Abstract
Worldwide periods of heat and drought are projected to be more frequent, longer, and occurring earlier, which could deleteriously affect the productivity of cool-season crops including wheat (Triticum spp.). The coexistence of heat and drought stresses affects plant biochemical and physiological processes including cell membrane function. The increased permeability and leakage of ions out of the cell has been used as a measure of cell membrane stability (CMS) and as a screen test for stress tolerance. The main objectives of this research were to: (1) screen a global spring wheat panel for CMS by exposing leaf tissue to heat treatment and osmotic pressure (PEG 600), (2) identify potential quantitative trait loci (QTL)/genes linked with CMS using genome-wide association mapping, and (3) estimate the relationship between the field performance and measured CMS. The results indicated highly significant differences among the 2111 spring wheat accessions regarding CMS. Moreover, several SNPs were found to be significantly linked with CMS. The annotation of the significant SNPs indicated that most of these SNPs are linked with important functional genes, which control solute transport through the cell membrane and other plant biochemical activities related to abiotic stress tolerance. Overall, this study demonstrated the use of genome-wide association mapping for the identification of potentially new genomic regions associated with CMS. Tolerant genotypes identified in this study proved to be more productive under preliminary field stress conditions. Thus, the identified membrane-stable accessions could be used as parental genotypes in breeding programs for heat or drought stress tolerance.
1. Introduction
Ensuring sustainable wheat production to meet the demands of a growing population under ongoing fluctuation in environmental conditions is a tremendous challenge for wheat breeders and producers. The urgent need to increase global wheat production requires greater progress in improving wheat tolerance to biotic and abiotic stresses. Terminal drought and heat are two major abiotic stresses that frequently coexist in wheat [1,2], causing deleterious effects on many biochemical and physiological processes, including disruption of cell membrane stability. Drought tolerance mechanisms can be classified into three broad categories such as drought escape, drought avoidance, and biochemical tolerance of the tissue to water deficit [3,4,5,6,7]. Heat tolerance in plants includes accumulation of various metabolites such as antioxidants, osmoprotectants, and heat-shock proteins (Hsps) [8]. While drought is a relatively slow process, heat stress can occur abruptly, which can cause a severe decline in grain yields. Several researchers indicated that the optimum temperature during flowering is 17.5 °C [9]. Increased temperature above the optimum temperature by 1 to 2 °C for one or two days resulted in significant decline in grain yield [10]. Furthermore, considerable difference between plants ambient temperature and the weather stations air temperatures was reported by [11], in which they found that the ambient temperature measured under field conditions was up to 7 °C higher than the air temperature measured at a typical weather station. The previous difference might explain the uncertainty in the assessment of heat stress impacts on crop yield under field conditions [12,13].
The quantitative nature of drought and heat stress tolerance in wheat lower the probability of developing genotypes with tolerance to such stresses via traditional breeding methods, which limits the success of this approach [14]. Several plant breeders were largely guided in their selection for drought and heat tolerance by grain yield and its stability under stress conditions. However, breeding for high yield under drought or heat stress conditions using multi-location testing is inherently complicated by year-to-year variability and the low heritability of drought and heat stress tolerance under these circumstances [15]. Furthermore, screening for drought and heat stress tolerance under field conditions requires considerable f resources and suitable environmental conditions for effective and accurate phenotypic performance that can be used to distinguish tolerant genotypes. Thus, researchers tend to break down stress tolerance into series of measurable sub-traits, identify QTLs associated with tolerance, then pyramid multiple genes or QTLs controlling multiple sub-traits to improve tolerance [16]. Several physiological sub-traits were used to study the effect of terminal drought and heat stress on wheat production, i.e., total biomass, remobilization of stored assimilates, root characteristics, osmotic adjustment, and CMS [17,18,19,20]. Cell membrane stability (CMS) is one of the sub-traits that has been used to study drought and heat stress and subsequently select tolerant genotypes [21,22].
Both drought and heat stress have similar effects on the plant cell, damaging the selective permeability of the plasma membrane. Thus the cell cannot maintain its internal composition [23]. The damage affects plant growth and development [24]. Measurement of solute leakage from the plant tissue was used to estimate the damage to the cell membrane caused by drought [14,18,25,26] and heat [14,22,27,28,29,30] under field conditions. Screening plant response to water deficit was achieved using chemical desiccators such as polyethylene glycol (PEG) [31,32,33]. It was documented that PEG can be used to change the water potential of the solutions, inducing potential osmotic pressure, which can be used as a mediator of drought stress [34,35,36,37]. Thus, several researchers used the effect of PEG on the CMS as an early selection step to select the most promising drought- and stress-tolerant genotypes [38]. Similarly, the effect of heat stress on the cell membrane’s thermal stability was studied under field conditions and in vitro [39]. Overall, cell membrane stability was found to be a quantitative trait that was moderately heritable [39], with a high genetic correlation with grain yield [40,41], and that a small number of genes control a large portion of the variation in the cell membrane permeability [42].
Marker-assisted selection (MAS) uses genetic markers to select for desirable plants, where success relies on driving real and accurate marker-trait associations using bi-parental QTL mapping or association mapping (AM) [43]. Bi-parental QTL mapping has some limitations: the QTLs identified by this method are restricted to specific population(s), and bi-parental mapping population is rarely the targeted population to be used for cultivar development. An alternative approach is association mapping (AM), which has been successful in revealing variants responsible for several traits in different crops [43,44,45]. Association mapping can be applied to structured populations [44], thus incorporating a broad spectrum of germplasm is possible [44,46,47]. Successful applications of association mapping require comprehensive phenotypic and genotypic data. The dramatic decrease in the genotyping costs [48], in addition to the availability of current and historical data from different field trials over the years, make AM a viable approach [49].
In this study, we quantified independently the effects of PEG and heat stresses on CMS using a global spring wheat panel at the flowering stage. The primary objectives were to: (i) evaluate a panel of 2111 spring wheat lines for CMS; (ii) identify both unique and shared QTLs linked with cell membrane stability under heat and osmotic stress; and (iii) test the association between the field performance and the measured CMS. This study will help in exploring the influence of CMS and its associated QTLs/genes on drought and heat stress tolerance, which might facilitate breeding efforts for these traits. The uniqueness and importance of our study come from applying well-documented CMS phenotyping protocols, as possible indicators for drought and heat stress, to a large number of diversified accessions while using a 9k SNP markers platform in a GWAS mixed model to identify QTLs linked with CMS. This study proposes using CMS as a tool to identify genetic resources likely to encompass new or complementary allelic variation for drought or heat stress. Identifying these genetic resources will be followed by extensive and focused field evaluation for the identified genetic resources under drought and heat stress conditions. Then several follow-up studies will focus on the development of gene-based selection approaches and crossing to cumulative gene action for drought and heat stress tolerance to obtain environmentally robust genetic gains using data from multiple trials.
2. Materials and Methods
2.1. Plant Materials and Field Growth Conditions
The diverse panel of 2111 spring wheat (T. aestivum L.) accessions (882 landraces; 493 breeding lines; 419 cultivars and 317 with uncertain category) that was considered in this study is part of an ongoing multi-year, multi-environment association mapping project carried out in Egypt. The seeds of this panel were introduced from USDA-ARS and are referred to hereafter as SWAMP (Spring Wheat Association Mapping Panel). SWAMP was phenotyped in 2014/2015 and 2015/2016 in Elbhera, northern Egypt (31°05′35.2′′ N, 30°30′10.4′′ E), for several traits; however, in the current study only cell membrane stability (CMS) and yield performance will be reported. Due to the large number of accessions, we were not able to evaluate all 2111 accessions for CMS at flowering time in the same season. Thus, the 2111 accessions were evaluated for CMS in two years, in which 995 accessions were evaluated in 2016 and another 1116 accessions were evaluated in the following season (2017). Each accession was planted in two replicates using a randomized incomplete block design [50] in plots of four rows wide with 25 cm between rows and two meters long. For both seasons, 2016 and 2017, each incomplete block consisted of 50 accessions in addition to the three check cultivars, i.e., “Sids13”, Gimmiza 9”, and “Giza 168”. The check cultivars used in this study are among the most broadly adapted cultivars in Egypt; further information about the check cultivars is provided by [51]. During the growing season, fertilizers, systemic insecticide, and fungicide were applied as needed to avoid malnutrition or unintended biotic stress.
2.2. Preparing Leaf Samples for Treatment
A total of 10 main-stem flag leaves were randomly collected at flowering time from each plot. Three 1 cm diameter leaf disks were taken per leaf; one disk was used as a control and the other was used for PEG or heat treatments. These disks were taken midway between the base and the tip of the leaf blade using a cork borer. Disks were placed in control and treated vials each containing 6 mL of deionized water, then rinsed with three changes of deionized water to remove electrolytes adhering to plant tissue as well as electrolytes released from cutting. After a final rinsing, vials were drained, maintaining sufficient water to prevent desiccation of the plant material, covered with plastic wrap, and held for 18 h in a refrigerator at 10 °C to allow the diffusion of electrolytes from the plant material. Then, one vial was kept at 25 °C to be used as a control and the other two were treated either with polyethylene glycol (PEG600) or with heat treatments (described below).
2.3. Polyethylene Glycol (PEG) Treatment
Leaf disks of treatment vials were submerged in 30 mL of polyethylene glycol (60% PEG600) solution for 24 hours at 10 °C in the dark [25]. After the treatment period, the leaf pieces were washed with deionized distilled water, then 30 mL of deionized distilled water were added.
2.4. Heat Treatment
Heat-treated vials were covered with plastic wrap and incubated in a water bath at 45 °C for 1 h; control vials were maintained at room temperature (25 °C) during the same period. Treatment temperature and duration were chosen after conducting preliminary experiments involving variations in water-bath temperature to determine the treatment conditions producing the greatest sensitivity in detecting genetic differences [22].
2.5. Measurement of Electrolyte Leakage
After treatments, the vials were held at 10 °C for 24 h to allow the diffusion of electrolytes from the plant material. Then, all vials were brought to room temperature (25 °C), shaken to mix the contents, and an initial conductance were obtained from heat treatment (T1), PEG treatment (P1), and control (C1). Then, all vials (treatment and control) were placed in an autoclave held at a pressure of 0.10 MPa and 121 °C for 15 min to kill plant tissue and release all the electrolytes. Then, the vials were cooled to 25 °C, the contents mixed, and final conductance measurements were made for PEG treatment (P2), heat treatment (T2), and control (C2). Cell membrane stability was expressed as percent relative injury (RI%) using [22] the following equations:
where T, P, and C refer to conductance values for heat treatment, PEG, and control vials, respectively; and the subscripts 1 and 2 refer to the initial and final conductance measurements, respectively.
Relative injury due to heat treatment (Heat_RI) = {1 − [1 − (T1/T2)]/[1 − C1/C2)]} × 100
Relative injury due to PEG treatment (PEG_RI) = {1 − [1 − (P1/P2)]/[1 − C1/C2)]} × 100
2.6. Grain Yield Evaluation
A total of 40 accessions (20 with the lowest RI% and another 20 with the highest RI%) obtained from PEG test (PEG_RI set) and another 40 accessions (20 with the lowest RI% and another 20 with highest RI%) obtained from heat test (Heat_RI set) were evaluated in the field for grain yield. Both sets were planted in Egypt, Damanhour University Experimental Farm (30°45′19.4′′ N, 30°29′04.8′′ E) in the 2016/2017 season in three replicates using a randomized incomplete block design. Each incomplete block consisted of 10 accessions in addition to the three check cultivars, i.e., Sids13, Gimmiza 9, and Giza 168. Both PEG_RI set and Heat_RI set were evaluated under contrasting field conditions; i.e., well-irrigated vs. water deficit for PEG_RI set; and optimum vs. late sowing dates for Heat_RI set. The PEG_RI set was exposed to water deficit by withholding irrigation in the tilling, flowering, and grain-fill stages of crop development. The late sowing date (12 January 2017) for the Heat_RI set exposed the accessions to heat stress during the reproductive stage (29.3 °C average maximum daily temperature 10 days before and during flowering, as monitored at a local weather station).
The water-deficit susceptibility index (WD_SI) and Heat susceptibility index (HT_SI) were calculated as per [52] as follows for WD_SI:
where , , , and refer to the yield under water deficit, the yield under optimum irrigation, mean yield across the tested accessions under water deficit, and the mean yield across the tested accessions under optimum irrigation, respectively.
The heat susceptibility index (HT_SI) was also calculated as per [52] as follows for HT_SI:
where , , , and refer to the yield under heat stress, the yield with an optimum sowing date, the mean yield across the tested accessions with a late sowing date, and the mean yield across the tested accessions with an optimum sowing date, respectively.
2.7. Genotyping
The wheat panel was genotyped with the 9K SNP wheat iSelect assay [53]. For purposes of numerical analyses, genotypes were coded as x = (−1, 0, 1), where −1 represents homozygous for the minor allele, 0 represents heterozygotes, and 1 represents homozygous for the major allele. After removing SNP markers with missing values (>10%) and minor allele frequency (MAF < 5%), missing values were imputed using random forest regression [54]. The calculated r2 among all pairs of SNPs loci were calculated and plotted using R software [55] and sommer package [56]. The calculated r2 was used to estimate the rate of LD decay with genetic distance [57].
2.8. Statistical Analysis
The following mixed model was fit to the cell membrane relative injury (RI%):
where is the overall mean, E (fixed) is the year effect, is the effect of ith wheat accession, (fixed) is the effect of the jth year (to isolate the effect of not evaluating all the accessions in the same year), is the effect of the kth complete block nested within the jth year, (random) is the effect of the lth incomplete block nested within the kth complete block and jth year, and (random) is the residual.
The observations of the cell membrane relative injury (RI%) were also subjected to basic statistics such as Pearson correlation analysis and analysis of variance. The best linear unbiased estimate (BLUE) and SNP markers were subjected to association analysis using mixed linear model (MLM) in R package rrBLUP [58].The population’s structure (Q matrix) was constructed using principal component analysis (PCA) of marker allele frequencies, and the kinship matrix (K) was estimated using R software rrBLUP package [58].
The association analysis was carried out by performing a linear mixed model with restricted maximum likelihood estimates as follows:
where Y is a vector of phenotype observation, μ is a vector of intercepts, v is a k × 1 vector of population effects, u is a n × 1 vector of random polygene background effects, e is a vector of random experimental errors with mean 0 and covariance matrix Var (e), Q is an n × k matrix defining the subgroup membership, Z is an incidence matrix relating Y to u, Var(u) = 2 K Vg, where K is a known n × n matrix of kinship coefficients, Vg is the unknown genetic variance, which is a scalar. Var (e) = RVR, where R is an n × n matrix, and VR is the unknown residual variance, which is a scalar too.
Y = μ +Qv + Zu + e,
An additional two models were used: the first contained phenotypic and marker data and the other model contained phenotypic markers and the kinship matrix (K). The last two models were used as a reference to determine how well the kinship and PCA covariates helped correct for the population structure. The obtained p-values for each marker per phenotype were adjusted for false discovery rate using q-value function in the rrBLUP package [58] and the optimum p-value threshold was determined.
3. Results and Discussion
3.1. Phenotypic Data
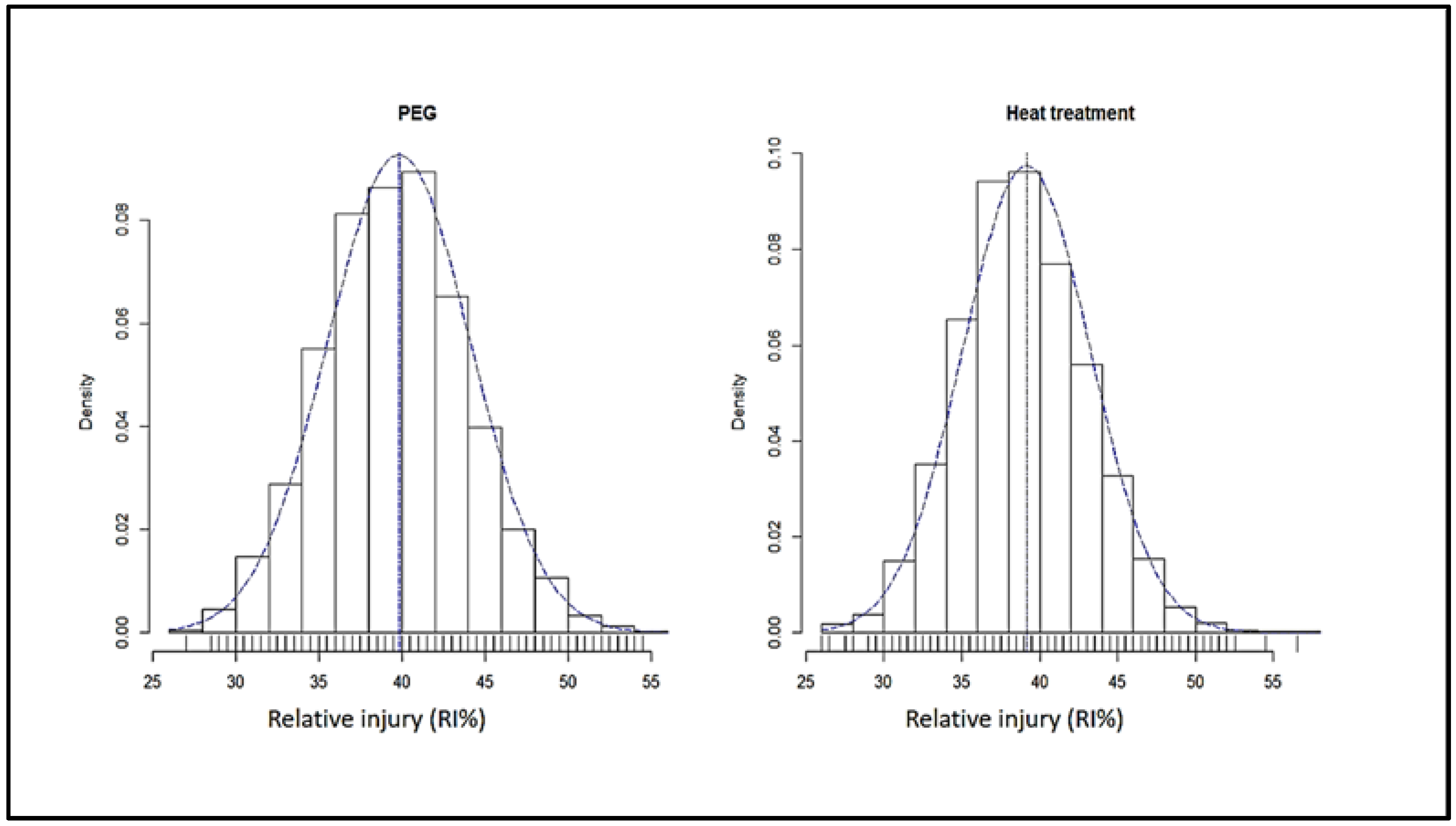
Since all the accessions were not evaluated for cell membrane stability (CMS) in the same year, the year effect was fitted as a fixed effect in the mixed models to eliminate any variation due to doing the trials in multiple years. Before conducting the analysis of variance, the CMS data were checked for normality, and a normal distribution of the measurements was observed (Figure 1). Thus, no data transformation was required for the relative injury percentage (RI) obtained from PEG treatment (PEG_RI) or heat treatment (Heat_RI). Furthermore, the distribution of the data did not show any statistically significant skewness and kurtosis. The previous results indicate that the plant tissue was exposed to a gradual high temperature, causing the plants to acquire cell membrane thermotolerance genes to be activated. Previous reports stated that before conducting the cell membrane thermostability test plants should be exposed to moderate heat stress for an appropriate period (Hardining) [59,60,61]. Exposing the plants to a moderately high temperature can be performed under the field conditions or in the greenhouse [60,61]. The idea behind exposing the plants to moderate heat stress before conducting the CMS test is to allow plants to undergo physiological changes and accumulate metabolic components required for stable cell membranes [62]. On the other hand, exposing plants to a high temperature without hardening will cause a skewness in the data distribution because most of the plants, if not all, will be expected to show limited cell membrane stability to high temperature. The analysis of variance for PEG_RI and Heat_RI indicated significant statistical differences among accessions regarding CMS for both treatments (Table 1).
Figure 1.
Presents the distribution of the relative injury (RI%) across all accessions.
Table 1.
Analysis of variance for relative injury (%) to the cell membrane as affected by PEG and heat treatments.
Relative cell membrane injury (RI) ranged from 27.0 to 54.5% with a mean of 39.8% when the PEG was applied; it ranged from 26.0 to 56.5% with a mean of 39.1 when the heat treatment was applied. The Pearson correlation coefficient calculated across the 2111 accessions between PEG_RI and Heat_RI was statistically significant (r = 0.51, p < 0.00012). The significant correlation may be due to an overlap between some genes that regulate by PEG_RI and Heat_RI treatments [28]. For example, both water deficit and heat stress upregulate the expression of HSPs in wheat [28]. Several researchers referred to the existence of different response mechanisms in plants to both stresses compared to individual stress [30,63,64]. They also reported that photosynthetic products, such as sugars, explicitly accumulated during both water deficit and heat stresses [65].
Based on the RI obtained using PEG, 20 accessions with the lowest PEG_RI and another 20 accessions with the highest PEG_RI were evaluated in the field for grain yield (Supplementary Materials, Table S1). Across the 40 accessions (PEG_RI_Set), a significant negative correlation was observed between PEG_RI and grain yield obtained under water deficit (r = −0.52, p-value < 0.001). In contrast, nonsignificant correlation was observed between PEG_RI and grain yield under normal irrigation (r = −0.12, ns.).
Due to the late sowing date, Heat_RI_Set (the lowest Heat_RI and the highest Heat_RI) were exposed to heat stress under field conditions during flowering (29.3 °C average of the maximum daily temperature 10 days before and during flowering). The grain yield for Heat_RI set (Supplementary Materials, Table S2) revealed a significant negative correlation (r = −0.64, p-value < 0.001) with Heat_RI under heat stress (late sowing date). In contrast, a non-significant correlation (r = 0.01) was detected between Heat_RI and grain yield obtained from the optimum sowing date.
Furthermore, susceptibility index (SI) results indicated a positive correlation (r = 0.37, p-value < 0.001) between PEG_RI and grain yield susceptibility index under water deficit conditions (SI_WD); Similarly, a significant positive correlation (r = 0.55, p-value < 0.001) was found between Heat_RI and yield susceptibility index under heat stress conditions (SI_HT). The results of the correlation between CMS and high yield under water deficit and heat stress agreed with previous research [1,20,27]. A stress susceptibility index (SI) was first suggested by [52] as a useful way of comparing yield performance between stressful and non-stressful environments. It expresses the separate effects of yield potential and stress susceptibility on yield. In these terms, lower susceptibility is considered to be synonymous with higher stress tolerance.
3.2. Association Mapping
The threshold for r2 in the studied accessions was 0.09. Figure 2 shows a scatterplot of the distributions of the r2 values as a function of the genetic distances among SNP pairs for the whole collection. The point at which the locally weighted scatterplot smoothing (LOESS) curve intercepts was used to determine the critical r2, which was the average Linkage disequilibrium (LD) decay of the population. Based on these criteria, the average LD decay of the whole genome was ~8 cm. The mean of r2 among all SNP pairs across the entire collection was 0.09, which is higher than the 0.022 described by [66] and 0.019 reported by [67] in populations of smaller sizes and with a lower number of markers.
Figure 2.
Decay of r2 as a function of the genetic distance between SNP markers estimated for 2111 spring wheat accessions s from different geographic regions.
To reduce the probability of the false discovery rate while running the genome-wide association analysis, population structure was accounted for using Q and the K matrices. A linear mixed model was used in which K and Q + K [68] matrixes were fitted. The preliminary results indicated that the expected and observed cumulative distributions of p-values obtained using the K and Q + K models were similar. There were no notable differences in the number and identity of markers showing significant associations with the two models. These results agree with those of [68], in which they found that correcting for population structure using the kinship matrix was as effective in reducing the false-positive rate as using the Q + K model. Therefore, we reported the results of association mapping using only the K matrix.
After correcting for the population structure and false discovery rate, several SNP markers were found to be significantly associated with RI%. These SNPs were aligned and annotated to known wheat genes and genome sequences. However, since the wheat genome sequence is not publicly available yet, gene annotation and alignment were done using model plants such as sorghum (Sorghum bicolor L.), rice (Oryza sativa L.), and Brachypodium (Brachypodium distachyon L.) (in addition to wheat) to search for functional genes that could be associated with the sequences of the significant SNPs that were detected. A total of 20 significant SNPs were significantly associated with RI_PEG. These significant SNPs were located on chromosomes; 1A (IWA4754 and IWA4538), 1B (IWA6290), 2A (IWA5793), 4A (IWA3756), 6B (IWA4170), and 7B (IWA5000) (Table 2 and Figure 3). The IWA6290 sequence was reported previously and found to correspond to an enzyme named glycerophosphoric diester phosphodiesterase that participates in glycerophospholipid metabolism and was found to be involved in plant heat stress tolerance [69]. The IWA3756 sequence corresponded to glutamate synthesis protein, which appeared to be involved in proline acclimation and drought tolerance [70]. The IWA4170 sequence corresponded to the uncharacterized membrane protein At3g27390-like isoform. The IWA5000 SNP sequence corresponded to the TRAF-type zinc finger protein [71]. Previous reports demonstrated that many proteins from the zinc finger superfamily are involved in biotic and abiotic stress tolerance in plants [72].
Table 2.
Statistically significant SNP markers found to be linked to cell membrane relative injury (RI%) obtained using PEG and heat treatments.
Figure 3.
Manhattan plot represents the association between molecular markers and cell membrane relative injury (RI) due to using PEG.
Other markers were found to be significantly associated with Heat_RI (Table 2 and Figure 4). These markers were located on chromosomes 4B (IWA7268), 6B (IWA4065, IWA3971, IWA7401, IWA5748), and 3A (IWA4451). IWA4065 and IWA7401 SNP sequences correspond to the SWI/SNF complex subunit SWI3B, which is involved in the Jasmonate and ethylene pathways [70]. The IWA4451 SNP sequence corresponded to the galactose lectin protein domain, which participates in several plant abiotic stress tolerance mechanisms [73].
Figure 4.
Manhattan plot represents the association between molecular markers and cell membrane relative injury due to using heat shock.
In addition, 11 markers were found to be linked with both Heat_ and PEG_RI (Table 2). The gene annotation results indicated that markers found to be significantly associated with both PEG_RI and Heat_RI corresponded to putative proteins with enzyme activity such as ATPase (IWA5785). ATPase plays a crucial role in transporting solutes in and out of the cell through the cell membrane [74]. Other SNP sequences were found to correspond to beta-transducing proteins (IWA3131, IWA3133, IWA6825, and IWA6826), which play an important molecular role in translocating molecules through the plant cell membrane and tolerance to abiotic stress [75]. Another SNP sequence was found to be associated with RNA recognition motifs (IWA7873), which were found to confer abiotic stress tolerance in several species [76]. Another significant SNP sequence (IWA6142) corresponded to the sequence of the PRP38 family, which was found to be linked with plant tolerance to salinity stress [77]. Overall, the gene annotation and alignment for the common QTLs indicated that these QTLs are involved in transporting solutes through the cell membrane or are responsible for abiotic stress tolerance. Our results agreed with comparative transcriptomic and gene expression studies for several plant species exposed to both water deficit and heat stress [65,78].
In recent years, worldwide drought and extreme heat reduced crop yields by 10% between 1964 and 2007 [79]. Extreme heat and water shortage events are predicted to become increasingly common and severe by the end of the 21st century [3,79]. The Mediterranean basin is expected to have an annual mean temperature increase of 3 to 4 °C, and a 10 to 20% decrease in annual precipitation [3,80]. The detrimental effect of heat stress on wheat yield may worsen if it coincides with drought stress [81]. During the late reproductive stage of wheat, farmers usually stop irrigation whenever the temperature increases, which exposes their plants to terminal drought stress, because water deficit (reduced water availability) reduces transpiration and plant cooling. Reduced cooling enhances the impact of heat stress and biotic stresses such as leaf (caused by Puccinia triticina Eriks.) and stem rust (P. graminis f. sp. tritici) [82]. Therefore, simultaneous breeding for both water deficit and heat stress is predicted to be an increasingly important future wheat breeding goal. Traditionally, plant breeders relied on large-scale replication of field trials over years and locations to identify the accessions that perform best in a target environment. However, most plant breeders depend on the overall yield performance to determine the most tolerant accession. Unfortunately, the performance of the accessions under water deficit or heat stress is dependent on the environments that were chosen to screen in, and most of the time the tolerant accessions are not those with the highest yield but rather those with the most stable yield across a range of environments. Moreover, evaluating for heat and drought stress under field conditions is time-, labor- and resource-intensive.
To overcome previous field evaluation problems, many plant breeders have endeavored to take advantage of next-generation sequencing (NGS) and a large number of plant collections in different international gene banks to identify the most promising genotypes regarding tolerance to water deficit and heat stress. Then, genetic data can be linked with phenotypic data to identify the QTLs/genes associated with physiological traits that directly or indirectly affect the plant tolerance to water deficit and heat stress [2,83,84]. Identifying QTLs associated with CMS using association mapping requires large populations to increase the recombination frequency and the frequency of rare alleles [19]. However, there is a high cost associated with genotyping and phenotyping such a large population. Currently, phenotyping became a major bottleneck and resource constraint on genome-wide association mapping [19]. Thus we focused our efforts and resources on conducting a time-consuming phenotyping for CMS using 2111 spring wheat accessions with publicly available 9K SNP marker data [85].
The wheat collection utilized in this study is an ideal source of genetic variation for CMS because of the large number of accessions, the diverse origin, and the status of improvement; i.e., cultivars, landraces, and lines. Overall, our results indicated that the accessions varied greatly for cell membrane RI due to using heat stress or PEG. Furthermore, the results presented in this study could be employed as a preliminary screening for drought and heat stress to focus a breeder’s efforts on searching for heat or drought tolerant accessions. Furthermore, a robust and significant association was observed between yield data for the cell membrane in most stable and nonstable genotypes under water deficit and heat stress conditions. Certainly, more extensive follow-up phenotypic evaluation under the field conditions is required; however, the number of accessions to be evaluated in the field must be reduced to focus resources on evaluating the most promising lines. Based on the current results, we might field test hundreds of accessions instead of thousands, which will save considerable effort and resources and increase accuracy.
4. Conclusions
Based on previous research and our findings, cell membrane stability (CMS) for the spring wheat collection utilized in the current study varied in response to imposed in vitro heat and PEG treatments. The correlation between CMS obtained from using heat and PEG was significant. Furthermore, yield data for the most cell membrane stable and nonstable accessions evaluated under contrasting field conditions, i.e., water deficit and heat stress, were in agreement with the CMS results.
Genome-wide association mapping (GWAS) identified several QTLs that were found to be involved in transporting solutes through the cell membrane or generally involved in abiotic stress tolerance mechanisms. After validating the significant QTLs, it can be converted into Kompetitive Allele Specific Polymerase Chain Reaction (KASP), which should be useful in MAS for drought and heat stress. The most stable cell membrane accessions identified in this study have the potential to be excellent parental lines in breeding programs interested in incorporating water deficit and heat tolerance. Our follow-up studies will focus more extensively on the field evaluation of the most stable cell membrane accessions and evaluating the importance of the significant markers found to be linked with CMS in this study.
Supplementary Materials
The following are available online at www.mdpi.com/2071-1050/9/9/1606/s1.
Acknowledgments
This study was supported financially by the Science and Technology Development Fund (STDF), Egypt, Grant No 14935.
Author Contributions
Ibrahim ElBasyoni: Collecting the phenotypic data, data analysis, drafting the article, final approval of the version to be published. Mohamed Saadalla: Design of the work, review of the first draft, final approval of the version to be published. Stephen Baenziger.: Design of the work, review of the first draft, final approval of the version to be published. Harold Bockelman.: Providing seeds for the studied accessions, review of the first draft, final approval of the version to be published. Sabah Morsy: Collecting the phenotypic data, review of the first draft, final approval of the version to be published.
Conflicts of Interest
The authors whose names are listed immediately below certify that they have NO affiliations with or involvement in any organization or entity with any financial interest (such as honoraria; educational grants; participation in speakers’ bureaus; membership, employment, consultancies, stock ownership, or other equity interest; and expert testimony or patent-licensing arrangements), or non-financial interest (such as personal or professional relationships, affiliations, knowledge or beliefs) in the subject matter or materials discussed in this manuscript.
References
- Rehman, S.U.; Bilal, M.; Rana, R.M.; Tahir, M.N.; Shah, M.K.N.; Ayalew, H.; Yan, G. Cell membrane stability and chlorophyll content variation in wheat (Triticum aestivum) genotypes under conditions of heat and drought. Crop Pasture Sci. 2016, 67, 712–718. [Google Scholar] [CrossRef]
- Tahmasebi, S.; Heidari, B.; Pakniyat, H.; Mcintyre, C.L.; Tahmasebi, S.; Heidari, B.; Pakniyat, H. Mapping QTLs associated with agronomic and physiological traits under terminal drought and heat stress conditions in wheat (Triticum aestivum L.). Genome 2017, 60, 26–45. [Google Scholar] [CrossRef] [PubMed]
- Plomion, C.; Bartholomé, J.; Bouffier, L.; Brendel, O.; Cochard, H.; De Miguel, M.; Delzon, S.; Gion, J.-M.; Gonzalez-Martinez, S.C.; Guehl, J.-M.; et al. Understanding the genetic bases of adaptation to soil water deficit in trees through the examination of water use efficiency and cavitation resistance: maritime pine as a case study. J. Plant Hydraul. 2016, 3, 8. [Google Scholar] [CrossRef]
- Ahmad, P. Water Stress and Crop Plants: A Sustainable Approach; Wiley-Blackwell: New York, NY, USA, 2016; ISBN 9781119054368. [Google Scholar]
- Lima, J.M.; Nath, M.; Dokku, P.; Raman, K.V.; Kulkarni, K.P.; Vishwakarma, C.; Sahoo, S.P.; Mohapatra, U.B.; Mithra, S.V.A.; Chinnusamy, V.; et al. Physiological, anatomical and transcriptional alterations in a rice mutant leading to enhanced water stress tolerance. AoB Plants 2015, 7, 1–19. [Google Scholar] [CrossRef] [PubMed]
- Khan, M.A.; Iqbal, M. Breeding for drought tolerance in wheat (Triticum aestivum L.): Constraints and future prospects. Front. Agric. China 2011, 5, 31–34. [Google Scholar] [CrossRef]
- Rahman, M.; Ullah, I.; Ahsraf, M.; Stewart, J.M.; Zafar, Y. Genotypic variation for drought tolerance in cotton. Agron. Sustain. Dev. 2002, 28, 439–447. [Google Scholar] [CrossRef]
- Asthir, B. Protective mechanisms of heat tolerance in crop plants. J. Plant Interact. 2015, 10, 202–210. [Google Scholar] [CrossRef]
- Fisher, R.A.; Byerlee, D. Trends of Wheat Production in the Warmer Areas: Major Issues and Economic Considerations; Food and Agriculture Organization of the United Nations: Rome, Italy, 1990. [Google Scholar]
- Hasanuzzaman, M.; Nahar, K.; Alam, M.M.; Roychowdhury, R.; Fujita, M. Physiological, biochemical, and molecular mechanisms of heat stress tolerance in plants. Int. J. Mol. Sci. 2013, 14, 9643–9684. [Google Scholar] [CrossRef] [PubMed]
- Siebert, S.; Ewert, F.; Rezaei, E.E.; Kage, H.; Graß, R. Impact of heat stress on crop yield—On the importance of considering canopy temperature. Environ. Res. Lett. 2014, 9, 1–8. [Google Scholar] [CrossRef]
- Webber, H.; Martre, P.; Asseng, S.; Kimball, B.; White, J.; Ottman, M.; Wall, G.W.; De Sanctis, G.; Doltra, J.; Grant, R.; et al. Canopy temperature for simulation of heat stress in irrigated wheat in a semi-arid environment: A multi-model comparison. Field Crop. Res. 2015. [Google Scholar] [CrossRef]
- Neukam, D.; Ahrends, H.; Luig, A.; Manderscheid, R.; Kage, H. Integrating Wheat Canopy Temperatures in Crop System Models. Agronomy 2016, 6, 7. [Google Scholar] [CrossRef]
- Paulsen, G. Application of Physiology in Wheat Breeding. Crop Sci. 2002, 42, 2228. [Google Scholar] [CrossRef]
- Lipiec, J.; Doussan, C.; Nosalewicz, A.; Kondracka, K. Effect of drought and heat stresses on plant growth and yield: A review. Int. Agrophysics 2013, 27, 463–477. [Google Scholar] [CrossRef]
- Gilliham, M.; Able, J.A.; Roy, S.J. Translating knowledge about abiotic stress tolerance to breeding programmes. Plant J. 2017, 90, 898–917. [Google Scholar] [CrossRef] [PubMed]
- Beltrano, J.; Ronco, M.G. Improved tolerance of wheat plants (Triticum aestivum L.) to drought stress and rewatering by the arbuscular mycorrhizal fungus Glomus claroideum: Effect on growth and cell membrane stability. Braz. J. Plant Physiol. 2008, 20, 29–37. [Google Scholar] [CrossRef]
- Tardieu, F.; Kesavan, P.; Bocianowski, J.; Bilal, M.; Sohrabi, Y.; Dai, T.; Qanmber, Q.; Latif, A.; Ashraf, J.; Farhan, U. Any trait or trait-related allele can confer drought tolerance: Just design the right drought scenario. J. Exp. Bot. 2012, 63, 25–31. [Google Scholar] [CrossRef] [PubMed]
- Cobb, J.N.; DeClerck, G.; Greenberg, A.; Clark, R.; McCouch, S. Next-generation phenotyping: Requirements and strategies for enhancing our understanding of genotype–phenotype relationships and its relevance to crop improvement. Theor. Appl. Genet. 2013, 126, 867–887. [Google Scholar] [CrossRef] [PubMed]
- Iqbal, M.; Raja, N.I.; Yasmeen, F.; Hussain, M.; Ejaz, M.; Shah, M.A. Impacts of Heat Stress on Wheat: A Critical Review. Adv. Crop Sci. Technol. 2017, 5, 1–9. [Google Scholar] [CrossRef]
- Öztürk, A.; Taşkesenligil, B.; Haliloğlu, K.; Aydin, M.; Çağlar, Ö. Turkish Journal of Agriculture and Forestry Evaluation of bread wheat genotypes for early drought resistance via germination under osmotic stress, cell membrane damage, and paraquat tolerance. Turk. J. Agric. 2016, 40, 146–159. [Google Scholar] [CrossRef]
- Saadalla, M.M.; Quick, J.S.; Shanahan, J.F. Heat Tolerance in Winter Wheat: II. Membrane Thermostability and Field Performance. Crop Sci. 1990, 30, 1248–1251. [Google Scholar] [CrossRef]
- Barnabás, B.; Jäger, K.; Fehér, A. The effect of drought and heat stress on reproductive processes in cereals. Plant. Cell Environ. 2007, 31, 11–38. [Google Scholar] [CrossRef] [PubMed]
- Bajji, M.; Kinet, J.M.; Lutts, S. The use of the electrolyte leakage method for assessing cell membrane stability as a water stress tolerance test in durum wheat. Plant Growth Regul. 2002, 36, 61–70. [Google Scholar] [CrossRef]
- Premachandra, G.; Shimada, T. The measurement of cell membrane stability using polyethylene glycol as a drought tolerance test in wheat. Jpn. J. Crop Sci. 1987, 56, 92–98. [Google Scholar] [CrossRef]
- Wang, X.; Zhang, M.-M.; Wang, Y.-J.; Gao, Y.-T.; Li, R.; Wang, G.-F.; Li, W.-Q.; Liu, W.-T.; Chen, K.-M. The plasma membrane NADPH oxidase OsRbohA plays a crucial role in developmental regulation and drought-stress response in rice. Physiol. Plant. 2016, 156, 421–443. [Google Scholar] [CrossRef] [PubMed]
- Jamali, S.S.; Borzouei, A.; Aghamirzaei, M.; Khosronejad, H.R.; Fathi, M. Cell membrane stability and biochemical response of seven wheat cultivars under salinity stress. Braz. J. Bot. 2015, 38, 63–69. [Google Scholar] [CrossRef]
- Pandey, P.; Ramegowda, V.; Senthil-Kumar, M. Shared and unique responses of plants to multiple individual stresses and stress combinations: Physiological and molecular mechanisms. Front. Plant Sci. 2015, 6, 723. [Google Scholar] [CrossRef] [PubMed]
- Reynolds, M.; Balota, M.; Delgado, M.I.B.; Amani, I.; Fischer, R.A. Physiological and morphological traits associated with spring wheat yield under hot, irrigated conditions. Aust. J. Plant Physiol. 1994, 21, 717–730. [Google Scholar] [CrossRef]
- Suzuki, N.; Rivero, R.M.; Shulaev, V.; Blumwald, E.; Mittler, R. Abiotic and biotic stress combinations. New Phytol. 2014, 203, 32–43. [Google Scholar] [CrossRef] [PubMed]
- Joshi, R.; Shukla, A.; Sairam, R.K. In vitro screening of rice genotypes for drought tolerance using polyethylene glycol. Acta Physiol. Plant. 2011, 33, 2209–2217. [Google Scholar] [CrossRef]
- Monneveux, P.; Jing, R.; Misra, S.C. Phenotyping for drought adaptation in wheat using physiological traits. Front. Physiol. 2012, 3, 429. [Google Scholar] [CrossRef] [PubMed]
- Pouresmael, M.; Khavari-Nejad, R.A.; Mozafari, J.; Najafi, F.; Moradi, F. Efficiency of screening criteria for drought tolerance in chickpea. Arch. Agron. Soil Sci. 2013, 59, 1675–1693. [Google Scholar] [CrossRef]
- George, S.; Minhas, N.M.; Jatoi, S.A.; Siddiqui, S.U.; Ghafoor, A. Impact of polyethylene glycol on proline and membrane stability index for water stress regime in tomato (solanum lycopersicum). Pak. J. Bot. 2015, 47, 835–844. [Google Scholar]
- Quilambo, O.A.; Scott, P. Proline content, water retention capability and cell membrane integrity as parameters for drought tolerance in two peanut cultivars. S. Afr. J. Bot. 2004, 70, 227–234. [Google Scholar] [CrossRef]
- Venkateswarlu, B.; Ramesh, K. Cell membrane stability and biochemical response of cultured cells of groundnut under polyethylene glycol-induced water stress. Plant Sci. 1993, 90, 179–185. [Google Scholar] [CrossRef]
- Feller, U.; Anders, I.; Wei, S. Effects of PEG-Induced Water Deficit in Solanum nigrum on Zn and Ni Uptake and Translocation in Split Root Systems. Plants 2015, 4, 284–297. [Google Scholar] [CrossRef] [PubMed]
- Mickky, B.M.; Aldesuquy, H.S. Impact of osmotic stress on seedling growth observations, membrane characteristics and antioxidant defense system of different wheat genotypes. Egypt. J. Basic Appl. Sci. 2017, 4, 47–54. [Google Scholar] [CrossRef]
- Hemantaranjan, A. Heat Stress Responses and Thermotolerance. Adv. Plants Agric. Res. 2014, 1, 1–10. [Google Scholar] [CrossRef]
- Asif, M.; Kamran, A. Plant Breeding for Water-Limited Environments. Crop Sci. 2011, 51, 2911. [Google Scholar] [CrossRef]
- Ali, M.A.; Niaz, S.; Abbas, A.; Sabir, W.; Jabran, K. Genetic diversity and assessment of drought tolerant sorghum landraces based on morph-physiological traits at different growth stages. Plant Omics 2009, 2, 214–227. [Google Scholar]
- Talukder, S.K.; Babar, M.A.; Vijayalakshmi, K.; Poland, J.; Prasad, P.V.V.; Bowden, R.; Fritz, A. Mapping QTL for the traits associated with heat tolerance in wheat (Triticum aestivum L.). BMC Genet. 2014, 15, 1–13. [Google Scholar] [CrossRef] [PubMed]
- Gupta, P.; Balyan, H.; Gahlaut, V. QTL Analysis for Drought Tolerance in Wheat: Present Status and Future Possibilities. Agronomy 2017, 7, 5. [Google Scholar] [CrossRef]
- Adhikari, T.B.; Gurung, S.; Hansen, J.M.; Jackson, E.W.; Bonman, J.M. Association Mapping of Quantitative Trait Loci in Spring Wheat Landraces Conferring Resistance to Bacterial Leaf Streak and Spot Blotch. Plant Genome J. 2012, 5, 1. [Google Scholar] [CrossRef]
- Wenzl, P.; Li, H.; Carling, J.; Zhou, M.; Raman, H.; Paul, E.; Hearnden, P.; Maier, C.; Xia, L.; Caig, V.; et al. A high-density consensus map of barley linking DArT markers to SSR, RFLP and STS loci and agricultural traits. BMC Genomics 2006, 7, 206. [Google Scholar] [CrossRef] [PubMed]
- Odong, T.L.; van Heerwaarden, J.; Jansen, J.; van Hintum, T.J.L.; van Eeuwijk, F.A. Determination of genetic structure of germplasm collections: Are traditional hierarchical clustering methods appropriate for molecular marker data? Theor. Appl. Genet. 2011, 123, 195–205. [Google Scholar] [CrossRef] [PubMed]
- Zhang, L.; Liu, D.; Guo, X.; Yang, W.; Sun, J.; Wang, D.; Sourdille, P.; Zhang, A. Investigation of genetic diversity and population structure of common wheat cultivars in northern China using DArT markers. BMC Genet. 2011, 12, 42. [Google Scholar] [CrossRef] [PubMed]
- Hiremath, P.J.; Kumar, A.; Penmetsa, R.V.; Farmer, A.; Schlueter, J.A.; Chamarthi, S.K.; Whaley, A.M.; Carrasquilla-Garcia, N.; Gaur, P.M.; Upadhyaya, H.D.; et al. Large-scale development of cost-effective SNP marker assays for diversity assessment and genetic mapping in chickpea and comparative mapping in legumes. Plant Biotechnol. J. 2012, 10, 716–732. [Google Scholar] [CrossRef] [PubMed]
- Crossa, J.; Burgueño, J.; Dreisigacker, S.; Vargas, M.; Herrera-Foessel, S.A.; Lillemo, M.; Singh, R.P.; Trethowan, R.; Warburton, M.; Franco, J.; et al. Association analysis of historical bread wheat germplasm using additive genetic covariance of relatives and population structure. Genetics 2007, 177, 1889–1913. [Google Scholar] [CrossRef] [PubMed]
- Giesbrecht, F.G.; Gumpertz, M.L. Planning, Construction, and Statistical Analysis of Comparative Experiments (Google eBook); John Wiley & Sons: Hoboken, NJ, USA, 2011; ISBN 047147648X. [Google Scholar]
- Basnet, B.R.; Ali, M.B.; Ibrahim, A.M.H.; Payne, T.; Mosaad, M.G. Evaluation of genetic bases and diversity of Egyptian wheat cultivars released during the last 50 years using coefficient of parentage. Commun. Biometry Crop Sci. 2011, 6, 31–47. [Google Scholar]
- Fischer, R.A.; Maurer, R. Drought resistance in spring wheat cultivars, 1. Grain yield responses. Aust. J. Agric. Res. 1978, 897–912. [Google Scholar] [CrossRef]
- Wang, S.; Wong, D.; Forrest, K.; Allen, A.; Chao, S.; Huang, B.E.; Maccaferri, M.; Salvi, S.; Milner, S.G.; Cattivelli, L.; et al. Characterization of polyploid wheat genomic diversity using a high-density 90,000 single nucleotide polymorphism array. Plant Biotechnol. J. 2014, 12, 787–796. [Google Scholar] [CrossRef] [PubMed]
- Rutkoski, J.E.; Poland, J.; Jannink, J.-L.; Sorrells, M.E. Imputation of unordered markers and the impact on genomic selection accuracy. G3 Bethesda 2013, 3, 427–439. [Google Scholar] [CrossRef] [PubMed]
- R Core Team. The R Project for Statistical Computing CRAN-Mirrors. Available online: http://www.r-project.org/ (accessed on 7 September 2017).
- Covarrubias-Pazaran, G. Genome-Assisted prediction of quantitative traits using the r package sommer. PLoS ONE 2016, 11, e0156744. [Google Scholar] [CrossRef] [PubMed]
- Laidò, G.; Marone, D.; Russo, M.A.; Colecchia, S.A.; Mastrangelo, A.M.; de Vita, P.; Papa, R. Linkage Disequilibrium and Genome-Wide Association Mapping in Tetraploid Wheat (Triticum turgidum L.). PLoS ONE 2014, 9, e95211. [Google Scholar] [CrossRef] [PubMed]
- Endelman, J.B. Ridge Regression and Other Kernels for Genomic Selection with R Package rrBLUP. Plant Genome J. 2011, 4, 250. [Google Scholar] [CrossRef]
- Yeh, D.M.; Lin, H.F. Thermostability of Cell Membranes as a Measure of Heat Tolerance and Relationship to Flowering Delay in Chrysanthemum. J. Am. Soc. Hortic. Sci. 2003, 128, 656–660. [Google Scholar]
- Kumar, R.R.; Goswami, S.; Sharma, S.K.; Singh, K.; Gadpayle, K.A.; Kumar, N.; Rai, G.K.; Singh, M.; Rai, R.D. Protection against heat stress in wheat involves change in cell membrane stability, antioxidant enzymes, osmolyte, H2O2 and transcript of heat shock protein. Int. J. Plant Physiol. Biochem. 2012, 4, 83–91. [Google Scholar] [CrossRef]
- Blum, A. The Effect of Heat Stress on Wheat Leaf and Ear Photosynthesis. J. Exp. Bot. 1986, 37, 111–118. [Google Scholar] [CrossRef]
- Watanabe, R.; Funato, K.; Venkataraman, K.; Futerman, A.H.; Riezman, H. Sphingolipids are required for the stable membrane association of glycosylphosphatidylinositol-anchored proteins in yeast. J. Biol. Chem. 2002, 277, 49538–49544. [Google Scholar] [CrossRef] [PubMed]
- Prasch, C.M.; Sonnewald, U. Simultaneous Application of Heat, Drought, and Virus to Arabidopsis Plants Reveals Significant Shifts in Signaling Networks. Plant Physiol. 2013, 162, 1849–1866. [Google Scholar] [CrossRef] [PubMed]
- Rizhsky, L. When Defense Pathways Collide. The Response of Arabidopsis to a Combination of Drought and Heat Stress. Plant Physiol. 2004, 134, 1683–1696. [Google Scholar] [CrossRef] [PubMed]
- Zhou, R.; Yu, X.; Ottosen, C.-O.; Rosenqvist, E.; Zhao, L.; Wang, Y.; Yu, W.; Zhao, T.; Wu, Z. Drought stress had a predominant effect over heat stress on three tomato cultivars subjected to combined stress. BMC Plant Biol. 2017, 17, 24. [Google Scholar] [CrossRef] [PubMed]
- Breseghello, F.; Sorrells, M.E. Association Mapping of Kernel Size and Milling Quality in Wheat (Triticum aestivum L.) Cultivars. Genetics 2006, 172, 1165–1177. [Google Scholar] [CrossRef] [PubMed]
- Neumann, K.; Kobiljski, B.; Denčić, S.; Varshney, R.K.; Borner, A. Genome-wide association mapping: A case study in bread wheat (Triticum aestivum L.). Mol. Breed. 2011, 27, 37–58. [Google Scholar] [CrossRef]
- Zhao, K.; Aranzana, M.J.; Kim, S.; Lister, C.; Shindo, C.; Tang, C.; Toomajian, C.; Zheng, H.; Dean, C.; Marjoram, P.; et al. An Arabidopsis Example of Association Mapping in Structured Samples. PLoS Genet. 2007, 3, e4. [Google Scholar] [CrossRef] [PubMed]
- Shi, W.; Ueda, A.; Ozaki, K.; Inada, M.; Takamatsu, A.; Takahe, T.; Takabe, T. Plant Production Science Analysis of Heat-Stress Responsive Genes in Aneurolepidium chinense Leaves by Differential Display. Plant Prod. Sci. 2002, 53, 229–235. [Google Scholar] [CrossRef]
- Reyes, J.C. Proline Mechanisms of Stress Survival. Antioxid. Redox Signal. 2014, 19, 998–1011. [Google Scholar] [CrossRef]
- Kertho, A.; Mamidi, S.; Bonman, J.M.; McClean, P.E.; Acevedo, M. Genome-Wide Association Mapping for Resistance to Leaf and Stripe Rust in Winter-Habit Hexaploid Wheat Landraces. PLoS ONE 2015, 10, e0129580. [Google Scholar] [CrossRef] [PubMed]
- Guo, Y.-H.; Yu, Y.-P.; Wang, D.; Wu, C.-A.; Yang, G.-D.; Huang, J.-G.; Zheng, C.-C. GhZFP1, a novel CCCH-type zinc finger protein from cotton, enhances salt stress tolerance and fungal disease resistance in transgenic tobacco by interacting with GZIRD21A and GZIPR5. New Phytol. 2009, 183, 62–75. [Google Scholar] [CrossRef] [PubMed]
- Lannoo, N.; Van Damme, E.J.M. Lectin domains at the frontiers of plant defense. Front. Plant Sci. 2014, 5, 397. [Google Scholar] [CrossRef] [PubMed]
- Janicka-Russak, M. Plant Plasma Membrane H+-ATPase in Adaptation of Plants to Abiotic Stresses. In Abiotic Stress Response in Plants—Physiological, Biochemical and Genetic Perspectives; InTech: Chattanooga, TN, USA, 2011. [Google Scholar]
- Mishra, A.K.; Muthamilarasan, M.; Khan, Y.; Parida, S.K.; Prasad, M. Genome-wide investigation and expression analyses of WD40 protein family in the model plant foxtail millet (Setaria italica L.). PLoS ONE 2014, 9, e86852. [Google Scholar] [CrossRef] [PubMed]
- Tuteja, N.; Gill, S.S. Climate Change and Plant Abiotic Stress Tolerance. Plant Biotechnol. 2013, 92–93. [Google Scholar] [CrossRef]
- Meyer, K.; Koester, T.; Staiger, D. Pre-mRNA Splicing in Plants: In Vivo Functions of RNA-Binding Proteins Implicated in the Splicing Process. Biomolecules 2015, 5, 1717–1740. [Google Scholar] [CrossRef] [PubMed]
- Jia, J.; Zhou, J.; Shi, W.; Cao, X.; Luo, J.; Polle, A.; Luo, Z.-B. Comparative transcriptomic analysis reveals the roles of overlapping heat-/drought-responsive genes in poplars exposed to high temperature and drought. Sci. Rep. 2017, 7, 43215. [Google Scholar] [CrossRef] [PubMed]
- Lesk, C.; Rowhani, P.; Ramankutty, N. Influence of extreme weather disasters on global crop production. Nature 2016, 529, 84–87. [Google Scholar] [CrossRef] [PubMed]
- Beniston, M.; Stephenson, D.B.; Christensen, O.B.; Ferro, C.A.T.; Frei, C.; Goyette, S.; Halsnaes, K.; Holt, T.; Jylhä, K.; Koffi, B.; et al. Future extreme events in European climate: An exploration of regional climate model projections. Clim. Chang. 2007, 81, 71–95. [Google Scholar] [CrossRef]
- Lobell, D.B.; Schlenker, W.; Costa-Roberts, J. Climate Trends and Global Crop Production Since 1980. Science 2011, 333, 616–620. [Google Scholar] [CrossRef] [PubMed]
- Kent, C.; Pope, E.; Thompson, V.; Schauberger, B.; Rolinski, S.; Müller, C.; Waha, K.; Huth, N.; Carberry, P. Wheat yield loss attributable to heat waves, drought and water excess at the global, national and subnational scales. Environ. Res. Lett. 2010, 12, 64008. [Google Scholar] [CrossRef]
- Li, G.; Xu, X.; Bai, G.; Carver, B.F.; Hunger, R.; Bonman, J.M.; Kolmer, J.; Dong, H. Genome-Wide Association Mapping Reveals Novel QTL for Seedling Leaf Rust Resistance in a Worldwide Collection of Winter Wheat. Plant Genome 2016, 9. [Google Scholar] [CrossRef] [PubMed]
- Kumar, S.; Archak, S.; Tyagi, R.K.; Kumar, J.; Vikas, V.K.; Jacob, S.R.; Srinivasan, K.; Radhamani, J.; Parimalan, R.; Sivaswamy, M.; et al. Evaluation of 19,460 wheat accessions conserved in the indian national genebank to identify new sources of resistance to rust and spot blotch diseases. PLoS ONE 2016, 11, e0167702. [Google Scholar] [CrossRef] [PubMed]
- Guttieri, M.J.; Frels, K.; Regassa, T.; Waters, B.M.; Baenziger, P.S. Variation for nitrogen use efficiency traits in current and historical great plains hard winter wheat. Euphytica 2017, 213, 1–18. [Google Scholar] [CrossRef]
© 2017 by the authors. Licensee MDPI, Basel, Switzerland. This article is an open access article distributed under the terms and conditions of the Creative Commons Attribution (CC BY) license (http://creativecommons.org/licenses/by/4.0/).



