Government Subsidy for Remanufacturing or Carbon Tax Rebate: Which Is Better for Firms and a Low-Carbon Economy
Abstract
:1. Introduction
- (1)
- When the government introduces the carbon tax and the trade-in program, what is the optimal pricing and production strategy and in different government policies?
- (2)
- Can the firm be more profitable in the mode of government subsidy or carbon tax rebate compared to the scenario in which no government subsidy is provided?
- (3)
- Which mode of policy is appropriate for the environment and remanufacturing development?
2. Literature Review
3. Model Depiction and Assumptions
3.1. Trade-In Policy and Consumer Behavior
3.2. Carbon Emission
3.3. The CLSC Models with Trade-In under Different Policies
4. Model Formulation and Solution
4.1. Model S—Remanufacture Subsidy from the Government to the Manufacturer
4.2. Model C—Tax Rebate for Remanufacturing from the Government
5. Comparisons of Different Models
5.1. Comparison of Equilibrium Decisions and Profits
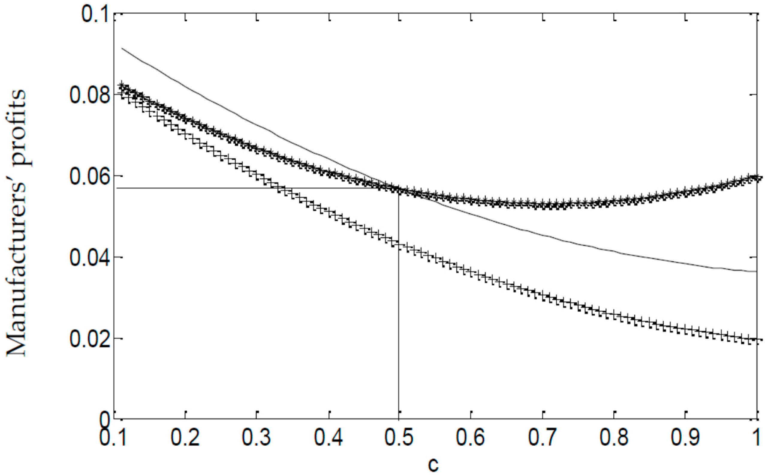
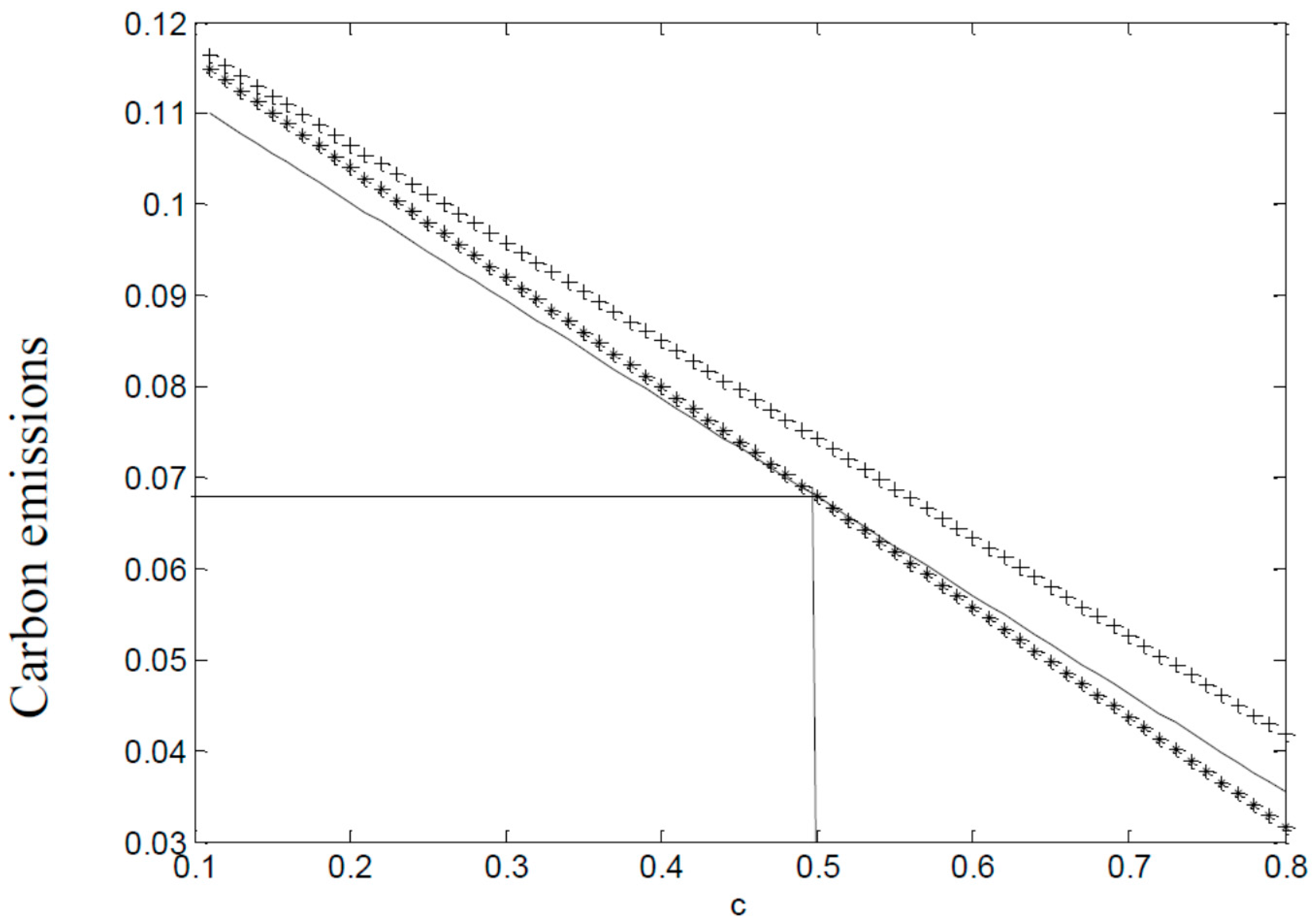
5.2. Comparison of Environmental Impact
- In Model N, the total carbon emission is: .
- In Model C, the total carbon emission is: .
- In Model S, the total carbon emission is: .
5.3. Comparison of Consumer Surplus and Social Welfare
6. Numerical Study
6.1. Parameter Design
6.2. Result Analysis
7. Conclusions
Acknowledgments
Author Contributions
Conflicts of interest
Appendix A
Proof of Proposition 1.
Proof of Proposition 2.
Proof of Proposition 3.
Proof of Proposition 4.
Proof of Observation 5.
Proof of Observation 6.
- In Model N, the total carbon emission is: ;
- In Model C, the total carbon emission is: ; and
- In Model S, the total carbon emission is: .
Proof of Observation 7.
Proof of Observation 8.
References
- Mcconocha, D.M.; Speh, T.W. Remarketing: Commercialization of Remanufacturing Technology. J. Bus. Ind. Mark. 1991, 6, 23–37. [Google Scholar] [CrossRef]
- Ma, W.M.; Zhao, Z.; Ke, H. Dual-Channel Closed-Loop Supply Chain with Government Consumption-subsidy. Eur. J. Oper. Res. 2013, 226, 221–227. [Google Scholar] [CrossRef]
- Wang, K.; Zhao, Y.; Cheng, Y.; Choi, T.-M. Cooperation or Competition? Channel Choice for a Remanufacturing Fashion Supply Chain with Government Subsidy. Sustainability 2014, 6, 7292–7310. [Google Scholar] [CrossRef]
- Ferguson, M.E.; Toktay, L.B. The Effect of Competition on Recovery Strategies. Prod. Oper. Manag. 2006, 15, 351–368. [Google Scholar] [CrossRef]
- Ferrer, G.; Swaminathan, J.M. Managing New and Remanufactured Products. Manag. Sci. 2006, 52, 15–26. [Google Scholar] [CrossRef]
- Heese, H.S.; Cattani, K.; Ferrer, G.; Gilland, W.; Roth, A.V. Competitive Advantage through Take-Back of Used Products. Eur. J. Oper. Res. 2005, 164, 143–157. [Google Scholar] [CrossRef]
- Bhattacharya, S.; Savaskan, R.C.; Wassenhove, L.N.V. Closed-Loop Supply Chain Models with Product Remanufacturing. Manag. Sci. J. Inst. Oper. Res. Manag. Sci. 2004, 50, 239–252. [Google Scholar]
- Gu, Q.L.; Ji, J.H.; Gao, T.G. Pricing Management for a Closed-Loop Supply Chain. J. Revenue Pricing Manag. 2008, 7, 45–60. [Google Scholar]
- Huang, M.; Song, M.; Lee, L.H.; Ching, W.K. Analysis for Strategy of Closed-Loop Supply Chain with Dual Recycling Channel. Int. J. Prod. Econ. 2013, 144, 510–520. [Google Scholar] [CrossRef]
- Liu, H.H.; Lei, M.; Deng, H.H.; Leong, G.K.; Huang, T. Quality-Based Price Competition Model for the WEEE Recycling Market with Government Subsidy. Omega 2015, 59, 290–302. [Google Scholar] [CrossRef]
- Zhu, X.; Wang, M.; Chen, G.; Chen, X. The effect of implementing trade-in strategy on duopoly competition. Eur. J. Oper. Res. 2016, 248, 856–868. [Google Scholar] [CrossRef]
- Li, K.J.; Xu, S.H. The comparison between trade-in and leasing of a product with technology innovations. Omega 2015, 54, 134–146. [Google Scholar] [CrossRef]
- Erica, M.O. Trade-Ins, Mental Accounting, and Product Replacement Decisions. J. Consum. Res. 2001, 27, 433–446. [Google Scholar]
- Zhang, F.; Zhang, P. Trade-In Remanufacturing, Strategic Customer Behavior, and Government Subsidies; Social Science Electronic Publishing: Rochester, NY, USA, 2015. [Google Scholar]
- Miao, Z.; Fu, K.; Xia, Z.; Wang, Y. Models for closed-loop supply chain with trade-ins. Omega 2015, 66, 308–326. [Google Scholar] [CrossRef]
- Ray, S.; Boyaci, T.; Aras, N. Optimal Prices and Trade-In Rebates for Durable, Remanufacturable Products. Manuf. Serv. Oper. Manag. 2005, 7, 208–228. [Google Scholar] [CrossRef]
- Montgomery, W.D. Markets in licenses and efficient pollution control programs. J. Econ. Theory 1972, 5, 395–418. [Google Scholar] [CrossRef]
- Laffont, J.; Tirole, J. Pollution permits and compliance strategies. J. Public Econ. 1996, 62, 127–140. [Google Scholar] [CrossRef]
- Benjaafar, S.; Li, Y.; Daskin, M. Carbon footprint and the management of supply chains: Insights from simple models. IEEE Trans. Autom. Sci. Eng. 2013, 10, 99–116. [Google Scholar] [CrossRef]
- Chen, X.; Benjaafar, S.; Elomri, A. The carbon-constrained EOQ. Oper. Res. Lett. 2013, 41, 172–179. [Google Scholar] [CrossRef]
- Hua, G.; Cheng, T.C.E.; Wang, S.Y. Managing carbon footprints ininventory management. Int. J. Prod. Econ. 2011, 132, 178–185. [Google Scholar] [CrossRef]
- Wang, L.; Chen, M. Policies and Perspective on End-of-Life Vehicles in China. J. Clean. Prod. 2013, 44, 168–176. [Google Scholar] [CrossRef]
- Wang, Y.X.; Chang, X.Y.; Chen, Z.G.; Zhong, Y.G.; Fan, T.J. Impact of Subsidy Policies on Recycling and Remanufacturing Using System Dynamics Methodology: A Case of Auto Parts in China. J. Clean. Prod. 2014, 74, 161–171. [Google Scholar] [CrossRef]
- Mitra, S.; Webster, S. Competition in Remanufacturing and the Effects of Government Subsidies. Int. J. Prod. Econ. 2008, 111, 287–298. [Google Scholar] [CrossRef]
- Miao, Z.; Mao, H.; Fu, K.; Wang, Y. Remanufacturing with trade-ins under carbon regulations. Comput. Oper. Res. 2017, in press. [Google Scholar] [CrossRef]
- Shi, W.; Min, K.J. Remanufacturing decisions and implications under material cost uncertainty. Int. J. Prod. Res. 2014, 53, 6421–6435. [Google Scholar] [CrossRef]





| Parameters | Definitions | 
|---|---|
| / | Selling price of new products and remanufactured products | 
| / | Unit cost of new products and remanufactured products | 
| Recycle price of used products | |
| Trade-in subsidy | |
| The proportion of new consumers is , so the proportion of replacement consumers is | |
| / | The demand for of products and remanufactured products from new consumers or repeat consumers (k = ) | 
| Willingness to pay of new products | |
| t | Willingness to pay of remanufactured products | 
| Consumers’ cognitive value for possessing used products | |
| Unit carbon emission from new products and remanufactured products | |
| Tax of unit carbon emission from new and remanufactured products in the mode of remanufacture subsidy | |
| Subsidy for the unit remanufactured product in the mode of remanufacture subsidy | |
| Tax of unit carbon emission from remanufactured products in the mode of tax rebate | |
| Manufacturer’s profits | 
| Variables | ||||
|---|---|---|---|---|
| ↗ | ↘/↗ | ↗/↘ | ↘/↗ | ↗/↘ | 
| ↗ | → | → | → | ↗ | 
| ↗ | ↘ | ↗ | ↘ | ↗ | 
| ↗ | ↘ | ↗ | ↘ | ↗ | 
| Variables | ||||
|---|---|---|---|---|
| ↗ | ↘/↗ | ↗/↘ | ↘/↗ | ↗/↘ | 
| ↗ | → | → | → | ↗ | 
| ↗ | ↘ | ↗ | ↘ | ↗ | 
| ↗ | ↗ | ↘ | ↗ | ↘ | 
© 2017 by the authors; licensee MDPI, Basel, Switzerland. This article is an open access article distributed under the terms and conditions of the Creative Commons Attribution (CC BY) license (http://creativecommons.org/licenses/by/4.0/).
Share and Cite
Shu, T.; Peng, Z.; Chen, S.; Wang, S.; Lai, K.K.; Yang, H. Government Subsidy for Remanufacturing or Carbon Tax Rebate: Which Is Better for Firms and a Low-Carbon Economy. Sustainability 2017, 9, 156. https://doi.org/10.3390/su9010156
Shu T, Peng Z, Chen S, Wang S, Lai KK, Yang H. Government Subsidy for Remanufacturing or Carbon Tax Rebate: Which Is Better for Firms and a Low-Carbon Economy. Sustainability. 2017; 9(1):156. https://doi.org/10.3390/su9010156
Chicago/Turabian StyleShu, Tong, Zhizhen Peng, Shou Chen, Shouyang Wang, Kin Keung Lai, and Honglin Yang. 2017. "Government Subsidy for Remanufacturing or Carbon Tax Rebate: Which Is Better for Firms and a Low-Carbon Economy" Sustainability 9, no. 1: 156. https://doi.org/10.3390/su9010156
APA StyleShu, T., Peng, Z., Chen, S., Wang, S., Lai, K. K., & Yang, H. (2017). Government Subsidy for Remanufacturing or Carbon Tax Rebate: Which Is Better for Firms and a Low-Carbon Economy. Sustainability, 9(1), 156. https://doi.org/10.3390/su9010156
 
         
                                                


 
       