Responses of Soil Seed Bank and Vegetation to the Increasing Intensity of Human Disturbance in a Semi-Arid Region of Northern China
Abstract
:1. Introduction
2. Materials and Methods
2.1. Study Area
2.2. Experimental Design and Measurement
2.3. Data Analyses
3. Results
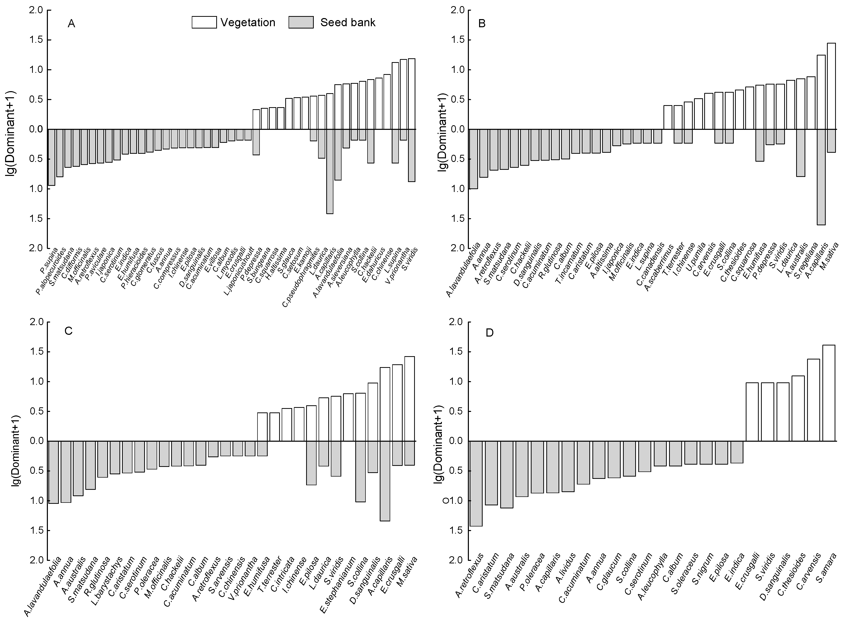
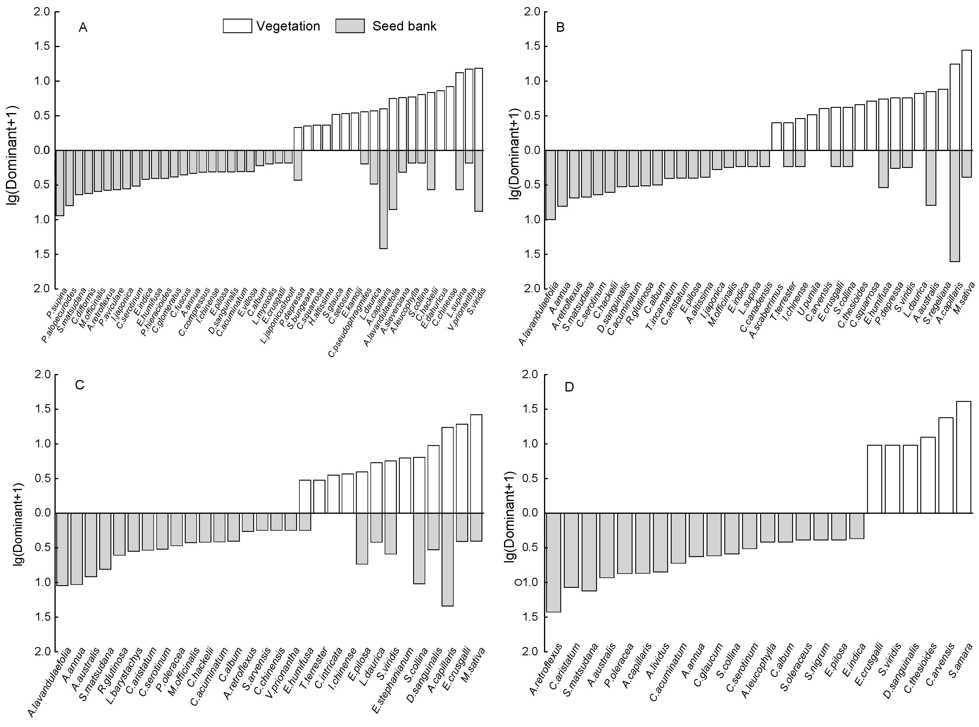
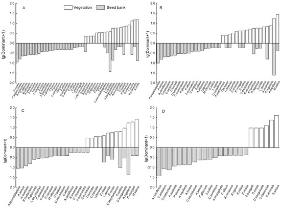
3.1. Soil Seed Bank in the Four Land Use Types
3.2. Vegetation in the Four Land Use Types
3.3. Relationship between Soil Seed Bank and Vegetation
4. Discussion
4.1. Effects of Disturbance on Soil Seed Bank and Vegetation
4.2. Relationship between Soil Seed Bank and Vegetation
5. Conclusions
Acknowledgments
Author Contributions
Conflicts of Interest
Appendix A
| Family | Species Name | Life Style | Mean Number of Seeds/m−2 | Mean Plants/m−2 | ||||||
|---|---|---|---|---|---|---|---|---|---|---|
| Native Grassland | Abandoned Artificial Grassland | Artificial Grassland | Farmland | Native Grassland | Abandoned Artificial Grassland | Artificial Grassland | Farmland | |||
| Amaranthaceae | Amaranthus lividus | A | 106 | |||||||
| Amaranthus retroflexus | A | 170 | 50 | 8 | 434 | |||||
| Chenopodium acuminatum | A | 8 | 30 | 12 | 12 | |||||
| Asclepiadaceae | Cynanchum chinense | P | 18 | |||||||
| Cynanchum thesioides | P | 4 | 2 | |||||||
| Boraginaceae | Lappula myosotis | A/B | 14 | |||||||
| Chenopodiaceae | Chenopodium album | A | 36 | 12 | 8 | 8 | ||||
| Chenopodium aristatum | A | 18 | 20 | 128 | ||||||
| Chenopodium glaucum | A | 14 | ||||||||
| Chenopodium serotinum | A | 70 | 72 | 12 | 22 | |||||
| Salsola collina | A | 6 | 4 | 412 | 8 | 21 | 2 | 4 | ||
| Compositae | Artemisia annua | A | 144 | 236 | 386 | 16 | ||||
| Artemisia capillaris | P | 4968 | 4232 | 1080 | 58 | 8 | 42 | 49 | ||
| Artemisia lavandulaefolia | P | 808 | 656 | 496 | 14 | |||||
| Artemisia leucophylla | P | 4 | 8 | 6 | ||||||
| Artemisia sieversiana | A/B | 124 | 25 | |||||||
| Cirsium setosum | P | 2 | ||||||||
| Conyza canadensis | A | 4 | ||||||||
| Inula japonica | P | 246 | 24 | |||||||
| Ixeridium chinense | P | 14 | 4 | 6 | ||||||
| Picris hieracioides | A/B | 16 | ||||||||
| Saussurea amara | P | 6 | ||||||||
| Sonchus arvensis | P | 4 | ||||||||
| Sonchus oleraceus | A/B | 4 | 2 | |||||||
| Convolvulaceae | Cuscuta chinensis | A | 4 | |||||||
| Convolvulus arvensis | P | 2 | 3 | |||||||
| Cyperaceae | Cyperus compressus | A | 18 | |||||||
| Cyperus difformis | A | 158 | ||||||||
| Cyperus fuscus | A | 60 | ||||||||
| Cyperus glomeratus | A | 204 | ||||||||
| Euphorbiaceae | Acalypha australis | A | 216 | 232 | 84 | 14 | ||||
| Euphorbia humifusa | A | 16 | 44 | 4 | 2 | 2 | ||||
| Fabaceae | Trifolium incarnatum | A | 22 | |||||||
| Geraniaceae | Erodium stephanianum | P | 3 | |||||||
| Gramineae | Calamagrostis epigeios | P | 14 | 14 | ||||||
| Cleistogenes squarrosa | P | 25 | 6 | |||||||
| Cleistogenes hackelii | P | 44 | 36 | 14 | 2 | |||||
| Digitaria sanguinalis | A | 10 | 36 | 16 | 13 | 1 | ||||
| Echinochloa crusgalli | A | 6 | 4 | 10 | 2 | 60 | 1 | |||
| Elymus dahuricus | P | 29 | ||||||||
| Elymus kamoji | P | 3 | ||||||||
| Eleusine indica | A | 28 | 4 | 2 | ||||||
| Eragrostis pilosa | A | 10 | 16 | 58 | 4 | 8 | ||||
| Eriochloa villosa | A | 8 | ||||||||
| Hemarthria altissima | P | 2 | ||||||||
| Lysimachia barystachys | P | 26 | ||||||||
| Pennisetum alopecuroides | P | 730 | ||||||||
| Setaria viridis | A | 908 | 8 | 48 | 85 | 9 | 9 | 1 | ||
| Setaria glauca | A | 2 | ||||||||
| Stipa bungeana | P | 2 | ||||||||
| Labiatae | Lagopsis supina | P | 268 | 4 | 95 | |||||
| Leonurus japonicushoutt | A/B | 6 | ||||||||
| Scutellaria regeliana | P | 17 | ||||||||
| Leguminosae | Astragalus scaberrimus | A | 1 | |||||||
| Lespedeza daurica | P | 18 | 14 | 6 | 7 | 16 | ||||
| Medicago sativa | P | 8 | 8 | 91 | 110 | |||||
| Melilotus officinalis | A/B | 98 | 8 | 16 | ||||||
| Plantaginaceae | Plantago depressa | A/B | 44 | 16 | 1 | 3 | ||||
| Polygonaceae | Polygonum aviculare | A | 270 | |||||||
| Portulaca oleracea | A | 34 | 60 | |||||||
| Ranunculaceae | Clematis intricata | P | 6 | |||||||
| Rosaceae | Potentilla supina | A/B | 1280 | |||||||
| Salicaceae | Salix matsudana | P | 192 | 112 | 122 | 132 | ||||
| Scrophulariaceae | Rehmannia glutinosa | P | 24 | 58 | ||||||
| Simaroubaceae | Ailanthus altissima | P | 8 | |||||||
| Solanaceae | Solanum nigrum | A | 4 | |||||||
| Ulmaceae | Ulmus pumila | P | 4 | |||||||
| Violaceae | Viola prionantha | P | 6 | 4 | 110 | |||||
| Zygophyllaceae | Tribulus terrester | A | 4 | 1 | 2 | |||||
References
- Strait, G.C. Facing desertification. World I 2000, 15, 140–147. [Google Scholar]
- Reynolds, J.F.; Smith, D.M.S.; Lambin, E.F.; Turner, B.L.; Mortimore, M.; Batterbury, S.P.J.; Downing, T.E.; Dowlatabadi, H.; Fernández, R.J.; Herrick, J.E.; et al. Global desertification: Building a science for dryland development. Science 2007, 316, 847–851. [Google Scholar] [CrossRef] [PubMed]
- United Nations Convention to Combat Desertification. Desertification: A Visual Synthesis; UNCCD Secretariat: Bonn, Germany, 2011. [Google Scholar]
- Wang, G.Q.; Wang, X.Q.; Wu, B.; Lu, Q. Desertification and its mitigation strategy in China. J. Resour. Ecol. 2012, 3, 97–104. [Google Scholar]
- State Forestry Administration of China. A Bulletin of Status Quo of Desertification and Sandification in China; State Forestry Administration of China: Beijing, China, 2011. (In Chinese)
- Pensa, M.; Sellin, A.; Luud, A.; Valgma, I. An analysis of vegetation restoration on opencast oil shale mines in Estonia. Restor. Ecol. 2004, 12, 200–206. [Google Scholar] [CrossRef]
- Cao, S.X. Why large-scale afforestation efforts in China have failed to solve the desertification problem. Environ. Sci. Technol. 2008, 42, 1826–1831. [Google Scholar] [CrossRef] [PubMed]
- Keesstra, S.; Nunes, J.; Novara, A.; Finger, D.; Avelar, D.; Kalantari, Z.; Cerdà, A. The superior effect of nature based solutions in land management for enhancing ecosystem services. Sci. Total Environ. 2018, 610, 997–1009. [Google Scholar] [CrossRef] [PubMed]
- Nishihiro, J.; Nishihiro, M.A.; Washitani, I. Restoration of wetland vegetation using soil seed banks: Lessons from a project in Lake Kasumigaura, Japan. Landsc. Ecol. Eng. 2006, 2, 171–176. [Google Scholar] [CrossRef]
- Luzuriaga, A.L.; Escudero, A.; Olano, J.M.; Loidi, J. Regenerative role of seed banks following an intense soil disturbance. Acta Oecol. 2005, 27, 57–66. [Google Scholar] [CrossRef]
- Walck, J.L.; Baskin, J.M.; Baskin, C.C.; Hidayati, S.N. Defining transient and persistent seed banks in species with pronounced seasonal dormancy and germination patterns. Seed Sci. Res. 2005, 15, 189–196. [Google Scholar] [CrossRef]
- Fisher, J.L.; Loneragan, W.A.; Dixon, K.; Veneklaas, E.J. Soil seed bank compositional change constrains biodiversity in an invaded species-rich woodland. Biol. Conserv. 2009, 142, 256–269. [Google Scholar] [CrossRef]
- Jalili, A.; Hamzeh’ee, B.; Asri, Y.; Shirvany, A.; Yazdani, S.; Khoshnevis, M.; Zarrinkamar, F.; Ghahramani, M.-A.; Safavi, R.; Shaw, S. Soil seed banks in the arasbaran protected area of Iran and their significance for conservation management. Biol. Conserv. 2003, 109, 425–431. [Google Scholar] [CrossRef]
- Zhan, X.; Li, L.; Cheng, W. Restoration of stipa kryloviisteppes in Inner Mongolia of China: Assesment of seed banks and vegetation composition. J. Arid Environ. 2007, 68, 298–307. [Google Scholar] [CrossRef]
- Williams, L.; Reich, P.; Capon, S.J.; Raulings, E. Soil seed banks of degraded riparian zones in southeastern Australia and their potential contribution to the restoration of understorey vegetation. River Res. Appl. 2008, 24, 1002–1017. [Google Scholar] [CrossRef]
- Duncan, R.P.; Diez, J.M.; Sullivan, J.J.; Wangen, S.; Miller, A.L. Safe sites, seed supply, and the recruitment function in plant populations. Ecology 2009, 90, 2129–2138. [Google Scholar] [CrossRef] [PubMed]
- Liu, M.Z.; Jiang, G.M.; Yu, S.L.; Li, Y.G.; Li, G. The role of soil seed banks in natural restoration of the degraded hunshandak sandlands, northern China. Restor. Ecol. 2009, 17, 127–136. [Google Scholar] [CrossRef]
- Valkó, O.; Török, P.; Tóthmérész, B.; Matus, G. Restoration potential in seed banks of acidic fen and dry-mesophilous meadows: Can restoration be based on local seed banks? Restor. Ecol. 2011, 19, 9–15. [Google Scholar] [CrossRef]
- Cerdà, A.; García-Fayos, P. The influence of seed size and shape on their removal by water erosion. Catena 2002, 48, 293–301. [Google Scholar] [CrossRef]
- Sanderson, M.A.; Stout, R.; Goslee, S.; Gonet, J.; Smith, R.G. Soil seed bank community structure of pastures and hayfields on an organic farm. Can. J. Plant Sci. 2014, 94, 621–631. [Google Scholar] [CrossRef]
- Gomaa, N.H. Soil seed bank in different habitats of the eastern desert of Egypt. Saudi J. Biol. Sci. 2012, 19, 211–220. [Google Scholar] [CrossRef] [PubMed]
- Amrein, D.; Rusterholz, H.P.; Baur, B. Disturbance of suburban Fagus forests by recreational activities: Effects on soil characteristics, above-ground vegetation and seed bank. Appl. Veg. Sci. 2005, 8, 175–182. [Google Scholar] [CrossRef]
- Mayor, M.D.; Bóo, R.M.; Peláez, D.V.; Elı́a, O.R. Seasonal variation of the soil seed bank of grasses in central Argentina as related to grazing and shrub cover. J. Arid Environ. 2003, 53, 467–477. [Google Scholar] [CrossRef]
- Kinloch, J.E.; Friedel, M.H. Soil seed reserves in arid grazing lands of central Australia. Part 1: Seed bank and vegetation dynamics. J. Arid Environ. 2005, 60, 133–161. [Google Scholar]
- Karlík, P.; Poschlod, P. Soil seed-bank composition reveals the land-use history of calcareous grasslands. Acta Oecol. 2014, 58, 22–34. [Google Scholar] [CrossRef]
- Zeiter, M.; Preukschas, J.; Stampfli, A. Seed availability in hay meadows: Land-use intensification promotes seed rain but not the persistent seed bank. Agric. Ecosyst. Environ. 2014, 182, 88–95. [Google Scholar] [CrossRef]
- Tefera, S.B. Soil seed bank dynamics in relation to land management and soil types in the semi-arid savannas of Swaziland. Afr. J. Agric. Res. 2011, 6, 2494–2505. [Google Scholar]
- Pol, R.G.; Sagario, M.C.; Marone, L. Grazing impact on desert plants and soil seed banks: Implications for seed-eating animals. Acta Oecol. 2014, 55, 58–65. [Google Scholar] [CrossRef]
- Bueno, C.G.; Reiné, R.; Alados, C.L.; Gómez-García, D. Effects of large wild boar disturbances on alpine soil seed banks. Basic Appl. Ecol. 2011, 12, 125–133. [Google Scholar] [CrossRef]
- Ma, M.J.; Zhou, X.H.; Du, G.Z. Role of soil seed bank along a disturbance gradient in an alpine meadow on the Tibet plateau. Flora 2010, 205, 128–134. [Google Scholar] [CrossRef]
- Tessema, Z.K.; de Boer, W.F.; Baars, R.M.T.; Prins, H.H.T. Influence of grazing on soil seed banks determines the restoration potential of aboveground vegetation in a semi-arid savanna of Ethiopia. Biotropica 2012, 44, 211–219. [Google Scholar] [CrossRef]
- Wang, X.L.; Yang, S.T.; Mannaerts, C.M.; Gao, Y.F.; Guo, J.X. Spatially explicit estimation of soil denitrification rates and land use effects in the riparian buffer zone of the large Guanting reservoir. Geoderma 2009, 150, 240–252. [Google Scholar] [CrossRef]
- Thompson, K.; Grime, J.P. Seasonal variation in the seed banks of herbaceous species in ten contrasting habitats. J. Ecol. 1979, 67, 893–921. [Google Scholar] [CrossRef]
- Zabinski, C.; Wojtowicz, T.; Cole, D. The effects of recreation disturbance on subalpine seed banks in the rocky mountains of Montana. Can. J. Bot. 2000, 78, 577–582. [Google Scholar]
- Li, Y.Y.; Dong, S.K.; Wen, L.; Wang, X.X.; Wu, Y. Soil seed banks in degraded and revegetated grasslands in the alpine region of the Qinghai-Tibetan plateau. Ecol. Eng. 2012, 49, 77–83. [Google Scholar] [CrossRef]
- Navie, S.C.; Cowley, R.A.; Rogers, R.W. The relationship between distance from water and the soil seed bank in a grazed semi-arid subtropical rangeland. Aust. J. Bot. 1996, 44, 421–431. [Google Scholar] [CrossRef]
- Gomaa, N.H. Microhabitat variations and seed bank-vegetation relationships in a desert wadi ecosystem. Flora 2014, 209, 725–732. [Google Scholar] [CrossRef]
- Wen, Z.Z.; Hong, L.X.; Zhi, M.L.; Jin, L. Soil degradation and restoration as affected by land use change in the semiarid bashang area, northern China. Catena 2005, 59, 173–186. [Google Scholar]
- Van Hall, R.L.; Cammeraat, L.H.; Keesstra, S.D.; Zorn, M. Impact of secondary vegetation succession on soil quality in a humid Mediterranean landscape. Catena 2017, 149, 836–843. [Google Scholar] [CrossRef]
- Mitlacher, K.; Poschlod, P.; Rosén, E.; Bakker, J.P. Restoration of wooded meadows—A comparative analysis along a chronosequence on land (Sweden). Appl. Veg. Sci. 2002, 5, 63–73. [Google Scholar]
- Albrecht, H.; Eder, E.; Langbehn, T.; Tschiersch, C. The soil seed bank and its relationship to the established vegetation in urban wastelands. Landsc. Urban Plan. 2011, 100, 87–97. [Google Scholar] [CrossRef]
- Klug-Pümpel, B.; Scharfetter-Lehrl, G. Soil diaspore reserves above the timberline in the Austrian Alps. Flora 2008, 203, 292–303. [Google Scholar] [CrossRef]
- Swanton, C.J.; Shrestha, A.; Knezevic, S.Z.; Roy, R.C.; Ball-Coelho, B.R. Influence of tillage type on vertical weed seedbank distribution in a sandy soil. Can. J. Plant Sci. 2000, 80, 455–457. [Google Scholar] [CrossRef]
- Olano, J.M.; Caballero, I.; Escudero, A. Soil seed bank recovery occurs more rapidly than expected in semi-arid mediterranean gypsum vegetation. Ann. Bot. 2012, 109, 299–307. [Google Scholar] [CrossRef] [PubMed]
- López-Mariño, A.; Luis-Calabuig, E.; Fillat, F.; Bermúdez, F.F. Floristic composition of established vegetation and the soil seed bank in pasture communities under different traditional management regimes. Agric. Ecosyst. Environ. 2000, 78, 273–282. [Google Scholar] [CrossRef]
- Cerdà, A. The Effect of Patchy Distribution of Stipa Tenacissima L. on Runoff and Erosion. J. Arid Environ. 1997, 36, 37–51. [Google Scholar]
- Navarra, J.J.; Quintana-Ascencio, P.F. Spatial pattern and composition of the Florida scrub seed bank and vegetation along an anthropogenic disturbance gradient. Appl. Veg. Sci. 2012, 15, 349–358. [Google Scholar] [CrossRef]
- Amiaud, B.; Touzard, B. The relationships between soil seed bank, aboveground vegetation and disturbances in old embanked marshlands of western France. Flora 2004, 199, 25–35. [Google Scholar] [CrossRef]


| Seed Bank Characteristics | Soil Depth (cm) | Native Grassland | Abandoned Artificial Grassland | Artificial Grassland | Farmland |
|---|---|---|---|---|---|
| Seed density (seed/m2) | 0–5 | 8428 ± 1585 a | 4710 ± 2030 ab | 2162 ± 100 b | 654 ± 409 c |
| 5–10 | 2596 ± 292 a | 1202 ± 378 ab | 944 ± 230 b | 450 ± 245 c | |
| Total | 11,024 ± 1857 a | 5912 ± 2393 ab | 3106 ± 272 b | 1104 ± 650 c | |
| Species richness | 0–5 | 17 ± 1 a | 11 ± 2 b | 12 ± 1 b | 6 ± 1 c |
| 5–10 | 14 ± 1 a | 11 ± 1 ab | 8 ± 1 bc | 5 ± 2 c | |
| Total | 20 ± 1 a | 15 ± 1 b | 14 ± 1 b | 8 ± 2 c |
© 2017 by the authors. Licensee MDPI, Basel, Switzerland. This article is an open access article distributed under the terms and conditions of the Creative Commons Attribution (CC BY) license (http://creativecommons.org/licenses/by/4.0/).
Share and Cite
Li, C.; Xiao, B.; Wang, Q.; Zheng, R.; Wu, J. Responses of Soil Seed Bank and Vegetation to the Increasing Intensity of Human Disturbance in a Semi-Arid Region of Northern China. Sustainability 2017, 9, 1837. https://doi.org/10.3390/su9101837
Li C, Xiao B, Wang Q, Zheng R, Wu J. Responses of Soil Seed Bank and Vegetation to the Increasing Intensity of Human Disturbance in a Semi-Arid Region of Northern China. Sustainability. 2017; 9(10):1837. https://doi.org/10.3390/su9101837
Chicago/Turabian StyleLi, Cui, Bo Xiao, Qinghai Wang, Ruilun Zheng, and Juying Wu. 2017. "Responses of Soil Seed Bank and Vegetation to the Increasing Intensity of Human Disturbance in a Semi-Arid Region of Northern China" Sustainability 9, no. 10: 1837. https://doi.org/10.3390/su9101837
APA StyleLi, C., Xiao, B., Wang, Q., Zheng, R., & Wu, J. (2017). Responses of Soil Seed Bank and Vegetation to the Increasing Intensity of Human Disturbance in a Semi-Arid Region of Northern China. Sustainability, 9(10), 1837. https://doi.org/10.3390/su9101837

