Key Variables for Decision-Making on Urban Renewal in China: A Case Study of Chongqing
Abstract
:1. Introduction
2. Identifying Influence Indices Based on a Literature Review
3. Extraction and Analysis of the Key Variables Based on Questionnaire Surveys and Factor Analysis
3.1. Questionnaire Design and Distribution
3.2. Extraction of Key Variables for Decision-Making on Urban Renewal
3.2.1. Reliability Analysis
3.2.2. Key Variable Extraction
3.2.3. Key Variables Analysis
3.3. Key Variable Importance Sequencing
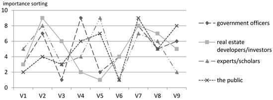
3.4. Comparative Analysis on the Importance of Key Variables among Different Groups of Stakeholders
4. Applications of Key Variables for Decision-Making on Urban Renewal
4.1. Application of Time Sequence for Urban Renewal Projects
4.2. Application of Decision-Maker Diversification
4.3. Application of Decision-Making Model Innovation
4.4. Application of Optimisation of Participants in Decision-Making Processes
5. Conclusions
Acknowledgments
Author Contributions
Conflicts of Interest
References
- Zavadskas, E.K.; Antucheviciene, J. Multiple criteria evaluation of rural building’s regeneration alternatives. Build. Environ. 2007, 42, 436–451. [Google Scholar] [CrossRef]
- Couch, C.; Fraser, C.; Percy, S. Urban Regeneration in Europe, 3rd ed.; John Wiley & Sons: Blackwell, London, UK, 2008. [Google Scholar]
- Adams, D.; Hastings, E.M. Urban renewal in Hong Kong: Transition from development corporation to renewal authority. Land Use Policy 2001, 18, 245–258. [Google Scholar] [CrossRef]
- Wang, H.; Shen, Q.P.; Tang, B.S.; Lu, C.; Peng, Y.; Tang, L.Y. A framework of decision-making factors and supporting information for facilitating sustainable site planning in urban renewal projects. Cities 2014, 40, 44–55. [Google Scholar] [CrossRef]
- Juan, Y.K.; Roper, K.O.; Castro-Lacouture, D.; Kim, J.H. Optimal decision making on urban renewal projects. Manag. Decis. 2010, 48, 207–224. [Google Scholar] [CrossRef]
- Hurst, J.M. Urban regeneration policy and governing networks. In The Impact of Networks on Unemployment; Palgrave Macmillan: London, UK, 2016; pp. 127–158. [Google Scholar]
- Zhang, G.L. Towards three-way partnership in urban regeneration: The Western experience and implications to Chinese cities. Urban Stud. 2004, 11, 26–32. [Google Scholar]
- Zhai, B.Q.; Ng, M.K. Urban regeneration and its realities in urban China. Urban Plan. Forum 2009, 180, 75–82. [Google Scholar]
- Laprise, M.; Lufkin, S.; Rey, E. An indicator system for the assessment of sustainability integrated into the project dynamics of regeneration of disused urban areas. Build. Environ. 2015, 86, 29–38. [Google Scholar] [CrossRef]
- Chan, E.; Lee, G.K.L. Critical factors for improving social sustainability of urban renewal projects. Soc. Indic. Res. 2008, 85, 243–256. [Google Scholar] [CrossRef]
- Lee, G.K.L.; Chan, E.H.W. The Analytic Hierarchy Process (AHP) approach for assessment of urban renewal proposals. Soc. Indic. Res. 2008, 89, 155–168. [Google Scholar] [CrossRef]
- Alpopia, C.; Manole, M. Integrated urban regeneration—Solution for cities revitalize. Procedia Econ. Financ. 2013, 6, 178–185. [Google Scholar] [CrossRef]
- Adair, A.; Berry, J.; McGreal, S.; Quinn, A. Factors Affecting the Level and Form of Private Investment in Regeneration. Report to the Office of the Deputy Prime Minister; 2002. Available online: www.communities.gov.uk (accessed on 19 March 2015). [Google Scholar]
- Adair, A.; Berry, J.; Mcgreal, S.; Deddis, B.; Hirst, S. Evaluation of investor behavior in urban regeneration. Urban Stud. 1999, 36, 2031–2045. [Google Scholar] [CrossRef]
- Nappi-Choulet, I. The role and behavior of commercial property investors and developers in French urban regeneration: The experience of the Paris region. Urban Stud. 2005, 43, 1511–1535. [Google Scholar] [CrossRef]
- Frantál, B.; Josef, K.; Klusáček, P.; Martinát, S. Assessing success factors of brownfields regeneration: International an inter-stakeholder perspective. Transylv. Rev. Adm. Sci. 2015, 44E, 91–107. [Google Scholar]
- Sun, L.H.; Yan, Z.B. Main motive factor and its function mechanism of urban renewal. Urban Plan. Soc. China 2004, 16, 139–140. [Google Scholar]
- Zhao, W. Research on the Strategy of Urban Renewal; Lanzhou University: Lanzhou, China, 2008; Available online: http://en.cnki.com.cn/ (accessed on 08 December 2014).
- Liu, Y.; Zhao, M. Exploration of Appraisal Methods for Urban Renovation Projects. Urban. Archit. 2006, 12, 18–20. [Google Scholar]
- Wang, A.; Hu, Y.; Li, L.; Liu, B. Group decision making model of urban renewal based on sustainable development: public participation perspective. Procedia Eng. 2016, 145, 1509–1517. [Google Scholar] [CrossRef]
- Rădulescu, C.M.; Ştefan, O.; Rădulescu, G.M.; Rădulescu, A.T.; Rădulescu, M.V. Management of stakeholders in urban regeneration projects. Case study: Baia-Mare, Transylvania. Sustainability 2016, 8, 238. [Google Scholar] [CrossRef]
- Zhou, T.; Zhou, Y.L. Fuzzy comprehensive evaluation of urban regeneration decision-making based on entropy weight method: Case study of yuzhong peninsula, China. J. Intell. Fuzzy Syst. 2015, 29, 2661–2668. [Google Scholar] [CrossRef]
- Mao, Y.H.; Li, H.Y.; Xu, Q.R. The mode of urban renewal base on the smart city theory under the background of new urbanization. Front. Eng. Manag. 2015, 2, 261–265. [Google Scholar] [CrossRef]
- Weng, H. Course & Characteristics of Renewal of Appearance of Foreign Cities’ and Some Enlightenment. Fujian Archit. Constr. 2006, 101. [Google Scholar]
- Yan, R.G.; Zhou, S.H.; Yan, X.P. Studies of Urban Regeneration. Prog. Geogr. 2011, 30, 947–955. [Google Scholar]
- Nunnally, J.C. Psychometric Theory; McGraw-Hill: New York, NY, USA, 1978. [Google Scholar]
- Wu, M.L. Questionnaire Statistical Analysis Practice-SPSS Operation and Application; Chongqing University Press: Chongqing, China, 2010. [Google Scholar]
- Lees, L. The urban injustices of new Labour’s “New Urban Renewal”: The case of the Aylesbury Estate in London. Antipode 2014, 46, 921–947. [Google Scholar] [CrossRef]
- Zhou, H.R.; Zheng, P.E.; Zhang, Y.; Qin, W.F. Fuzzy Comprehensive Evaluation of Group Decision-making Based on Entropy Weight Method. Stat. Decis. Mak. 2008, 8, 34–36. [Google Scholar]
- Yang, R.J. An investigation of stakeholder analysis in urban development projects: Empirical or rationalistic perspectives. Int. J. Proj. Manag. 2014, 32, 838–849. [Google Scholar] [CrossRef]
- Van Bortel, G. Network governance in action: The case of Groningen complex decision-making in urban regeneration. J. Hous. Built Environ. 2009, 24, 167–183. [Google Scholar] [CrossRef]
- Lehmann, S. Keeping the existing: Lina Bo Bardi’s upcycling and urban renewal strategies. In Sustainable Lina; Springer: Cham, Switzerland, 2016; pp. 51–70. [Google Scholar]
- Komakech, M.D.; Jackson, S.F. A study of the role of small ethnic retail grocery stores in urban renewal in a social housing project, Toronto, Canada. J. Urban Health 2016, 93, 414–424. [Google Scholar] [CrossRef] [PubMed]





| Author | Key Variables |
|---|---|
| Wang et al. 2014 [4] | Vegetation rate; noise pollution; local population; local employment; property values; rents; legal boundaries; land ownership; statutory requirements for development; current land uses; neighbouring land uses; road network; traffic volume; internal circulation; access to major living services; utilities for basic housing; visual quality; solar access; wind direction |
| Chan et al. 2008 [10] | Satisfaction of welfare requirements; conservation of resources & the surroundings; creation of harmonious living environment; provision facilitating daily life operations; form of development; availability of open spaces |
| Adair et al. 2002 [13] | Rates of capital appreciation; rental growth; quality neighbouring environment; grant regimes; construction and land costs; taxation breaks; investment risk; complexity of management; public/private sector partnerships; quality of development; market conditions; quality of labour force |
| Adair et al. 1999 [14] | Perceived total return; security of investment/spreading of risk; new business opportunities; competitor behaviour; company image; social/community reasons |
| Nappi-Choulet, 2005 [15] | Expected return; diversification benefits; risks (risk-level and risk-return); new business opportunities; exit strategies |
| Frantál et al. 2015 [16] | Foreign direct investments; physical conditions; national policy; information availability; financial incentives; size of brownfield area; ecological burden; concentration of brownfields; project quality and feasibility; infrastructure networks |
| Sun and Yan, 2004 [17] | Laws and regulations and planning management (the government); economic interests (real estate developers); recommended measures, publicity and education (experts); the improvement of material conditions and the demolition compensation (the public) |
| Zhao, 2008 [18] | National policy, investment, construction, etc. (external tension); contradiction between supply and demand in land and housing, demand for environmental quality improvement; adjustment for demand of network structure; public resource distribution; the gap of living conditions (internal thrust) |
| Liu and Zhao, 2006 [19] | Regeneration policy; economic benefit; social and cultural benefit; ecological benefit |
| Wang et al. 2016 [20] | City economic; civil benefit; environment; historical and cultural heritage protection; civil participation |
| No. | Index | No. | Index |
|---|---|---|---|
| I1 | Geology (Terrain, Seismic hazards, Landslide hazards) | I42 | Differences in the average level of urban real estate market |
| I2 | Topography (Elevation, Slope gradient, Slope aspect) | I43 | Participation and cooperation of the government |
| I3 | Climate (Solar access, Wind direction) | I44 | Local development strategy |
| I4 | Land use type | I45 | Urban planning |
| I5 | Building use life | I46 | Local marketing |
| I6 | Building quality | I47 | Financial incentive |
| I7 | Building function layout | I48 | Landscape protection restriction |
| I8 | Building appearance | I49 | Total population |
| I9 | Building density | I50 | The proportion of floating population and permanent residents |
| I10 | Average area of each building | I51 | Employment rate |
| I11 | Total building area of the district | I52 | Occupation |
| I12 | Discrepancy between the building and surroundings | I53 | Income |
| I13 | Kindergarten, primary school, middle school | I54 | Employment opportunity |
| I14 | Hospital, clinic | I55 | Job skills |
| I15 | Commercial bank | I56 | Internal social contact |
| I16 | Shopping center | I57 | External connection |
| I17 | Sports facilities | I58 | Education level |
| I18 | Open space | I59 | Medical condition and level |
| I19 | Water supply | I60 | Crime and social security |
| I20 | Electricity supply | I61 | The number and level of landmark heritage |
| I21 | Gas supply | I62 | The uniqueness of Architectural/landscape |
| I22 | Sewerage | I63 | Housing demolition and relocation difficulty |
| I23 | Road network setup | I64 | Housing demolition and relocation cost |
| I24 | Traffic flow | I65 | Relocation compensation method (monetary compensation/housing compensation) |
| I25 | Functional area traffic | I66 | Resettlement method |
| I26 | External public transportation | I67 | Land use and building type |
| I27 | Greening rate | I68 | Land and construction costs |
| I28 | Vegetation type | I69 | Total return/internal rate of return |
| I29 | Air quality | I70 | Investment time period |
| I30 | Water quality | I71 | The opportunity for investors to participate in real estate cycle |
| I31 | Soil pollution | I72 | New business opportunity |
| I32 | Noise pollution | I73 | Impact on corporate image |
| I33 | Light pollution | I74 | Competitor behavior |
| I34 | Discrepancy between the environment and surroundings | I75 | Relationship with government |
| I35 | GDP (Gross domestic product) | I76 | Labor market condition |
| I36 | Commercial activity (commercial scale, level and pulling power) | I77 | Investment security/risk spread |
| I37 | Business investment and investment enterprise status | I78 | Enterprise exit strategy |
| I38 | Differences with the average level of urban economy | I79 | Competitive regional function positioning |
| I39 | Local real estate investment | I80 | Amount of investment attracted by competitive area |
| I40 | Local land and housing price | I81 | Amount of population absorbed by competitive area |
| I41 | Local rent level | I82 | Competitive regional development/updating effect |
| Key Variables | Index | Index | FL1 | CEV2 | Key Variables | Index | Index | FL1 | CEV2 |
|---|---|---|---|---|---|---|---|---|---|
| V1 | I51 | I’1 | 0.663 | 14.305 | V4 | I63 | I’24 | 0.798 | 46.651 |
| I52 | I’2 | 0.765 | I64 | I’25 | 0.820 | ||||
| I53 | I’3 | 0.732 | I65 | I’26 | 0.890 | ||||
| I54 | I’4 | 0.805 | I66 | I’27 | 0.844 | ||||
| I55 | I’5 | 0.793 | I67 | I’28 | 0.756 | ||||
| I56 | I’6 | 0.752 | V5 | I19 | I’29 | 0.870 | 55.434 | ||
| I57 | I’7 | 0.747 | I20 | I’30 | 0.875 | ||||
| I58 | I’8 | 0.734 | I21 | I’31 | 0.886 | ||||
| I59 | I’9 | 0.608 | I22 | I’32 | 0.729 | ||||
| V2 | I35 | I’10 | 0.770 | 27.037 | V6 | I30 | I’33 | 0.641 | 62.658 |
| I36 | I’11 | 0.806 | I31 | I’34 | 0.797 | ||||
| I37 | I’12 | 0.856 | I32 | I’35 | 0.785 | ||||
| I38 | I’13 | 0.816 | I33 | I’36 | 0.753 | ||||
| I39 | I’14 | 0.783 | V7 | I43 | I’37 | 0.665 | 68.969 | ||
| I40 | I’15 | 0.610 | I44 | I’38 | 0.806 | ||||
| I41 | I’16 | 0.651 | I45 | I’39 | 0.828 | ||||
| I42 | I’17 | 0.743 | V8 | I7 | I’40 | 0.603 | 74.139 | ||
| V3 | I13 | I’18 | 0.653 | 36.867 | I9 | I’41 | 0.735 | ||
| I14 | I’19 | 0.672 | I10 | I’42 | 0.684 | ||||
| I15 | I’20 | 0.720 | I11 | I’43 | 0.570 | ||||
| I16 | I’21 | 0.747 | V9 | I73 | I’44 | 0.715 | 78.188 | ||
| I17 | I’22 | 0.751 | I74 | I’45 | 0.658 | ||||
| I18 | I’23 | 0.691 |
| Key Variables | Index | Hi | Wi | CW 1 | Key Variables | Index | Hi | Wi | CW 1 |
|---|---|---|---|---|---|---|---|---|---|
| V1 | I’1 | 0.9900 | 0.0210 | 0.0256 | V4 | I’24 | 0.9924 | 0.0159 | 0.0192 |
| I’2 | 0.9885 | 0.0241 | I’25 | 0.9918 | 0.0172 | ||||
| I’3 | 0.9883 | 0.0245 | I’26 | 0.9909 | 0.0191 | ||||
| I’4 | 0.9889 | 0.0233 | I’27 | 0.9902 | 0.0206 | ||||
| I’5 | 0.9881 | 0.0249 | I’28 | 0.9889 | 0.0233 | ||||
| I’6 | 0.9845 | 0.0325 | V5 | I’29 | 0.9879 | 0.0254 | 0.0241 | ||
| I’7 | 0.9862 | 0.0289 | I’30 | 0.9888 | 0.0234 | ||||
| I’8 | 0.9870 | 0.0273 | I’31 | 0.9890 | 0.0232 | ||||
| I’9 | 0.9888 | 0.0235 | I’32 | 0.9883 | 0.0246 | ||||
| V2 | I’10 | 0.9883 | 0.0246 | 0.0173 | V6 | I’33 | 0.9840 | 0.0336 | 0.0274 |
| I’11 | 0.9921 | 0.0165 | I’34 | 0.9886 | 0.0239 | ||||
| I’12 | 0.9926 | 0.0155 | I’35 | 0.9880 | 0.0252 | ||||
| I’13 | 0.9926 | 0.0155 | I’36 | 0.9872 | 0.0268 | ||||
| I’14 | 0.9914 | 0.0180 | V7 | I’37 | 0.9927 | 0.0153 | 0.0159 | ||
| I’15 | 0.9941 | 0.0123 | I’38 | 0.9926 | 0.0156 | ||||
| I’16 | 0.9919 | 0.0169 | I’39 | 0.9920 | 0.0168 | ||||
| I’17 | 0.9910 | 0.0189 | V8 | I’40 | 0.9912 | 0.0185 | 0.0218 | ||
| V3 | I’18 | 0.9890 | 0.0230 | 0.0255 | I’41 | 0.9897 | 0.0216 | ||
| I’19 | 0.9894 | 0.0222 | I’42 | 0.9868 | 0.0277 | ||||
| I’20 | 0.9875 | 0.0263 | I’43 | 0.9907 | 0.0195 | ||||
| I’21 | 0.9891 | 0.0229 | V9 | I’44 | 0.9901 | 0.0207 | 0.0208 | ||
| I’22 | 0.9868 | 0.0278 | I’45 | 0.9901 | 0.0208 | ||||
| I’23 | 0.9853 | 0.0308 |
| Importance Sorting | Government Officers | Real Estate Developers/Investors and Employees | Experts/Scholars | The Public |
|---|---|---|---|---|
| 1 | V3 | V5 | V6 | V6 |
| 2 | V5 | V4 | V9 | V1 |
| 3 | V1 | V1 | V3 | V3 |
| 4 | V6 | V6 | V4 | V2 |
| 5 | V8 | V9 | V1 | V8 |
| 6 | V9 | V3 | V8 | V4 |
| 7 | V2 | V8 | V7 | V5 |
| 8 | V7 | V7 | V2 | V9 |
| 9 | V4 | V2 | V5 | V7 |
| Urban Renewal Decision-Making Level | Participants | |||||
|---|---|---|---|---|---|---|
| Current Situation | Optimization | |||||
| The Government | Market Entity | The Public | The Government | Market Entity | The Public | |
| Master planning | ● | ○ | ○ | ● | ○ | ● |
| Area planning | ● | ○ | ○ | ● | ● | ● |
| Project planning | ○ | ● | ○ | ● | ● | ● |
| Project implementation | ○ | ● | ○ | ○ | ● | ○ |
© 2017 by the authors. Licensee MDPI, Basel, Switzerland. This article is an open access article distributed under the terms and conditions of the Creative Commons Attribution (CC BY) license ( http://creativecommons.org/licenses/by/4.0/).
Share and Cite
Zhou, T.; Zhou, Y.; Liu, G. Key Variables for Decision-Making on Urban Renewal in China: A Case Study of Chongqing. Sustainability 2017, 9, 370. https://doi.org/10.3390/su9030370
Zhou T, Zhou Y, Liu G. Key Variables for Decision-Making on Urban Renewal in China: A Case Study of Chongqing. Sustainability. 2017; 9(3):370. https://doi.org/10.3390/su9030370
Chicago/Turabian StyleZhou, Tao, Yulin Zhou, and Guiwen Liu. 2017. "Key Variables for Decision-Making on Urban Renewal in China: A Case Study of Chongqing" Sustainability 9, no. 3: 370. https://doi.org/10.3390/su9030370
APA StyleZhou, T., Zhou, Y., & Liu, G. (2017). Key Variables for Decision-Making on Urban Renewal in China: A Case Study of Chongqing. Sustainability, 9(3), 370. https://doi.org/10.3390/su9030370
