Optimization of Evacuation Warnings Prior to a Hurricane Disaster
Abstract
:1. Introduction
2. Literature Review
2.1. Hurricane Evacuation Planning
2.2. Hurricane Evacuation Warning
2.3. Hurricane Evacuation Response Rate
3. Research Methodology
3.1. Notation
3.2. Objective and Process
- Identification of danger zones: Identification of risky areas that need to be evacuated depends on the severity of hurricanes. Division of the risky area into geographic zones, and census tract boundaries are used in this study, as this facilitates the generation of population information. Location of evacuation zone nodes according to the size and location of the tracts is accomplished using zone centroids.
- Identification of evacuation routes: After locating the evacuation zone nodes and shelter nodes, we need to determine the routes that evacuees could take. We assume that all evacuees who evacuate by themselves would like to evacuate using the shortest path. Thus, we calculate the shortest paths from each evacuation zone to each shelter by using Dijkstra’s algorithm. However, we note that if more information on realistic route choice decisions are available, this can be used to define .
- Assignment to shelters: Usually, government agencies set up shelters that are safety areas in response to a hurricane. Considering the capacity of each evacuation shelter, it is typically impossible to accommodate all the people if all evacuees choose the nearest destination. We use a shelter allocation model to assign evacuees from different zones to specific shelters, so as to minimize the total evacuation distance without exceeding the capacity of each shelter. Moreover, when we decide which shelter to use, the route to the destination is determined () due to the assumption of choosing the shortest path.
- Evacuation warning optimization: After the above steps, all the input data of our hurricane evacuation warning model are obtained. This model maximizes the total number of evacuees by controlling the spread of warning messages. Its output is an evacuation warning schedule, which provides government decision-maker specific suggestions of spreading warning messages.
3.3. Mathematical Models
3.3.1. Shelter Allocation
3.3.2. Hurricane Evacuation Warning
3.4. Discussion
4. Case Study
4.1. Data Collection
4.1.1. Traffic Evacuation Zones and Shelter Locations
4.1.2. Other Parameters and Assumptions
4.2. Analysis of Results
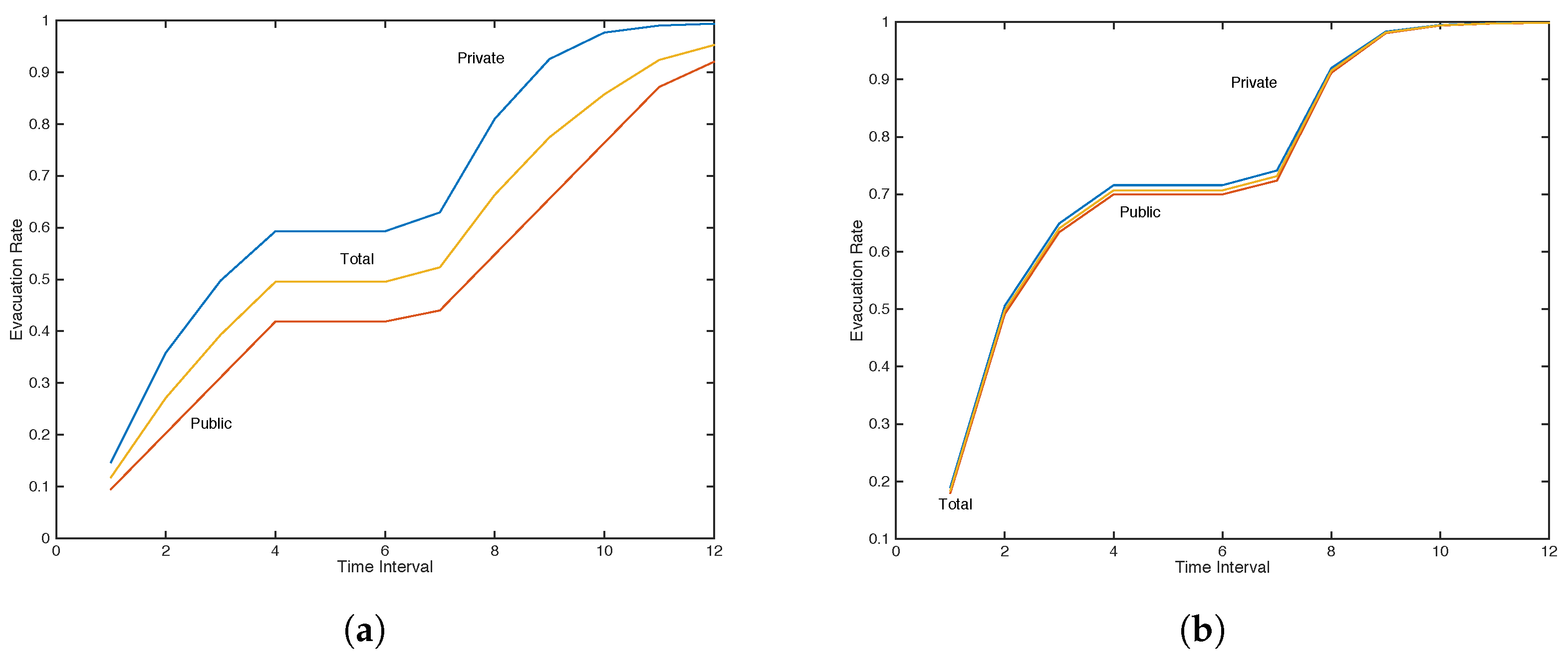
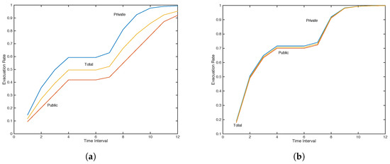
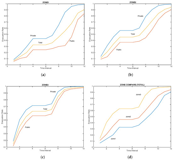
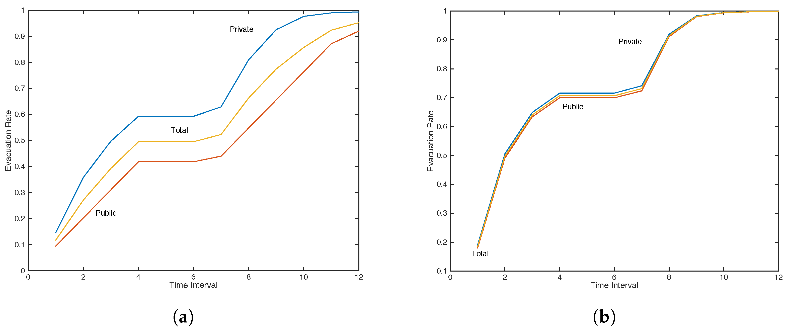
4.2.1. Computational Results
4.2.2. Adjustment of Response Rate
- Step 0. All the data inputs are the same as the previous case study.
- Step 1. Solve the shelter allocation model and hurricane evacuation model of time period 1 (Model ()) by using Gurobi.
- Step 2. Adjust values of response rate at time period 2 as . Then, update this parameter along with obtained from Model (), input to Model (), and solve the linear problem ().
- Step 3. For time periods 3–6, repeat the iterative procedure with updated values by using the solution of the previous time period (). Other parameters are the same as the previous case study. Although during time periods 3–6 are the same as the previous case study, because of the changing of , the results for time periods 3–6 are different.
- Step 4. For time periods 7–12, similar to step 2, updated values of each iteration, in addition to values, and then get the result of the whole warning schedule.
4.2.3. Result Comparison
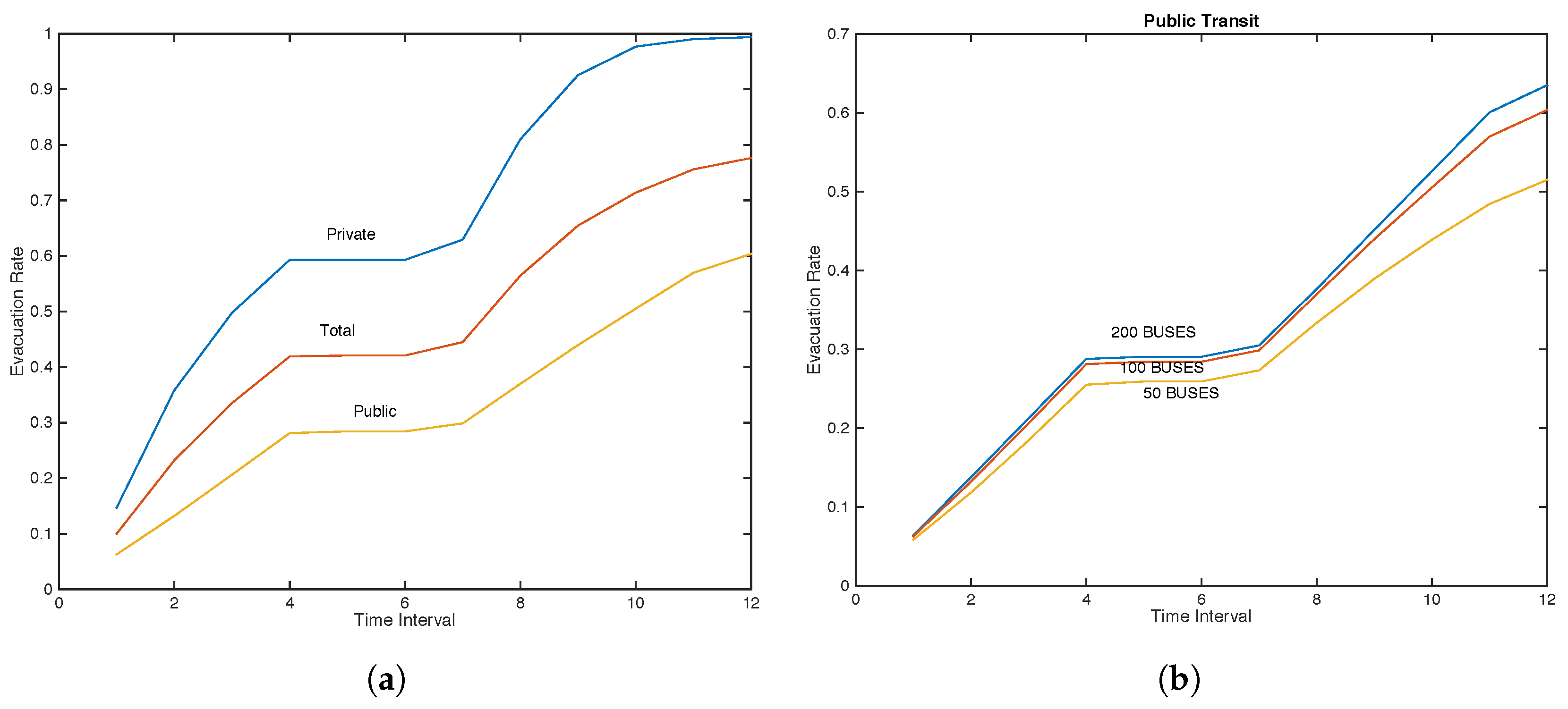
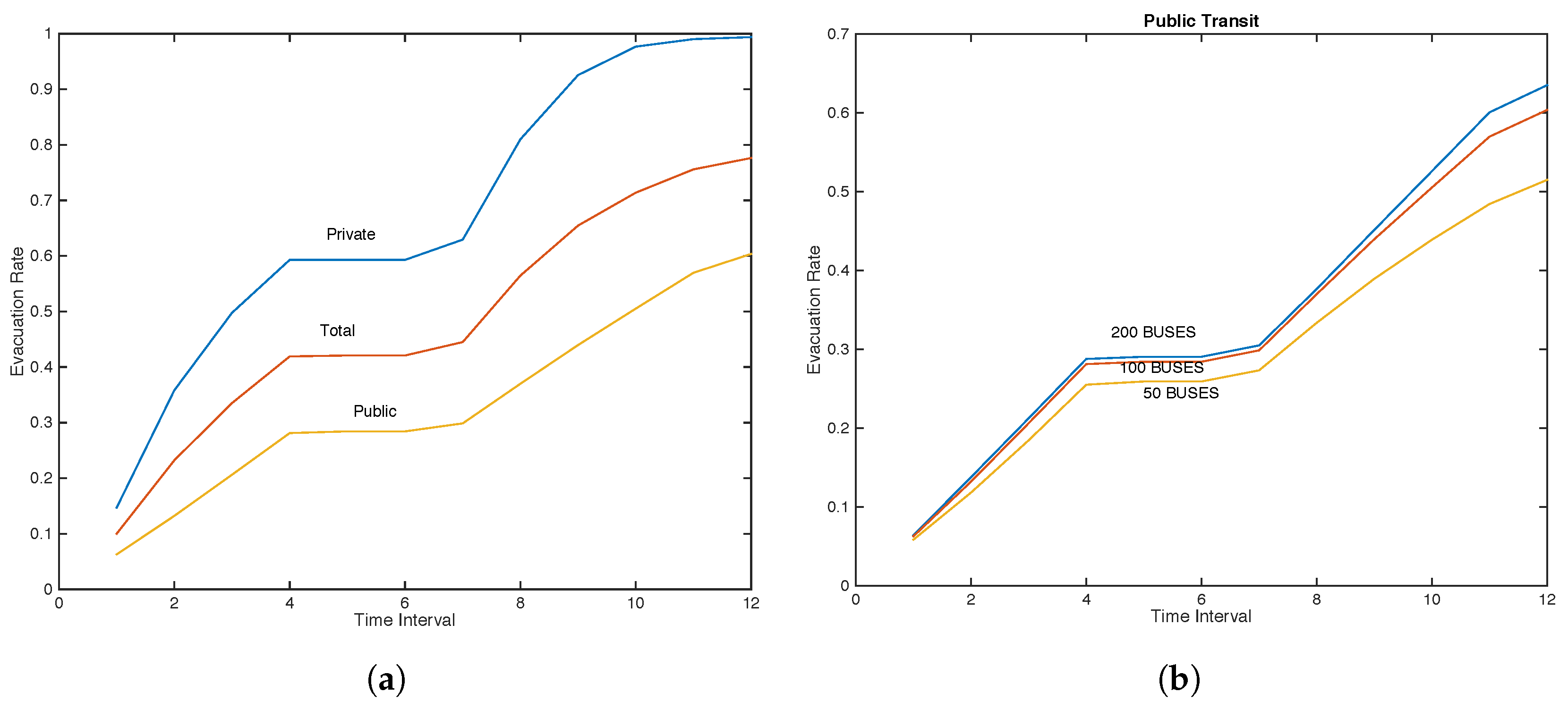
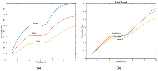
4.2.4. Evacuate by Public Transit
- Demand arrival time period: 1 min;
- Evacuation period: 36 h, or 2160 min;
- Capacity of a bus: 56;
- Total number of available bus: 100;
- Balk threshold: 56 evacuees;
- Renege threshold: 45 min;
- Percentage of dissatisfied evacuees self-evacuation: 50%;
- Demand: When we apply our model to the Brooklyn region (experiment 1), we obtain the optimal solution for sending evacuation warnings. Based on this warning schedule, the public transportation demand of each time interval in experiment 1 (3 h/period) is calculated, and we make an assumption that the demand arrival distribution of each time interval fitted normal distribution in order to get the demand for each time period (1 min) at each pickup location.
5. Conclusions
Acknowledgments
Author Contributions
Conflicts of Interest
Abbreviations
| NYC | New York City |
| NDP | Network Design Problem |
| NWS | National Weather Service |
| NOAA | National Oceanic and Atmospheric Administration |
| NYCHA | New York City Housing Authority |
| QGIS | Quantum Geographic Information System |
| NYMTC | New York Metropolitan Transportation Council |
| AADT | Annual Average Daily Traffic |
| NYSDOT | New York State Department of Transportation |
| NYPD | New York Police Department |
Appendix A. Optimality of Iterative Procedure for a Single Zone Case
Appendix B. Counterexample for a Multiple Zone Case
- Number of people need to be evacuate at beginning in different zone : ;
- Capacity of different time : ;
- Response rate of different warning source type at different time : .
Appendix C. Parameter Used in the Case Study
| t = 1 | t = 2 | t = 3 | t = 4 | t = 5 | t = 6 | t = 7 | t = 8 | t = 9 | t = 10 | t = 11 | t = 12 | |
|---|---|---|---|---|---|---|---|---|---|---|---|---|
| , j = 1 | 0.132 | 0.332 | 0.232 | 0.132 | 0 | 0 | 0.032 | 0.632 | 0.732 | 0.632 | 0.532 | 0.332 |
| j = 2 | 0.134 | 0.334 | 0.234 | 0.134 | 0 | 0 | 0.034 | 0.634 | 0.734 | 0.634 | 0.534 | 0.334 |
| j = 3 | 0.136 | 0.336 | 0.236 | 0.136 | 0 | 0 | 0.036 | 0.636 | 0.736 | 0.636 | 0.536 | 0.336 |
| j = 4 | 0.138 | 0.338 | 0.238 | 0.138 | 0 | 0 | 0.038 | 0.638 | 0.738 | 0.638 | 0.538 | 0.338 |
| j = 5 | 0.152 | 0.352 | 0.252 | 0.152 | 0 | 0 | 0.052 | 0.652 | 0.752 | 0.652 | 0.552 | 0.353 |
| j = 6 | 0.153 | 0.353 | 0.253 | 0.153 | 0 | 0 | 0.053 | 0.653 | 0.753 | 0.653 | 0.553 | 0.353 |
| j = 7 | 0.154 | 0.354 | 0.254 | 0.154 | 0 | 0 | 0.054 | 0.654 | 0.754 | 0.654 | 0.554 | 0.354 |
| j = 8 | 0.155 | 0.355 | 0.255 | 0.155 | 0 | 0 | 0.055 | 0.655 | 0.755 | 0.655 | 0.555 | 0.355 |
| j = 9 | 0.156 | 0.356 | 0.256 | 0.156 | 0 | 0 | 0.056 | 0.656 | 0.756 | 0.656 | 0.556 | 0.356 |
| j = 10 | 0.157 | 0.357 | 0.257 | 0.157 | 0 | 0 | 0.057 | 0.657 | 0.757 | 0.657 | 0.557 | 0.357 |
| j = 11 | 0.172 | 0.372 | 0.272 | 0.172 | 0 | 0 | 0.072 | 0.672 | 0.772 | 0.672 | 0.572 | 0.372 |
| j = 12 | 0.174 | 0.374 | 0.274 | 0.174 | 0 | 0 | 0.074 | 0.674 | 0.774 | 0.674 | 0.574 | 0.374 |
| j = 13 | 0.176 | 0.376 | 0.276 | 0.176 | 0 | 0 | 0.076 | 0.676 | 0.776 | 0.676 | 0.576 | 0.376 |
| j = 14 | 0.178 | 0.378 | 0.278 | 0.178 | 0 | 0 | 0.078 | 0.678 | 0.778 | 0.678 | 0.578 | 0.378 |
| j = 15 | 0.19 | 0.39 | 0.29 | 0.19 | 0 | 0 | 0.09 | 0.69 | 0.79 | 0.69 | 0.59 | 0.39 |
| , j = 1 | 0.122 | 0.322 | 0.222 | 0.122 | 0 | 0 | 0.022 | 0.622 | 0.722 | 0.622 | 0.522 | 0.322 |
| j = 2 | 0.124 | 0.324 | 0.224 | 0.124 | 0 | 0 | 0.024 | 0.624 | 0.724 | 0.624 | 0.524 | 0.324 |
| j = 3 | 0.126 | 0.326 | 0.226 | 0.126 | 0 | 0 | 0.026 | 0.626 | 0.726 | 0.626 | 0.526 | 0.326 |
| j = 4 | 0.128 | 0.328 | 0.228 | 0.128 | 0 | 0 | 0.028 | 0.628 | 0.728 | 0.628 | 0.528 | 0.328 |
| j = 5 | 0.142 | 0.342 | 0.242 | 0.142 | 0 | 0 | 0.042 | 0.642 | 0.742 | 0.642 | 0.542 | 0.342 |
| j = 6 | 0.143 | 0.343 | 0.243 | 0.143 | 0 | 0 | 0.043 | 0.643 | 0.743 | 0.643 | 0.543 | 0.343 |
| j = 7 | 0.144 | 0.344 | 0.244 | 0.144 | 0 | 0 | 0.044 | 0.644 | 0.744 | 0.644 | 0.544 | 0.344 |
| j = 8 | 0.145 | 0.345 | 0.245 | 0.145 | 0 | 0 | 0.045 | 0.645 | 0.745 | 0.645 | 0.545 | 0.345 |
| j = 9 | 0.146 | 0.346 | 0.246 | 0.146 | 0 | 0 | 0.046 | 0.646 | 0.746 | 0.646 | 0.546 | 0.346 |
| j = 10 | 0.147 | 0.347 | 0.247 | 0.147 | 0 | 0 | 0.047 | 0.647 | 0.747 | 0.647 | 0.547 | 0.347 |
| j = 11 | 0.162 | 0.362 | 0.262 | 0.162 | 0 | 0 | 0.062 | 0.662 | 0.762 | 0.662 | 0.562 | 0.362 |
| j = 12 | 0.164 | 0.364 | 0.264 | 0.164 | 0 | 0 | 0.064 | 0.664 | 0.764 | 0.664 | 0.564 | 0.364 |
| j = 13 | 0.166 | 0.366 | 0.266 | 0.166 | 0 | 0 | 0.066 | 0.666 | 0.766 | 0.666 | 0.566 | 0.366 |
| j = 14 | 0.168 | 0.368 | 0.268 | 0.168 | 0 | 0 | 0.068 | 0.668 | 0.768 | 0.668 | 0.568 | 0.368 |
| j = 15 | 0.18 | 0.38 | 0.28 | 0.18 | 0 | 0 | 0.08 | 0.68 | 0.78 | 0.68 | 0.58 | 0.38 |
Appendix D. Results of the Case Study
| Zone/Time | T1 | T2 | T3 | T4 | T5 | T6 | T7 | T8 | T9 | T10 | T11 | T12 |
|---|---|---|---|---|---|---|---|---|---|---|---|---|
| Z1 | 15 | 15 | 15 | 15 | 0 | 0 | 15 | 15 | 15 | 15 | 15 | 15 |
| Z2 | 15 | 15 | 15 | 15 | 0 | 0 | 15 | 15 | 15 | 15 | 15 | 15 |
| Z3 | 15 | 15 | 15 | 15 | 0 | 0 | 15 | 15 | 15 | 15 | 15 | 15 |
| Z4 | 15 | 15 | 15 | 15 | 0 | 0 | 15 | 15 | 15 | 15 | 15 | 15 |
| Z5 | 15 | 15 | 15 | 15 | 0 | 0 | 15 | 15 | 15 | 15 | 15 | 15 |
| Z6 | 15 | 15 | 15 | 15 | 0 | 0 | 15 | 15 | 15 | 15 | 15 | 15 |
| Z7 | 15 | 15 | 15 | 15 | 0 | 0 | 15 | 15 | 15 | 15 | 15 | 15 |
| Z8 | 15 | 15 | 15 | 15 | 0 | 0 | 15 | 15 | 15 | 15 | 15 | 15 |
| Z9 | 15 | 15 | 15 | 15 | 0 | 0 | 15 | 15 | 15 | 15 | 15 | 15 |
| Z10 | 15 | 15 | 15 | 15 | 0 | 0 | 15 | 15 | 15 | 15 | 15 | 15 |
| Z11 | 15 | 15 | 15 | 15 | 0 | 0 | 15 | 15 | 15 | 15 | 15 | 15 |
| Z12 | 15 | 15 | 15 | 15 | 0 | 0 | 15 | 15 | 15 | 15 | 15 | 15 |
| Z13 | 0 | 0 | 15 | 15 | 0 | 0 | 15 | 15 | 15 | 15 | 15 | 15 |
| Z14 | 15 | 0 | 15 | 15 | 0 | 0 | 15 | 15 | 15 | 15 | 15 | 15 |
| Z15 | 15 | 10 | 15 | 15 | 0 | 0 | 15 | 15 | 15 | 15 | 15 | 15 |
| Z16 | 15 | 15 | 15 | 15 | 0 | 0 | 15 | 15 | 15 | 15 | 15 | 15 |
| Z17 | 15 | 15 | 15 | 15 | 0 | 0 | 15 | 15 | 15 | 15 | 15 | 15 |
| Z18 | 15 | 15 | 15 | 15 | 0 | 0 | 15 | 15 | 15 | 15 | 15 | 15 |
| Z19 | 15 | 15 | 15 | 15 | 0 | 0 | 15 | 15 | 15 | 15 | 15 | 15 |
| Z20 | 15 | 15 | 15 | 15 | 0 | 0 | 15 | 15 | 15 | 15 | 15 | 15 |
| Z21 | 15 | 15 | 15 | 15 | 0 | 0 | 15 | 15 | 15 | 15 | 15 | 15 |
| Z22 | 15 | 15 | 15 | 15 | 0 | 0 | 15 | 15 | 15 | 15 | 15 | 15 |
| Z23 | 15 | 15 | 15 | 15 | 0 | 0 | 15 | 15 | 15 | 15 | 15 | 15 |
| Z24 | 15 | 15 | 15 | 15 | 0 | 0 | 15 | 15 | 15 | 15 | 15 | 15 |
| Z25 | 15 | 15 | 15 | 15 | 0 | 0 | 15 | 15 | 15 | 15 | 15 | 15 |
| Z26 | 15 | 15 | 15 | 15 | 0 | 0 | 15 | 15 | 15 | 15 | 15 | 15 |
| Z27 | 15 | 15 | 15 | 15 | 0 | 0 | 15 | 15 | 15 | 15 | 15 | 15 |
| Z28 | 15 | 15 | 15 | 15 | 0 | 0 | 15 | 15 | 15 | 15 | 15 | 15 |
| Z29 | 15 | 15 | 15 | 15 | 0 | 0 | 15 | 15 | 15 | 15 | 15 | 15 |
| Z30 | 15 | 15 | 15 | 15 | 0 | 0 | 15 | 15 | 15 | 15 | 15 | 15 |
| Z31 | 15 | 15 | 15 | 15 | 0 | 0 | 15 | 15 | 15 | 15 | 15 | 15 |
| Z32 | 15 | 15 | 15 | 15 | 0 | 0 | 15 | 15 | 15 | 15 | 15 | 15 |
| Z33 | 15 | 15 | 15 | 15 | 0 | 0 | 15 | 15 | 15 | 15 | 15 | 15 |
| Z34 | 15 | 15 | 15 | 15 | 0 | 0 | 15 | 15 | 15 | 15 | 15 | 15 |
| Z35 | 15 | 15 | 15 | 15 | 0 | 0 | 15 | 15 | 15 | 15 | 15 | 15 |
| Z36 | 15 | 15 | 15 | 15 | 0 | 0 | 15 | 15 | 15 | 15 | 15 | 15 |
| Z37 | 15 | 15 | 15 | 15 | 0 | 0 | 15 | 15 | 15 | 15 | 15 | 15 |
| Z38 | 15 | 0 | 15 | 15 | 0 | 0 | 15 | 15 | 15 | 15 | 15 | 15 |
| Z39 | 15 | 15 | 15 | 15 | 0 | 0 | 15 | 15 | 15 | 15 | 15 | 15 |
| Z40 | 15 | 15 | 15 | 15 | 0 | 0 | 15 | 15 | 15 | 15 | 15 | 15 |
| Z41 | 15 | 15 | 15 | 15 | 0 | 0 | 15 | 15 | 15 | 15 | 15 | 15 |
| Z42 | 0 | 0 | 0 | 15 | 0 | 0 | 15 | 0 | 9 | 15 | 15 | 15 |
| Z43 | 15 | 15 | 15 | 15 | 0 | 0 | 15 | 15 | 15 | 15 | 15 | 15 |
| Z44 | 15 | 15 | 15 | 15 | 0 | 0 | 15 | 15 | 15 | 15 | 15 | 15 |
| Z45 | 15 | 15 | 15 | 15 | 0 | 0 | 15 | 15 | 15 | 15 | 15 | 15 |
| Z46 | 15 | 15 | 15 | 15 | 0 | 0 | 15 | 15 | 15 | 15 | 15 | 15 |
| Z47 | 15 | 15 | 15 | 15 | 0 | 0 | 15 | 15 | 15 | 15 | 15 | 15 |
| Z48 | 15 | 15 | 15 | 15 | 0 | 0 | 15 | 15 | 15 | 15 | 15 | 15 |
| Z49 | 15 | 15 | 15 | 15 | 0 | 0 | 15 | 15 | 15 | 15 | 15 | 15 |
| Z50 | 15 | 15 | 15 | 15 | 0 | 0 | 15 | 15 | 15 | 15 | 15 | 15 |
| Z51 | 15 | 15 | 15 | 15 | 0 | 0 | 15 | 15 | 15 | 15 | 15 | 15 |
| Z52 | 15 | 15 | 15 | 15 | 0 | 0 | 15 | 15 | 15 | 15 | 15 | 15 |
| Z53 | 15 | 0 | 15 | 15 | 0 | 0 | 15 | 15 | 15 | 15 | 15 | 15 |
| Z54 | 1 | 0 | 15 | 15 | 0 | 0 | 15 | 0 | 5 | 15 | 15 | 15 |
| Z55 | 15 | 15 | 15 | 15 | 0 | 0 | 15 | 15 | 15 | 15 | 15 | 15 |
| Z56 | 15 | 15 | 15 | 15 | 0 | 0 | 15 | 15 | 15 | 15 | 15 | 15 |
| Z57 | 0 | 0 | 0 | 15 | 0 | 0 | 15 | 0 | 0 | 15 | 15 | 15 |
| Z58 | 0 | 0 | 0 | 15 | 0 | 0 | 15 | 10 | 12 | 15 | 15 | 15 |
| Z59 | 0 | 0 | 0 | 15 | 0 | 0 | 15 | 0 | 0 | 15 | 15 | 15 |
| Z60 | 0 | 0 | 0 | 15 | 0 | 0 | 15 | 0 | 12 | 15 | 15 | 15 |
| Z61 | 0 | 0 | 0 | 15 | 0 | 0 | 15 | 0 | 10 | 15 | 15 | 15 |
| Z62 | 0 | 0 | 0 | 15 | 0 | 0 | 15 | 13 | 15 | 15 | 15 | 15 |
| Z63 | 0 | 0 | 1 | 15 | 0 | 0 | 15 | 0 | 12 | 15 | 15 | 15 |
| Z64 | 1 | 4 | 0 | 15 | 0 | 0 | 15 | 13 | 0 | 15 | 15 | 15 |
| Z65 | 5 | 0 | 0 | 15 | 0 | 0 | 15 | 0 | 0 | 15 | 15 | 15 |
| Z66 | 15 | 15 | 15 | 15 | 0 | 0 | 15 | 15 | 15 | 15 | 15 | 15 |
| Z67 | 15 | 15 | 15 | 15 | 0 | 0 | 15 | 15 | 15 | 15 | 15 | 15 |
| Z68 | 15 | 15 | 15 | 15 | 0 | 0 | 15 | 15 | 15 | 15 | 15 | 15 |
| Z69 | 15 | 15 | 15 | 15 | 0 | 0 | 15 | 15 | 15 | 15 | 15 | 15 |
| Z70 | 0 | 0 | 1 | 15 | 0 | 0 | 15 | 6 | 7 | 15 | 15 | 15 |
| Z71 | 15 | 15 | 15 | 15 | 0 | 0 | 15 | 15 | 15 | 15 | 15 | 15 |
Appendix E. The Updated
| t = 2 | t = 8 | t = 9 | t = 10 | t = 11 | t = 12 | |
|---|---|---|---|---|---|---|
| , j = 1 | 0.432 | 0.732 | 0.632 | 0.432 | 0.332 | 0.132 |
| j = 2 | 0.434 | 0.734 | 0.634 | 0.434 | 0.334 | 0.134 |
| j = 3 | 0.436 | 0.736 | 0.636 | 0.436 | 0.336 | 0.136 |
| j = 4 | 0.438 | 0.738 | 0.638 | 0.438 | 0.338 | 0.138 |
| j = 5 | 0.452 | 0.752 | 0.652 | 0.452 | 0.352 | 0.152 |
| j = 6 | 0.453 | 0.753 | 0.653 | 0.453 | 0.353 | 0.153 |
| j = 7 | 0.454 | 0.754 | 0.654 | 0.454 | 0.354 | 0.154 |
| j = 8 | 0.455 | 0.755 | 0.655 | 0.455 | 0.355 | 0.155 |
| j = 9 | 0.456 | 0.756 | 0.656 | 0.456 | 0.356 | 0.156 |
| j = 10 | 0.457 | 0.757 | 0.657 | 0.457 | 0.357 | 0.157 |
| j = 11 | 0.472 | 0.772 | 0.672 | 0.472 | 0.372 | 0.172 |
| j = 12 | 0.474 | 0.774 | 0.674 | 0.474 | 0.374 | 0.174 |
| j = 13 | 0.476 | 0.776 | 0.676 | 0.476 | 0.376 | 0.176 |
| j = 14 | 0.478 | 0.778 | 0.678 | 0.478 | 0.378 | 0.178 |
| j = 15 | 0.49 | 0.79 | 0.69 | 0.49 | 0.39 | 0.19 |
| , j = 1 | 0.422 | 0.722 | 0.622 | 0.422 | 0.322 | 0.122 |
| j = 2 | 0.424 | 0.724 | 0.624 | 0.424 | 0.324 | 0.124 |
| j = 3 | 0.426 | 0.726 | 0.626 | 0.426 | 0.326 | 0.126 |
| j = 4 | 0.428 | 0.728 | 0.628 | 0.428 | 0.328 | 0.128 |
| j = 5 | 0.442 | 0.742 | 0.642 | 0.442 | 0.342 | 0.142 |
| j = 6 | 0.443 | 0.743 | 0.643 | 0.443 | 0.343 | 0.143 |
| j = 7 | 0.444 | 0.744 | 0.644 | 0.444 | 0.344 | 0.144 |
| j = 8 | 0.445 | 0.745 | 0.645 | 0.445 | 0.345 | 0.145 |
| j = 9 | 0.446 | 0.746 | 0.646 | 0.446 | 0.346 | 0.146 |
| j = 10 | 0.447 | 0.747 | 0.647 | 0.447 | 0.347 | 0.147 |
| j = 11 | 0.462 | 0.762 | 0.662 | 0.462 | 0.362 | 0.162 |
| j = 12 | 0.464 | 0.764 | 0.664 | 0.464 | 0.364 | 0.164 |
| j = 13 | 0.466 | 0.766 | 0.666 | 0.466 | 0.366 | 0.166 |
| j = 14 | 0.468 | 0.768 | 0.668 | 0.568 | 0.368 | 0.168 |
| j = 15 | 0.48 | 0.78 | 0.68 | 0.48 | 0.38 | 0.18 |
Appendix F. Result of Adjustment
| Zone/Time | T1 | T2 | T3 | T4 | T5 | T6 | T7 | T8 | T9 | T10 | T11 | T12 |
|---|---|---|---|---|---|---|---|---|---|---|---|---|
| Z1 | 15 | 15 | 15 | 15 | 0 | 0 | 15 | 15 | 15 | 15 | 15 | 15 |
| Z2 | 15 | 15 | 15 | 15 | 0 | 0 | 15 | 15 | 15 | 15 | 15 | 15 |
| Z3 | 15 | 15 | 15 | 15 | 0 | 0 | 15 | 15 | 15 | 15 | 15 | 15 |
| Z4 | 15 | 11 | 15 | 15 | 0 | 0 | 15 | 15 | 15 | 15 | 15 | 15 |
| Z5 | 15 | 15 | 15 | 15 | 0 | 0 | 15 | 15 | 15 | 15 | 15 | 15 |
| Z6 | 15 | 15 | 15 | 15 | 0 | 0 | 15 | 15 | 15 | 15 | 15 | 15 |
| Z7 | 15 | 15 | 15 | 15 | 0 | 0 | 15 | 15 | 15 | 15 | 15 | 15 |
| Z8 | 15 | 15 | 15 | 15 | 0 | 0 | 15 | 15 | 15 | 15 | 15 | 15 |
| Z9 | 15 | 15 | 15 | 15 | 0 | 0 | 15 | 15 | 15 | 15 | 15 | 15 |
| Z10 | 15 | 15 | 15 | 15 | 0 | 0 | 15 | 15 | 15 | 15 | 15 | 15 |
| Z11 | 15 | 15 | 15 | 15 | 0 | 0 | 15 | 15 | 15 | 15 | 15 | 15 |
| Z12 | 15 | 15 | 15 | 15 | 0 | 0 | 15 | 15 | 15 | 15 | 15 | 15 |
| Z13 | 0 | 0 | 15 | 15 | 0 | 0 | 15 | 15 | 15 | 15 | 15 | 15 |
| Z14 | 15 | 0 | 15 | 15 | 0 | 0 | 15 | 15 | 15 | 15 | 15 | 15 |
| Z15 | 15 | 0 | 15 | 15 | 0 | 0 | 15 | 15 | 15 | 15 | 15 | 15 |
| Z16 | 15 | 15 | 15 | 15 | 0 | 0 | 15 | 15 | 15 | 15 | 15 | 15 |
| Z17 | 15 | 15 | 15 | 15 | 0 | 0 | 15 | 15 | 15 | 15 | 15 | 15 |
| Z18 | 15 | 15 | 15 | 15 | 0 | 0 | 15 | 15 | 15 | 15 | 15 | 15 |
| Z19 | 15 | 4 | 15 | 15 | 0 | 0 | 15 | 15 | 15 | 15 | 15 | 15 |
| Z20 | 15 | 15 | 15 | 15 | 0 | 0 | 15 | 15 | 15 | 15 | 15 | 15 |
| Z21 | 15 | 15 | 15 | 15 | 0 | 0 | 15 | 15 | 15 | 15 | 15 | 15 |
| Z22 | 15 | 15 | 15 | 15 | 0 | 0 | 15 | 15 | 15 | 15 | 15 | 15 |
| Z23 | 15 | 15 | 15 | 15 | 0 | 0 | 15 | 15 | 15 | 15 | 15 | 15 |
| Z24 | 15 | 15 | 15 | 15 | 0 | 0 | 15 | 15 | 15 | 15 | 15 | 15 |
| Z25 | 15 | 15 | 15 | 15 | 0 | 0 | 15 | 15 | 15 | 15 | 15 | 15 |
| Z26 | 15 | 15 | 15 | 15 | 0 | 0 | 15 | 15 | 15 | 15 | 15 | 15 |
| Z27 | 15 | 15 | 15 | 15 | 0 | 0 | 15 | 15 | 15 | 15 | 15 | 15 |
| Z28 | 15 | 15 | 15 | 15 | 0 | 0 | 15 | 15 | 15 | 15 | 15 | 15 |
| Z29 | 15 | 15 | 15 | 15 | 0 | 0 | 15 | 15 | 15 | 15 | 15 | 15 |
| Z30 | 15 | 15 | 15 | 15 | 0 | 0 | 15 | 15 | 15 | 15 | 15 | 15 |
| Z31 | 15 | 15 | 15 | 15 | 0 | 0 | 15 | 15 | 15 | 15 | 15 | 15 |
| Z32 | 15 | 15 | 15 | 15 | 0 | 0 | 15 | 15 | 15 | 15 | 15 | 15 |
| Z33 | 15 | 15 | 15 | 15 | 0 | 0 | 15 | 15 | 15 | 15 | 15 | 15 |
| Z34 | 15 | 15 | 15 | 15 | 0 | 0 | 15 | 15 | 15 | 15 | 15 | 15 |
| Z35 | 15 | 15 | 15 | 15 | 0 | 0 | 15 | 15 | 15 | 15 | 15 | 15 |
| Z36 | 15 | 15 | 15 | 15 | 0 | 0 | 15 | 15 | 15 | 15 | 15 | 15 |
| Z37 | 15 | 15 | 15 | 15 | 0 | 0 | 15 | 15 | 15 | 15 | 15 | 15 |
| Z38 | 15 | 0 | 15 | 15 | 0 | 0 | 15 | 15 | 15 | 15 | 15 | 15 |
| Z39 | 15 | 15 | 15 | 15 | 0 | 0 | 15 | 15 | 15 | 15 | 15 | 15 |
| Z40 | 15 | 15 | 15 | 15 | 0 | 0 | 15 | 15 | 15 | 15 | 15 | 15 |
| Z41 | 15 | 15 | 15 | 15 | 0 | 0 | 15 | 15 | 15 | 15 | 15 | 15 |
| Z42 | 0 | 0 | 0 | 15 | 0 | 0 | 15 | 0 | 15 | 15 | 15 | 15 |
| Z43 | 15 | 15 | 15 | 15 | 0 | 0 | 15 | 15 | 15 | 15 | 15 | 15 |
| Z44 | 15 | 15 | 15 | 15 | 0 | 0 | 15 | 15 | 15 | 15 | 15 | 15 |
| Z45 | 15 | 15 | 15 | 15 | 0 | 0 | 15 | 15 | 15 | 15 | 15 | 15 |
| Z46 | 15 | 15 | 15 | 15 | 0 | 0 | 15 | 15 | 15 | 15 | 15 | 15 |
| Z47 | 15 | 15 | 15 | 15 | 0 | 0 | 15 | 15 | 15 | 15 | 15 | 15 |
| Z48 | 15 | 15 | 15 | 15 | 0 | 0 | 15 | 15 | 15 | 15 | 15 | 15 |
| Z49 | 15 | 15 | 15 | 15 | 0 | 0 | 15 | 15 | 15 | 15 | 15 | 15 |
| Z50 | 15 | 15 | 15 | 15 | 0 | 0 | 15 | 15 | 15 | 15 | 15 | 15 |
| Z51 | 15 | 15 | 15 | 15 | 0 | 0 | 15 | 15 | 15 | 15 | 15 | 15 |
| Z52 | 15 | 15 | 15 | 15 | 0 | 0 | 15 | 15 | 15 | 15 | 15 | 15 |
| Z53 | 15 | 0 | 15 | 15 | 0 | 0 | 15 | 15 | 15 | 15 | 15 | 15 |
| Z54 | 1 | 0 | 0 | 15 | 0 | 0 | 15 | 1 | 5 | 15 | 15 | 15 |
| Z55 | 15 | 15 | 15 | 15 | 0 | 0 | 15 | 15 | 15 | 15 | 15 | 15 |
| Z56 | 15 | 15 | 15 | 15 | 0 | 0 | 15 | 15 | 15 | 15 | 15 | 15 |
| Z57 | 0 | 0 | 0 | 15 | 0 | 0 | 15 | 0 | 14 | 15 | 15 | 15 |
| Z58 | 0 | 0 | 0 | 15 | 0 | 0 | 15 | 10 | 2 | 15 | 15 | 15 |
| Z59 | 0 | 0 | 0 | 15 | 0 | 0 | 15 | 10 | 3 | 15 | 15 | 15 |
| Z60 | 0 | 0 | 0 | 15 | 0 | 0 | 15 | 0 | 0 | 15 | 15 | 15 |
| Z61 | 0 | 0 | 0 | 15 | 0 | 0 | 15 | 0 | 0 | 15 | 15 | 15 |
| Z62 | 0 | 0 | 15 | 15 | 0 | 0 | 15 | 2 | 15 | 15 | 15 | 15 |
| Z63 | 0 | 0 | 1 | 15 | 0 | 0 | 15 | 0 | 15 | 15 | 15 | 15 |
| Z64 | 1 | 0 | 0 | 15 | 0 | 0 | 15 | 1 | 15 | 15 | 15 | 15 |
| Z65 | 5 | 15 | 11 | 15 | 0 | 0 | 15 | 0 | 15 | 15 | 15 | 15 |
| Z66 | 15 | 15 | 15 | 15 | 0 | 0 | 15 | 15 | 15 | 15 | 15 | 15 |
| Z67 | 15 | 15 | 15 | 15 | 0 | 0 | 15 | 15 | 15 | 15 | 15 | 15 |
| Z68 | 15 | 15 | 15 | 15 | 0 | 0 | 15 | 15 | 15 | 15 | 15 | 15 |
| Z69 | 15 | 15 | 15 | 15 | 0 | 0 | 15 | 15 | 15 | 15 | 15 | 15 |
| Z70 | 0 | 0 | 15 | 15 | 0 | 0 | 15 | 0 | 15 | 15 | 15 | 15 |
| Z71 | 15 | 15 | 15 | 15 | 0 | 0 | 15 | 15 | 15 | 15 | 15 | 15 |
References
- Benfield. October 2012 Global Catastrophe Recap Impact Forecasting. 2013. Available online: http://thoughtleadership.aonbenfield.com/documents/201211_if_monthly_cat_recap_october.pdf (accessed on 7 July 2016).
- Sbayti, H.; Mahmassani, H. Optimal scheduling of evacuation operations. Transp. Res. Rec. 2006, 1964, 238–246. [Google Scholar] [CrossRef]
- Kulshrestha, A. Transit-Based Evacuation Planning under Demand Uncertainty; University of Florida: Gainesville, FL, USA, 2011. [Google Scholar]
- Litman, T. Lessons from Katrina and Rita: What major disasters can teach transportation planners. J. Transp. Eng. 2006, 132, 11–18. [Google Scholar] [CrossRef]
- Brown, C.; White, W.; van Slyke, C.; Benson, J.D. Development of a strategic hurricane evacuation-dynamic traffic assignment model for the Houston, Texas, Region. Transp. Res. Rec. 2010, 2137, 46–53. [Google Scholar] [CrossRef]
- Sherali, H.D.; Carter, T.B.; Hobeika, A.G. A location-allocation model and algorithm for evacuation planning under hurricane/flood conditions. Transp. Res. Part B 1991, 25, 439–452. [Google Scholar] [CrossRef]
- Nisha de Silva, F. Providing spatial decision support for evacuation planning: A challenge in integrating technologies. Disaster Prev. Manag. Int. J. 2001, 10, 11–20. [Google Scholar] [CrossRef]
- Stein, R.; Buzcu-Guven, B.; Duenas-Osorio, L.; Subramanian, D.; Kahle, D. How risk perceptions influence evacuations from hurricanes and compliance with government directives. Policy Stud. J. 2013, 41, 319–342. [Google Scholar] [CrossRef]
- Pel, A. Model-based optimal evacuation planning anticipating traveler compliance behavior. In Proceedings of the 12th International Conference on Travel Behavior Research (IATBR), Jaipur, India, 13–18 December 2009; pp. 1–22. [Google Scholar]
- Huang, S.K.; Wu, H.C.; Lindell, M.K.; Wei, H.L.; Samuelson, C.D. Perceptions, behavioral expectations, and implementation timing for response actions in a hurricane emergency. Nat. Hazards 2017, 88, 533–558. [Google Scholar] [CrossRef]
- Whitehead, J.C.; Edwards, B.; Van Willigen, M.; Maiolo, J.R.; Wilson, K.; Smith, K.T. Heading for higher ground: Factors affecting real and hypothetical hurricane evacuation behavior. Environ. Hazards 2000, 2, 133–142. [Google Scholar] [CrossRef]
- Riad, J.K.; Norris, F.H.; Ruback, R.B. Predicting Evacuation in Two Major Disasters: Risk Perception, Social Influence, and Access to Resources. J. Appl. Soc. Psychol. 1999, 25, 918–934. [Google Scholar] [CrossRef]
- Murray-Tuite, P.; Wolshon, B. Evacuation transportation modeling: An overview of research, development, and practice. Transp. Res. Part C 2013, 27, 25–45. [Google Scholar] [CrossRef]
- Wu, H.C.; Lindell, M.K.; Prater, C.S. Logistics of hurricane evacuation in Hurricanes Katrina and Rita. Transp. Res. Part F 2012, 15, 445–461. [Google Scholar] [CrossRef]
- Deka, D.; Carnegie, J. Analyzing evacuation behavior of transportation-disadvantaged populations in northern New Jersey. In Proceedings of the Transportation Research Board 89th Annual Meeting, Washington, DC, USA, 1–10 January 2010. [Google Scholar]
- Lindell, M.K.; Prater, C.S. Critical Behavioral Assumptions in Evacuation Time Estimate Analysis for Private Vehicles: Examples from Hurricane Research and Planning. J. Urban Plan. Dev. 2007, 133, 18–29. [Google Scholar] [CrossRef]
- Abdelgawad, H.; Abdulhai, B. Emergency evacuation planning as a network design problem: A critical review. Transp. Lett. 2009, 1, 41–58. [Google Scholar] [CrossRef]
- Lim, G.J.; Zangeneh, S.; Reza Baharnemati, M.; Assavapokee, T. A capacitated network flow optimization approach for short notice evacuation planning. Eur. J. Oper. Res. 2012, 223, 234–245. [Google Scholar] [CrossRef]
- Zheng, H.; Chiu, Y.C.; Mirchandani, P.; Hickman, M. Modeling of evacuation and background traffic for optimal zone-based vehicle evacuation strategy. Transp. Res. Rec. 2010, 2196, 65–74. [Google Scholar] [CrossRef]
- Renne, J.L.; Sanchez, T.W.; Litman, T. National study on carless and special needs evacuation planning: A literature review. In Planning and Urban Studies Reports and Presentations; University of New Orleans: New Orleans, LA, USA, 2008. [Google Scholar]
- Renne, J.; Sanchez, T.; Jenkins, P.; Peterson, R. Challenge of evacuating the carless in five major US cities: Identifying the key issues. Transp. Res. Rec. 2009, 2119, 36–44. [Google Scholar] [CrossRef]
- Bish, D.R. Planning for a bus-based evacuation. OR Spectr. 2011, 33, 629–654. [Google Scholar] [CrossRef]
- Swamy, R.; Kang, J.E.; Batta, R.; Chung, Y. Hurricane evacuation planning using public transportation. Socioecon. Plan. Sci. 2017, 59, 43–55. [Google Scholar] [CrossRef]
- Pengel, B.; Shirshov, G.; Krzhizhanovskaya, V.; Melnikova, N.; Koelewijn, A.; Pyayt, A.; Mokhov, I. Flood Early Warning System: Sensors and Internet. Available online: http://www.preventionweb.net/publications/view/32435 (accessed on 18 November 2017).
- Lindell, M.K.; Perry, R.W. The protective action decision model: Theoretical modifications and additional evidence. Risk Anal. 2012, 32, 616–632. [Google Scholar] [CrossRef] [PubMed]
- Lindell, M.K.; Perry, R.W. Communicating Environmental Risk in Multiethnic Communities; Sage Publications: Thousand Oaks, CA, USA, 2004; p. 262. [Google Scholar]
- Lindell, M.K.; Lu, J.C.; Prater, C.S. Household decision making and evacuation in response to Hurricane Lili. Nat. Hazards Rev. 2005, 6, 171–179. [Google Scholar] [CrossRef]
- Cahyanto, I.; Pennington-Gray, L.; Thapa, B.; Srinivasan, S.; Villegas, J.; Matyas, C.; Kiousis, S. Predicting information seeking regarding hurricane evacuation in the destination. Tour. Manag. 2016, 52, 264–275. [Google Scholar] [CrossRef]
- Dow, K.; Cutter, S.L. Crying wolf: Repeat responses to hurricane evacuation orders. Coast. Manag. 1998, 26, 237–252. [Google Scholar] [CrossRef]
- Prater, C.; Wenger, D.; Grady, K. Hurricane Bret Post Storm Assessment: A Review of the Utilization of Hurricane Evacuation Studies and Information Dissemination; Hazard Reduction & Recovery Center, Texas A&M University: College Station, TX, USA, 2000. [Google Scholar]
- Taaffe, K.; Garrett, S.; Huang, Y.H.; Nkwocha, I. Communication’s role and technology preferences during hurricane evacuations. Nat. Hazards Rev. 2013, 14, 182–190. [Google Scholar] [CrossRef]
- Burnside, R.; Miller, D.S.; Rivera, J.D. the Impact of Information and Risk Perception on the Hurricane Evacuation Decision-Making of Greater New Orleans Residents. Sociol. Spectr. 2007, 27, 727–740. [Google Scholar] [CrossRef]
- Lindell, M.K.; Prater, C.S.; Peacock, W.G. Organizational communication and decision making for hurricane emergencies. Nat. Hazards Rev. 2007, 8, 50–60. [Google Scholar] [CrossRef]
- Dow, K.; Cutter, S.L. Public orders and personal opinions: Household strategies for hurricane risk assessment. Glob. Environ. Chang. Part B 2000, 2, 143–155. [Google Scholar] [CrossRef]
- West, D.M.; Orr, M. Race, gender, and communications in natural disasters. Policy Stud. J. 2007, 35, 569–586. [Google Scholar] [CrossRef]
- FEMA. How to Prepare for a Hurricane; Technical Report; Federal Emergency Management Agency: Washington, DC, USA, 2014.
- Durage, S.W.; Kattan, L.; Wirasinghe, S.C.; Ruwanpura, J.Y. Evacuation behaviour of households and drivers during a tornado. Nat. Hazards 2014, 71, 1495–1517. [Google Scholar] [CrossRef]
- Driscoll, P.; Salwen, M.B. Riding out the storm: Public evaluations of news coverage of Hurricane Andrew. Int. J. Mass Emerg. Disasters 1996, 14, 293–303. [Google Scholar]
- Bokuniewicz, H.; Tanski, J. Assessment of the Base Evacuation Plan in Nassau County; Technical Report NYSRISE-TR-14; New York State Institute for Storms and Emergencies: New York, NY, USA, 2014. [Google Scholar]
- Sutton, J.; Palen, L.; Shklovski, I. Backchannels on the front lines: Emergent uses of social media in the 2007 southern California wildfires. In Proceedings of the 5th International ISCRAM Conference, Washington, DC, USA, 4–7 May 2008; pp. 624–632. [Google Scholar]
- Arlikatti, S. Risk area accuracy and hurricane evacuation expectations of coastal residents. Environ. Behav. 2006, 38, 226–247. [Google Scholar] [CrossRef]
- Gibbs, L.; Holloway, C. Hurricane Sandy after Action: Report and Recommendations to Mayor Michael R. Bloomberg; Technical Report; The City of New York: New York, NY, USA, 2013.
- Post, Buckley, Schuh, and Jernigan, Inc. Mississippi Transportation Analysis Final Report; Technical Report; Federal Emergency Management Agency: Washington, DC, USA, 2001.
- Fothergill, A.; Maestas, E.G.; Darlington, J.D. Race, ethnicity and disasters in the United States: A review of the literature. Disasters 1999, 23, 156–173. [Google Scholar] [CrossRef] [PubMed]
- Bateman, J.M.; Edwards, B. Gender and evacuation: A closer look at why women are more likely to evacuate for hurricanes. Nat. Hazards Rev. 2002, 3, 107–117. [Google Scholar] [CrossRef]
- Fothergill, A.; Peek, L.A. Poverty and disasters in the United States: A review of recent sociological findings. Nat. Hazards 2004, 32, 89–110. [Google Scholar] [CrossRef]
- Brodie, M.; Weltzien, E.; Altman, D.; Blendon, R.J.; Benson, J.M. Experiences of Hurricane Katrina evacuees in Houston shelters: Implications for future planning. Am. J. Public Health 2006, 96, 1402–1408. [Google Scholar] [CrossRef] [PubMed]
- Phillips, B.D.; Morrow, B.H. Social science research needs: Focus on vulnerable populations, forecasting, and warnings. Nat. Hazards Rev. 2007, 8, 61–68. [Google Scholar] [CrossRef]
- Gudishala, R.; Wilmot, C. Comparison of Time-Dependent Sequential Logit and Nested Logit for Modeling Hurricane Evacuation Demand. Transp. Res. Rec. 2012, 2312, 134–140. [Google Scholar] [CrossRef]
- Cahyanto, I.; Pennington-Gray, L.; Thapa, B.; Srinivasan, S.; Villegas, J.; Matyas, C.; Kiousis, S. An empirical evaluation of the determinants of tourist’s hurricane evacuation decision making. J. Destin. Mark. Manag. 2014, 2, 253–265. [Google Scholar] [CrossRef]
- Huang, S.K.; Lindell, M.K.; Prater, C.S.; Wu, H.C.; Siebeneck, L.K. Household evacuation decision making in response to Hurricane Ike. Nat. Hazards Rev. 2012, 13, 283–296. [Google Scholar] [CrossRef]
- Sadri, A.M.; Ukkusuri, S.V.; Murray-Tuite, P.; Gladwin, H. Analysis of hurricane evacuee mode choice behavior. Transp. Res. Part C 2014, 48, 37–46. [Google Scholar] [CrossRef]
- Fu, H.; Wilmot, C. A Sequential logit dynamic travel demand model for hurricane evacuation. Transp. Res. Rec. 2004, 1882, 19–26. [Google Scholar] [CrossRef]
- Eisenman, D.P.; Cordasco, K.M.; Asch, S.; Golden, J.F.; Glik, D. Disaster Planning and Risk Communication With Vulnerable Communities: Lessons From Hurricane Katrina. Am. J. Public Health 2007, 97, S109–S115. [Google Scholar] [CrossRef] [PubMed]
- Raggatt, P.; Butterworth, E.; Morrissey, S. Issues in natural disaster management: community response to the threat of tropical cyclones in Australia. Disaster Prev. Manag. Int. J. 1993, 2. [Google Scholar] [CrossRef]
- Pel, A.J.; Bliemer, M.C.J.; Hoogendoorn, S.P. EVAQ: A new analytical model for voluntary and mandatory evacuation strategies on time-varying networks. In Proceedings of the IEEE Conference on Intelligent Transportation Systems, ITSC, Beijing, China, 12–15 October 2008; pp. 528–533. [Google Scholar]
- Gladwin, C.H.; Gladwin, H.; Peacock, W.G. Modeling hurricane evacuation decisions with ethnographic methods. Int. J. Mass Emerg. Disasters 2001, 19, 117–143. [Google Scholar]
- Wilmot, C.G.; Mei, B. Comparison of alternative trip generation models for hurricane evacuation. Nat. Hazards Rev. 2004, 5, 170–178. [Google Scholar] [CrossRef]
- Zhang, Y.; Prater, C.S.; Lindell, M.K. Risk Area Accuracy and Evacuation from Hurricane Bret. Nat. Hazards Rev. 2004, 5, 115–120. [Google Scholar] [CrossRef]
- Whitehead, J.C. Environmental risk and averting behavior: Predictive validity of jointly estimated revealed and stated behavior data. Environ. Resour. Econ. 2005, 32, 301–316. [Google Scholar] [CrossRef]
- Lindell, M.; Prater, C. Behavioral Analysis: Texas Hurricane Evacuation Study; Hazard Reduction & Recovery Center, Texas A&M University: College Station, TX, USA, 2008. [Google Scholar]
- Hasan, S.; Ukkusuri, S.; Gladwin, H.; Murray-Tuite, P. Behavioral model to understand household-level hurricane evacuation decision making. J. Transp. Eng. 2010, 137, 341–348. [Google Scholar] [CrossRef]
- Baker, E.J. Hurricane evacuation behavior. Int. J. Mass Emerg. Disasters 1991, 9, 287–310. [Google Scholar]
- Drabek, T.E. Understanding disaster warning responses. Soc. Sci. J. 1999, 36, 515–523. [Google Scholar] [CrossRef]
- Dash, N.; Gladwin, H. Evacuation Decision Making and Behavioral Responses: Individual and Household. Nat. Hazards Rev. 2007, 8, 69–77. [Google Scholar] [CrossRef]
- De Jong, M.; Helsloot, I. The effects of information and evacuation plans on civilian response during the National Dutch flooding exercise ‘Waterproef’. Procedia Eng. 2010, 3, 153–162. [Google Scholar] [CrossRef]
- Carnegie, J.; Deka, D. Using hypothetical disaster scenarios to predict evacuation behavioral response. In Proceedings of the Transportation Research Board 89th Annual Meeting, Washington, DC, USA, 10–14 January 2010. [Google Scholar]
- Hasan, S.; Mesa-Arango, R.; Ukkusuri, S. A random-parameter hazard-based model to understand household evacuation timing behavior. Transp. Res. Part C 2013, 27, 108–116. [Google Scholar] [CrossRef]
- Kalafatas, G.; Peeta, S. Planning for evacuation: insights from an efficient network design model. J. Infrastruct. Syst. 2009, 15, 21–30. [Google Scholar] [CrossRef]
- Xie, C.; Lin, D.Y.; Waller, S.T. A dynamic evacuation network optimization problem with lane reversal and crossing elimination strategies. Transp. Res. Part E 2010, 46, 295–316. [Google Scholar] [CrossRef]
- Edara, P.; Sharma, S.; McGhee, C. Development of a large-Scale traffic simulation model for hurricane evacuation—Methodology and lessons learned. Nat. Hazards Rev. 2010, 11, 127–139. [Google Scholar] [CrossRef]
- Pel, A.J.; Hoogendoorn, S.P.; Bliemer, M.C.J. Impact of variations in travel demand and network supply factors for evacuation studies. Transp. Res. Rec. 2011, 2196, 45–55. [Google Scholar] [CrossRef]
- Mileti, D.S.; Sorensen, J.H.; O’Brien, P.W. Toward an explanation of mass care shelter use in evacuations. Int. J. Mass Emerg. Disasters 1992, 10, 25–42. [Google Scholar]
- Chen, B. Modeling Destination Choice in Hurricane Evacuation with an Intervening Opportunity Model. Ph.D. Thesis, Louisiana State University, Baton Rouge, LA, USA, 2005. [Google Scholar]
- Transportation Research Board. Highway Capacity Manual; Transportation Research Board: Washington, DC, USA, 2000. [Google Scholar]
- Ewing, R. Monroe County Hurricane Evacuation Clearance Time—Final Report; Technical Report; University of Utah, Department of City & Metropolitan Planning: Salt Lake City, UT, USA, 2010. [Google Scholar]
- Van Delden, P.; Penton, S.; Haniff, A. Typical hourly traffic distribution for noise modelling. Can. Acoust. 2008, 36, 60–61. [Google Scholar]








| Indices | |
| i | index for type of evacuees |
| j | index for source type of warnings |
| t | index for time period |
| k | index for evacuation zone |
| d | index for destination shelter |
| a | index for arcs |
| Notation | |
| I | set of evacuee types |
| J | set of combination types of warning source |
| T | set of time intervals |
| set of evacuation zone nodes | |
| set of evacuation shelter nodes | |
| set of intersections of evacuation routes | |
| A | set of arcs in traffic network used in the evacuation process |
| percentage of self-evacuate people who evacuate to shelters | |
| capacity of evacuation shelter d for the evacuees of type i | |
| travel time from zone k to shelter d | |
| number of evacuees of type i in evacuation zone k at beginning (time period 1) | |
| evacuation response rate of type i evacuees who received warning from source j at time t | |
| capacity of link a in travel network | |
| background traffic of link a at time t in travel network | |
| capacity of public transportation at time period t | |
| Decision Variables | |
| number of evacuees of type i in evacuation zone k at time period t, |
| Warning Source j | Source Type |
|---|---|
| sending no evacuation messages | |
| official | |
| National Weather Service (NWS) | |
| media | |
| social network | |
| j = 5–10 | sending messages from two kinds of sources |
| which denotes official & NWS (1 & 2), 1 & 3, 1 & 4, 2 & 3, 2 & 4, 3 & 4 respectively | |
| j = 11–14 | sending messages from three kinds of source combination |
| which denotes 1 & 2 & 3, 1 & 2 & 4, 1 & 3 & 4, 2 & 3 & 4 respectively | |
| sending messages from all the sources together (1 & 2 & 3 & 4) |
© 2017 by the authors. Licensee MDPI, Basel, Switzerland. This article is an open access article distributed under the terms and conditions of the Creative Commons Attribution (CC BY) license (http://creativecommons.org/licenses/by/4.0/).
Share and Cite
Sun, D.; Kang, J.E.; Batta, R.; Song, Y. Optimization of Evacuation Warnings Prior to a Hurricane Disaster. Sustainability 2017, 9, 2152. https://doi.org/10.3390/su9112152
Sun D, Kang JE, Batta R, Song Y. Optimization of Evacuation Warnings Prior to a Hurricane Disaster. Sustainability. 2017; 9(11):2152. https://doi.org/10.3390/su9112152
Chicago/Turabian StyleSun, Dian, Jee Eun Kang, Rajan Batta, and Yan Song. 2017. "Optimization of Evacuation Warnings Prior to a Hurricane Disaster" Sustainability 9, no. 11: 2152. https://doi.org/10.3390/su9112152
APA StyleSun, D., Kang, J. E., Batta, R., & Song, Y. (2017). Optimization of Evacuation Warnings Prior to a Hurricane Disaster. Sustainability, 9(11), 2152. https://doi.org/10.3390/su9112152

