Assessing the Impact of Spectral Resolution on Classification of Lowland Native Grassland Communities Based on Field Spectroscopy in Tasmania, Australia
Abstract
:1. Introduction
1.1. Lowland Native Grasslands
1.2. Hyperspectral Analysis of Grasslands
1.3. Aims and Objectives
2. Materials and Methods
2.1. Study Site
2.2. Class Descriptions
2.3. Data Collection
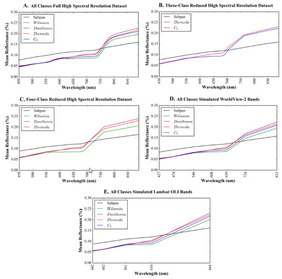
2.4. Datasets
2.5. Classification of Spectra
3. Results
3.1. RF Training Accuracies
3.2. RF Variable Importance Measures
3.3. Final RF Classification Accuracies
3.4. ANOVA Results
4. Discussion
4.1. Training and Classification Accuracies
4.2. Variable Importance Measures
4.3. ANOVA and Tukey’s Post-hoc Comparisons
4.4. Sampling Considerations
4.5. Spatial Resolutions
5. Conclusions
Acknowledgments
Author Contributions
Conflicts of Interest
Appendix A. Confusion Matrices
| Saltpan | C3 | Themeda | Overall | |
|---|---|---|---|---|
| Saltpan | 92.7 | 3.0 | 3.3 | 93.6 ± 2.7 |
| C3 | 5.9 | 193.5 | 26.6 | 85.6 ± 1.8 |
| Themeda | 2.1 | 20.6 | 140.2 | 86.0 ± 2.1 |
| Saltpan | C3 | Themeda | Overall | |
|---|---|---|---|---|
| Saltpan | 91.6 | 2.7 | 4.6 | 92.6 ± 2.5 |
| C3 | 5.8 | 193.3 | 27.0 | 85.5 ± 1.8 |
| Themeda | 1.8 | 22.5 | 138.8 | 85.1 ± 2.9 |
| Saltpan | C3 | Themeda | Overall | |
|---|---|---|---|---|
| Saltpan | 92.6 | 2.5 | 3.9 | 93.5 ± 2.7 |
| C3 | 6.0 | 192.9 | 27.1 | 85.3 ± 2.2 |
| Themeda | 1.6 | 23.1 | 138.3 | 84.8 ± 2.6 |
| Saltpan | C3 | Themeda | Overall | |
|---|---|---|---|---|
| Saltpan | 92.5 | 2.8 | 3.7 | 93.4 ± 2.8 |
| C3 | 5.6 | 193.5 | 27.0 | 85.6 ± 1.9 |
| Themeda | 1.9 | 22.0 | 139.1 | 85.4 ± 2.5 |
| Saltpan | Wilsonia | Danthonia | Themeda | Overall | |
|---|---|---|---|---|---|
| Saltpan | 92.9 | 1.8 | 0.6 | 3.7 | 93.8 ± 2.6 |
| Wilsonia | 4.9 | 96.0 | 13.2 | 2.9 | 82.0 ± 4.2 |
| Danthonia | 1.4 | 15.8 | 65.2 | 26.6 | 59.8 ± 5.1 |
| Themeda | 2.1 | 1.3 | 16.5 | 143.1 | 87.8 ± 2.6 |
| Saltpan | Wilsonia | Danthonia | Themeda | Overall | |
|---|---|---|---|---|---|
| Saltpan | 91.8 | 1 | 0.7 | 5.5 | 92.7 ± 2.9 |
| Wilsonia | 5.6 | 93.3 | 13.9 | 4.1 | 79.8 ± 4.0 |
| Danthonia | 0.4 | 16.9 | 62.2 | 29.4 | 57.1 ± 4.3 |
| Themeda | 1 | 0.7 | 15.3 | 146 | 89.6 ± 2.4 |
| Saltpan | Wilsonia | Danthonia | Themeda | Overall | |
|---|---|---|---|---|---|
| Saltpan | 92.8 | 1.2 | 0.9 | 4.1 | 93.8 ± 2.7 |
| Wilsonia | 5.5 | 93.6 | 15.7 | 2.2 | 80.0 ± 4.4 |
| Danthonia | 1.4 | 17.5 | 61.8 | 28.2 | 56.7 ± 4.0 |
| Themeda | 1.5 | 1.7 | 18.7 | 141.0 | 86.5 ± 2.3 |
| Saltpan | Wilsonia | Danthonia | Themeda | Overall | |
|---|---|---|---|---|---|
| Saltpan | 92.6 | 1.6 | 0.7 | 4.0 | 93.6 ± 3.0 |
| Wilsonia | 5.0 | 94.1 | 14.8 | 3.0 | 80.4 ± 4.6 |
| Danthonia | 1.4 | 17.1 | 61.9 | 28.5 | 56.8 ± 4.1 |
| Themeda | 1.8 | 1.3 | 17.3 | 142.6 | 87.5 ±2.4 |
References
- Beeton, R. Advice to the Minister for the Environment, Heritage and the Arts from the Threatened Species Scientific Committee (the Committee) on an Amendment to the List of Threatened Ecological Communities under the Environment Protection and Biodiversity Conservation; Department of Environment, Water Heritage and Arts: Hobart, Australia, 2006.
- Harris, S.; Kitchener, A. From Forest to Fjaeldmark: Descriptions of Tasmania’s Vegetation; Department of Primary Industry, Parks Water and Environment: Hobart, Australia, 2005. [Google Scholar]
- Mokany, K.; Friend, D.; Kirkpatrick, J.; Gilfedder, L. Managing Tasmanian Native Pastures: A Technical Guide for Graziers; Tasmanian Institute of Agricultural Research: Hobart, Australia, 2006. [Google Scholar]
- Department of the Environment, Water, Heritage and the Arts. Lowland Native Grasslands of Tasmania—A Nationally Threatened Ecological Community; Australian Government Department of the Environment, Water, Heritage and the Arts: Canberra, Australia, 2010.
- Lowland Grassland Review Expert Group. A Review of the Conservation Status of Lowland Themeda and Poa Grassland Native Vegetation Communities: A Report to the Lowland Grassland Review Steering Committee from the Lowland Grassland Review Expert Group; Lowland Grassland Review Expert Group: Hobart, Australia, 2008. [Google Scholar]
- Gilfedder, L. Threatened Species from Tasmania’s Remnant Grasslands. Tasforests 1990, 2, 129–132. [Google Scholar]
- Department of Primary Industries, Parks, Water and Environment (DPIPWE). Draft Strategic Assessment for the Water Access Program Midlands Water Scheme, Tasmania Strategic Impact Assessment Report; Department of Primary Industries, Parks, Water and Environment: Hobart, Australia, 2010; ISBN 9780724665631.
- Department of Primary Industries, Parks, Water and Environment (DPIPWE). Strategic Assessment for the Water Access Program Midlands Water Scheme, Tasmania- Supplementary Report; Department of Primary Industries, Parks, Water and Environment: Hobart, Australia, 2010; ISBN 9780724665693.
- Fensham, R.; Kirkpatrick, J. The conservation of original vegetation remnants in the midlands, tasmania. Pap. Proc. R. Soc. Tasman. 1989, 123, 229–246. [Google Scholar]
- Department of Primary Industries, Parks, Water and Environment (DPIPWE). TASVEG 3.0-Metadata Statement; Department of Primary Industries, Parks, Water and Environment: Hobart, Tasmania, 2014.
- Melville, B.; Lucieer, A.; Aryal, J. Object-based random forest classification of Landsat ETM+ and WorldView-2 satellite imagery for mapping lowland native grassland communities in Tasmania, Australia. Int. J. Appl. Earth Obs. Geoinform. 2018, 66, 46–55. [Google Scholar] [CrossRef]
- Mutanga, O.; Skidmore, A.K. Narrow band vegetation indices overcome the saturation problem in biomass estimation. Int. J. Remote Sens. 2004, 25, 3999–4014. [Google Scholar] [CrossRef]
- Tucker, C.J. Use of Near Infrared/Red Radiance Ratios for Estimating Vegetation Biomass and Physiological Status; NASA Goddard Space Flight Centre: Greenbelt, MD, USA, 1977. [Google Scholar]
- Cho, M.A.; Skidmore, A.K. Hyperspectral predictors for monitoring biomass production in Mediterranean mountain grasslands: Majella National Park, Italy. Int. J. Remote Sens. 2009, 30, 499–515. [Google Scholar] [CrossRef]
- Gianelle, D.; Guastella, F. Nadir and off-nadir hyperspectral field data: Strengths and limitations in estimating grassland biophysical characteristics. Int. J. Remote Sens. 2007, 28, 1547–1560. [Google Scholar] [CrossRef]
- Roth, K.L.; Roberts, D.A.; Dennison, P.E.; Peterson, S.H.; Alonzo, M. The impact of spatial resolution on the classification of plant species and functional types within imaging spectrometer data. Remote Sens. Environ. 2015, 171, 45–57. [Google Scholar] [CrossRef]
- Rahman, A.F.; Gamon, J.A.; Sims, D.A.; Schmidts, M. Optimum pixel size for hyperspectral studies of ecosystem function in southern California chaparral and grassland. Remote Sens. Environ. 2003, 84, 192–207. [Google Scholar] [CrossRef]
- Zacharek, A.; Gilfedder, L.; Harris, S. The flora of Township Lagoon Nature Reserve and its management, Tunbridge, Tasmania. Pap. Proc. R. Soc. Tasman. 1997, 131, 57–66. [Google Scholar]
- Still, C.J.; Berry, J.A.; Collatz, G.J.; DeFries, R.S. Global distribution of C3 and C4 vegetation: Carbon cycle implications. Global Biogeochem. Cycles 2003, 17, 6-1–6-14. [Google Scholar] [CrossRef]
- Department of Primary Industries, Parks, Water and Environment (DPIPWE). Lowland Native Grasslands of Tasmania; Department of Primary Industries, Parks, Water and Environment: Hobart, Tasmania, 2010.
- Adjorlolo, C.; Mutanga, O.; Cho, M.A.; Ismail, R. Spectral resampling based on user-defined inter-band correlation filter: C3 and C4 grass species classification. Int. J. Appl. Earth Obs. Geoinform. 2012, 21, 535–544. [Google Scholar] [CrossRef]
- Darvishzadeh, R.; Skidmore, A.; Schlerf, M.; Atzberger, C.; Corsi, F.; Cho, M. LAI and chlorophyll estimation for a heterogeneous grassland using hyperspectral measurements. ISPRS J. Photogramm. Remote Sens. 2008, 63, 409–426. [Google Scholar] [CrossRef]
- Clevers, J.G.P.W.; van der Heijden, G.W.A.M.; Verzakov, S.; Schaepman, M.E. Estimating grassland biomass using SVM band shaving of hyperspectral data. Photogramm. Eng. Remote Sens. 2007, 73, 1141–1148. [Google Scholar] [CrossRef]
- Irisarri, J.G.N.; Oesterheld, M.; Verón, S.R.; Paruelo, J.M. Grass species differentiation through canopy hyperspectral reflectance. Int. J. Remote Sens. 2009, 30, 5959–5975. [Google Scholar] [CrossRef]
- Schmidt, K.S.; Skidmore, A.K. Spectral discrimination of vegetation types in a coastal wetland. Remote Sens. Environ. 2003, 85, 92–108. [Google Scholar] [CrossRef]
- Pal, M.; Foody, G.M. Feature selection for classification of hyperspectral data by SVM. IEEE Trans. Geosci. Remote Sens. 2010, 48, 2297–2307. [Google Scholar] [CrossRef]
- Diaz-Uriarte, R. GeneSrF and varselRF: A web-based tool and R package for gene selection and classification using random forest. BMC Bioinform. 2007, 8, 328. [Google Scholar] [CrossRef] [PubMed]
- Breiman, L. Random Forests. Mach. Learn. 2001, 45, 5–32. [Google Scholar] [CrossRef]
- Archer, K.; Kimes, R. Empirical characterization of random forest variable importance measures. Comput. Stat. Data Anal. 2008, 52, 2249–2260. [Google Scholar] [CrossRef]
- Cundill, S.L.; der van Werff, H.M.A.; der van Meijde, M. Adjusting spectral indices for spectral response function differences of very high spatial resolution sensors simulated from field spectra. Sensors 2015, 15, 6221–6240. [Google Scholar] [CrossRef] [PubMed]
- United States Geological Survey What Are the Band Designations of the Landsat Sattelites? Available online: https://landsat.usgs.gov/what-are-band-designations-landsat-satellites (accessed on 22 September 2016).
- Satellite Imaging Corporation WorldView-2 Satellite Sensor (0.46 m). Available online: https://www.satimagingcorp.com/satellite-sensors/worldview-2/ (accessed on 22 September 2016).
- Kohavi, R. A Study of Cross-Validation and Bootstrap for Accuracy Estimation and Model Selection 2 Methods for Accuracy Estimation. Proc. IJCAI 1995, 1137–1145. [Google Scholar] [CrossRef]
- Blum, A.; Kalai, A.; Langford, J. Beating the Hold-out: Bounds for K-fold and Progressive Cross-Validation. In Proceedings of the Twelfth Annual Conference on Computational Learning Theory, Santa Cruz, CA, USA, 7–9 July 1999; pp. 203–208. [Google Scholar] [CrossRef]
- Anguita, D.; Ghio, A.; Ridella, S.; Sterpi, D. K—Fold Cross Validation for Error Rate Estimate in Support Vector Machines. Int. Conf. Data Min. 2009, 2, 291–297. [Google Scholar]
- Pedregosa, F.; Varoquaux, G.; Gramfort, A.; Michel, V.; Thirion, B.; Grisel, O.; Blondel, M.; Prettenhofer, P.; Wiss, R.; Dubourg, V.; et al. Scikit-Learn: Machine Learning in Python. J. Mach. Learn. Res. 2011, 12, 2825–2830. [Google Scholar]
- Naidoo, L.; Cho, M.A.; Mathieu, R.; Asner, G. Classification of savanna tree species, in the Greater Kruger National Park region, by integrating hyperspectral and LiDAR data in a Random Forest data mining environment. ISPRS J. Photogramm. Remote Sens. 2012, 69, 167–179. [Google Scholar] [CrossRef]
- Zur, Y.; Gitelson, A.; Chivkunova, O.; Merzlyak, M. The spectral contribution of carotenoids to light absorption and reflectance in green leaves. In Proceedings of the 2nd International Conference Geospatial Information in Agriculture and Forestry, Buena Vista, FL, USA, 10–12 January 2000; pp. 1–7. [Google Scholar]
- Sims, D.A.; Gamon, J.A. Relationships between leaf pigment content and spectral reflectance across a wide range of species, leaf structures and developmental stages. Remote Sens. Environ. 2002, 81, 337–354. [Google Scholar] [CrossRef]
- Gitelson, A.; Merzlyak, M. Spectral Reflectance Changes Associated with Autumn Senescence of Aesculus hippocastanum L. and Acer Platanoides L. Leaves. Spectral Features and Relation to Chlorophyll Estimation. J. Plant Physiol. 1994, 143, 286–292. [Google Scholar]




| Class | Training Points | Validation Points | Total |
|---|---|---|---|
| Saltpan | 193 | 100 | 293 |
| Wilsonia | 197 | 102 | 299 |
| Danthonia | 213 | 109 | 322 |
| Themeda | 316 | 163 | 479 |
| C3 | 410 | 211 | 621 |
| Class | Full HSR | Reduced HSR | Landsat OLI | WorldView-2 |
|---|---|---|---|---|
| Saltpan | 93.6 ± 0.9 | 93.3 ± 1.1 | 93.3 ± 1.0 | 93.9 ± 1.0 |
| Themeda | 86.3 ± 0.9 | 85.4 ± 1.2 | 85.2 ± 1.4 | 85.7 ± 1.1 |
| C3 | 85.2 ± 1.1 | 85.2 ± 1.1 | 85.2 ± 1.0 | 85.1 ± 1.3 |
| Overall | 87.3 ± 0.6 | 86.9 ± 0.7 | 86.9 ± 0.8 | 87.1 ± 0.8 |
| Class | Full HSR | Reduced HSR | Landsat OLI | WorldView-2 |
|---|---|---|---|---|
| Saltpan | 93.8 ± 1.1 | 92.6 ± 1.3 | 93.8 ± 0.9 | 94.1 ± 0.9 |
| Wilsonia | 80.9 ± 2.1 | 77.7 ± 2.2 | 78.4 ± 2.3 | 79.1 ± 1.9 |
| Danthonia | 59.1 ±2.4 | 56.1 ± 2.6 | 56.9 ± 2.4 | 56.9 ± 2.7 |
| Themeda | 88.2 ± 1.1 | 88.8 ± 1.5 | 87.0 ± 1.2 | 87.9 ± 1.0 |
| Overall | 81.1 ± 0.8 | 79.6 ± 0.8 | 79.6 ± 0.8 | 80.1 ± 0.9 |
| Class | Full HSR | Reduced HSR | Landsat OLI | WorldView-2 |
|---|---|---|---|---|
| Saltpan | 93.6 ± 2.7 | 92.6 ± 2.5 | 93.5 ± 2.7 | 93.4 ± 2.8 |
| Themeda | 86.0 ± 2.1 | 85.1 ± 2.9 | 84.8 ± 2.6 | 85.4 ± 2.5 |
| C3 | 85.6 ± 1.8 | 85.5 ± 1.8 | 85.3 ± 2.2 | 85.6 ± 1.9 |
| Overall | 87.4 ± 1.2 | 86.8 ± 1.1 | 86.8 ± 1.1 | 87.1 ± 1.4 |
| Class | Full HSR | Reduced HSR | Landsat OLI | WorldView-2 |
|---|---|---|---|---|
| Saltpan | 93.8 ± 2.6 | 92.7 ± 2.9 | 93.8 ± 2.7 | 93.6 ± 3.0 |
| Wilsonia | 82.0 ± 4.2 | 79.8 ± 4.0 | 80.0 ± 4.4 | 80.4 ± 4.6 |
| Danthonia | 59.8 ± 5.1 | 57.1 ± 4.3 | 56.7 ± 4.0 | 56.8 ± 4.1 |
| Themeda | 87.8 ± 2.6 | 89.6 ± 2.4 | 86.5 ±2.3 | 87.5 ± 4.1 |
| Overall | 81.4 ± 1.9 | 80.1 ± 1.9 | 79.8 ± 0.8 | 80.2 ± 2.4 |
© 2018 by the authors. Licensee MDPI, Basel, Switzerland. This article is an open access article distributed under the terms and conditions of the Creative Commons Attribution (CC BY) license (http://creativecommons.org/licenses/by/4.0/).
Share and Cite
Melville, B.; Lucieer, A.; Aryal, J. Assessing the Impact of Spectral Resolution on Classification of Lowland Native Grassland Communities Based on Field Spectroscopy in Tasmania, Australia. Remote Sens. 2018, 10, 308. https://doi.org/10.3390/rs10020308
Melville B, Lucieer A, Aryal J. Assessing the Impact of Spectral Resolution on Classification of Lowland Native Grassland Communities Based on Field Spectroscopy in Tasmania, Australia. Remote Sensing. 2018; 10(2):308. https://doi.org/10.3390/rs10020308
Chicago/Turabian StyleMelville, Bethany, Arko Lucieer, and Jagannath Aryal. 2018. "Assessing the Impact of Spectral Resolution on Classification of Lowland Native Grassland Communities Based on Field Spectroscopy in Tasmania, Australia" Remote Sensing 10, no. 2: 308. https://doi.org/10.3390/rs10020308
APA StyleMelville, B., Lucieer, A., & Aryal, J. (2018). Assessing the Impact of Spectral Resolution on Classification of Lowland Native Grassland Communities Based on Field Spectroscopy in Tasmania, Australia. Remote Sensing, 10(2), 308. https://doi.org/10.3390/rs10020308

