Mapping Pure Mangrove Patches in Small Corridors and Sandbanks Using Airborne Hyperspectral Imagery
Abstract
1. Introduction
2. Materials and Methods
2.1. Study Site and Image Acquisition
2.1.1. Taijiang National Park
2.1.2. CASI Image Acquisition
2.2. Surface Reflectance and Atmospheric Correction
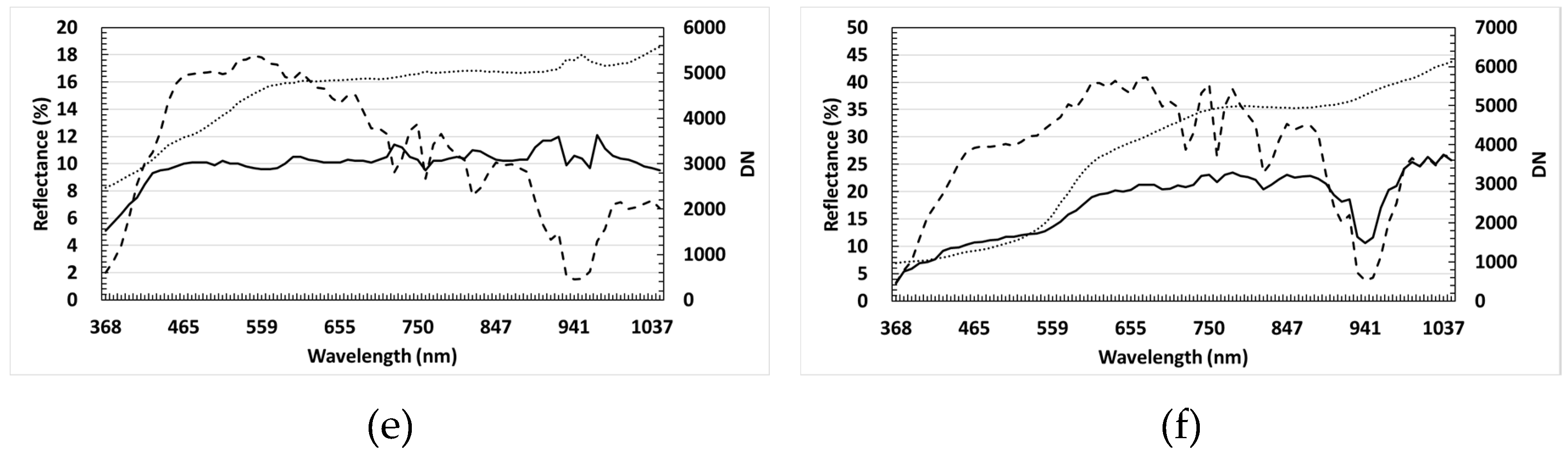
2.2.1. Spectra of Surface Reflectance
2.2.2. Atmospheric Correction
2.3. Map of Mangrove Distribution
2.4. Supervised Hourglass Hyperspectral Analysis
2.4.1. Minimum Noise Fraction Transform
2.4.2. Pixel Purity Index and Endmembers
3. Results
4. Discussion
5. Conclusions
Author Contributions
Funding
Acknowledgments
Conflicts of Interest
References
- Rey, J.R. Mangroves. In Environmental Geology; Springer: Berlin, Germany, 1999; pp. 396–397. [Google Scholar]
- Godoy, M.D.P.; Lacerda, L.D.D. Mangroves response to climate change: A review of recent findings on mangrove extension and distribution. An. Da Acad. Bras. De Ciências 2015, 87, 651–667. [Google Scholar] [CrossRef]
- Kuenzer, C.; Bluemel, A.; Gebhardt, S.; Quoc, T.V.; Dech, S. Remote sensing of mangrove ecosystems: A review. Remote Sens. 2011, 3, 878–928. [Google Scholar] [CrossRef]
- Koedsin, W.; Vaiphasa, C. Discrimination of tropical mangroves at the species level with EO-1 hyperion data. Remote Sens. 2013, 5, 3562–3582. [Google Scholar] [CrossRef]
- Food and Agriculture Organization of the United Nations. The World’s Mangroves, 1980–2005: A Thematic Study in the Framework of the Global Forest Resources Assessment 2005; Food and Agriculture Organization of the United Nations: Roma, Italy, 2007. [Google Scholar]
- Lee, T.-M.; Yeh, H.-C. Applying remote sensing techniques to monitor shifting wetland vegetation: A case study of danshui river estuary mangrove communities, taiwan. Ecol. Eng. 2009, 35, 487–496. [Google Scholar] [CrossRef]
- Polidoro, B.A.; Carpenter, K.E.; Collins, L.; Duke, N.C.; Ellison, A.M.; Ellison, J.C.; Farnsworth, E.J.; Fernando, E.S.; Kathiresan, K.; Koedam, N.E. The loss of species: Mangrove extinction risk and geographic areas of global concern. PLoS ONE 2010, 5, e10095. [Google Scholar] [CrossRef] [PubMed]
- Green, E.P.; Clark, C.D.; Mumby, P.J.; Edwards, A.J.; Ellis, A. Remote sensing techniques for mangrove mapping. Int. J. Remote Sens. 1998, 19, 935–956. [Google Scholar] [CrossRef]
- Pham, T.D.; Yokoya, N.; Bui, D.T.; Yoshino, K.; Friess, D.A. Remote sensing approaches for monitoring mangrove species, structure, and biomass: Opportunities and challenges. Remote Sens. 2019, 11, 230. [Google Scholar] [CrossRef]
- Giri, S.; Mukhopadhyay, A.; Hazra, S.; Mukherjee, S.; Roy, D.; Ghosh, S.; Ghosh, T.; Mitra, D. A study on abundance and distribution of mangrove species in indian sundarban using remote sensing technique. J. Coast. Conserv. 2014, 18, 359–367. [Google Scholar] [CrossRef]
- Fromard, F.; Vega, C.; Proisy, C. Half a century of dynamic coastal change affecting mangrove shorelines of french guiana. A case study based on remote sensing data analyses and field surveys. Mar. Geol. 2004, 208, 265–280. [Google Scholar] [CrossRef]
- Heenkenda, M.; Joyce, K.; Maier, S.; Bartolo, R. Mangrove species identification: Comparing worldview-2 with aerial photographs. Remote Sens. 2014, 6, 6064–6088. [Google Scholar] [CrossRef]
- Xia, Q.; Qin, C.-Z.; Li, H.; Huang, C.; Su, F.-Z. Mapping mangrove forests based on multi-tidal high-resolution satellite imagery. Remote Sens. 2018, 10, 1343. [Google Scholar] [CrossRef]
- Held, A.; Ticehurst, C.; Lymburner, L.; Williams, N. High resolution mapping of tropical mangrove ecosystems using hyperspectral and radar remote sensing. Int. J. Remote Sens. 2003, 24, 2739–2759. [Google Scholar] [CrossRef]
- Kumar, T.; Panigrahy, S.; Kumar, P.; Parihar, J. Classification of floristic composition of mangrove forests using hyperspectral data: Case study of bhitarkanika national park, india. J. Coast. Conserv. 2013, 17, 121–132. [Google Scholar] [CrossRef]
- Goenaga, M.A.; Torres-Madronero, M.C.; Velez-Reyes, M.; Van Bloem, S.J.; Chinea, J.D. Unmixing analysis of a time series of hyperion images over the guánica dry forest in puerto rico. IEEE J. Sel. Top. Appl. Earth Obs. Remote Sens. 2013, 6, 329–338. [Google Scholar] [CrossRef]
- Navarro, J.A.; Algeet, N.; Fernández-Landa, A.; Esteban, J.; Rodríguez-Noriega, P.; Guillén-Climent, M.L. Integration of uav, sentinel-1, and sentinel-2 data for mangrove plantation aboveground biomass monitoring in senegal. Remote Sens. 2019, 11, 77. [Google Scholar] [CrossRef]
- Prasad, K.A.; Gnanappazham, L.; Selvam, V.; Ramasubramanian, R.; Kar, C.S. Developing a spectral library of mangrove species of indian east coast using field spectroscopy. Geocarto Int. 2014, 30, 580–599. [Google Scholar] [CrossRef]
- Vaiphasa, C.; Skidmore, A.K.; de Boer, W.F.; Vaiphasa, T. A hyperspectral band selector for plant species discrimination. ISPRS J. Photogramm. Remote Sens. 2007, 62, 225–235. [Google Scholar] [CrossRef]
- Zhang, C.; Kovacs, J.; Liu, Y.; Flores-Verdugo, F.; Flores-de-Santiago, F. Separating mangrove species and conditions using laboratory hyperspectral data: A case study of a degraded mangrove forest of the mexican pacific. Remote Sens. 2014, 6, 11673–11688. [Google Scholar] [CrossRef]
- Zhang, C.; Kovacs, J.; Wachowiak, M.; Flores-Verdugo, F. Relationship between hyperspectral measurements and mangrove leaf nitrogen concentrations. Remote Sens. 2013, 5, 891–908. [Google Scholar] [CrossRef]
- Lagomasino, D.; Price, R.M.; Whitman, D.; Campbell, P.K.E.; Melesse, A. Estimating major ion and nutrient concentrations in mangrove estuaries in everglades national park using leaf and satellite reflectance. Remote Sens. Environ. 2014, 154, 202–218. [Google Scholar] [CrossRef]
- Campbell, J.B.; Wynne, R.H. Introduction to Remote Sensing, 5th ed.; Guilford Publications: New York, NY, USA, 2011; p. 667. [Google Scholar]
- Liu, C.-C.; Chen, Y.-H.; Wen, H.-L. Supporting the annual international black-faced spoonbill census with a low-cost unmanned aerial vehicle. Ecol. Inform. 2015, 30, 170–178. [Google Scholar] [CrossRef]
- Vo, Q.; Oppelt, N.; Leinenkugel, P.; Kuenzer, C. Remote sensing in mapping mangrove ecosystems—An object-based approach. Remote Sens. 2013, 5, 183–201. [Google Scholar] [CrossRef]
- Fan, K.-C. La mangrove de taiwan. Bois For. Des Trop. 2002, 273, 43–54. [Google Scholar]
- Wang, H.-H.; Fu, S.-W.; Teng, K.-C.; Hong, X.; Liao, H.-Y. Current status of mangrove area change and species composition in taiwan. Taiwan For. J. 2015, 41, 47–51. (In Chinese) [Google Scholar]
- Kruse, F.A.; Boardman, J.W.; Huntington, J.F. Comparison of airborne hyperspectral data and eo-1 hyperion for mineral mapping. IEEE Trans. Geosci. Remote Sens. 2003, 41, 1388–1400. [Google Scholar] [CrossRef]
- Odden, B. Comparison of a Hyperspectral Classification Method Implemented in Different Remote Sensing Software Packages. Ph.D. Thesis, University of Zurich, Zürich, Switzerland, 2008. [Google Scholar]
- Breiman, L.; Friedman, J.; Stone, C.J.; Olshen, R.A. Classification and Regression Trees; CRC Press: Boca Raton, FL, USA, 1984. [Google Scholar]
- Boardman, J.W. Automating Spectral Unmixing of Aviris Data Using Convex Geometry Concepts; NASA: Washington, DC, USA, 1993.
- Clark, R.N.; Roush, T.L. Reflectance spectroscopy: Quantitative analysis techniques for remote sensing applications. J. Geophys. Res. Solid Earth 1984, 89, 6329–6340. [Google Scholar] [CrossRef]
- Green, A.; Craig, M. Analysis of Aircraft Spectrometer Data with Logarithmic Residuals; NASA: Washington, DC, USA, 1985.
- Kruse, F.; Lefkoff, A.; Boardman, J.; Heidebrecht, K.; Shapiro, A.; Barloon, P.; Goetz, A. The spectral image processing system (SIPS)—Interactive visualization and analysis of imaging spectrometer data. Remote Sens. Environ. 1993, 44, 145–163. [Google Scholar] [CrossRef]















| Parameters/Options | Values/Settings |
|---|---|
| Sensor Type | CASI |
| Scene Center location | (23.0 N, 121.0 E) |
| Sensor Altitude | 2 km |
| Ground Elevation | 0.0 km |
| Pixel Size | 1 m |
| Flight Date | 9 September 2013 |
| Flight Time GMT | 0:44:57 |
| Atmospheric Model | Tropical |
| Aerosol Model | Rural |
| Spectral Polishing | Yes |
| Water Retrieval | Yes |
| Aerosol Retrieval | None |
| Width (number of bands) | 9 |
| Water Absorption Feature | 940 nm |
| Initial visibility | 40 km |
| Wavelength Recalibration | No |
| Aerosol Scale Height | 2.0 km |
| CO2 Mixing Ratio | 390.0 ppm |
| Use Square Slit Function | Yes |
| Use Adjacency Correction | Yes |
| Reuse MODTRAN Calculations | No |
| Modtran Resolution | 15 cm−1 |
| Modtran Multiscatter Model | Scaled DISORT |
| Number of DISORT Streams | 8 |
| Mangrove | Avicennia marina | Rhizophora stylosa | Lumnitzera racemosa |
|---|---|---|---|
| Threshold (radian) | 0.605 | 0.498 | 0.614 |
| Mangrove | Avicennia marina + Lumnitzera racemosa | Avicennia marina + Rhizophora stylosa | |
|---|---|---|---|
| Source | |||
| Map derived from the field investigation by Wang et al. [27] | 18.309 (ha) | 9.695 (ha) | |
| Map derived from the CASI hyperspectral image | 17.654 (ha) | 16.262 (ha) | |
© 2019 by the authors. Licensee MDPI, Basel, Switzerland. This article is an open access article distributed under the terms and conditions of the Creative Commons Attribution (CC BY) license (http://creativecommons.org/licenses/by/4.0/).
Share and Cite
Liu, C.-C.; Hsu, T.-W.; Wen, H.-L.; Wang, K.-H. Mapping Pure Mangrove Patches in Small Corridors and Sandbanks Using Airborne Hyperspectral Imagery. Remote Sens. 2019, 11, 592. https://doi.org/10.3390/rs11050592
Liu C-C, Hsu T-W, Wen H-L, Wang K-H. Mapping Pure Mangrove Patches in Small Corridors and Sandbanks Using Airborne Hyperspectral Imagery. Remote Sensing. 2019; 11(5):592. https://doi.org/10.3390/rs11050592
Chicago/Turabian StyleLiu, Cheng-Chien, Tsai-Wen Hsu, Hui-Lin Wen, and Kung-Hwa Wang. 2019. "Mapping Pure Mangrove Patches in Small Corridors and Sandbanks Using Airborne Hyperspectral Imagery" Remote Sensing 11, no. 5: 592. https://doi.org/10.3390/rs11050592
APA StyleLiu, C.-C., Hsu, T.-W., Wen, H.-L., & Wang, K.-H. (2019). Mapping Pure Mangrove Patches in Small Corridors and Sandbanks Using Airborne Hyperspectral Imagery. Remote Sensing, 11(5), 592. https://doi.org/10.3390/rs11050592

