Predicting Selected Forest Stand Characteristics with Multispectral ALS Data
Abstract
1. Introduction
2. Dataset Description
3. Methods
3.1. Data Preprocessing
3.2. ALS Metrics Extraction
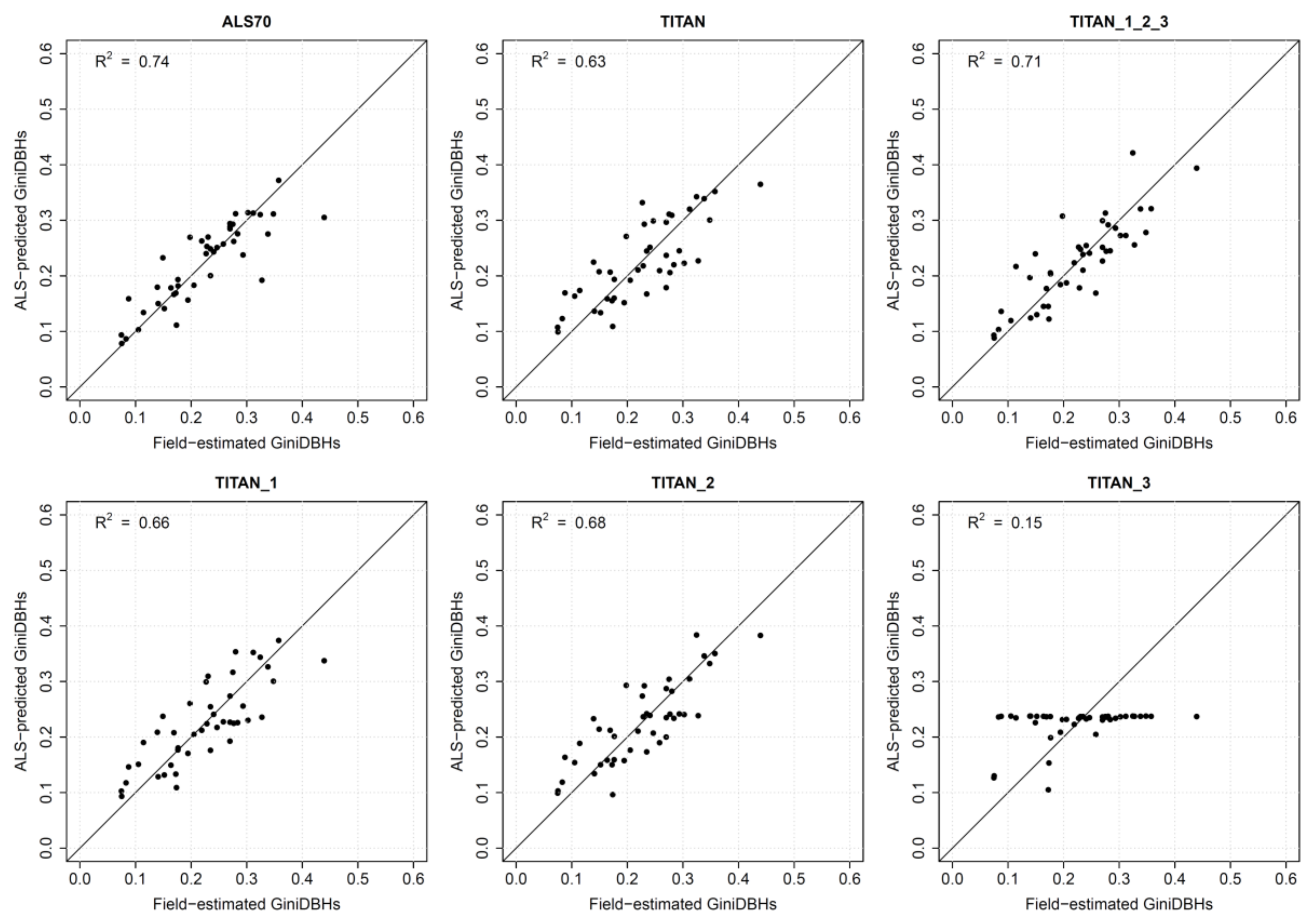
- ALS70: Leica ALS70 metrics;
- TITAN: Optech Titan metrics extracted by considering all points across all channels as a single group of data regardless of the channel;
- TITAN_1_2_3: Optech Titan metrics extracted for each of the channels separately. In this way we extracted each metric three times;
- TITAN_1: Optech Titan metrics extracted only from the first channel of the sensor (1550 nm);
- TITAN_2: Optech Titan metrics extracted only from the second channel of the sensor (1064 nm); and
- TITAN_3: Optech Titan metrics extracted only from the third channel of the sensor (532 nm).
3.3. Exploratory Analyses, Modelling, and Validation
3.3.1. The General Set-Up for the Analyses
3.3.2. Screening the Optech Titan Intensity Information
3.3.3. ALS Metrics Selection
3.3.4. Predictive Modelling
3.3.5. Model Validation
4. Results
4.1. Screening the Optech Titan Intensity Information
4.2. ALS Metrics Selection
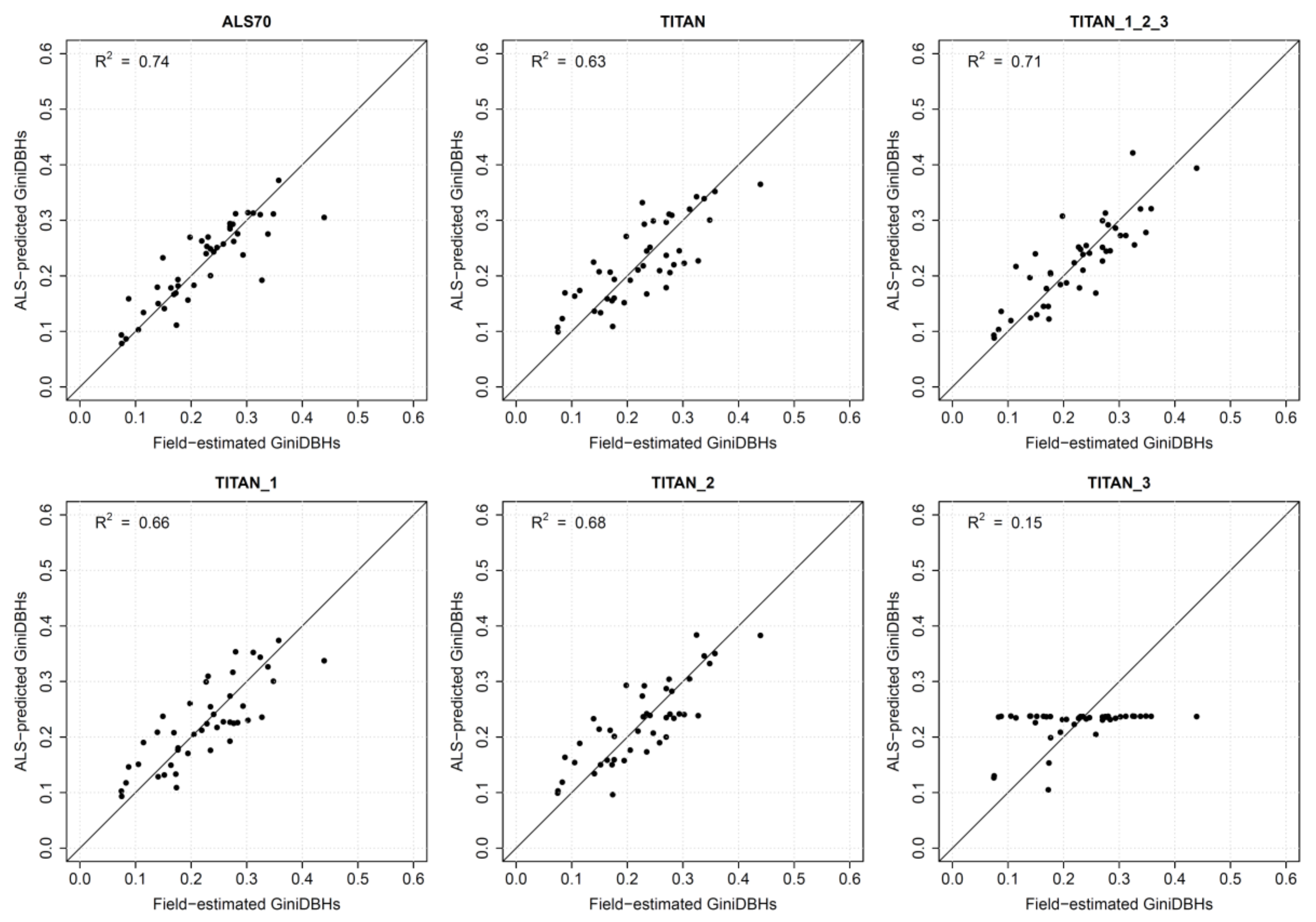
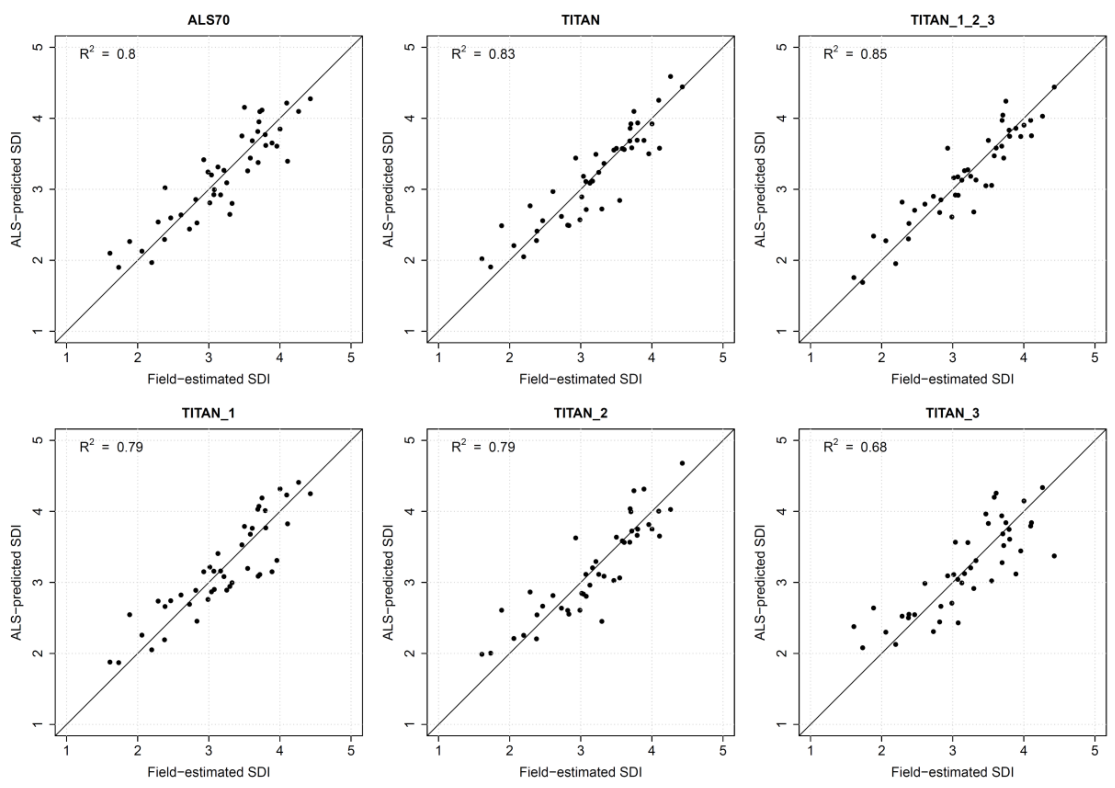
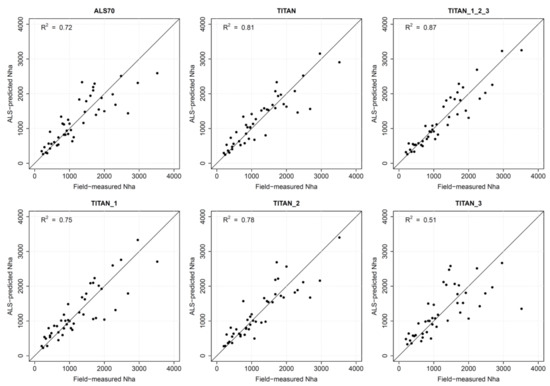
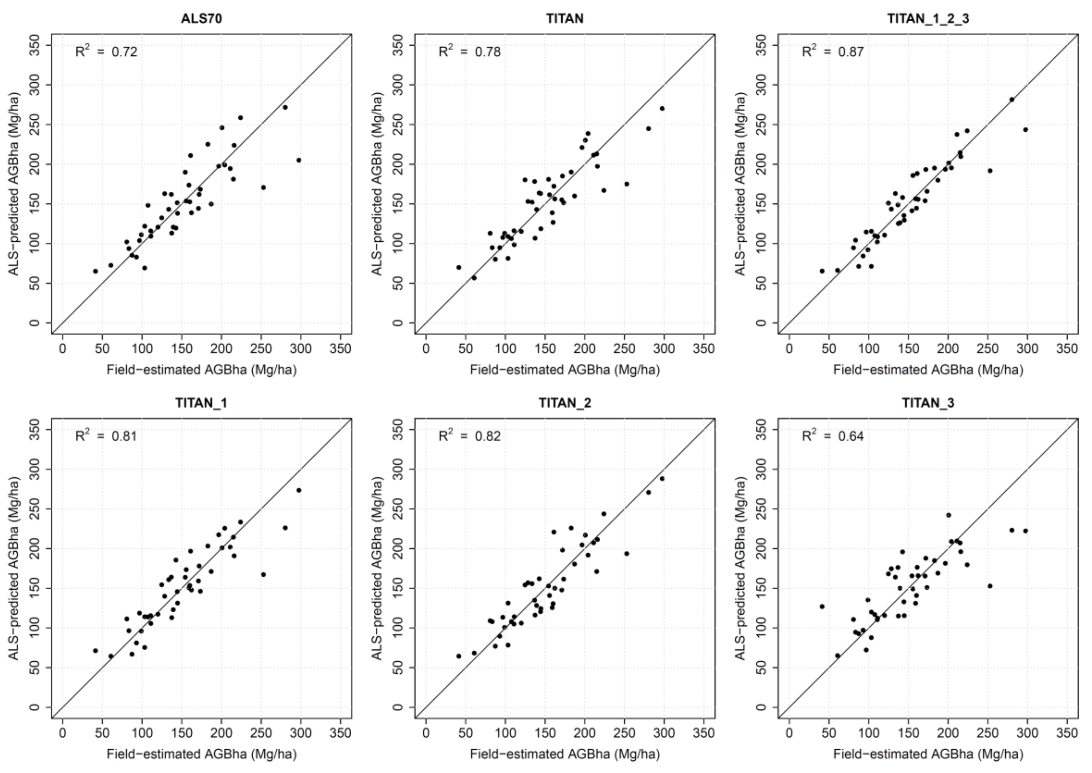
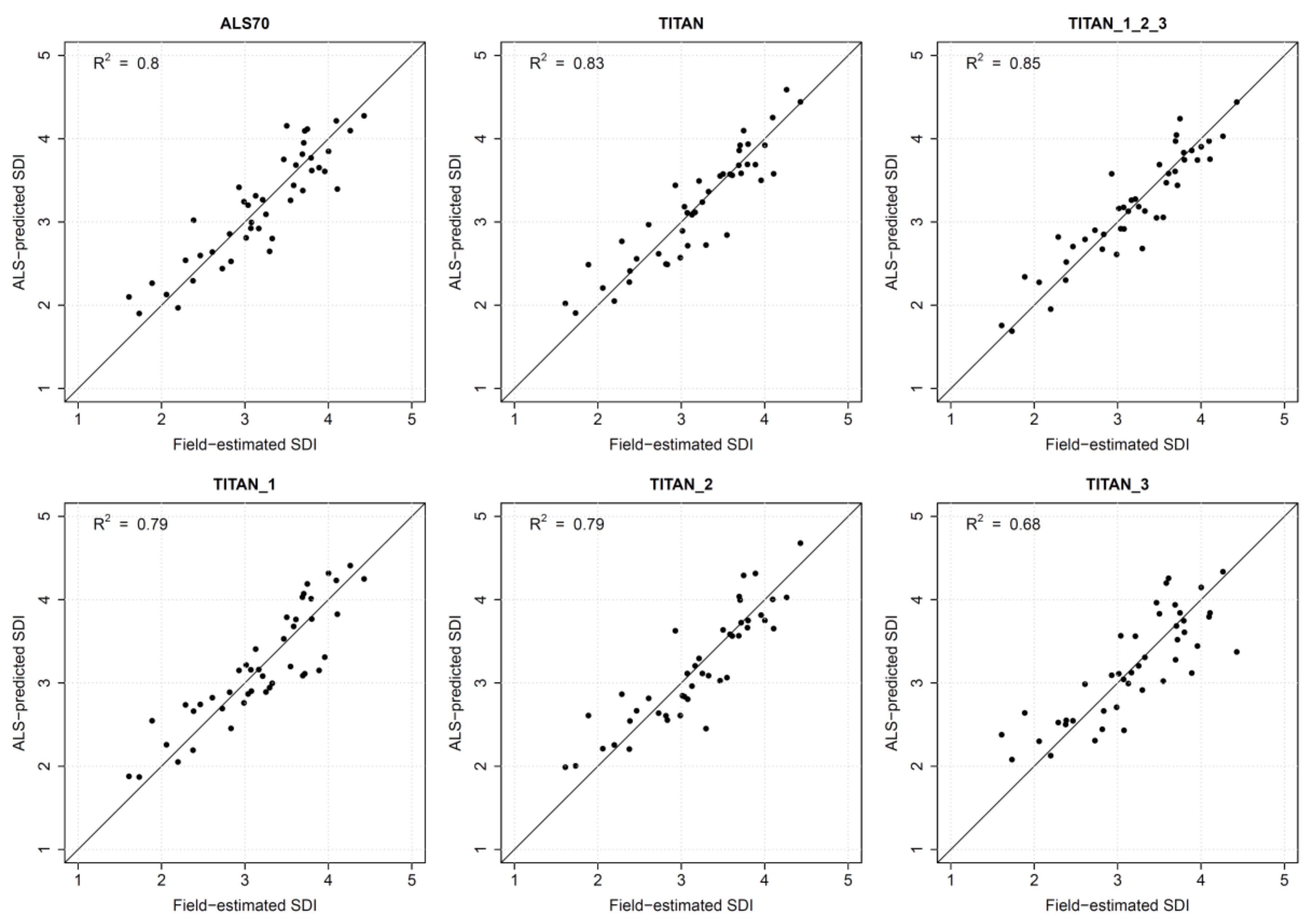
4.3. Models Validation
5. Discussion
6. Conclusions
Acknowledgments
Author Contributions
Conflicts of Interest
References
- Maltamo, M.; Naesset, E.; Vauhkonen, J. Forestry Applications of Airborne Laser Scanning; Springer: Berlin/Heidelberg, Germany, 2014; ISBN 9789401786621. [Google Scholar]
- Schwarz, B. Lidar: Mapping the world in 3D. Nat. Photonics 2010, 4, 429–430. [Google Scholar] [CrossRef]
- Nilsson, M. Estimation of tree heights and stand volume using an airborne lidar system. Remote Sens. Environ. 1996, 56, 1–7. [Google Scholar] [CrossRef]
- Næsset, E. Determination of mean tree height of forest stands using airborne laser scanner data. ISPRS J. Photogramm. Remote Sens. 1997, 52, 49–56. [Google Scholar] [CrossRef]
- Næsset, E. Estimating timber volume of forest stands using airborne laser scanner data. ISPRS J. Photogramm. Remote Sens. 1997, 61, 246–253. [Google Scholar] [CrossRef]
- Maltamo, M.; Næsset, E.; Vauhkonen, J. Forestry Applications of Airborne Laser Scanning; Maltamo, M., Næsset, E., Vauhkonen, J., Eds.; Managing Forest Ecosystems; Springer: Dordrecht, The Netherlands, 2014; Volume 27, ISBN 978-94-017-8662-1. [Google Scholar]
- Lone, K.; van Beest, F.M.; Mysterud, A.; Gobakken, T.; Milner, J.M.; Ruud, H.-P.; Loe, L.E. Improving broad scale forage mapping and habitat selection analyses with airborne laser scanning: The case of moose. Ecosphere 2014, 5, art144. [Google Scholar] [CrossRef]
- Lone, K.; Loe, L.E.; Gobakken, T.; Linnell, J.D.C.; Odden, J.; Remmen, J.; Mysterud, A. Living and dying in a multi-predator landscape of fear: Roe deer are squeezed by contrasting pattern of predation risk imposed by lynx and humans. Oikos 2014, 123, 641–651. [Google Scholar] [CrossRef]
- Loarie, S.R.; Tambling, C.J.; Asner, G.P. Lion hunting behaviour and vegetation structure in an African savanna. Anim. Behav. 2013, 85, 899–906. [Google Scholar] [CrossRef]
- Bouvier, M.; Durrieu, S.; Gosselin, F.; Herpigny, B. Use of airborne lidar data to improve plant species richness and diversity monitoring in lowland and mountain forests. PLoS ONE 2017, 12, e0184524. [Google Scholar] [CrossRef] [PubMed]
- Ørka, H.O.; Næsset, E.; Bollandsås, O.M. Classifying species of individual trees by intensity and structure features derived from airborne laser scanner data. Remote Sens. Environ. 2009, 113, 1163–1174. [Google Scholar] [CrossRef]
- Chen, B.; Shi, S.; Gong, W.; Zhang, Q.; Yang, J.; Du, L.; Sun, J.; Zhang, Z.; Song, S. Multispectral LiDAR Point Cloud Classification: A Two-Step Approach. Remote Sens. 2017, 9, 373. [Google Scholar] [CrossRef]
- Sun, J.; Shi, S.; Gong, W.; Yang, J.; Du, L.; Song, S.; Chen, B.; Zhang, Z. Evaluation of hyperspectral LiDAR for monitoring rice leaf nitrogen by comparison with multispectral LiDAR and passive spectrometer. Sci. Rep. 2017, 7, 40362. [Google Scholar] [CrossRef] [PubMed]
- Hakala, T.; Suomalainen, J.; Kaasalainen, S.; Chen, Y. Full waveform hyperspectral LiDAR for terrestrial laser scanning. Opt. Express 2012, 20, 7119. [Google Scholar] [CrossRef] [PubMed]
- Puttonen, E.; Suomalainen, J.; Hakala, T.; Räikkönen, E.; Kaartinen, H.; Kaasalainen, S.; Litkey, P. Tree species classification from fused active hyperspectral reflectance and LIDAR measurements. For. Ecol. Manag. 2010, 260, 1843–1852. [Google Scholar] [CrossRef]
- Danson, F.M.; Gaulton, R.; Armitage, R.P.; Disney, M.; Gunawan, O.; Lewis, P.; Pearson, G.; Ramirez, A.F. Developing a dual-wavelength full-waveform terrestrial laser scanner to characterize forest canopy structure. Agric. For. Meteorol. 2014, 198–199, 7–14. [Google Scholar] [CrossRef]
- Budei, B.C.; St-Onge, B.; Hopkinson, C.; Audet, F.-A. Identifying the genus or species of individual trees using a three-wavelength airborne lidar system. Remote Sens. Environ. 2017. [Google Scholar] [CrossRef]
- Karila, K.; Matikainen, L.; Puttonen, E.; Hyyppa, J. Feasibility of Multispectral Airborne Laser Scanning Data for Road Mapping. IEEE Geosci. Remote Sens. Lett. 2017, 14, 294–298. [Google Scholar] [CrossRef]
- McIver, C.A.; Metcalf, J.P.; Olsen, R.C. Spectral LiDAR analysis for terrain classification. Proc. SPIE 2017, 10191, 101910J. [Google Scholar]
- Axelsson, A.; Lindberg, E.; Olsson, H. Exploring Multispectral ALS Data for Tree Species Classification. Remote Sens. 2018, 10, 183. [Google Scholar] [CrossRef]
- Fernandez-Diaz, J.C.; Carter, W.E.; Glennie, C.; Shrestha, R.L.; Pan, Z.; Ekhtari, N.; Singhania, A.; Hauser, D.; Sartori, M. Capability assessment and performance metrics for the titan multispectral mapping lidar. Remote Sens. 2016, 8, 936. [Google Scholar] [CrossRef]
- Yu, X.; Hyyppä, J.; Litkey, P.; Kaartinen, H.; Vastaranta, M.; Holopainen, M. Single-Sensor Solution to Tree Species Classification Using Multispectral Airborne Laser Scanning. Remote Sens. 2017, 9, 108. [Google Scholar] [CrossRef]
- Asner, G.P.; Mascaro, J. Mapping tropical forest carbon: Calibrating plot estimates to a simple LiDAR metric. Remote Sens. Environ. 2014, 140, 614–624. [Google Scholar] [CrossRef]
- Mauya, E.W.; Ene, L.T.; Bollandsås, O.M.; Gobakken, T.; Næsset, E.; Malimbwi, R.E.; Zahabu, E. Modelling aboveground forest biomass using airborne laser scanner data in the miombo woodlands of Tanzania. Carbon Balance Manag. 2015, 10, 28. [Google Scholar] [CrossRef] [PubMed]
- Valbuena, R.; Eerikäinen, K.; Packalen, P.; Maltamo, M. Gini coefficient predictions from airborne lidar remote sensing display the effect of management intensity on forest structure. Ecol. Indic. 2016, 60, 574–585. [Google Scholar] [CrossRef]
- Marklund, L.G. Biomass Functions for Pine, Spruce and Birch in Sweden; FAO: Rome, Italy, 1988. [Google Scholar]
- Korpela, I.; Ørka, H.O.; Hyyppä, J.; Heikkinen, V.; Tokola, T. Range and AGC normalization in airborne discrete-return LiDAR intensity data for forest canopies. ISPRS J. Photogramm. Remote Sens. 2010, 65, 369–379. [Google Scholar] [CrossRef]
- Gizachew, B.; Solberg, S.; Næsset, E.; Gobakken, T.; Bollandsås, O.M.; Breidenbach, J.; Zahabu, E.; Mauya, E.W. Mapping and estimating the total living biomass and carbon in low-biomass woodlands using Landsat 8 CDR data. Carbon Balance Manag. 2016, 11, 13. [Google Scholar] [CrossRef] [PubMed]
- Zuur, A.F.; Ieno, E.N.; Walker, N.; Saveliev, A.A.; Smith, G.M. Mixed Effects Models and Extensions in Ecology with R; Statistics for Biology and Health; Springer: New York, NY, USA, 2009; ISBN 978-0-387-87457-9. [Google Scholar]
- Lumley, T. Package “leaps”: Regression Subset Selection 2017. Available online: https://cran.r-project.org/web/packages/leaps/leaps.pdf (accessed on 9 April 2018).
- Pinheiro, J.; Bates, D.; DebRoy, S.; Sarkar, D.; Heisterkamp, S.; Van Willigen, B. nlme: Linear and Nonlinear Mixed Effects Models. 2017. Available online: https://cran.r-project.org/web/packages/nlme/nlme.pdf (accessed on 9 April 2018).
- Snowdon, P. A ratio estimator for bias correction in logarithmic regressions. Can. J. For. Res. 1991, 21, 720–724. [Google Scholar] [CrossRef]
- Roberts, D.R.; Bahn, V.; Ciuti, S.; Boyce, M.S.; Elith, J.; Guillera-Arroita, G.; Hauenstein, S.; Lahoz-Monfort, J.J.; Schröder, B.; Thuiller, W.; et al. Cross-validation strategies for data with temporal, spatial, hierarchical, or phylogenetic structure. Ecography 2017, 40, 913–929. [Google Scholar] [CrossRef]
- Hall, R.J.; Skakun, R.S.; Arsenault, E.J.; Case, B.S. Modeling forest stand structure attributes using Landsat ETM+ data: Application to mapping of aboveground biomass and stand volume. For. Ecol. Manag. 2006, 225, 378–390. [Google Scholar] [CrossRef]
- Gerylo, G.R.; Hall, R.J.; Franklin, S.E.; Smith, L. Empirical relations between Landsat TM spectral response and forest stands near Fort Simpson, Northwest Territories, Canada. Can. J. Remote Sens. 2002, 28, 68–79. [Google Scholar] [CrossRef]







| Minimum | Mean | Maximum | |
|---|---|---|---|
| AGBha (Mg/ha) | 41.3 | 154.2 | 298.8 |
| GiniDBHs | 0.1 | 0.2 | 0.4 |
| SDI | 1.6 | 3.3 | 4.3 |
| Nha | 200.0 | 1344.0 | 3000.0 |
| Parameter | Specification |
|---|---|
| Channel 1 | 1550 nm (IR) |
| Channel 2 | 1064 nm (NIR) |
| Channel 3 | 532 nm (visible) |
| Beam divergence | Channel 1 and 2: ≈0.35 mrad (1/e) |
| Channel 3: ≈0.7 mrad (1/e) | |
| Effective PRF | Programmable; 50–300 kHz (per channel); 900 kHz total |
| Scan angle (FOV) | Programmable; 0–60° maximum |
| Effective scan frequency | Programmable; 0–210 Hz |
| Range capture | Up to 4 range measurements for each pulse, including last |
| Intensity capture | Intensity measurement for each pulse |
| 12 bit dynamic measurement and data range |
| Metric | Description |
|---|---|
| zmax | Maximum Z |
| zmean | Mean Z |
| zsd | Standard deviation of Z distribution |
| zskew | Skewness of Z distribution |
| zkurt | Kurtosis of Z distribution |
| zentropy | Entropy of Z distribution |
| zqP | Ph percentile of height distribution, with P from 5 to 95 at steps of 5 |
| zpcumP | Cumulative percentage of points in the Pth layer, with P from 5 to 95 at steps of 5 |
| itot | Sum of intensities for each return |
| imax | Maximum intensity |
| imean | Mean intensity |
| isd | Standard deviation of intensity |
| iskew | Skewness of intensity distribution |
| ikurt | Kurtosis of intensity distribution |
| ipcumzqP | Percentage of intensity returned below the Pth percentile of Z, with P from 5 to 95 |
| pRth | Percentage of Rth return, with R from 1 to 4 |
| Response Variable | Model Name | Metrics Selected | ||||
|---|---|---|---|---|---|---|
| AGBha | ALS70 | zpcum2 | ikurt | p4th | ||
| TITAN | zmean | zentropy | itot | p2th | ||
| TITAN_1_2_3 | zq50_1 | p1th_1 | zpcum8_2 | zpcum9_2 | p1th_3 | |
| TITAN_1 | zq50 | zpcum9 | imax | p2th | ||
| TITAN_2 | zq40 | zpcum8 | zpcum9 | p1th | ||
| TITAN_3 | zmax | imean | ||||
| GiniDBHs | ALS70 | zentropy | zq40 | zq55 | zpcum9 | |
| TITAN | zmax | zentropy | zq60 | zpcum9 | ||
| TITAN_1_2_3 | zentropy_1 | zq55_1 | zpcum9_1 | p4th_1 | zq85_2 | |
| TITAN_1 | zmax | zentropy | zq55 | zpcum9 | ||
| TITAN_2 | zmean | zentropy | zq45 | zpcum9 | ||
| TITAN_3 | zkurt | |||||
| SDI | ALS70 | zq90 | zpcum1 | zpcum9 | ikurt | |
| TITAN | zmax | zsd | itot | p2th | ||
| TITAN_1_2_3 | itot_1 | imax_1 | zmax_2 | zsd_2 | p2th_2 | |
| TITAN_1 | zmean | zq45 | itot | iskew | ||
| TITAN_2 | zmax | zsd | itot | p2th | ||
| TITAN_3 | zmax | zentropy | itot | |||
| Nha | ALS70 | zq90 | zpcum1 | zpcum9 | ikurt | |
| TITAN | zmax | zsd | itot | p2th | ||
| TITAN_1_2_3 | zsd_1 | zq50_1 | itot_1 | ipcumzq10_2 | NDVI_nir_mir | |
| TITAN_1 | zq80 | itot | iskew | |||
| TITAN_2 | zmax | zsd | itot | p2th | ||
| TITAN_3 | zmax | zentropy | itot | |||
| Response Variable | Model Name | mPRESS | MAD | MD |
|---|---|---|---|---|
| AGBha | ALS70 | 21.4 | 15.8 | 1.2 |
| TITAN | 19.3 | 14.8 | 1.2 | |
| TITAN_1_2_3 | 14.7 | 11.4 | 0.0 | |
| TITAN_1 | 23.9 | 16.2 | 4.5 | |
| TITAN_2 | 20.3 | 15.8 | 0.1 | |
| TITAN_3 | 23.5 | 17.1 | 0.8 | |
| GiniDBHs | ALS70 | 25.5 | 17.8 | 2.1 |
| TITAN | 32.5 | 25.3 | 0.7 | |
| TITAN_1_2_3 | 22.5 | 17.5 | 0.6 | |
| TITAN_1 | 27.3 | 22.4 | 0.3 | |
| TITAN_2 | 24.3 | 19.5 | 0.0 | |
| TITAN_3 | 39.9 | 35.1 | 6.7 | |
| SDI | ALS70 | 12.3 | 9.6 | 1.3 |
| TITAN | 12.8 | 9.3 | 0.5 | |
| TITAN_1_2_3 | 18.7 | 12.2 | 4.0 | |
| TITAN_1 | 15.8 | 12.1 | 1.1 | |
| TITAN_2 | 13.0 | 10.3 | 0.5 | |
| TITAN_3 | 16.2 | 13.2 | 1.2 | |
| Nha | ALS70 | 42.0 | 30.8 | 3.0 |
| TITAN | 35.8 | 26.5 | 3.1 | |
| TITAN_1_2_3 | 35.5 | 27.1 | 3.3 | |
| TITAN_1 | 56.5 | 34.3 | 4.3 | |
| TITAN_2 | 35.5 | 25.6 | 1.7 | |
| TITAN_3 | 54.4 | 39.4 | 3.1 |
© 2018 by the authors. Licensee MDPI, Basel, Switzerland. This article is an open access article distributed under the terms and conditions of the Creative Commons Attribution (CC BY) license (http://creativecommons.org/licenses/by/4.0/).
Share and Cite
Dalponte, M.; Ene, L.T.; Gobakken, T.; Næsset, E.; Gianelle, D. Predicting Selected Forest Stand Characteristics with Multispectral ALS Data. Remote Sens. 2018, 10, 586. https://doi.org/10.3390/rs10040586
Dalponte M, Ene LT, Gobakken T, Næsset E, Gianelle D. Predicting Selected Forest Stand Characteristics with Multispectral ALS Data. Remote Sensing. 2018; 10(4):586. https://doi.org/10.3390/rs10040586
Chicago/Turabian StyleDalponte, Michele, Liviu Theodor Ene, Terje Gobakken, Erik Næsset, and Damiano Gianelle. 2018. "Predicting Selected Forest Stand Characteristics with Multispectral ALS Data" Remote Sensing 10, no. 4: 586. https://doi.org/10.3390/rs10040586
APA StyleDalponte, M., Ene, L. T., Gobakken, T., Næsset, E., & Gianelle, D. (2018). Predicting Selected Forest Stand Characteristics with Multispectral ALS Data. Remote Sensing, 10(4), 586. https://doi.org/10.3390/rs10040586

