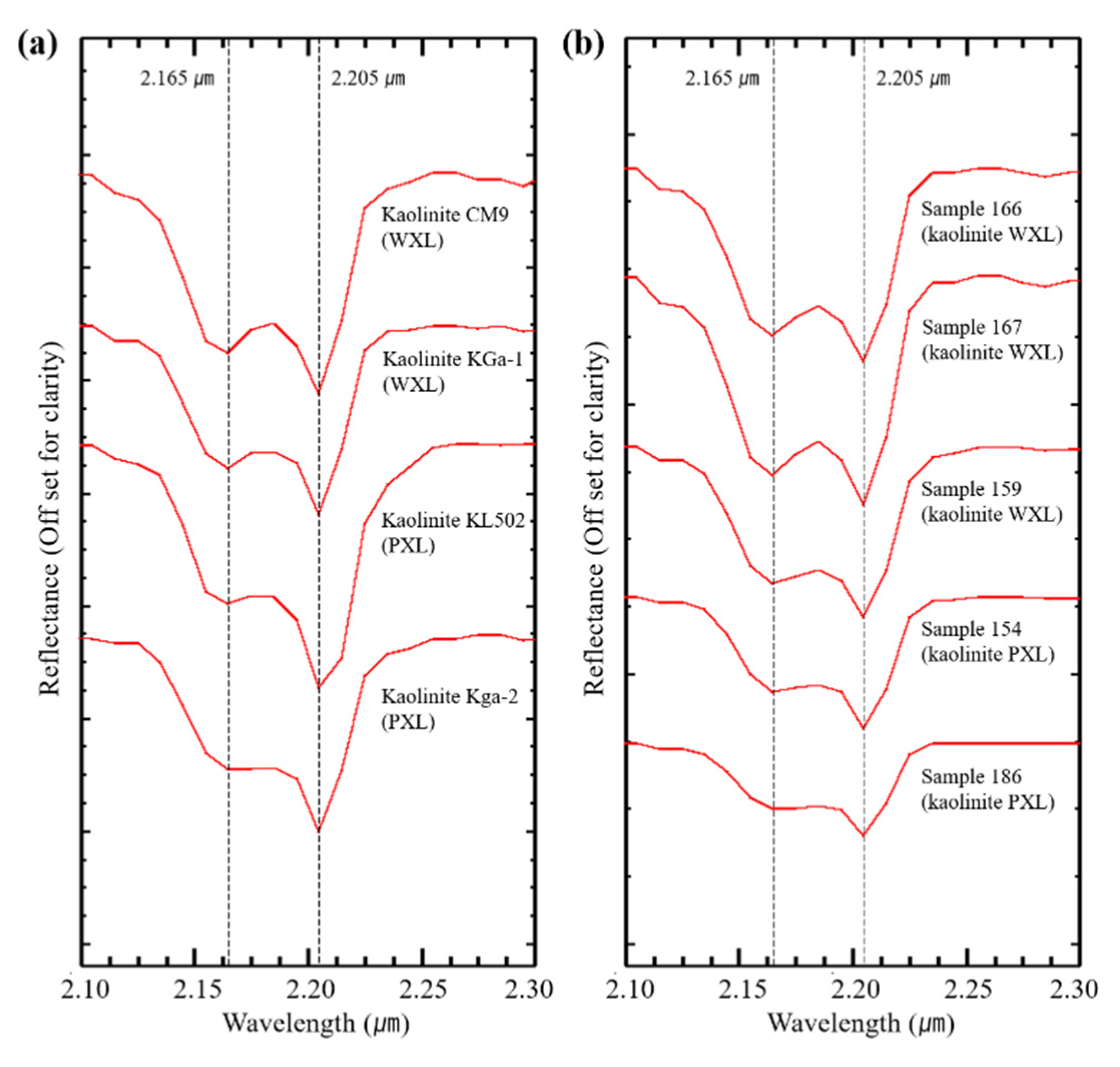
4.1. Field Shortwave-Infrared Spectroscopy
4.2. Decorrelation Stretch and Band Math Analysis
4.3. Mixture-Tuned-Matched Filter Mineral Map
4.4. Accuracy Assessment of MTMF Mapping
5. Discussion
6. Conclusions
Author Contributions
Funding
Data Availability Statement
Acknowledgments
Conflicts of Interest
Appendix A
| Field Spectra Sample No. (Rock Sample Name) | Latitude | Longitude | Mineral Identification 1 | MTMF Mapping Result | |
|---|---|---|---|---|---|
| Field SWIR Reflectance Spectra | Sample Verification | ||||
| Prospect I | |||||
| 1 | 43°42′13.32″ | 106°17′43″ | Dck, kln | Kaolin group | |
| 2 | 43°42′13.79″ | 106°17′42.76″ | Dck, sme | Alunite | |
| 3 | 43°42′16.73″ | 106°17′41.71″ | Na-alu (XNa = 0.81), dck, Kln | Kaolin group | |
| 4 | 43°42′18.29″ | 106°17′41.35″ | K-alu (XNa = 0.09), dck | Kaolin group | |
| 5 | 43°42′18.23″ | 106°17′41.32″ | K-alu (XNa = 0.09), dck | Kaolin group | |
| 6 | 43°42′18.47″ | 106°17′41.38″ | Dck, kln | Kaolin group | |
| 7 (TS108A, B) | 43°42′22.75″ | 106°17′38.19″ | Ilt (H2O/Al-OH = 0.97; Aloct = 1.684) | XRD A: ab, qz, or, ms, hem XRD B: ab, qz, or, chl, epi, ilt/sme | Unclassified |
| 8 | 43°42′23.16″ | 106°17′35.31″ | Dck, kln | Kaolin group | |
| 9 | 43°42′27.84″ | 106°17′29.65″ | K-alu (XNa = 0.09), dck | Alunite | |
| 10 | 43°42′34.34″ | 106°17′20.42″ | K-alu (XNa = 0.09) | Alunite | |
| 11 | 43°42′34.37″ | 106°17′20.33″ | K-alu (XNa = 0.09) | Alunite | |
| 12 | 43°42′11.83″ | 106°17′44.62″ | Dck, kln | Kaolin group | |
| 13 | 43°42′12.09″ | 106°17′44.52″ | Dck, kln | Alunite | |
| 14 | 43°42′12.39″ | 106°17′44.37″ | K-Na-alu (XNa = 0.32) | Alunite | |
| 15 | 43°42′12.79″ | 106°17′44.06″ | Dck, kln | Kaolin group | |
| 16 | 43°42′13.08″ | 106°17′43.49″ | Na-alu (XNa = 0.81), dck, Kln | Alunite + kaolin group | |
| 17 | 43°42′13.65″ | 106°17′43.60″ | Dck | Kaolin group | |
| 18 | 43°42′13.32″ | 106°17′43.02″ | Dck, kln | Kaolin group | |
| 19 | 43°42′13.31″ | 106°17′42.67″ | K-Na-alu (XNa = 0.32) | Alunite | |
| 20 | 43°42′13.20″ | 106°17′42.24″ | K-Na-alu (XNa = 0.54), dck, Kln | Alunite | |
| 21 | 43°42′12.97″ | 106°17′42.37″ | K-Na-alu (XNa = 0.32), dck | Alunite | |
| 22 | 43°42′12.58″ | 106°17′41.87″ | Dck, K-Na-alu (XNa = 0.54) | Kaolin group | |
| 23 | 43°42′12.55″ | 106°17′41.89″ | K-Na-alu (XNa = 0.32), dck, Kln | Alunite | |
| 24 | 43°42′12.34″ | 106°17′41.42″ | K-Na-alu (XNa = 0.54), dck, Kln | Kaolin group | |
| 25 | 43°42′12.37″ | 106°17′41.32″ | Na-alu (XNa = 0.81), dck, Kln | Kaolin group | |
| 26 | 43°42′13.25″ | 106°17′41.63″ | Na-alu (XNa = 0.81), dck, Kln | Alunite | |
| 27 | 43°42′13.45″ | 106°17′41.77″ | Na-alu (XNa = 0.81), dck, kln | Alunite | |
| 28 | 43°42′13.73″ | 106°17′42.80″ | Dck | Kaolin group | |
| 29 | 43°42′13.84″ | 106°17′43.10″ | Dck | Kaolin group | |
| 30 | 43°42′13.86″ | 106°17′42.92″ | Dck, kln | Kaolin group | |
| 31 | 43°42′14.13″ | 106°17′42.86″ | Dck, kln | Alunite + kaolin group | |
| 32 | 43°42′14.68″ | 106°17′42.18″ | K-Na-alu (XNa = 0.32) | Alunite | |
| 33 | 43°42′14.48″ | 106°17′41.69″ | Dck, kln | Kaolin group | |
| 34 | 43°42′14.46″ | 106°17′41.80″ | Dck, kln, K-Na-alu (XNa = 0.54) | Alunite | |
| 35 | 43°42′14.46″ | 106°17′40.87″ | K-alu (XNa = 0.09), dck | Alunite | |
| 36 (TS104) | 43°42′16.54″ | 106°17′41.82″ | K-Na-alu (XNa = 0.32), dck, kln | XRD: qz, K-alu, Na-alu, dck, kln | Alunite |
| 37 (TS106A, B) | 43°42′16.76″ | 106°17′41.67″ | Dck, kln | XRD A: qz, dck, kln, ant XRD B: qz, dck, kln, hem, ant | Kaolin group |
| 38 | 43°42′17.09″ | 106°17′41.57″ | Dck | Kaolin group | |
| 39 | 43°42′17.55″ | 106°17′41.17″ | K-Na-alu (XNa = 0.32), kln | Kaolin group | |
| 40 | 43°42′17.79″ | 106°17′41.55″ | Dck, kln | Kaolin group | |
| 41 | 43°42′18.17″ | 106°17′41.43″ | Dck, K-alu (XNa = 0.09), kln | Kaolin group | |
| 42 (TS107) | 43°42′18.18″ | 106°17′41.35″ | K-Na-alu (XNa = 0.32), dck, kln | XRD: qz, K-alu, Na-alu, dck, kln, ant | Kaolin group |
| 43 | 43°42′18.32″ | 106°17′41.73″ | Dck, kln | Kaolin group | |
| 44 | 43°42′19.14″ | 106°17′41.74″ | Dck, kln | Kaolin group | |
| 45 | 43°42′19.32″ | 106°17′41.92″ | Dck, kln | Kaolin group | |
| 46 | 43°42′19.28″ | 106°17′42.62″ | Dck, kln | Kaolin group | |
| 47 | 43°42′22.37″ | 106°17′39.58″ | K-Na-alu (XNa = 0.32), dck | Alunite | |
| 48 | 43°42′23.22″ | 106°17′35.34″ | Dck, kln | Kaolin group | |
| 49 | 43°42′23.20″ | 106°17′35.25″ | Dck | Unclassified | |
| 50 | 43°42′23.13″ | 106°17′35.35″ | Dck, kln | Kaolin group | |
| 51 (TS111) | 43°42′27.84″ | 106°17′26.02″ | Dck | XRD: qz, dck, kln | Kaolin group |
| 52 | 43°42′27.83″ | 106°17′25.35″ | Dck, K-alu (XNa = 0.09) | Alunite + kaolin group | |
| 53 | 43°42′27.91″ | 106°17′24.86″ | Dck, kln | Kaolin group | |
| 54 | 43°42′28.35″ | 106°17′23.80″ | K-Na-alu (XNa = 0.32), dck, kln | Alunite | |
| 55 | 43°42′28.90″ | 106°17′23.48″ | Dck | Alunite | |
| 56 | 43°42′28.85″ | 106°17′23.37″ | Dck | Alunite | |
| 57 | 43°42′28.99″ | 106°17′23.40″ | Dck | Alunite | |
| 58 | 43°42′29.05″ | 106°17′23.37″ | Dck, kln | Alunite | |
| 59 | 43°42′29.65″ | 106°17′22.27″ | K-alu (XNa = 0.09), zeo? 2 | Alunite | |
| 60 | 43°42′29.77″ | 106°17′21.66″ | K-alu (XNa = 0.09) | Alunite | |
| 61 | 43°42′29.72″ | 106°17′21.61″ | K-alu (XNa = 0.09) | Alunite | |
| 62 | 43°42′30.14″ | 106°17′23.40″ | K-alu (XNa = 0.09) | Alunite | |
| 63 | 43°42′30.80″ | 106°17′21.49″ | K-alu (XNa = 0.09), dck | Alunite | |
| 64 | 43°42′31.54″ | 106°17′21.31″ | K-alu (XNa = 0.09), dck, kln | Alunite | |
| 65 (TS112) | 43°42′32.20″ | 106°17′20.89″ | Dck, kln | XRD: qz, kln, dck, cal | Alunite + kaolin group |
| 66 | 43°42′32.11″ | 106°17′20.80 | Dck, kln | Alunite | |
| 67 | 43°42′33.19″ | 106°17′20.62″ | Dck, kln | Alunite + kaolin group | |
| 68 | 43°42′33.50″ | 106°17′20.73″ | K-alu (XNa = 0.09) | Alunite | |
| 69 | 43°42′34″ | 106°17′20.68″ | Dck, kln | Alunite | |
| 70 (TS113) | 43°42′34.26″ | 106°17′20.45″ | K-alu (XNa = 0.09), dck, kln | XRD: K-alu, qz, ant | Alunite |
| 71 | 43°42′35.14″ | 106°17′20.04 | K-alu (XNa = 0.09) | Alunite | |
| 72 (TS137) | 43°42′35.87″ | 106°17′19.50″ | Dck, kln | XRD: qz, dck, kln, gp, cal | Alunite + kaolin group |
| 73 | 43°42′36.29″ | 106°17′18.68″ | K-alu (XNa = 0.09) | Alunite + kaolin group | |
| 74 | 43°42′36.10″ | 106°17′17.48″ | Dck, kln | Kaolin group | |
| 75 (TS138) | 43°42′36.77″ | 106°17′16.41″ | Dck, kln | XRD: qz, dck, kln, prl, Na-alu, ant | Alunite + kaolin group |
| 76 | 43°42′36.97″ | 106°17′16.19 | Dck, kln | Alunite + kaolin group | |
| 77 | 43°42′37.05″ | 106°17′15.23″ | Dck, kln | Kaolin group | |
| 78 | 43°42′37.04″ | 106°17′15.24″ | Dck, kln | Kaolin group | |
| 79 | 43°42′37.15″ | 106°17′15.59″ | Dck, kln | Alunite + kaolin group | |
| 80 | 43°42′37.62″ | 106°17′15.82″ | Dck, kln | Alunite + kaolin group | |
| 81 | 43°42′37.52″ | 106°17′15.94 | Dck, kln | Alunite + kaolin group | |
| 82 | 43°42′38.07″ | 106°17′16.28″ | Kln, dck | Alunite + kaolin group | |
| 83 | 43°42′38.26″ | 106°17′16.78″ | Dck, kln | Kaolin group | |
| 84 | 43°42′38.41″ | 106°17′17.18″ | Dck, kln | Kaolin group | |
| 85 | 43°42′38.42″ | 106°17′17.17″ | Dck | Kaolin group | |
| 86 | 43°42′38.57″ | 106°17′16.02 | Dck | Alunite + kaolin group | |
| 87 | 43°42′37.95″ | 106°17′14.30″ | Dck | Kaolin group | |
| 88 | 43°42′37.92″ | 106°17′14.03″ | K-alu (XNa = 0.09) | Alunite + kaolin group | |
| 89 | 43°42′37.94″ | 106°17′13.97″ | Dck, kln | Alunite + kaolin group | |
| 90 (TS139) | 43°42′37.98″ | 106°17′13.56″ | Dck, kln | XRD: kln, dck, qz, Na-alu | Kaolin group |
| 91 | 43°42′37.83″ | 106°17′13.41 | Dck, kln | Kaolin group | |
| 92 | 43°42′38.30″ | 106°17′13.32″ | Dck, kln | Kaolin group | |
| 93 | 43°42′38.31″ | 106°17′13.36″ | Dck | Kaolin group | |
| 94 | 43°42′38.53″ | 106°17′13.60″ | Dck | Kaolin group | |
| 95 | 43°42′38.58″ | 106°17′13.59″ | Dck | Kaolin group | |
| 96 | 43°42′38.72″ | 106°17′13.79 | Dck | Kaolin group | |
| 97 | 43°42′38.95″ | 106°17′13.47″ | K-alu (XNa = 0.09), dck | Alunite | |
| 98 | 43°42′39.59″ | 106°17′13.75″ | Dck, kln | Kaolin group | |
| 99 | 43°42′40.11″ | 106°17′14.36″ | K-alu (XNa = 0.09) | Alunite | |
| 100 (TS140A, B) | 43°42′40.10″ | 106°17′14.34″ | K-alu (XNa = 0.09) | XRD A: K-alu, qz XRD B: K-alu, qz | Alunite |
| 101 | 43°42′40.01″ | 106°17′14.48 | K-alu (XNa = 0.09) | Alunite | |
| 102 | 43°42′40.15″ | 106°17′14.49″ | K-alu (XNa = 0.09) | Alunite | |
| 103 | 43°42′40.97″ | 106°17′14.49″ | Dck | Kaolin group | |
| 104 | 43°42′41.66″ | 106°17′13.88″ | Dck, kln | Kaolin group | |
| 105 | 43°42′40.71″ | 106°17′41.36″ | Sme (H2O/Al-OH = 0.73) | NH4-illite | |
| 106 | 43°42′41.97″ | 106°17′42.08 | Budd ± ilt | Buddingtonite | |
| 107 | 43°42′42.73″ | 106°17′42.39″ | Budd, ilt-sme (Aloct = 1.875) | Buddingtonite | |
| 108 | 43°42′42.70″ | 106°17′43.11″ | Ilt-sme (H2O/Al-OH = 0.88; Aloct = 1.684) | Buddingtonite | |
| 109 | 43°42′42.64″ | 106°17′43.20″ | Budd | Buddingtonite | |
| 110 | 43°42′39.89″ | 106°17′44.76″ | Ilt-sme (H2O/Al-OH = 0.96; Aloct = 1.875) | Illite/smectite | |
| 111 | 43°42′39.49″ | 106°17′45.16 | Sme (H2O/Al-OH = 0.69) | Buddingtonite | |
| 112 (TS143) | 43°42′39.88″ | 106°17′44.74″ | NH4-ilt | XRD: qz, fl, ms, or | NH4-illite |
| 113 | 43°42′39.60″ | 106°17′44.78″ | Sme (H2O/Al-OH = 0.63) | Buddingtonite | |
| 114 | 43°42′36.15″ | 106°17′51.11″ | Dck | Kaolin group | |
| 115 | 43°42′36.25″ | 106°17′51.29″ | Dck, kln | Kaolin group | |
| 116 | 43°42′36.30″ | 106°17′51.33″ | Dck | Kaolin group | |
| 117 | 43°42′36.25″ | 106°17′53.64″ | Sme (H2O/Al-OH = 0.72) | Illite/smectite | |
| Prospect II | |||||
| 118 | 43°43′16.47″ | 106°18′37.51″ | Dck, kln, Gp | Kaolin group | |
| 119 | 43°43′17.33″ | 106°18′36.41″ | Dck, kln | Kaolin group | |
| 120 | 43°43′18.08″ | 106°18′35.78″ | Dck, kln | Kaolin group | |
| 121 | 43°43′18.31″ | 106°18′35.27″ | Dck, kln | Kaolin group | |
| 122 | 43°43′18.34″ | 106°18′35.31″ | Dck, kln | Kaolin group | |
| 123 | 43°43′18.37″ | 106°18′35.30″ | Dck, kln | Kaolin group | |
| 124 (TS128A, B) | 43°43′18.06″ | 106°18′39.72″ | Ilt (H2O/Al-OH = 1.04; Aloct = 1.684) | XRD A: qz, ab, or, ms XRD B: qz, or, ms, ab | Illite/smectite |
| 125 | 43°43′18.06″ | 106°18′39.63″ | Ilt-sme (H2O/Al-OH = 0.86; Aloct = 1.684) | Illite/smectite | |
| 126 | 43°43′18.05″ | 106°18′39.60″ | Ilt-sme (H2O/Al-OH = 0.83; Aloct = 1.684) | Illite/smectite | |
| 127 (TS129) | 43°43′17.36″ | 106°18′38.94″ | Dck, kln | XRD: dck, kln, qz, Na-alu | Alunite + kaolin group |
| 128 | 43°43′17.33″ | 106°18′38.81″ | Dck, kln | Alunite + kaolin group | |
| 129 | 43°43′17.27″ | 106°18′38.83″ | Dck, kln | Alunite + kaolin group | |
| 130 | 43°43′17.25″ | 106°18′36.13″ | Dck, kln | Kaolin group | |
| 131 | 43°43′17.90″ | 106°18′35.89″ | Ilt-sme (H2O/Al-OH = 0.83; Aloct = 1.493) | Kaolin group | |
| 132 | 43°43′17.93″ | 106°18′36.05″ | Zeo? 2 | Kaolin group | |
| 133 | 43°43′17.96″ | 106°18′35.97″ | Zeo? | Kaolin group | |
| 134 (TS131A, B) | 43°43′18.07″ | 106°18′35.72″ | Dck, kln | XRD A: dck, kln, qz XRD B: qz, dck, kln, hem, cal | Kaolin group |
| 135 | 43°43′18.11″ | 106°18′35.70″ | Dck, kln | Kaolin group | |
| 136 | 43°43′18.36″ | 106°18′34.48″ | Dck | Kaolin group | |
| 137 (TS132) | 43°43′18.52″ | 106°18′33.35″ | K-alu (XNa = 0.09), dck, kln | XRD: qz, dck, kln, K-alu, hem | Alunite |
| 138 (TS133) | 43°43′17.34″ | 106°18′18.15″ | Ilt-sme (H2O/Al-OH = 0.83; Aloct = 1.684) | XRD: qz | Illite/smectite |
| 139 | 43°43′16.95″ | 106°18′16.85″ | Ilt-sme (H2O/Al-OH = 0.80; Aloct = 1.684) | Smectite | |
| 140 | 43°43′16.88″ | 106°18′16.09″ | Ilt-sme (H2O/Al-OH = 0.77; Aloct = 1.684) | Smectite | |
| 141 | 43°43′17.08″ | 106°18′14.64″ | Ilt-sme (H2O/Al-OH = 0.82; Aloct = 1.684) | Smectite | |
| 142 (TS134) | 43°43′17.27″ | 106°18′13.34″ | Ilt-sme (H2O/Al-OH = 0.92; Aloct = 1.684) | XRD: ab, qz, or | Smectite |
| 143 | 43°43′17.43″ | 106°18′11.28″ | Sme (H2O/Al-OH = 0.70) | Smectite | |
| 144 | 43°43′17.49″ | 106°18′10.61″ | Ilt-sme (H2O/Al-OH = 0.81; Aloct = 1.684) | Illite/smectite | |
| 145 (TS136) | 43°43′19.59″ | 106°18′2.58″ | Dck | XRD: dck, kln, qz, | Kaolin group |
| 146 | 43°43′19.68″ | 106°18′2.53″ | Dck, K-alu (XNa = 0.09) | Kaolin group | |
| 147 | 43°43′19.70″ | 106°18′2.52″ | Dck, K-alu (XNa = 0.09) | Kaolin group | |
| 148 | 43°43′19.74″ | 106°18′2.44″ | Dck | Kaolin group | |
| 149 | 43°43′19.41″ | 106°18′1.99″ | Dck, kln | Kaolin group | |
| 150 | 43°43′19.21″ | 106°18′1.73″ | Dck | Kaolin group | |
| 151 | 43°43′19.26″ | 106°18′1.78″ | Dck, kln | Kaolin group | |
| 152 | 43°43′19.79″ | 106°18′1.02″ | Dck, kln | Illite/smectite | |
| 153 | 43°43′19.82″ | 106°18′1″ | Dck, kln | Illite/smectite | |
| Prospect III | |||||
| 154 | 43°43′20.91″ | 106°21′15.05″ | Kln (PXL) | Unclassified | |
| 155 | 43°43′20.90″ | 106°21′15.07″ | Dck, sme | Unclassified | |
| 156 | 43°43′22.36″ | 106°21′14.45″ | Kln (WXL), sme | Kaolin group | |
| 157 | 43°43′22.41″ | 106°21′14.47″ | Sme (H2O/Al-OH = 0.74) | Kaolin group | |
| 158 | 43°43′23.35″ | 106°21′14.37″ | Kln (WXL) | Kaolin group | |
| 159 | 43°43′23.50″ | 106°21′14.77″ | Kln (WXL) | Kaolin group | |
| 160 | 43°43′23.80″ | 106°21′14.97″ | Kln (WXL) | Kaolin group | |
| 161 | 43°43′27.62″ | 106°21′18.12″ | Kln (WXL), K-alu (XNa = 0.09) | Alunite + kaolin group | |
| 162 | 43°43′27.60″ | 106°21′18.56″ | Kln (WXL) | Alunite + kaolin group | |
| 163 (TS116A, B) | 43°43′27.63″ | 106°21′18.57″ | Kln (WXL), K-alu (XNa = 0.09) | XRD A: qz, kln, dck, K-alu, cal XRD B: qz, kln, dck, K-alu | Alunite + kaolin group |
| 164 | 43°43′27.63″ | 106°21′18.59″ | K-alu (XNa = 0.09), kln | Alunite + kaolin group | |
| 165 | 43°43′27.61″ | 106°21′18.58″ | Kln (WXL) | Alunite + kaolin group | |
| 166 (TS117) | 43°43′27.30″ | 106°21′19.11″ | Kln (WXL) | XRD: qz, kln, dck, Na-alu, ant | Alunite + kaolin group |
| 167 | 43°43′27.29″ | 106°21′19.10″ | Kln (WXL) | Alunite + kaolin group | |
| 168 | 43°43′26.80″ | 106°21′19.96″ | Kln (WXL) | Alunite + kaolin group | |
| 169 (TS118) | 43°43′26.83″ | 106°21′20.02″ | Kln (WXL) | XRD: kln, dck, qz, K-alu, ant | Alunite + kaolin group |
| 170 | 43°43′27.64″ | 106°21′21.88″ | K-alu (XNa = 0.09), kln | Alunite + kaolin group | |
| 171 | 43°43′27.65″ | 106°21′22.24″ | K-alu (XNa = 0.09), kln | Alunite + kaolin group | |
| 172 (TS119) | 43°43′27.17″ | 106°21′22.95″ | Kln (WXL) | XRD: qz, kln, dck, Na-alu, ant | Kaolin group |
| 173 | 43°43′26.10″ | 106°21′23.05″ | Kln (WXL) | Kaolin group | |
| 174 | 43°43′25.96″ | 106°21′26.08″ | Kln (PXL) | Kaolin group | |
| 175 (TS121) | 43°43′26.02″ | 106°21′26.02″ | Kln (PXL) | XRD: kln, dck, qz, Na-alu, ant | Kaolin group |
| 176 | 43°43′26.49″ | 106°21′26.12″ | Kln (WXL) | Kaolin group | |
| 177 | 43°43′26.40″ | 106°21′26.20″ | Kln (PXL) | Kaolin group | |
| 178 | 43°43′26.46″ | 106°21′26.67″ | Dck | Kaolin group | |
| 179 | 43°43′27.96″ | 106°21′27.52″ | Kln (PXL) | Kaolin group | |
| 180 (TS123) | 43°43′29.97″ | 106°21′28.85″ | Kln (PXL), dck | XRD: kln, dck, qz, K-alu, ant | Kaolin group |
| 181 | 43°43′30.18″ | 106°21′30.26″ | Dck, kln | Kaolin group | |
| 182 | 43°43′30.17″ | 106°21′30.23″ | Dck, kln | Kaolin group | |
| 183 (TS125) | 43°43′30.24″ | 106°21′30.74″ | Kln (WXL) | XRD: qz, kln, dck, K-alu, ant, gp, cal | Kaolin group |
| 184 | 43°43′30.50″ | 106°21′31.14″ | Kln (WXL) | Kaolin group | |
| 185 | 43°43′30.97″ | 106°21′30.76″ | K-Na-al (XNa = 0.32), kln | Alunite | |
| 186 | 43°43′30.61″ | 106°21′30.45″ | Kln (PXL) | Kaolin group | |
| 187 | 43°43′30.60″ | 106°21′31.24″ | K-Na-al (XNa = 0.32), kln | Alunite | |
| 188 | 43°43′30.45″ | 106°21′30.80″ | K-Na-al (XNa = 0.32), kln | Alunite + kaolin group | |
| 189 (TS126A, B) | 43°43′30.60″ | 106°21′30.59″ | Kln (WXL) | XRD A: qz, kln, dck, K-alu, ant XRD B: kln, dck, qz, hem, ant | Kaolin group |
| 190 | 43°43′30.95″ | 106°21′33.47″ | Dck, kln | Kaolin group | |
| 191 (TS127) | 43°43′30.81″ | 106°21′34.29″ | Dck, kln | XRD: dck, kln, qz, K-alu, ant, gbs | Kaolin group |
| 192 | 43°43′30.66″ | 106°21′34.31″ | Dck, kln | Kaolin group | |
References
- Hedenquist, J.W.; Arribas, A.R.; Gonzalez-Urien, E. Exploration for epithermal gold deposits. Rev. Econ. Geol. 2000, 13, 245–277. [Google Scholar]
- Sillitoe, R.H. Porphyry copper systems. Econ. Geol. 2010, 105, 3–41. [Google Scholar] [CrossRef]
- Lee, C.-T.A.; Tang, M. How to make porphyry copper deposits. Earth Planet. Sci. Lett. 2020, 529, 115868. [Google Scholar] [CrossRef]
- Ducart, D.F.; Crosta, A.P.; Filho, C.R.S.; Coniglio, J. Alteration mineralogy at the Cerro La Mina epithermal prospect, Patagonia, Argentina: Field mapping, short-wave infrared spectroscopy, and ASTER images. Econ. Geol. 2006, 101, 981–996. [Google Scholar] [CrossRef]
- Mars, J.C.; Rowan, L.C. Regional mapping of phyllic-and argillic-altered rocks in the Zagros magmatic arc, Iran, using Advanced Spaceborne Thermal Emission and Reflectance Radiometer (ASTER) data and logical operator algorithms. Geosphere 2006, 2, 161–186. [Google Scholar] [CrossRef]
- Chang, Z.; Hedenquist, J.W.; White, N.C.; Cooke, D.R.; Roach, M.; Deyell, C.L.; Garcia, J.; Gemmell, J.B.; McKnight, S.; Cuison, A.L. Exploration tools for linked porphyry and epithermal deposits: Example from the Mankayan intrusion–centered Cu–Au district, Luzon. Philippines. Econ. Geol. 2011, 106, 1365–1398. [Google Scholar] [CrossRef]
- Haselwimmer, C.E.; Riley, T.R.; Liu, J.G. Assessing the potential of multispectral remote sensing for lithological mapping on the Antarctic Peninsula: Case study from eastern Adelaide Island, Graham Land. Antarct. Sci. 2010, 22, 299–318. [Google Scholar] [CrossRef]
- Bedini, E. Mineral mapping in the Kap Simpson complex, central East Greenland, using HyMap and ASTER remote sensing data. Adv. Space Res. 2011, 47, 60–73. [Google Scholar] [CrossRef]
- Son, Y.S.; Kim, K.E.; Yoon, W.J.; Cho, S.J. Regional mineral mapping of island arc terranes in southeastern Mongolia using multispectral remote sensing data. Ore Geol. Rev. 2019, 113, 103106. [Google Scholar] [CrossRef]
- Sabins, F.F. Remote sensing for mineral exploration. Ore Geol. Rev. 1999, 14, 157–183. [Google Scholar] [CrossRef]
- Son, Y.S.; Kang, M.K.; Yoon, Y.J. Lithological and mineralogical survey of the Oyu Tolgoi region, Southeastern Gobi, Mongolia using ASTER reflectance and emissivity data. Int. J. Appl. Earth Obs. Geoinf. 2014, 26, 205–216. [Google Scholar] [CrossRef]
- Graham, G.E.; Kokaly, R.F.; Kelley, K.D.; Hoefen, T.M.; Johnson, M.R.; Hubbard, B.E. Application of imaging spectroscopy for mineral exploration in Alaska: A study over porphyry Cu deposits in the Eastern Alaska Range. Econ. Geol. 2018, 113, 489–510. [Google Scholar] [CrossRef]
- Van der Meer, F.D.; van der Werff, H.M.A.; van Ruitenbeek, F.J.A.; Hecker, C.A.; Bakker, W.H.; Noomen, M.F.; van der Meijde, M.; Carranza, E.J.M. Multi- and hyper-spectral geologic remote sensing: A review. Int. J. Appl. Earth Obs. Geoinf. 2012, 14, 112–128. [Google Scholar] [CrossRef]
- Hewson, R.D.; Cudahy, T.J.; Mizuhiko, S.; Ueda, K.; Mauger, A.J. Seamless geological map generation using ASTER in the Broken Hill-Curnamona province of Australia. Remote Sens. Environ. 2005, 99, 159–172. [Google Scholar] [CrossRef]
- Abrams, M.; Yamaguchi, Y. Twenty years of ASTER contributions to lithologic mapping and mineral exploration. Remote Sens. 2019, 11, 1394. [Google Scholar] [CrossRef]
- Kruse, F.A.; Perry, S.L. Mineral mapping using simulated worldview-3 short-wave infrared imagery. Remote Sens. 2013, 5, 2688–2703. [Google Scholar] [CrossRef]
- Mars, J.C.; Rowan, L.C. Spectral assessment of new ASTER SWIR surface reflectance data products for spectroscopic mapping of rocks and minerals. Remote Sens. Environ. 2010, 114, 2011–2025. [Google Scholar] [CrossRef]
- Biggar, S.F.; Thome, K.T.; MacCorkel, J.T.; D’Amico, J.M. Vicarious calibration of the ASTER SWIR sensor including crosstalk correction. In Proceedings of the SPIE 5882: Earth observing Systems, San Diego, CA, USA, 22 August 2005; p. 588217. [Google Scholar]
- Iwasaki, A.; Tonooka, H. Validation of a crosstalk correction algorithm for ASTER/SWIR. IEEE Trans. Geosci. Remote Sens. 2005, 43, 2747–2751. [Google Scholar] [CrossRef]
- Ye, B.; Tian, S.H.; Ge, J.; Sun, Y. Assessment of WorldView-3 data for lithological mapping. Remote Sens. 2017, 9, 1132. [Google Scholar] [CrossRef]
- Kruse, F.A.; Baugh, M.W.; Perry, S.L. Validation of DigitalGlobe Worldview-3 earth imaging satellite shortwave infrared bands for mineral mapping. J. Appl. Remote Sens. 2015, 9, 1–18. [Google Scholar] [CrossRef]
- Mars, J.C. Mineral and lithologic mapping capability of WorldView 3 data at Mountain Pass, California, using true and false-color composite images, band ratios, and logical operator algorithms. Econ. Geol. 2018, 113, 1587–1601. [Google Scholar] [CrossRef]
- Salehi, T.; Tangestani, M.H. Large-scale mapping of iron oxide and hydroxide minerals of Zefreh porphyry copper deposit, using Worldview-3 VNIR data in the northeastern Isfahan, Iran. Int. J. Appl. Earth Obs. Geoinf. 2018, 73, 156–169. [Google Scholar] [CrossRef]
- Bedini, E. Application of WorldView-3 imagery and ASTER TIR data to map alteration minerals associated with the Rodalquilar gold deposits, southeast Spain. Adv. Space Res. 2019, 63, 3346–3357. [Google Scholar] [CrossRef]
- Thompson, S.; Fueten, F.; Bockus, D. Mineral identification using artificial neural networks and the rotating polarizer stage. Comput. Geosci. 2001, 27, 1081–1089. [Google Scholar] [CrossRef]
- Yousefi, B.; Sojasi, S.; Castanedo, C.I.; Maldague, X.P.; Beaudoin, G.; Chamberland, M. Comparison assessment of low rank sparse-PCA based-clustering/classification for automatic mineral identification in long wave infrared hyperspectral imagery. Infrared Phys. Technol. 2018, 93, 103–111. [Google Scholar] [CrossRef]
- Yousefi, B.; Castanedo, C.I.; Maldague, X.P.; Beaudoin, G. Assessing the reliability of an automated system for mineral identification using LWIR Hyperspectral Infrared imagery. Miner. Eng. 2020, 155, 106409. [Google Scholar] [CrossRef]
- Hu, B.; Xu, Y.Y.; Wan, B.; Wu, X.C.; Yi, G.H. Hydrothermally altered mineral mapping using synthetic application of Sentinel-2A MSI, ASTER and Hyperion data in the Duolong area, Tibetan Plateau, China. Ore Geol. Rev. 2018, 101, 384–397. [Google Scholar] [CrossRef]
- Watanabe, Y.; Stein, H.J. Re-Os ages for the Erdenet and Tsagaan Suvarga porphyry Cu-Mo deposits, Mongolia, and tectonic implications. Econ. Geol. 2000, 95, 1537–1542. [Google Scholar] [CrossRef]
- Perello, J.; Cox, D.; Garamjav, D.; Sanjdori, S.; Diakov, S.; Schissel, D.; Munkhbat, T.O.; Oyun, G.; Oyu Tolgoi, M. Siluro-Devonian porphyry Cu-Au-(Mo) and high-sulfidation Cu mineralization with a Cretaceous chalcocite blanket. Econ. Geol. 2001, 96, 1407–1428. [Google Scholar] [CrossRef]
- Müller, A.; Herrington, R.; Armstrong, R.; Seltmann, R.; Kirwin, D.J.; Stenina, N.G.; Kronz, A. Trace elements and cathodoluminescence of quartz in stockwork veins of Mongolian porphyry-style deposits. Miner. Depos. 2010, 45, 707–727. [Google Scholar] [CrossRef]
- Batkhishig, B.; Noriyoshi, T.; Greg, B. Magmatism of the Shuteen Complex and Carboniferous subduction of the Gurvansaikhan terrane, South Mongolia. J. Asian Earth Sci. 2010, 37, 399–411. [Google Scholar] [CrossRef]
- Swayze, G.A.; Clark, R.N.; Goetz, A.F.; Livo, K.E.; Breit, G.N.; Kruse, F.A.; Sutley, S.J.; Snee, L.W.; Lowers, H.A.; Post, J.L.; et al. Mapping advanced argillic alteration at cuprite, Nevada, using imaging spectroscopy. Econ. Geol. 2014, 109, 1179–1221. [Google Scholar] [CrossRef]
- Jamiyandorj, O.; Zoljargal, A. Geological Map of Mongolia, Ikh Luusiin Uul Sheet K-48-V (1:200,000 Scale); Mineral Resources Authority of Mongolia: Ulaanbaatar, Mongolia, 2010. [Google Scholar]
- Baugh, W.M.; Kruse, F.A.; Atkinson, W.W. Quantitative geochemical mapping of ammonium minerals in the southern cedar mountains, Nevada, using the airborne visible/infrared imaging spectrometer (AVIRIS). Remote Sens. Environ. 1998, 65, 292–308. [Google Scholar] [CrossRef]
- Yang, K.; Browne, P.R.L.; Huntington, J.F.; Walshe, J.L. Characterising the hydrothermal alteration of the Broadlands–Ohaaki geothermal system, New Zealand, using short-wave infrared spectroscopy. J. Volcanol. Geother. Res. 2001, 106, 53–65. [Google Scholar] [CrossRef]
- Soechting, W.; Rubinstein, N.; Godeas, M. Identification of ammonium bearing minerals by shortwave infrared reflectance spectroscopy at the Esquel gold deposit, Argentina. Econ. Geol. 2008, 103, 865–869. [Google Scholar] [CrossRef]
- Canet, C.; Hernández-Cruz, B.; Jiménez-Franco, A.; Pi, T.; Peláez, B.; Villanueva-Estrada, R.E.; Alfonso, P.; González-Partida, E.; Salinas, S. Combining ammonium mapping and short-wave infrared (SWIR) reflectance spectroscopy to constrain a model of hydrothermal alteration for the Acoculco geothermal zone, Eastern Mexico. Geothermics 2015, 53, 154–165. [Google Scholar] [CrossRef]
- Kokaly, R.F.; Clark, R.N.; Swayze, G.A.; Livo, K.E.; Hoefen, T.M.; Pearson, N.C.; Wise, R.A.; Benzel, W.M.; Lowers, H.A.; Driscoll, R.L.; et al. USGS Spectral Library Version 7: U.S. Geological Survey Data Series 1035; U.S. Geological Survey: Reston, VA, USA, 2017; 61p. [Google Scholar]
- Simpson, M.P.; Rae, A.J. Short-wave Infrared (SWIR) reflectance spectrometric characterisation of clays from geothermal systems of the Taupo volcanic zone, New Zealand. Geothermics 2018, 73, 74–90. [Google Scholar] [CrossRef]
- Congalton, R.G.; Green, K. Assessing the Accuracy of Remotely Sensed Data: Principles and Practices, 2nd ed.; CRC/Taylor & Francis: Boca Raton, FL, USA, 2009; ISBN 978-1-4200-5512-2. [Google Scholar]
- Kuester, M.A. Radiometric Use of WV-3 Imagery; Technical Note; DigitalGlobe: Westminster, CO, USA, 2016. [Google Scholar]
- Kuester, M.; Ochoa, T. Improvements in Calibration, and Validation of the Absolute Radiometric Response of MAXAR Earth-Observing Sensors; Joint Agency Commercial Imagery Evaluation (JACIE) Workshop: Reston, VA, USA, 2019. [Google Scholar]
- Kruse, F.A. Use of airborne imaging spectrometer data to map minerals associated with hydrothermally altered rocks in the northern grapevine mountains, Nevada, and California. Remote Sens. Environ. 1988, 24, 31–51. [Google Scholar] [CrossRef]
- Ben-Dor, E.; Kruse, F.A. The relationship between the size of spatial subsets of GER 63 channel scanner data and the quality of the Internal Average Relative Reflectance (IARR) atmospheric correction technique. Int. J. Remote Sens. 1994, 15, 683–690. [Google Scholar] [CrossRef]
- Bishop, C.A.; Liu, J.G.; Mason, P.J. Hyperspectral remote sensing for mineral exploration in Pulang, Yunnan Province, China. Int. J. Remote Sens. 2011, 32, 2409–2426. [Google Scholar] [CrossRef]
- Guha, A.; Vinod Kumar, K.; Porwal, A.; Rani, K.; Singaraju, V.; Singh, R.P.; Khandelwal, M.K.; Raju, P.V.; Diwakar, P.G. Reflectance spectroscopy and ASTER based mapping of rock-phosphate in parts of Paleoproterozoic sequences of Aravalli Group of rocks, Rajasthan, India. Ore Geol. Rev. 2019, 108, 73–87. [Google Scholar] [CrossRef]
- Gillespie, A.R.; Kahle, A.B.; Walker, R.E. Color enhancement of highly correlated images: I. Decorrelation and HIS contrast stretches. Remote Sens. Environ. 1986, 20, 209–235. [Google Scholar] [CrossRef]
- Aslett, Z.; Taranik, J.V.; Riley, D.N. Mapping rock forming minerals at Boundary Canyon, Death Valey National Park, California, using aerial SEBASS thermal infrared hyperspectral image data. Int. J. Appl. Earth Obs. Geoinf. 2018, 64, 326–339. [Google Scholar] [CrossRef]
- Crowley, J.K.; Brickey, D.W.; Rowan, L.C. Airborne imaging spectrometer data of the Ruby Mountains, Montana: Mineral discrimination using relative absorption band-depth images. Remote Sens. Environ. 1989, 29, 121–134. [Google Scholar] [CrossRef]
- Rowan, L.C.; Mars, J.C. Lithologic mapping in the Mountain Pass, California area using Advanced Spaceborne Thermal Emission and Reflectance Radiometer (ASTER) data. Remote Sens. Environ. 2003, 84, 350–366. [Google Scholar] [CrossRef]
- Ninomiya, Y.; Fu, B.; Cudahy, T.J. Detecting lithology with Advanced Spaceborne Thermal Emission and Reflectance Radiometer (ASTER) multispectral thermal infrared radiance-at-sensor data. Remote Sens. Environ. 2005, 99, 127–139. [Google Scholar] [CrossRef]
- Boardman, J.W.; Kruse, F.A. Analysis of imaging spectrometer data using N-Dimensional geometry and a mixture-tuned matched filtering approach. IEEE Trans. Geosci. Remote Sens. 2011, 49, 4138–4152. [Google Scholar] [CrossRef]
- Carrino, T.A.; Crosta, A.P.; Toledo, C.L.B.; Silva, A.M. Hyperspectral remote sensing applied to mineral exploration in southern Peru: A multiple data integration approach in the Chapi Chiara gold prospect. Int. J. Appl. Earth Obs. Geoinf. 2018, 64, 287–300. [Google Scholar] [CrossRef]
- Salles, R.D.R.; de Souza Filho, C.R.; Cudahy, T.; Vicente, L.E.; Monteiro, L.V.S. Hyperspectral remote sensing applied to uranium exploration: A case study at the Mary Kathleen metamorphic-hydrothermal U-REE deposit, NW, Queensland, Australia. J. Geochem. Explor. 2016, 179, 36–50. [Google Scholar] [CrossRef]
- Reyes, A.G. Petrology of Philippine geothermal systems and the application of alteration mineralogy to their assessment. J. Volcanol. Geotherm. Res. 1990, 43, 279–309. [Google Scholar] [CrossRef]
- Solomon, G.C.; Rossman, G.R. NH4+ in pegmatitic feldspars from the southern Black Hills, South Dakota. Am. Mineral. 1988, 73, 818–821. [Google Scholar]
- Stoffregen, R.E.; Cygan, G.L. An experimental study of Na-K exchange between alunite and aqueous sulfate solutions. Am. Mineral. 1990, 75, 209–220. [Google Scholar]
- Deyell, C.L.; Dipple, G.M. Equilibrium mineral-fluid calculations and their application to the solid solution between alunite and natroalunite in the El Indio-Pascua belt of Chile and Argentina. Chem. Geol. 2005, 215, 219–234. [Google Scholar] [CrossRef]
- Cudahy, T.J. Mineral mapping for exploration: An Australian journey of evolving spectral sensing technologies and industry collaboration. Geosciences 2016, 6, 52. [Google Scholar] [CrossRef]
- Gustafson, L.B.; Vidal, C.E.; Pinto, R.; Noble, D.C. Porphyry-epithermal transition, Cajamarca region, northern Peru. Soc. Econ. Geol. Spec. Publ. 2004, 11, 279–299. [Google Scholar]
- Harraden, C.L.; McNulty, B.A.; Gregory, M.J.; Lang, J.R. Shortwave infrared spectral analysis of hydrothermal alteration associated with the Pebble porphyry copper-gold-molybdenum deposit, Iliamna, Alaska. Econ. Geol. 2013, 108, 483–494. [Google Scholar] [CrossRef]
- Krohn, M.D.; Altaner, S.P. Near-infrared detection of ammonium minerals. Geophysics 1987, 52, 924–930. [Google Scholar] [CrossRef]
- Queralt, I.; Kanazirski, M.; Gorova, M. Adularia–sericite type wallrock alteration at the Maria Josefa goldmine: An example of low sulfidation epithermal ore deposit within the volcanic Rodalquilar Caldera (SE, Spain). Acta Geol. Hispánica 1995, 30, 91–100. [Google Scholar]

















| Satellite/Sensor | SWIR Band No. | Spectral Range (µm) | Spatial Resolution |
|---|---|---|---|
| WorldView-3 | SWIR-1 | 1.195–1.225 | 3.7 m |
| SWIR-2 | 1.550–1.590 | ||
| SWIR-3 | 1.640–1.680 | ||
| SWIR-4 | 1.710–1.750 | ||
| SWIR-5 | 2.145–2.185 | ||
| SWIR-6 | 2.185–2.225 | ||
| SWIR-7 | 2.235–2.285 | ||
| SWIR-8 | 2.295–2.365 | ||
| Terra/ASTER | 4 | 1.600–1.700 | 30 m |
| 5 | 2.145–2.185 | ||
| 6 | 2.185–2.225 | ||
| 7 | 2.235–2.285 | ||
| 8 | 2.295–2.365 | ||
| 9 | 2.360–2.430 | ||
| Landsat-8/OLI | 6 | 1.560–1.660 | 30 m |
| 7 | 2.100–2.300 |
| Reference Data (Field Spectral Measurements) | |||||||||
|---|---|---|---|---|---|---|---|---|---|
| Alunite | Alunite + Kaolin Group | Kaolin Group | Buddingtonite | NH4-Illite | Illite/Smectite | Smectite | Row Total (User Accuracy, %) | ||
| MTMF Class | Alunite | 32 | 1 | 8 | 0 | 0 | 0 | 0 | 41 (75.6) |
| Alunite + Kaolin group | 7 | 3 | 21 | 0 | 0 | 0 | 0 | 31 (12.9) | |
| Kaolin group | 6 | 5 | 79 | 0 | 0 | 1 | 1 | 92 (85.9) | |
| Buddingtonite | 0 | 0 | 0 | 3 | 0 | 1 | 2 | 6 (50) | |
| NH4-Illite | 0 | 0 | 0 | 0 | 1 | 0 | 1 | 2 (50) | |
| Illite/smectite | 0 | 0 | 2 | 0 | 0 | 6 | 1 | 9 (66.7) | |
| Smectite | 0 | 0 | 0 | 0 | 0 | 4 | 1 | 5 (20) | |
| Unclass | 0 | 0 | 3 | 0 | 0 | 1 | 0 | 4 | |
| Column total (producer accuracy, %) | 45 (72.1) | 9 (36.4) | 113 (69.9) | 3 (100) | 1 (100) | 13 (46.2) | 6 (16.7) | 190 | |
Publisher’s Note: MDPI stays neutral with regard to jurisdictional claims in published maps and institutional affiliations. |
© 2021 by the authors. Licensee MDPI, Basel, Switzerland. This article is an open access article distributed under the terms and conditions of the Creative Commons Attribution (CC BY) license (http://creativecommons.org/licenses/by/4.0/).
Share and Cite
Son, Y.-S.; You, B.-W.; Bang, E.-S.; Cho, S.-J.; Kim, K.-E.; Baik, H.; Nam, H.-T. Mapping Alteration Mineralogy in Eastern Tsogttsetsii, Mongolia, Based on the WorldView-3 and Field Shortwave-Infrared Spectroscopy Analyses. Remote Sens. 2021, 13, 914. https://doi.org/10.3390/rs13050914
Son Y-S, You B-W, Bang E-S, Cho S-J, Kim K-E, Baik H, Nam H-T. Mapping Alteration Mineralogy in Eastern Tsogttsetsii, Mongolia, Based on the WorldView-3 and Field Shortwave-Infrared Spectroscopy Analyses. Remote Sensing. 2021; 13(5):914. https://doi.org/10.3390/rs13050914
Chicago/Turabian StyleSon, Young-Sun, Byoung-Woon You, Eun-Seok Bang, Seong-Jun Cho, Kwang-Eun Kim, Hyunseob Baik, and Hyeong-Tae Nam. 2021. "Mapping Alteration Mineralogy in Eastern Tsogttsetsii, Mongolia, Based on the WorldView-3 and Field Shortwave-Infrared Spectroscopy Analyses" Remote Sensing 13, no. 5: 914. https://doi.org/10.3390/rs13050914
APA StyleSon, Y.-S., You, B.-W., Bang, E.-S., Cho, S.-J., Kim, K.-E., Baik, H., & Nam, H.-T. (2021). Mapping Alteration Mineralogy in Eastern Tsogttsetsii, Mongolia, Based on the WorldView-3 and Field Shortwave-Infrared Spectroscopy Analyses. Remote Sensing, 13(5), 914. https://doi.org/10.3390/rs13050914

