Sea-Level Rise and Land Subsidence: Impacts on Flood Projections for the Mekong Delta’s Largest City
Abstract
:1. Introduction
2. Methodologies
2.1. Target City and Site
2.2. Water Level Monitoring Stations and Data
2.3. Tidal Harmonic Analysis
3. Results
3.1. Yearly Rate of Water Level Rise and Land Subsidence
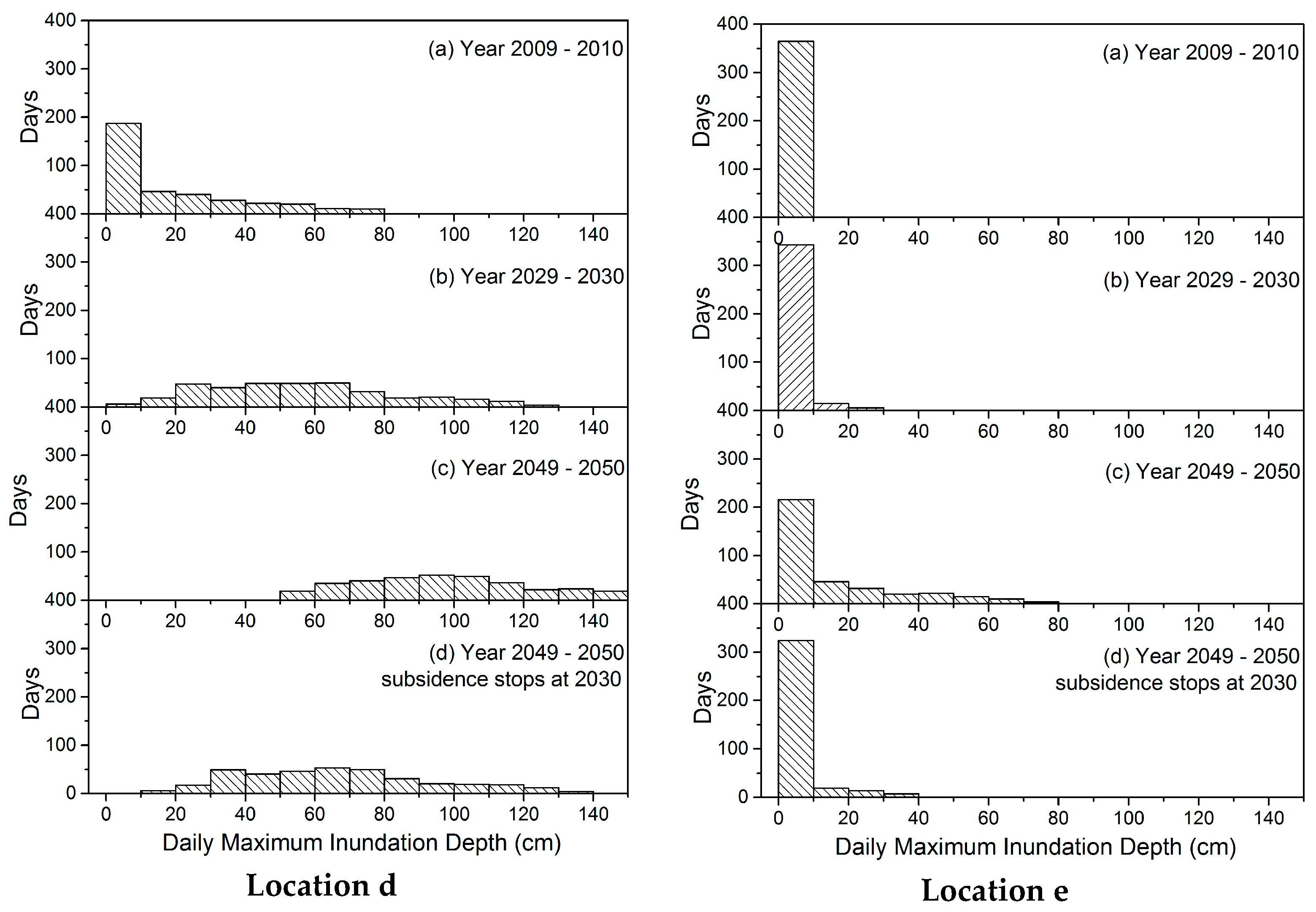
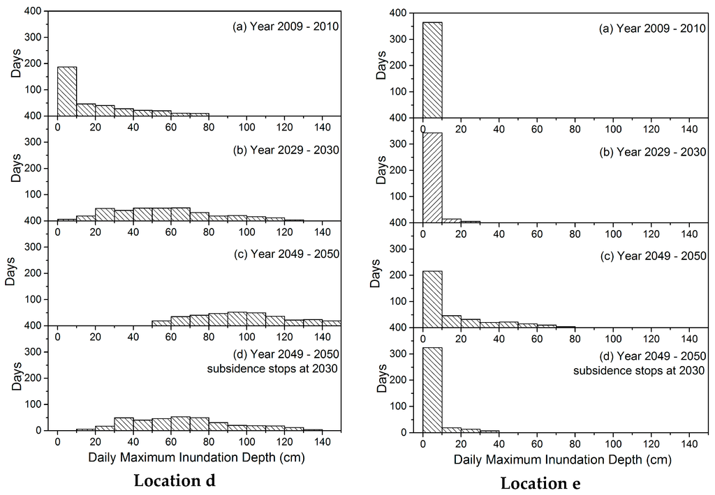
3.2. Inundation Frequency and Depth in the Near Future
4. Discussion
5. Conclusions
Acknowledgments
Author Contributions
Conflicts of Interest
Appendix A



| 2009–2010 | 2029–2030 | 2049–2050 | 2049–2050 Subsidence Stops at 2030 | |
|---|---|---|---|---|
| January | 6 | 28 | 31 | 30 |
| February | 2 | 17 | 28 | 20 |
| March | 0 | 24 | 31 | 27 |
| April | 0 | 18 | 30 | 22 |
| May | 0 | 15 | 31 | 18 |
| June | 0 | 8 | 30 | 21 |
| July | 3 | 17 | 31 | 26 |
| August | 8 | 25 | 31 | 28 |
| September | 8 | 26 | 30 | 28 |
| October | 21 | 31 | 31 | 31 |
| November | 19 | 30 | 30 | 30 |
| December | 5 | 31 | 31 | 31 |
| Total | 72 | 270 | 365 | 312 |
References
- WWF. The Greater Mekong and Climate Change: Biodiversity, Ecosystem Services and Development at Risk; WWF: Bangkok, Thailand, 2009; p. 34. [Google Scholar]
- Thi Thuy, H.P.; Furukawa, M. Impact of sea level rise on coastal zone of Vietnam. Bull. Coll. Sci. Univ. Ryukyu 2007, 84, 45–59. [Google Scholar]
- Dasgupta, S.; Laplante, B.; Meisner, C.; Wheeler, D.; Yan, J. The Impact of Sea Level Rise on Developing Countries: A Comparative Analysis. World Bank Policy Research Working Paper 4136. 2007. Available online: https://openknowledge.worldbank.org/bitstream/handle/10986/7174/wps4136.pdf (accessed on 13 September 2016).
- Wassmann, R.; Hien, N.X.; Hoanh, C.T.; Tuong, T.P. Sea level rise affecting the Vietnamese Mekong delta: Water elevation in the flood season and implications for rice production. Clim. Chang. 2004, 66, 89–107. [Google Scholar] [CrossRef]
- Carew-Reid, J. Rapid Assessment of the Extent and Impact of Sea Level Rise in Viet Nam; ICEM—International Centre for Environmental Management: Sydney, Australia, 2008; p. 74. [Google Scholar]
- Nerem, R.S.; Chambers, D.P.; Leuliette, E.W. Variations in global mean sea level associated with the 1997–1998 ENSO event: Implications for measuring long term sea level change. Geophys. Res. Lett. 1999, 26, 3005–3008. [Google Scholar] [CrossRef]
- Becker, A.; Toilliez, J.O.; Mitchell, T.J. Considering sea level change when designing marine civil works: Recommendations for best practices. In Handbook of Coastal Disaster Mitigation for Engineers and Planners; Esteban, M., Takagi, H., Shibayama, T., Eds.; Elsevier: New York, NY, USA, 2015; pp. 697–722. [Google Scholar]
- Takagi, H.; Thao, N.D.; Esteban, M.; Tran, T.T.; Knaepen, H.L.; Mikami, T. Vulnerability of coastal areas in southern Vietnam against tropical cyclones and storm surges. In Proceedings of the 4th International Conference on Estuaries and Coasts (ICEC), Hanoi, Vietnam, 8–11 October 2012; pp. 292–299.
- Esteban, M.; Thao, N.D.; Takagi, H.; Shibayama, T. Increase in port downtime and damage in Vietnam due to a potential increase in tropical cyclone intensity. In Climate Change and the Sustainable Use of Water Resources; Leal Filho, W., Ed.; Springer: Berlin/Heidelberg, Germany, 2012. [Google Scholar]
- Takagi, H.; Thao, N.D.; Esteban, M. Tropical cyclones and storm surges in southern Vietnam. In Coastal Disasters and Climate Change in Vietnam: Engineering and Planning Perspectives; Thao, N.D., Takagi, H., Esteban, M., Eds.; Elsevier: New York, NY, USA, 2014; pp. 3–16. [Google Scholar]
- Takagi, H.; Thao, N.D.; Esteban, M.; Mikami, T.; Cong, L.V.; Ca, V.T. Coastal Disasters in Vietnam. In Handbook of Coastal Disaster Mitigation for Engineers and Planners; Esteban, M., Takagi, H., Shibayama, T., Eds.; Elsevier: New York, NY, USA, 2015; pp. 235–255. [Google Scholar]
- Mekong River Commission (MRC). State of the Basin Report 2010; MRC: Vientiane, Laos, 2010; p. 232. [Google Scholar]
- Syvitski, J.P.M.; Kettner, A.J.; Overeem, I.; Hutton, E.W.H.; Hannon, M.T.; Brakenridge, G.R.; Day, J.; Vörösmarty, C.; Saito, Y.; Giosan, L.; et al. Sinking deltas due to human activities. Nat. Geosci. 2009, 2, 681–686. [Google Scholar] [CrossRef]
- Erban, L.E.; Gorelick, S.M.; Zebker, H.A. Groundwater extraction, land subsidence, and sea-level rise in the Mekong Delta, Vietnam. Environ. Res. Lett. 2014, 9. [Google Scholar] [CrossRef]
- Huong, H.T.L.; Pathirana, A. Urbanization and climate change impacts on future urban flooding in Can Tho city, Vietnam. Hydrol. Earth Syst. Sci. 2013, 17, 379–394. [Google Scholar] [CrossRef]
- Schmidt, C. Alarm over a sinking delta. Science 2015, 348, 845–846. [Google Scholar] [CrossRef] [PubMed]
- Food and Agriculture Organization of the United Nations (FAO). Rice Market Monitor. Volume XIV—Issue No. 2. 2011, p. 35. Available online: http://www.fao.org/docrep/014/am491e/am491e00.pdf (accessed on 13 September 2016).
- Thao, N.D.; Takagi, H.; Esteban, M. (Eds.) Coastal Disasters and Climate Change in Vietnam—Engineering and Planning Perspectives; Elsevier: New York, NY, USA, 2014; p. 424.
- Trung, N.H.; Tri, V.P.D. Possible impacts of seawater intrusion and strategies for water management in coastal areas in the Vietnamese Mekong delta in the context of climate change. In Coastal Disasters and Climate Change in Vietnam: Engineering and Planning Perspectives; Thao, N.D., Takagi, H., Esteban, M., Eds.; Elsevier: New York, NY, USA, 2014; pp. 219–232. [Google Scholar]
- Smajgl, A.; Toan, T.Q.; Nhan, D.K.; Ward, J.; Trung, N.H.; Tri, L.Q.; Tri, V.P.D.; Vu, P.T. Responding to rising sea levels in the Mekong Delta. Nat. Clim. Chang. 2015, 5, 167–174. [Google Scholar] [CrossRef]
- Takagi, H.; Ty, T.V.; Thao, N.D.; Esteban, M. Ocean tides and the influence of sea-level rise on floods in urban areas of the Mekong Delta. J. Flood Risk Manag. 2014, 8, 292–300. [Google Scholar] [CrossRef]
- Mekong River Commission (MRC). Overview of the Hydrology of the Mekong Basin; MRC: Vientiane, Laos, 2005. [Google Scholar]
- Apel, H.; Trepat, O.M.; Hung, N.N.; Chinh, D.T.; Metz, B.; Dung, N.V. Combined fluvial and pluvial urban flood hazard analysis: Concept development and application to Can Tho city, Mekong Delta, Vietnam. Nat. Hazards Earth Syst. Sci. 2016, 16, 941–961. [Google Scholar] [CrossRef]
- Fujihara, Y.; Hoshikawa, K.; Fujii, H.; Kotera, A.; Nagano, T.; Yokoyama, S. Analysis and attribution of trends in water levels in the Vietnamese Mekong Delta. Hydrol. Process. 2015. [Google Scholar] [CrossRef]
- Takagi, H.; Tsurudome, C.; Thao, N.D.; Le, T.A.; Tran, V.T.; Van, P.D.T. Ocean tidal modelling for urban flood risk assessment in the Mekong Delta. Hydrol. Res. Lett. 2016, 10, 21–26. [Google Scholar] [CrossRef]
- Ministry of Natural Resources and Environment (MONRE). Climate Change, Sea Level Rise Scenarios for Viet Nam, Ministry of Natural Resources and Environment of Vietnam; MONRE: Bangkok, Thailand, 2009.
- Thanh, N.D. Climate Change in the Coastal Regions of Vietnam. In Coastal Disasters and Climate Change in Vietnam: Engineering and Planning Perspectives, 1st ed.; Thao, N.D., Takagi, H., Esteban, M., Eds.; Elsevier: New York, NY, USA, 2014; pp. 175–198. [Google Scholar]
- Intergovernmental Panel on Climate Change (IPCC). Climate Change 2013—The Physical Science Basis. Working Group I Contribution to the Fifth Assessment Report of the Intergovernmental Panel on Climate Change; Cambridge University Press: Cambridge, UK, 2013; p. 1552. [Google Scholar]
- Watson, C.S.; White, N.J.; Church, J.A.; King, M.A.; Burgette, R.J.; Legresy, B. Unabated global mean sea-level rise over the satellite altimeter era. Nat. Clim. Chang. 2015, 5, 565–568. [Google Scholar] [CrossRef]
- DeConto, R.; Pollard, D. Contribution of Antarctica to past and future sea level rise. Nature 2016, 531, 591. [Google Scholar] [CrossRef] [PubMed]
- Shoji, D. On the variations of the daily mean sea levels along the Japanese Islands. J. Oceanograph. Soc. Jpn. 1961, 17, 21–32. [Google Scholar]
- Kitade, Y.; Matsuyama, M. Coastal-trapped waves with several-day period caused by wind along the southeast coast of Honshu, Japan. J. Oceanogr. 2000, 56, 727–744. [Google Scholar] [CrossRef]
- Takagi, H.; Kidu, S.; Shibayama, T. Analysis of Abnormal Tides in Tokyo Bay induced by Incoming Continental-shelf Waves. Jpn. Soc. Civ. Eng. 2008, 55, 1306–1310. [Google Scholar]
- Takagi, H.; Esteban, M.; Mikami, T.; Fujii, D. Projection of coastal floods in 2050 Jakarta. Urban Clim. 2016, 17, 135–145. [Google Scholar] [CrossRef]
- Delgado, J.M.; Apel, H.; Merz, B. Flood trends and variability in the Mekong River. Hydrol. Earth Syst. Sci. 2010, 14, 407–418. [Google Scholar] [CrossRef]
- Be, T.T.; Sinh, B.T.; Miller, F. (Eds.) Challenges to Sustainable Development in the Mekong Delta: Regional and National Policy Issues and Research Needs: Literature Analysis; The Sustainable Mekong Research Network: Bangkok, Thailand, 2007; p. 208.
- Toan, T.Q. Climate change and sea level rise in the Mekong delta: Flood. In Coastal Disasters and Climate Change in Vietnam: Engineering and Planning Perspectives; Thao, N.D., Takagi, H., Esteban, M., Eds.; Elsevier: New York, NY, USA, 2014; pp. 199–218. [Google Scholar]
- Land Bureau, Japan. Ground Water Map—Chiba Tokyo Kanagawa Prefectures District; Land Bureau: Tokyo, Japan, 1996; p. 142. (In Japanese)
- Yamamoto, L. Environmental displacement in Vietnam. In Coastal Disasters and Climate Change in Vietnam: Engineering and Planning Perspectives; Thao, N.D., Takagi, H., Esteban, M., Eds.; Elsevier: New York, NY, USA, 2014; pp. 379–393. [Google Scholar]
- Ministry of Natural Resources and Environment (MONRE). Natural Hydrological Report of Can Tho Station 2000–2010; MONRE: Bangkok, Thailand, 2011. (In Vietnamese)








| M2 | N2 | S2 | K1 | O1 | |||||
|---|---|---|---|---|---|---|---|---|---|
| Amplitude | Phase | Amplitude | Phase | Amplitude | Phase | Amplitude | Phase | Amplitude | Phase |
| 51.9 | 152.4 | 9.7 | 118.7 | 17.7 | 198.0 | 35.1 | 18.2 | 21.3 | 324.3 |
© 2016 by the authors; licensee MDPI, Basel, Switzerland. This article is an open access article distributed under the terms and conditions of the Creative Commons Attribution (CC-BY) license (http://creativecommons.org/licenses/by/4.0/).
Share and Cite
Takagi, H.; Thao, N.D.; Anh, L.T. Sea-Level Rise and Land Subsidence: Impacts on Flood Projections for the Mekong Delta’s Largest City. Sustainability 2016, 8, 959. https://doi.org/10.3390/su8090959
Takagi H, Thao ND, Anh LT. Sea-Level Rise and Land Subsidence: Impacts on Flood Projections for the Mekong Delta’s Largest City. Sustainability. 2016; 8(9):959. https://doi.org/10.3390/su8090959
Chicago/Turabian StyleTakagi, Hiroshi, Nguyen Danh Thao, and Le Tuan Anh. 2016. "Sea-Level Rise and Land Subsidence: Impacts on Flood Projections for the Mekong Delta’s Largest City" Sustainability 8, no. 9: 959. https://doi.org/10.3390/su8090959
APA StyleTakagi, H., Thao, N. D., & Anh, L. T. (2016). Sea-Level Rise and Land Subsidence: Impacts on Flood Projections for the Mekong Delta’s Largest City. Sustainability, 8(9), 959. https://doi.org/10.3390/su8090959

