Source Model and Stress Disturbance of the 2017 Jiuzhaigou Mw 6.5 Earthquake Constrained by InSAR and GPS Measurements
Abstract
1. Introduction
2. InSAR Coseismic Deformation Measurements
3. Geodetic Modeling
3.1. Data Down-Sampling
3.2. Nonlinear Inversion for Fault Geometry
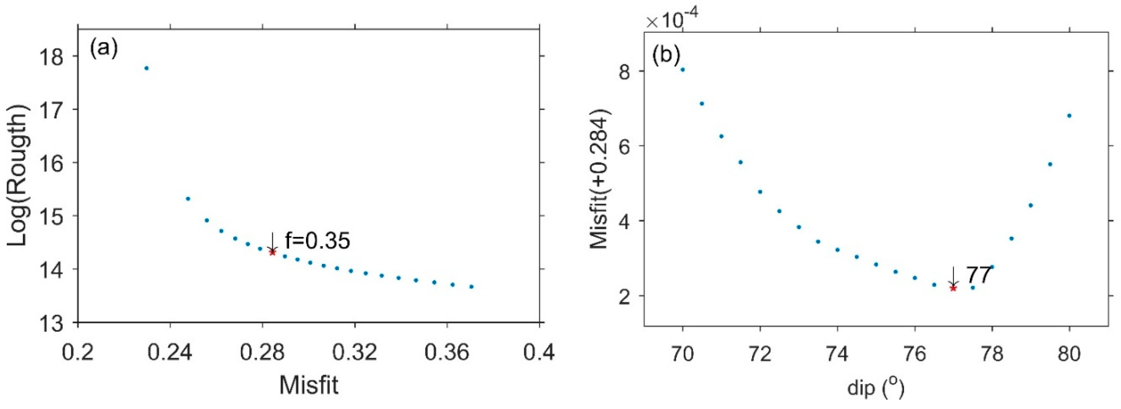
3.2.1. MPSO+MC Method
3.2.2. MCMC Method
3.3. Inversion for Fault Slip Distribution
3.4. Characters of the Slip Distribution Model
4. Relationship between Fault Slip and Aftershocks
5. Stress Disturbance Due to the Jiuzhaigou Earthquake
5.1. Coulomb Stress Change by the Mainshock
5.2. Stress Disturbance at the Surrounding Faults
5.3. Seismic Potentiality of the Near-Field Fault
6. Discussion
6.1. Comparison with Previous Slip Models
6.2. Discrepancies of Coulomb Stress Changes of Mainshock Rupture
6.3. Discrepancies of Coulomb Stress Disturbance to Nearby Faults
7. Conclusions
- (1)
- A blind faulting with a length of about 23 km, a width of about 11 km, a strike angle of about 154°, an optimized dip angle of 77°, was causative of the Jiuzhaigou earthquake.
- (2)
- The fault slip was majorly concentrated at the depth of 1–15 km, and only one slip center appeared at the depth of 5–9 km with a maximum slip of ~1.06 m. The average rake angle was about 7.84°, indicating the pure left-lateral strike-slip fracture of the mainshock.
- (3)
- The seismic moment derived from the slip distribution was about 7.85 × 1018 Nm, equivalent to a moment magnitude about Mw 6.54, which was slightly larger than the previous results and the focal mechanism solutions.
- (4)
- Most of the off-fault aftershocks with the magnitude >M 2 within one year after the mainshock happened in the stress positive stress change area, which coincided with the stress triggering theory.
- (5)
- The Coulomb stress obviously increased (>0.01 MPa) in the northwestern section of the Tazang fault, a partial segment of the Minjiang fault west of the epicenter, and the hidden North Huya fault, where the seismic potentiality was possibly enhanced.
Supplementary Materials
Author Contributions
Funding
Acknowledgments
Conflicts of Interest
References
- Wang, K.; Shen, Z.K. Location and focal mechanism of the 1933 Diexi earthquake and its associated regional tectonics. Acta Seismol. Sin. 2011, 33, 557–567. (In Chinese) [Google Scholar]
- Zhu, H.; Wen, X.Z. Stress triggering process of the 1973 to 1976 Songpan, Sichuan, Sequence of strong earthquakes. Chin. J. Geophys. 2009, 52, 994–1003. (In Chinese) [Google Scholar] [CrossRef]
- Chen, S.F.; Wilson, C.J.L.; Deng, Q.D.; Zhao, X.L. Active faulting and block movement associated with large earthquakes in the Min Shan and Longmen Mountains, northeastern Tibetan Plateau. J. Geophys. Res. Solid Earth 1994, 99, 24025–24038. [Google Scholar] [CrossRef]
- Xu, X.W.; Chen, G.H.; Wang, Q.X.; Chen, L.C.; Ren, Z.K.; Xu, C.; Wei, Z.Y.; Lu, R.Q.; Tan, X.B.; Dong, S.P.; et al. Discussion on seismogenic structure of Jiuzhaigou earthquake and its implication for current strain state in the southeastern Qinghai-Tibet Plateau. Chin. J. Geophys. 2017, 60, 4018–4026. (In Chinese) [Google Scholar] [CrossRef]
- Yang, Y.H.; Fan, J.; Hua, Q.; Gao, J.; Wang, C.L.; Zhou, L.; Zhao, T. Inversion for the focal mechanisms of the 2017 Jiuzhaigou M7.0 earthquake sequence using near-field full waveforms. Chin. J. Geophys. 2017, 60, 4098–4104. (In Chinese) [Google Scholar] [CrossRef]
- Shan, X.J.; Qu, C.Y.; Gong, W.Y.; Zhao, D.Z.; Zhang, Y.F.; Zhang, G.H.; Song, X.G.; Liu, Y.H.; Zhang, G.F. Coseismic deformation field of the Jiuzhaigou Ms7.0 earthquake from Sentinel-1A InSAR data and fault slip inversion. Chin. J. Geophys. 2017, 60, 4527–4536. (In Chinese) [Google Scholar] [CrossRef]
- Ji, L.Y.; Liu, C.J.; Xu, J.; Liu, L.; Long, F.; Zhan, Z.W. InSAR observation and inversion of the seismogenic fault for the 2017 Jiuzhaigou MS 7.0 earthquake in China. Chin. J. Geophys. 2017, 60, 4069–4082. (In Chinese) [Google Scholar] [CrossRef]
- Wang, Y.B.; Gan, W.J.; Chen, W.T.; You, X.Z.; Liang, W.P. Coseismic displacements of the 2017 Jiuzhaigou M7.0 earthquake observed by GNSS: Preliminary results. Chin. J. Geophys. 2018, 61, 161–170. (In Chinese) [Google Scholar] [CrossRef]
- Zhao, D.; Qu, C.; Shan, X.; Gong, W.; Zhang, Y.; Zhang, G. InSAR and GPS derived coseismic deformation and fault model of the 2017 Ms7.0 Jiuzhaigou earthquake in the Northeast Bayanhar block. Tectonophysics 2018, 726, 86–99. [Google Scholar] [CrossRef]
- Nie, Z.; Wang, D.-J.; Jia, Z.; Yu, P.; Li, L. Fault model of the 2017 Jiuzhaigou Mw6.5 earthquake estimated from coseismic deformation observed using Global Positioning System and Interferometric Synthetic Aperture Radar data. Earth Planets Space 2018, 70. [Google Scholar] [CrossRef]
- Sun, J.; Yue, H.; Shen, Z.; Fang, L.; Zhan, Y.; Sun, X. The 2017 Jiuzhaigou earthquake: A complicated event occurred in a young fault system. Geophys. Res. Lett. 2018, 45. [Google Scholar] [CrossRef]
- Zhang, X.; Feng, W.P.; Xu, L.S.; Li, C.L. The source-process inversion and the intensity estimation of the 2017 Ms7.0 Jiuzhaigou earthquake. Chin. J. Geophys. 2017, 60, 4105–4116. (In Chinese) [Google Scholar] [CrossRef]
- Feng, W.P.; Li, Z.H. A novel hybrid PSO/simplex algorithm for determining earthquake source parameters using InSAR data. Progress Geophys. 2010, 25, 1189–1196. (In Chinese) [Google Scholar] [CrossRef]
- Parsons, B.; Wright, T.; Rowe, P.; Andrews, J.; Jackson, J.; Walker, R.; Khatib, M.; Talebian, M.; Bergman, E.; Engdahl, E.R. The 1994 Sefidabeh (eastern Iran) earthquakes revisited: new evidence from satellite radar interferometry and carbonate dating about the growth of an active fold above a blind thrust fault. Geophys. J. Int. 2006, 164, 202–217. [Google Scholar] [CrossRef]
- Zhou, X. Markov Chain Monte Carlo method used to invert for fault slip from geodetic data. J. Geod. Geodyn. 2017, 37, 996–1002. (In Chinese) [Google Scholar] [CrossRef]
- Wang, R.; Diao, F.; Hoechner, A. SDM—A geodetic inversion code incorporating with layered crust structure and curved fault geometry. EGU Gen. Assem. 2013, 15, EGU2013–2411. [Google Scholar]
- Rosen, P.A.; Gurrola, E.; Sacco, G.F.; Zebker, H. The InSAR scientific computing environment. In Proceedings of the 2012 EUSAR. 9th European Conference on Synthetic Aperture Radar, Nürnberg, Germany, 23–26 April 2012; pp. 730–733. [Google Scholar]
- Farr, T.G.; Rosen, P.A.; Caro, E.; Crippen, R.; Duren, R.; Hensley, S.; Kobrick, M.; Paller, M.; Rodriguez, E.; Roth, L.; et al. The Shuttle Radar Topography Mission. Rev. Geophys. 2007, 45, RG2004. [Google Scholar] [CrossRef]
- Chen, C.W.; Zebker, H.A. Phase unwrapping for large SAR interferograms: Statistical segmentation and Generalized network models. IEEE Trans. Geosci. Remote Sens. 2002, 40, 1709–1719. [Google Scholar] [CrossRef]
- Yague-Martinez, N.; Prats-Iraola, P.; Rodriguez Gonzalez, F.; Brcic, R.; Shau, R.; Geudtner, D.; Eineder, M.; Bamler, R. Interferometric processing of Sentinel-1A TOPS data. IEEE Trans. Geosci. Remote Sens. 2016, 54, 2220–2234. [Google Scholar] [CrossRef]
- Rodriguez, E.; Morris, C.S.; Belz, J.E.; Chapin, E.C.; Martin, J.M.; Daffer, W.; Hensley, S. An Assessment of the SRTM Topographic Products; Technical Report JPL D-31639; Jet Propulsion Laboratory: Pasadena, CA, USA, 2005. [Google Scholar]
- Gray, A.L.; Mattar, K.E.; Sofko, G. Influence of ionospheric electron density fluctuations on satellite radar interferometry. Geophys. Res. Lett. 2000, 27, 1451–1454. [Google Scholar] [CrossRef]
- Yu, C.; Li, Z.; Penna, N.T. Interferometric synthetic aperture radar atmospheric correction using a GPS-based iterative tropospheric decomposition model. Remote Sens. Environ. 2018, 204, 109–121. [Google Scholar] [CrossRef]
- Yu, C.; Penna, N.T.; Li, Z. Generation of real-time mode high-resolution water vapor fields from GPS observations. J. Geophys. Res. Atmos. 2017, 122, 2008–2025. [Google Scholar] [CrossRef]
- Lohman, R.B.; Simons, M. Some thoughts on the use of InSAR data to constrain models of surface deformation: Noise structure and data downsampling. Geochem. Geophys. Geosyst. 2005, 6, Q01007. [Google Scholar] [CrossRef]
- Li, Z.; Elliott, J.; Feng, W.; Walters, R. The 2010 MW 6.8 Yushu (Qinghai, China) earthquake: Constraints provided by InSAR and body wave seismology. J. Geophys. Res. 2011, B10302. [Google Scholar] [CrossRef]
- Feng, W.; Li, Z.; Elliott, J.R.; Fukushima, Y.; Hoey, T.; Singleton, A.; Cook, R.; Xu, Z. The 2011 Mw 6.8 Burma earthquake: fault constraints provided by multiple SAR techniques. Geophys. J. Int. 2013, 195, 650–660. [Google Scholar] [CrossRef]
- Yabuki, T.; Matsu’ura, M. Geodetic data inversion using a Bayesian information criterion for spatial distribution of fault slip. Geophys. J. Int. 1992, 109, 363–375. [Google Scholar] [CrossRef]
- Fukuda, J.; Johnson, K.M. A Fully Bayesian Inversion for Spatial Distribution of Fault Slip with Objective Smoothing. Bull. Seismol. Soc. Am. 2008, 98, 1128–1146. [Google Scholar] [CrossRef]
- Diao, F.; Xiong, X.; Wang, R.; Zheng, Y.; Walter, T.R.; Weng, H.; Li, J. Overlapping post-seismic deformation processes: Afterslip and viscoelastic relaxation following the 2011 mw 9.0 Tohoku (Japan) earthquake. Geophys. J. Int. 2014, 196, 218–229. [Google Scholar] [CrossRef]
- Bie, L.; Hicks, S.; Garth, T.; Gonzalez, P.; Rietbrock, A. ‘Two go together’: Near-simultaneous moment release of two asperities during the 2016 Mw 6.6 Muji, China earthquake. Earth Planet. Sci. Lett. 2018, 491, 34–42. [Google Scholar] [CrossRef]
- Laske, G.; Masters, G.; Ma, Z.; Pasyanos, M. Update on CRUST1.0—A 1-degree Global Model of Earth’s Crust. Geophys. Res. Abstr. 2013, 15, EGU2013–2658. [Google Scholar]
- Wang, R.; Martín, F.L.; Roth, F. Computation of deformation induced by earthquake in a multi-layered elastic crust-FORTRAN programs EDGRN/EDCMP. Comput. Geosci. 2003, 29, 195–207. [Google Scholar] [CrossRef]
- Fang, L.H.; Wu, J.P.; Su, J.R.; Wang, M.M.; Jiang, C.; Fan, L.P.; Wang, W.L.; Wang, C.Z.; Tan, X.L. Relocation of mainshock and aftershock sequence of the Ms7.0 Sichuan Jiuzhaigou earthquake. China Sci. Bull. 2018, 63, 649–662. [Google Scholar] [CrossRef]
- Toda, S.; Stein, R.S.; Reasenberg, P.A.; Dieterich, J.H.; Yoshida, A. Stress transferred by the 1995 Mw = 6.9 kobe, Japan, shock: effect on aftershocks and future earthquake probabilities. J. Geophys. Res. Solid Earth 1998, 103, 24543–24565. [Google Scholar] [CrossRef]
- McCloskey, J.; Nalbant, S.S.; Steacy, S.; Nostro, C.; Scotti, O.; Baumont, D. Structural constrains on the spatial distribution of aftershocks. Geophys. Res. Lett. 2005, 30, 1610. [Google Scholar] [CrossRef]
- De Natale, G.; Crippa, B.; Troie, C.; Pingue, F. Abruzzo, Italy, earthquakes of April 2009: heterogeneous fault-slip models and stress transfer from accurate inversion of ENVISAT-InSAR data. Bull. Seismol. Soc. Am. 2011, 101, 2340–2354. [Google Scholar] [CrossRef]
- Ross, S.S.; Aykut, A.B.; James, H.D. Progressive failure on the North Anatolian fault since 1939 by earthquake stress triggering. Geophys. J. Int. 1997, 128, 594–604. [Google Scholar]
- Wang, R.J.; Lorenzo-Martin, F.; Roth, F. PSGRN/PSCMP-a new code for calculation co- and post-seismic deformation, geoid and gravity changes based on the viscoelastic-gravitational dislocation theory. Comput. Geosci. 2006, 32, 527–541. [Google Scholar] [CrossRef]
- Shan, B.; Zheng, Y.; Liu, C.L.; Xie, Z.J.; Kong, J. Coseismic Coulomb failure stress changes caused by the 2017 M7.0 Jiuzhaigou earthquake, and its relationship with the 2008 Wenchuan earthquake. Sci. China Earth Sci. 2017, 47, 1329–1338. [Google Scholar] [CrossRef]
- Xu, J.; Shao, Z.G.; Liu, J.; Ji, L.Y. Analysis of interaction between great earthquakes in the eastern Bayan Har block based on changes of Coulomb stress. Chin. J. Geophys. 2017, 60, 4056–4068. (In Chinese) [Google Scholar] [CrossRef]
- Xu, J.; Shao, Z.G.; Ma, H.S.; Zhang, L.P. Impact of the 2008 Wenchuan 8.0 and 2013 Lushan 7.0 earthquakes along the Longmenshan fault zone on surrounding faults. Earthquake 2014, 34, 40–49. (In Chinese) [Google Scholar]
- Wang, J.J.; Xu, C.J. Coseismic Coulomb stress changes associated with the 2017 Mw6.5 Jiuzhaigou earthquake (China) and its impacts on surrounding major faults. Chin. J. Geophys. 2017, 60, 4398–4420. (In Chinese) [Google Scholar] [CrossRef]











| Satellite | A/D | Image Time | Polarization | ΔT/day | B⊥/m | ΔH2π/m | Abbr. | |
|---|---|---|---|---|---|---|---|---|
| Pre-Quake | Post-Quake | |||||||
| Sentinel-1 | A | 20170730 A | 20170811 A | VV | 12 | −35.79 | ~433.5 | S1A |
| D | 20170725 A | 20170812 B | VV | 18 | 11.96 | ~1242.3 | S1D | |
| Radarsat-2 | A | 20170530 | 20170810 | HH | 72 | 46.48 | ~250.5 | R2A |
| Source | Top Fault Center | Length/km | Width/km | Strike/(°) | Dip/(°) | Rake/(°) | Slip/m | Depth/km | Mo/×1018 Nm | Mw | ||
|---|---|---|---|---|---|---|---|---|---|---|---|---|
| X/(°) | Y/(°) | Z/km | ||||||||||
| F1 | 103.831 ± 0.006 | 32.221 ± 0.005 | 0.53 ± 0.27 | 22.70 ± 0.65 | 11.34 ± 2.51 | 154.21 ± 2.04 | 75.23 ± 5.98 | −10.75 ± 2.79 | 0.69 ± 0.13 | - | 5.54 ± 0.71 | 6.44 ±0.03 |
| F2 | 103.816 C ± 0.001 | 33.211 C ± 0.001 | 0.534 ± 0.001 | 22.52 ± 0.01 | 11.59 ± 0.02 | 153.36 ± 0.02 | 72.21 ± 0.21 | −9.15 ± 0.02 | 0.65 ± 0.01 | - | 5.43 ± 0.10 | 6.43 ± 0.01 |
| S1 | - | - | - | 40.0 | 22.0 | 154.21 | 77.0 | −7.86 A ± 0.31 −10.37 MS ± 0.34 | 0.28 A ± 0.01 1.06 M ± 0.02 | 6.84 MS ± 0.33 | 7.85 ± 0.13 | 6.54 ± 0.01 |
| Shan et al. [6] | - | - | - | 40 | 30 | 153 | 50 | −9 A | ~1 | ~8 MS | - | 6.50 |
| Zhang et al. [12] | - | - | - | 32 | 30 | 153 | 84 | −19.5 A | ~1 | ~12 MS | 6.61 | 6.50 |
| Ji et al. [7] | - | - | - | N:26 | 26 | 341 | <16 km:90 | - | ~0.77 M | - | - | 6.46 |
| >16 km:61 | ||||||||||||
| - | - | - | S:20 | 26 | 329 | <16 km:90 | - | |||||
| >16 km:75 | ||||||||||||
| Wang et al. [8] | - | - | - | 80 | 40 | 326 | 60 | −15A | 0.4 M | - | - | 6.40 |
| Zhao et al. [9] | 35 | 25 | 155 | 80 | −10A | ~1.3 M | ~6MS | 6.75 | 6.50 | |||
| Nie et al. [10] | 40 | 30 | 155 | 81 | −11A | ~0.85 M ~0.18 A | ~11MS | 6.635 | 6.49 | |||
| Yang et al. [5] | - | - | - | - | - | 150 | 80 | −20 | - | ~22 | - | 6.36 |
| 244 | 70 | −169 | ||||||||||
| USGS | - | - | - | - | - | 246 | 57 | −173 | - | 13.5 | 7.228 | 6.5 |
| 153 | 84 | −33 | ||||||||||
| GCMT | - | - | - | - | - | 242 | 77 | −168 | - | 14.9 | 7.62 | 6.5 |
| - | - | - | - | - | 150 | 78 | −13 | |||||
| CSI | - | - | - | - | - | 326 | 62 | −15 | - | 11.0 | - | 6.5 |
| - | - | - | - | - | 64 | 77 | −151 | |||||
© 2018 by the authors. Licensee MDPI, Basel, Switzerland. This article is an open access article distributed under the terms and conditions of the Creative Commons Attribution (CC BY) license (http://creativecommons.org/licenses/by/4.0/).
Share and Cite
Hong, S.; Zhou, X.; Zhang, K.; Meng, G.; Dong, Y.; Su, X.; Zhang, L.; Li, S.; Ding, K. Source Model and Stress Disturbance of the 2017 Jiuzhaigou Mw 6.5 Earthquake Constrained by InSAR and GPS Measurements. Remote Sens. 2018, 10, 1400. https://doi.org/10.3390/rs10091400
Hong S, Zhou X, Zhang K, Meng G, Dong Y, Su X, Zhang L, Li S, Ding K. Source Model and Stress Disturbance of the 2017 Jiuzhaigou Mw 6.5 Earthquake Constrained by InSAR and GPS Measurements. Remote Sensing. 2018; 10(9):1400. https://doi.org/10.3390/rs10091400
Chicago/Turabian StyleHong, Shunying, Xin Zhou, Kui Zhang, Guojie Meng, Yanfang Dong, Xiaoning Su, Lei Zhang, Shuai Li, and Keliang Ding. 2018. "Source Model and Stress Disturbance of the 2017 Jiuzhaigou Mw 6.5 Earthquake Constrained by InSAR and GPS Measurements" Remote Sensing 10, no. 9: 1400. https://doi.org/10.3390/rs10091400
APA StyleHong, S., Zhou, X., Zhang, K., Meng, G., Dong, Y., Su, X., Zhang, L., Li, S., & Ding, K. (2018). Source Model and Stress Disturbance of the 2017 Jiuzhaigou Mw 6.5 Earthquake Constrained by InSAR and GPS Measurements. Remote Sensing, 10(9), 1400. https://doi.org/10.3390/rs10091400

