Empirical Relationships between Remote-Sensing Reflectance and Selected Inherent Optical Properties in Nordic Sea Surface Waters for the MODIS and OLCI Ocean Colour Sensors
Abstract
1. Introduction
2. Materials and Methods
2.1. Study Area
2.2. Sample Collection and Processing
2.3. Particulate Absorption
2.4. Chlorophyll a Concentration
2.5. Radiometric Measurements
2.6. Satellite Data Processing
2.7. Statistical Approach
3. Results
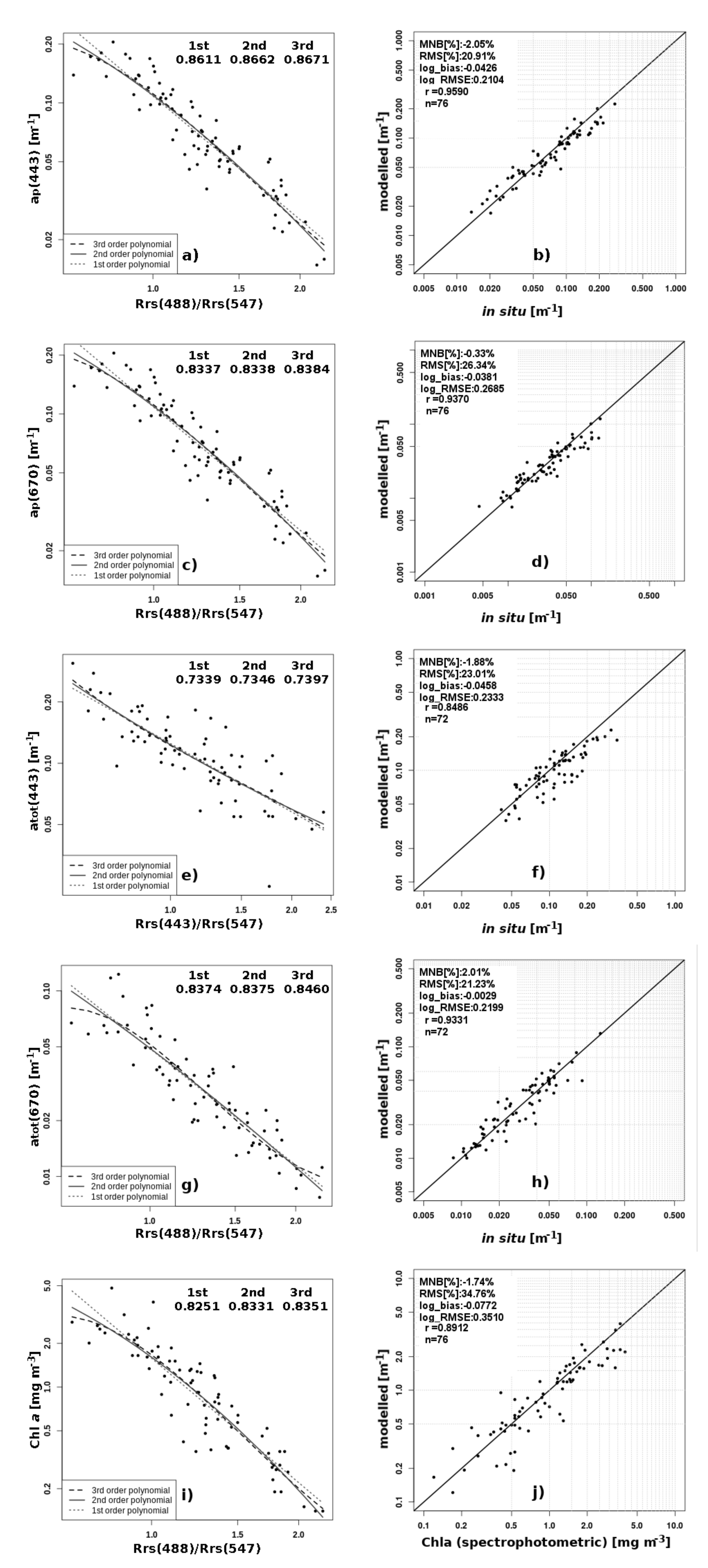
3.1. Empirical Band Ratio Algorithms for MODIS Spectral Bands
3.2. Empirical Band Ratio Algorithms for OLCI Spectral Bands
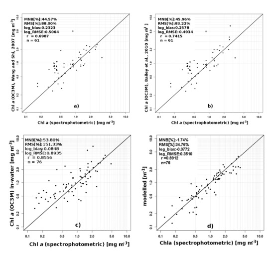
3.3. Validation of the Proposed Band Ratio Algorithm for Estimating Chlorophyll a Concentration
3.4. Seasonal and Year-To-Year Variability of Distribution in the Nordic Seas
4. Discussion
4.1. Assessment of Remote Sensing Algorithms for the Retrieval of Inherent Optical Properties, and Chlorophyll a Concentrations in the Arctic Ocean
4.2. The Role of Sea Ice Cover in the Spatial and Temporal Variability of Inherent Optical Properties in the Nordic Seas
5. Conclusions
Author Contributions
Funding
Acknowledgments
Conflicts of Interest
Abbreviations
| AW | Atlantic Water |
| CDOM | Chromophoric Dissolved Organic Matter |
| EGC | East Greenland Current |
| ESA | European Space Agency |
| IOP | Inherent Optical Property |
| MERIS | Medium-Resolution Imaging Spectrometer |
| MODIS | Moderate-Resolution Imaging Spectroradiometer |
| NASA | National Aeronautics and Space Administration |
| OC (X) | Ocean Colour type algorithm, version X |
| OD | Optical Density |
| OLCI | Ocean and Land Colour Instrument |
| PW | Polar Waters |
| SST | Sea Surface Temperature |
| UV | Ultra Violet |
| VIS | VISible part of the electromagnetic spectrum |
| WSC | West Spitsbergen Current |
References
- AMAP. Arctic Climate Issues 2011: Changes in Arctic Snow, Water, Ice and Permafrost. In SWIPA 2011 Overview Report; Arctic Monitoring and Assessment Programme (AMAP): Oslo, Norway, 2012; ISBN 978-82-7971-073-8. [Google Scholar]
- Granskog, M.A.; Rosel, A.; Dodd, P.A.; Divine, D.; Gerland, S.; Martma, T.; Leng, M.J. Snow contribution to first-year and second-year Arctic sea ice mass balance north of Svalbard. J. Geophys. Res. Oceans 2017, 122, 2539–2549. [Google Scholar] [CrossRef]
- Meier, W.N.; Hovelsrud, G.K.; van Oort, B.E.; Key, J.R.; Kovacs, K.M.; Michel, C.; Haas, C.; Granskog, M.A.; Gerland, S.; Perovich, D.K.; et al. Arctic sea ice in transformation: A review of recent observed changes and impacts on biology and human activity. Rev. Geophys. 2014, 52, 185–217. [Google Scholar] [CrossRef]
- Serreze, M.C.; Stroeve, J. Arctic sea ice trends, variability and implications for seasonal ice forecasting. Philos. Trans. R. Soc. A 2015, 373. [Google Scholar] [CrossRef] [PubMed]
- Smedsrud, L.H.; Halvorsen, M.H.; Stroeve, J.C.; Zhang, R.; Kloster, K. Fram Strait sea ice export variability and September Arctic sea ice extent over the last 80 years. Cryosphere 2016. [Google Scholar] [CrossRef]
- Taskjelle, T.; Granskog, M.A.; Pavlov, A.K.; Hudson, S.R.; Hamre, B. Effects of an Arctic under-ice bloom on solar radiant heating of the water column. J. Geophys. Res. Oceans 2017, 122, 126–138. [Google Scholar] [CrossRef]
- Pavlov, A.K.; Granskog, M.A.; Stedmon, C.A.; Ivanov, B.V.; Hudson, S.R.; Falk-Petersen, S. Contrasting optical properties of surface waters across the Fram Strait and its potential biological implications. J. Mar. Syst. 2015, 143, 62–72. [Google Scholar] [CrossRef]
- Woźniak, B.; Dera, J. Light Absorption in Sea Water; Springer: New York, NY, USA, 2007; p. 452. [Google Scholar]
- Makarewicz, A.; Kowalczuk, P.; Sagan, S.; Granskog, M.; Pavlov, A.; Zdun, A.; Borzycka, K.; Zabłocka, M. Characteristics of chromophoric and fluorescent dissolved organic matter in the Nordic Seas. Ocean Sci. 2018, 14, 543–562. [Google Scholar] [CrossRef]
- Kowalczuk, P.; Sagan, S.; Makarewicz, A.; Meler, J.; Borzycka, K.; Zabłocka, M.; Zdun, A.; Konik, M.; Darecki, M.; Granskog, M.A.; et al. Bio-optical properties of surface waters in the Atlantic Water inflow region off Spitsbergen (Arctic Ocean). J. Geophys. Res. Oceans 2019, 124. [Google Scholar] [CrossRef]
- Stramska, M.; Stramski, D.; Kaczmarek, S.; Allison, D.B.; Schwarz, J. Seasonal and regional differentiation of bio-optical properties within the north polar Atlantic. J. Geophys. Res. 2006, 111. [Google Scholar] [CrossRef]
- Kowalczuk, P.; Meler, J.; Kauko, H.M.; Pavlov, A.K.; Zabłocka, M.; Peeken, I.; Dybwad, C.; Castellani, G.; Granskog, M.A. Bio-optical properties of Arctic drift ice and surface waters north of Svalbard from winter to spring. J. Geophys. Res. Oceans 2017, 122, 4634–4660. [Google Scholar] [CrossRef]
- Granskog, M.A.; Stedmon, C.A.; Dodd, P.A.; Amon, R.M.W.; Pavlov, A.K.; de Steur, L.; Hansen, E. Characteristics of colored dissolved organic matter (CDOM) in the Arctic outflow in the Fram Strait: Assessing the changes andfate of terrigenous CDOM in the Arctic Ocean. J. Geophys. Res. 2012, 117, C12021. [Google Scholar] [CrossRef]
- Stedmon, C.A.; Amon, R.M.W.; Rinehart, A.J.; Walker, S.A. The supply and characteristics of colored dissolved organic matter(CDOM) to the Arctic Ocean. Mar. Chem. 2011, 124, 108–118. [Google Scholar] [CrossRef]
- Neukermans, G.; Oziel, L.; Babin, M. Increased intrusion of warming Atlantic water leads to rapid expansion of temperate phytoplankton in the Arctic. Glob Chang. Biol. 2018, 1–9. [Google Scholar] [CrossRef]
- Oziel, L.; Neukermans, G.; Ardyna, M.; Lancelot, C.; Tison, J.-L.; Wassmann, P.; Sirven, J.; Ruiz-Pino, D.; Gascard, J.-C. Role for Atlantic inflows andsea ice loss on shifting phytoplankton blooms in the Barents Sea. J. Geophys. Res. Oceans 2017, 122. [Google Scholar] [CrossRef]
- Dylmer, C.V.; Giraudeau, J.; Hanquiez, V.; Husum, K. The coccolithophores Emiliania huxleyi and Coccolithus pelagicus: Extant populations from the Norwegian–Iceland Seas and Fram Strait. Deep-Sea Res. I 2015, 98, 1–9. [Google Scholar] [CrossRef]
- Bélanger, S.; Cizmeli, S.A.; Ehn, J.; Matsuoka, A.; Doxaran, D.; Hooker, S.; Babin, M. Light absorption and partitioning in Arctic Ocean surface waters: Impact of multiyear ice melting. Biogeosciences 2013, 10, 6433–6452. [Google Scholar] [CrossRef]
- Grémillet, D.; Welcker, J.; Karnovsky, N.J.; Walkusz, W.; Hall, M.E.; Fort, J.; Brown, Z.W.; Speakman, J.R.; Harding, A.M.A. Little auks buffer the impact of current Arctic climate change. Mar. Ecol. Prog. Ser. 2012, 54, 197–206. [Google Scholar] [CrossRef]
- Morel, A.; Prieur, L. Analysis of variations in ocean color. Limnol. Oceanogr. 1977, 22, 709–722. [Google Scholar] [CrossRef]
- Emberton, S.; Chittka, L.; Cavallaro, A.; Wang, M. Sensor Capability and Atmospheric Correction in Ocean Colour Remote Sensing. Remote Sens. 2016, 8, 1. [Google Scholar] [CrossRef]
- Odermatt, D.; Gitelson, A.; Brando, V.E.; Schaepman, M. Review of constituent retrieval in optically deep and complex waters from satellite imagery. Remote Sens. Environ. 2012, 118, 116–126. [Google Scholar] [CrossRef]
- Blondeau-Patissier, D.; Gower, J.; Dekker, A.; Phinn, S.; Brando, V. A review of ocean color remote sensing methods and statistical techniques for the detection, mapping and analysis of phytoplankton blooms in coastal and open oceans. Prog. Oceanogr. 2014, 123, 123–144. [Google Scholar] [CrossRef]
- IOCCG. Atmospheric Correction for Remotely-Sensed Ocean-Colour Products; Reports of the International Ocean-Colour Coordinating Group No. 10; Wang, M., Ed.; IOCCG: Dartmouth, NS, Canada, 2010. [Google Scholar]
- Gordon, H.R.; Morel, A.Y. Remote Assessment of Ocean Colourfor Interpretation of Satellite Visible Imagery: A Review; Springer: New York, NY, USA, 1983. [Google Scholar]
- Garver, S.A.; Siegel, D.A. Inherent optical property inversion of ocean color spectra and its biogeochemical interpretation—1. Time series from the Sargasso Sea. J. Geophys. Res. 1997, 102, 18607–18625. [Google Scholar] [CrossRef]
- Maritorena, S.; Siegel, D.A.; Peterson, A.R. Optimization of a semianalytical ocean color model for global-scale applications. Appl. Opt. 2002, 41, 2705–2714. [Google Scholar] [CrossRef] [PubMed]
- Doerffer, R.; Schiller, H. The MERIS Case 2 water algorithm. J. Rem. Sens. 2007, 28, 517–535. [Google Scholar] [CrossRef]
- O’Reilly, J.E.; Maritorena, S.; Siegel, D.A.; O’Brien, M.C.; Toole, D.; Mitchell, B.G.; Kahru, M.; Chavez, F.P.; Strutton, P.; Cota, G.F.; et al. Ocean color chlorophyll a algorithms for SeaWiFS, OC2, and OC4: Version 4. In SeaWiFS Postlaunch Technical Report Series. SeaWiFS Post-launch Calibration and Validation Analyses, Part 3, Vol. 11; Hooker, S.B., Firestone, E.R., Eds.; NASA Goddard Space Flight Center: Greenbelt, MD, USA, 2000; pp. 9–23. [Google Scholar]
- Lavender, S.J.; Pinkerton, M.H.; Moore, G.F.; Aiken, J.; Blondeau-Patissier, D. Modification to the atmospheric correction of SeaWiFS ocean colour images over turbid waters. Cont. Shelf Res. 2005, 25, 539–555. [Google Scholar] [CrossRef]
- IOCCG. Ocean Colour Remote Sensing in Polar Seas; Reports of the International Ocean-Colour Coordinating Group. No., 16; Babin, M., Arrigo, K., Bélanger, S., Forget, M.-H., Eds.; IOCCG: Dartmouth, NS, Canada, 2015. [Google Scholar]
- Stramska, M.; Stramski, D.; Hapter, R.; Kaczmarek, S.; Stoń, J. Bio-optical relationships and ocean color algorithms for the northpolar region of the Atlantic. J. Geophys. Res. 2003, 108, 3143. [Google Scholar] [CrossRef]
- Beszczyńska-Möller, A.; Fahrbach, E.; Schauer, U.; Hansen, E. Variability in Atlantic water temperature and transport at the entrance to the Arctic Ocean, 1997–2010. ICES J. Mar. Sci. 2012, 69, 852–863. [Google Scholar] [CrossRef]
- Schlichtholz, P.; Houssais, M.-N. An overview of the θ–S correlations in Fram Strait based on the MIZEX 84 data. Oceanologia 2002, 44, 243–272. [Google Scholar]
- Sarkar, S.; Sheen, K.L.; Klaeschen, D.; Brearley, J.A.; Minshull, T.A.; Berndt, C.; Hobbs, R.W.; Garabato, A.C.N. Seismic reflection imaging of mixing processes in Fram Strait. J. Geophys. Res. Oceans 2015, 120. [Google Scholar] [CrossRef]
- Polyakov, I.V.; Pnyushkov, A.V.; Alkire, M.B.; Ashik, I.M.; Baumann, T.M.; Carmack, E.C.; Goszczko, I.; Guthrie, J.; Ivanov, V.V.; Kanzow, T.; et al. Greater role for Atlantic inflows on sea-ice loss in the Eurasian Basin of the Arctic Ocean. Science 2017. [Google Scholar] [CrossRef]
- Walczowski, W. Frontal structures in the West Spitsbergen Current margins. Ocean Sci. 2013, 9, 957–975. [Google Scholar] [CrossRef]
- Kowalczuk, P.; Stedmon, C.A.; Markager, S. Modeling absorption by CDOM In the Balic Sea from season, salinity and chlorophyll. Mar. Chem. 2006, 101, 1–11. [Google Scholar] [CrossRef]
- Stedmon, C.A.; Markager, S.; Kaas, H. Optical properties andsignatures of chromophoric dissolved organic Matter (CDOM)in Danish coastal waters. Estuar. Coast. Shelf Sci. 2000, 51, 267–278. [Google Scholar] [CrossRef]
- Tassan, S.; Ferrari, G.M. An alternative approach to absorption measurements of aquatic particles retained on filters. Limnol. Oceanogr. 1995, 40, 1358–1368. [Google Scholar] [CrossRef]
- Tassan, S.; Ferrari, G.M. A sensitivity analysis of the ‘Transmittance-Reflectance’ method for measuring light absorption by aquatic particles. J. Plankton Res. 2002, 24, 757–774. [Google Scholar] [CrossRef]
- Doerffer, R. Protocols for the validation of MERIS water products. In European Space Agency Doc. No. PO-TN-MEL-GS-0043; GKSS Research Center [or Forschungszentrum]: Geesthacht, Germany, 2002. [Google Scholar]
- Mueller, J.L.; Fargion, G.S.; McClain, C.R. Ocean Optics Protocols for Satellite Ocean Color Sensor Validation—Revision 4, Volume III: Radiometric Measurements and Data Analysis Protocols; NASA Technical Report; NASA/TM-2003-21621/Rev-Vol III; NASA: Greenbelt, MD, USA, 2003.
- Mitchell, B.G. Algorithm for determining the absorption coefficient of aquatic particulates using the quantitative filter technique. Proc. SPIE 1990, 1302, 137–148. [Google Scholar]
- Stramski, D.; Reynolds, R.; Kaczmarek, S.; Uitz, J.; Zheng, G. Correction of pathlength amplification in the filter-pad technique for measurements of particulate absorption coefficient in the visible spectral region. Appl. Opt. 2015, 54, 6763–6782. [Google Scholar] [CrossRef] [PubMed]
- Koblentz-Mischke, O.I.; Woz´niak, B.; Kaczmarek, S.; Konovalov, B.V. The assimilation of light energy by marine phytoplankton. Part 1. The light absorption capacity of the Baltic and Black Sea phytoplankton (methods; relation to chlorophyll concentration). Oceanologia 1995, 37, 145–169. [Google Scholar]
- Woźniak, B.; Dera, J.; Ficek, D.; Majchrowski, R.; Kaczmarek, S.; Ostrowska, M.; Koblentz-Mishke, O.I. Modelling the influence of acclimation on the absorption properties of marine phytoplankton. Oceanologia 1999, 41, 187–210. [Google Scholar]
- Mitchell, B.G.; Kahru, M.; Wieland, J.; Stramska, M. Determination of spectral absorption coefficients of particles, dissolved material and phytoplankton for discrete water samples. In Ocean Optics Protocols for Satellite Ocean Color Sensor Validation, Revision 3; Fargion, G.S., Mueller, J.L., Eds.; NASA Technical Memorandum 2002-210004/Rev-3, Vol. 2; NASA Goddard Space Center: Greenbelt, MD, USA, 2002. [Google Scholar]
- Meler, J.; Ostrowska, M.; Stoń-Egiert, J.; Zabłocka, M. Seasonal and spatial variability of light absorption by suspended particles in the southern Baltic: A mathematical description. J. Mar. Syst. 2016. [Google Scholar] [CrossRef]
- Lorenzen, C.L. Determination of chlorophyll and pheo-pigments: Spectrophotometric equations. Limnol. Oceanogr. 1967, 12, 343–346. [Google Scholar] [CrossRef]
- Strickland, J.D.H.; Parsons, T.R. A Practical Handbook of Seawater Analyses; Fisheries Research Board of Canada: Ottawa, ON, Canada, 1972. [Google Scholar]
- Xiong, X.J.; Che, N.; Moyer, D.; Barnes, W.; Guenther, B.; Salomonson, V. Instrument self-shading in underwater optical measurements: Experimental data. Appl. Opt. 1995, 34, 2750–2754. [Google Scholar]
- Austin, R.W. Optical aspects of oceanography. In The Remote Sensing of Spectral Radiance from below the Ocean Surface. Jerlov, N.G., Nielsen, E.S., Eds.; Academic Press: New York, NY, USA, 1974; pp. 317–344. [Google Scholar]
- Cleveland, W.S.; Grosse, E.H.; Shyu, M.J. Local regression models. In Statistical Models in S.; Chambers, J.M., Hastie, T.J., Eds.; Chapman and Hall: New York, NY, USA, 1992. [Google Scholar]
- Xiong, X.J.; Che, N.; Moyer, D.; Barnes, W.; Guenther, B.; Salomonson, V. Four-years On-orbit Spectral Characterization Results for Aqua MODIS Reflective Solar Bands. Proc. SPIE 2006, 6361, 63610S-1. [Google Scholar] [CrossRef]
- Sun, H.; Wolf, W.; Barnet, C.; Zhou, L.; Goldberg, M. MODIS infrared channel spectral response function calibration with co-located AIRS observation. In Proceedings of the AMS 14th Symposium on Meteorological Observation and Instrumentation, San Antonio, TX, USA, 14–18 January 2007. [Google Scholar]
- Pelloquin, C.; Nieke, J. Sentinel-3 OLCI and SLSTR Simulated Spectral Response Functions (S3-TN-ESA-PL-316). In Sentinel-3 OLCI/SLSTR and MERIS/(A)ATSR; 711; 2; ESA Communications: Noordwijk, The Netherlands, 2013. [Google Scholar]
- Antoine, D.; Fanton d’Andon, O. OLCI Level 2 Algorithm Theoretical Basis Document. In Document Ref.: S3-L2-SD-03-C10-LOV-ATBD; Ocean Colour Products in case 1 waters; ACRI-ST: Biot, France, 2010. [Google Scholar]
- O’Reilly, J.E.; Maritorena, S.; Mitchell, B.G.; Siegel, D.A.; Carder, K.L.; Garver, S.A.; Kahru, M.; McClain, C. Ocean color chlorophyll algorithms for SeaWIFS. J. Geophys. Res. 1998, 103, 24937–24953. [Google Scholar] [CrossRef]
- Siegel, D.A.; Wang, M.; Maritorena, S.; Robinson, W. Atmospheric correction of satellite ocean color imagery: The black pixel assumption. Appl. Opt. 2000, 39, 3582–3591. [Google Scholar] [CrossRef] [PubMed]
- Bailey, S.W.; Franz, B.A.; Werdell, J.P. Estimation of near-infrared water-leaving reflectance for satellite ocean color data processing. Opt. Express 2010, 18, 7521–7527. [Google Scholar] [CrossRef]
- Wang, M.; Shi, W. The NIR-SWIR combined atmospheric correction approach for MODIS ocean color data processing. Opt. Express 2007, 15, 15722–15733. [Google Scholar] [CrossRef]
- Bailey, S.W.; Werdell, J.P. A multi-sensor approach for the on-orbit validation of ocean color satellite data products. Remote Sens. Environ. 2006, 102, 12–23. [Google Scholar] [CrossRef]
- IOCCG. Remote Sensing of Inherent Optical Properties: Fundamentals, Tests of Algorithms, and Applications; Reports of the International Ocean-Colour Coordinating Group No. 5; Lee, Z.P., Ed.; IOCCG: Dartmouth, NS, Canada, 2006. [Google Scholar]
- Greg, W.W.; Casey, M.W. Global and regional evaluation of the SeaWiFS chlorophyll data set. Remote Sens. Environ. 2004, 93, 463–479. [Google Scholar] [CrossRef]
- Darecki, M.; Stramski, D. An evaluation of MODIS and SeaWiFS bio-optical algorithms in the Baltic Sea. Remote Sens. Environ. 2004, 89, 326–350. [Google Scholar] [CrossRef]
- Campbell, J.W.; O’Reilly, J.E. Metrics for Quantifying the Uncertainty in a Chlorophyll Algorithm: Explicit equations and examples using the OC4.v4 algorithm and NOMAD data. Ocean Color Bio-Opt. Algorithm Mini Workshop 2006, 4, 1–15. [Google Scholar]
- Granskog, M.A.; Pavlov, A.K.; Sagan, S.; Kowalczuk, P.; Raczkowska, A.; Stedmon, C.A. Effect of sea-ice melt on inherent optical properties and vertical distribution of solar radiant heating in Arctic surface waters. J. Geophys. Res. Ocean. 2015, 120, 7028–7039. [Google Scholar] [CrossRef]
- Rolyakov, I.V.; Pnyushkov, A.V.; Alkire, M.B.; Ashik, I.M.; Baumann, T.M.; Carmack, E.C.; Goszczko, I.; Guthrie, J.; Ivanov, V.V.; Kanzow, T.; et al. Power comparisons of Shapiro-Wilk, Kolmogorov-Smirnov, Lilliefors and Anderson-Darling tests. J. Stat. Model. Anal. 2011, 2, 21–33. [Google Scholar]
- Werdell, P.J.; Bailey, S.W. An improved in-situ bio-optical data set for ocean color algorithm development and satellite data product validation. Remote Sens. Environ. 2005, 98, 122–140. [Google Scholar] [CrossRef]
- Lee, Z.P.; Carder, K.L.; Arnone, R.A.; Blondeau-Patissier, D. Deriving inherent optical properties from water color: A multi-band quasi-analytical algorithm for optically deep waters. Appl. Opt. 2002, 41, 5755–5772. [Google Scholar] [CrossRef]
- Bricaud, A.; Babin, M.; Morel, A.; Claustre, H. Variability in the chlorophyll-specific absorption coefficients of natural phytoplankton: Analysis and parameterization. J. Geophys. Res. 1995, 100, 321–332. [Google Scholar] [CrossRef]
- Bricaud, A.; Morel, A.; Babin, M.; Allali, K.; Claustre, H. Variations of light absorption by suspended particles with chlorophyll a concentration in oceanic (Case 1) waters: Analysis and implications for bio-optical models. J. Geophys. Res. 1998, 103, 31033–31044. [Google Scholar] [CrossRef]
- Laliberté, F.; Howell, S.E.L.; Kushner, P.J. Regional variability of a projected sea ice-free Arctic during the summer months. Geophys. Res. Lett. 2016, 43. [Google Scholar] [CrossRef]
- Sathyendranath, S.; Cota, G.F.; Stuart, V.; Maass, H.; Platt, T. Remote sensing of phytoplankton pigments: A comparison of empirical and theoretical approaches. Int. J. Remote Sens. 2001, 22, 249–273. [Google Scholar] [CrossRef]
- Cota, G.F.; Harrison, W.G.; Platt, T.; Sathyendranath, S.; Stuart, V. Bio-optical properties of the Labrador Sea. J. Geophys. Res. 2003, 108, 3228. [Google Scholar] [CrossRef]
- Mitchell, B.G. Predictive bio-optical relationships for polar oceans and marginal ice zones. J. Mar. Syst. 1992, 3, 91–105. [Google Scholar] [CrossRef]
- Cota, G.F.; Wang, J.; Comiso, J.C. Transformation of global satellite chlorophyll retrievals with a regionally tuned algorithm. Remote Sens. Environ. 2004, 90, 373–377. [Google Scholar] [CrossRef]
- Matsuoka, A.; Huot, Y.; Shimada, K.; Saitoh, S.; Babin, M. Characteristics of chromophoric and fluorescent dissolved organic matter in the Nordic Seas. J. Remote Sens. 2007, 33, 503–518. [Google Scholar]
- Lewis, K.M.; Mitchell, B.G.; van Dijken, G.L.; Arrigo, K.R. Regional chlorophyll a algorithms in the Arctic Ocean and their effect on satellite-derived primary production estimates. Deep-Sea Res. II 2016, 130, 14–27. [Google Scholar] [CrossRef]
- Clay, S.; Peña, A.; DeTracey, B.; Devred, E. Evaluation of Satellite-Based Algorithms to Retrieve Chlorophyll-a Concentration in the Canadian Atlantic and Pacific Oceans. Remote Sens. 2019, 11, 2609. [Google Scholar] [CrossRef]
- Werdell, P.J.; McKinna, L.I.W.; Boss, E.; Ackleson, S.G.; Craig, S.E.; Gregg, W.W.; Lee, Z.; Maritorena, S.; Roesler, C.S.; Rousseaux, C.S.; et al. An overview of approaches and challenges for retrieving marine inherent optical properties from ocean color remote sensing. Prog. Oceanogr. 2018, 160, 186–212. [Google Scholar] [CrossRef] [PubMed]
- Liu, X.; Devred, E.; Johnson, C. Remote Sensing of Phytoplankton Size Class inNorthwest Atlantic from 1998 to 2016: Bio-OpticalAlgorithms Comparison and Application. Remote Sens. 2018, 10, 1028. [Google Scholar] [CrossRef]
- Walczowski, W.; Beszczyńska-Möller, A.; Wieczorek, P.; Merchel, M.; Grynczel, A. Oceanographic observations in the Nordic Sea and Fram Strait in 2016 under the IOPAN long-term monitoring program AREX. Oceanologia 2017, 59, 187–194. [Google Scholar] [CrossRef]
- Oziel, L.; Baudena, A.; Ardyna, M.; Massicotte, P.; Randelhoff, A.; Sallée, J.-B.; Ingvaldsen, R.B.; Devred, E.; Babin, M. Faster Atlantic currents drive poleward expansion of temperate phytoplankton in the Arctic Ocean. Nat. Commun. 2020, 11, 1705. [Google Scholar] [CrossRef]
- Stedmon, C.A.; Markager, S. The optics of chromophoric dis-solved organic matter (CDOM) in the Greenland Sea: An algorithm for differentiation between marine and terrestrially derived organic matter. Limnol. Oceanogr. 2001, 46, 2087–2093. [Google Scholar] [CrossRef]
- Hancke, K.; Hovland, E.K.; Volent, Z.; Pettersen, R.; Johnsen, G.; Moline, M.; Sakshaug, E. Optical properties of CDOM across the Polar Front in the Barents Sea: Origin, distribution and significance. J. Mar. Syst. 2014, 130, 219–227. [Google Scholar] [CrossRef]
- Stedmon, C.A.; Granskog, M.A.; Dodd, P.A. An approach to estimate the freshwater contribution from glacial melt and precipitation in East Greenland shelf waters using colored dissolved organic matter(CDOM). J. Geophys. Res. Oceans 2015, 120, 1107–1117. [Google Scholar] [CrossRef]
- Gonçalves-Araujo, R.; Granskog, M.; Bracher, A.; Azetsu-Scott, K.; Dodd, P.A.; Stedmon, C.A. Using Fluorescent Dissolved Organic Matter to Trace and Distinguish the Origin of Arctic Surface Waters; FAMOS Workshop: Woods Hole, MA, USA, 2016. [Google Scholar]
- Cherkasheva, A.; Bracher, A.; Melsheimer, C.; Köberle, C.; Gerdes, R.; Nöthig, E.-M.; Bauerfeind, E.; Boetius, A. Influence of the physical environment on polar phytoplankton blooms: A case study in the Fram Strait. J. Mar. Syst. 2014, 132, 196–207. [Google Scholar] [CrossRef]
- Mayot, N.; Matrai, P.; Ellingsen, I.H.; Steele, M.; Johnson, K.; Riser, S.C.; Swift, D. Assessing phytoplankton activities in the seasonal ice zone of the Greenland Sea over an annual cycle. J. Geophys. Res. Oceans 2018, 123, 8004–8025. [Google Scholar] [CrossRef]
- Mayot, N.; Matrai, P.A.; Arjona, A.; Bélanger, S.; Marchese, C.; Jaegler, T.; Ardyna, M.; Steele, M. Springtime export of Arctic sea ice influences phytoplankton production in the Greenland Sea. J. Geophys. Res. Oceans 2020, 125, e2019JC015799. [Google Scholar] [CrossRef]
- Ardyna, M.; Gosselin, M.; Michel, C.; Poulin, M.; Tremblay, J.-É. Environmental forcing of phytoplankton community structure and function in the Canadian High Arctic: Contrasting oligotrophic and eutrophic regions. Mar. Ecol. Prog. Ser. 2011, 442, 37–57. [Google Scholar] [CrossRef]









| Cruise | Date | In Situ Measurements | Satellite Match-Ups | ||||
|---|---|---|---|---|---|---|---|
| Chla | * 1 | * 2 | |||||
| AREX 2013 | 13–24 July 2013 | 35 | 35 | 35 | 35 | 24 | 24 |
| AREX 2014 | 20 June–23 July 2014 | 60 | 60 | 60 | 56 | 19 | 18 |
| AREX 2015 | 19 June–24 July 2015 | 64 | 64 | 64 | 61 | 19 | 19 |
| Parameter | Equation | |
|---|---|---|
| Chla | , | |
| , | ||
| , | ||
| , | ||
| , | ||
| Parameter | Equation | |
|---|---|---|
| Chla | , | |
| , | ||
| , | ||
| , | ||
| , | ||
| Dataset | Source | Bands Used | MNB [%] | RMS [%] | log_bias [mg m] | log_RMSE [mg m] | n |
|---|---|---|---|---|---|---|---|
| OC3M (Bailey et al., 2010) | https://oceancolor.gsfc.nasa.gov | (Rrs443,Rrs488)/Rrs547 | 45.96 | 83.22 | 0.2578 | 0.4934 | 62 |
| OC3M (Wang and Shi, 2007) | /atbd/chlora | (Rrs443,Rrs488)/Rrs547 | 44.57 | 88.00 | 0.2323 | 0.5064 | 61 |
| OC2M MODIS (in-water) | last accessed (9 January 2017) | Rrs488/Rrs547 | 28.84 | 57.14 | 0.1766 | 0.3830 | 76 |
| OC3M MODIS (in-water) | (Rrs443,Rrs488)/Rrs547 | 53.80 | 151.33 | 0.0848 | 0.8935 | 76 | |
| OC4Me OLCI (in-water) | [Antoine and Fanton d’Andon, 2010] | (Rrs443,Rrs490,Rrs510)/Rrs560 | 39.19 | 55.15 | 0.2632 | 0.3956 | 76 |
| proposed MODIS (in-water) | Rrs488/Rrs547 | −1.74 | 34.76 | −0.0772 | 0.3510 | 76 | |
| proposed OLCI (in-water) | Rrs490/Rrs560 | 2.97 | 34.11 | −0.0237 | 0.3317 | 76 |
| Transect | V 2013 | VI 2013 | VII 2013 | VIII 2013 | V 2014 | VI 2014 | VII 2014 | VIII 2014 | V 2015 | VI 2015 | VII 2015 | VIII 2015 |
|---|---|---|---|---|---|---|---|---|---|---|---|---|
| EB2 | 0.0780 | 0.1122 | 0.0437 | 0.0524 | 0.0442 | 0.0796 | 0.0588 | 0.0548 | 0.0629 | 0.0827 | 0.0598 | 0.0472 |
| ±0.0361 | ±0.0482 | ±0.0208 | ±0.0153 | ±0.0274 | ±0.0291 | ±0.0287 | ±0.0146 | ±0.0216 | ±0.0265 | ±0.0132 | ±0.0068 | |
| Z | 0.0692 | 0.0948 | 0.0511 | 0.0619 | 0.0343 | 0.0818 | 0.0922 | 0.0607 | 0.0399 | 0.1038 | 0.0577 | 0.0563 |
| ±0.0363 | ±0.0476 | ±0.0117 | ±0.0148 | ±0.0248 | ±0.0300 | ±0.0389 | ±0.0113 | ±0.0175 | ±0.0468 | ±0.0234 | ±0.0102 | |
| S | 0.0378 | 0.0765 | 0.0532 | 0.0560 | 0.0214 | 0.0828 | 0.0700 | 0.0616 | 0.0376 | 0.0749 | 0.0669 | 0.0562 |
| ±0.0139 | ±0.0377 | ±0.0160 | ±0.0100 | ±0.0037 | ±0.0237 | ±0.0163 | ±0.0141 | ±0.0210 | ±0.0342 | ±0.0193 | ±0.0100 |
© 2020 by the authors. Licensee MDPI, Basel, Switzerland. This article is an open access article distributed under the terms and conditions of the Creative Commons Attribution (CC BY) license (http://creativecommons.org/licenses/by/4.0/).
Share and Cite
Konik, M.; Kowalczuk, P.; Zabłocka, M.; Makarewicz, A.; Meler, J.; Zdun, A.; Darecki, M. Empirical Relationships between Remote-Sensing Reflectance and Selected Inherent Optical Properties in Nordic Sea Surface Waters for the MODIS and OLCI Ocean Colour Sensors. Remote Sens. 2020, 12, 2774. https://doi.org/10.3390/rs12172774
Konik M, Kowalczuk P, Zabłocka M, Makarewicz A, Meler J, Zdun A, Darecki M. Empirical Relationships between Remote-Sensing Reflectance and Selected Inherent Optical Properties in Nordic Sea Surface Waters for the MODIS and OLCI Ocean Colour Sensors. Remote Sensing. 2020; 12(17):2774. https://doi.org/10.3390/rs12172774
Chicago/Turabian StyleKonik, Marta, Piotr Kowalczuk, Monika Zabłocka, Anna Makarewicz, Justyna Meler, Agnieszka Zdun, and Mirosław Darecki. 2020. "Empirical Relationships between Remote-Sensing Reflectance and Selected Inherent Optical Properties in Nordic Sea Surface Waters for the MODIS and OLCI Ocean Colour Sensors" Remote Sensing 12, no. 17: 2774. https://doi.org/10.3390/rs12172774
APA StyleKonik, M., Kowalczuk, P., Zabłocka, M., Makarewicz, A., Meler, J., Zdun, A., & Darecki, M. (2020). Empirical Relationships between Remote-Sensing Reflectance and Selected Inherent Optical Properties in Nordic Sea Surface Waters for the MODIS and OLCI Ocean Colour Sensors. Remote Sensing, 12(17), 2774. https://doi.org/10.3390/rs12172774

