Assessment of the Air Pollution Level in the City of Rome (Italy)
Abstract
:1. Introduction
2. Materials and Methods
2.1. Characteristics of the Study Area
2.2. Pollutant Legislation
2.3. Post Processing Techniques
- Probability distribution describes the possible values that a random variable can take within a given range.
- Kurtosis is a measure of whether the data have a flattening or elongation from the normal distribution. High kurtosis indicates a flattering distribution, while low values indicate an elongation distribution.
- Skewness is a measure of the asymmetry of the distribution. A data set is symmetric if it looks the same to the left and right of the center point.
- Poincaré sections are a way to represent a dynamical system. The surface of section presents a trajectory in n-dimensional phase space in an (n-1)-dimensional space. By picking one phase element constant and plotting the values of the other elements each time the selected element has the desired value, an intersection surface is obtained. The phase space is a surface that describes all the possible states of a system.
- Cross-correlation is a measure of similarity of two data series as a function of the lag of one relative to the other.
- Coefficient of variation normalizes the standard deviation with the mean of a data. This index gives information about the variability of a data set.
- Generalized Extreme Value distribution is often applied to analyse a large set of data characterized by small or large value. In this approach three simpler distributions into a single form are combined, allowing a continuous range of possible shapes.
2.4. Monitoring Station Network
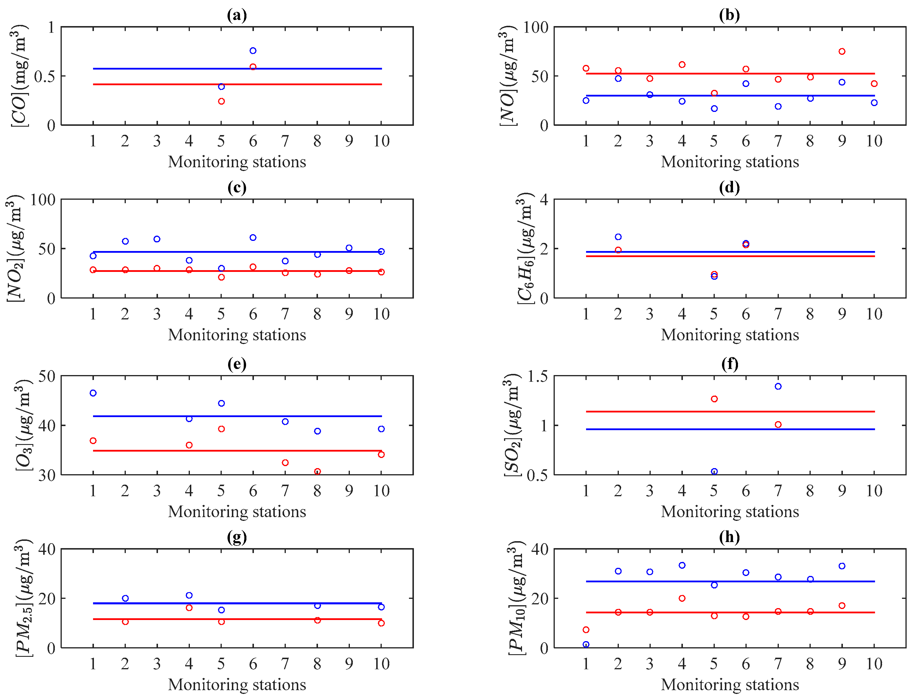
3. Results and Discussion
4. Conclusions
Acknowledgments
Author Contributions
Conflicts of Interest
References
- International Agency for Research on Cancer (IARC). Outdoor air pollution. In IARC Monograph on the Evaluation of Carcinogenic Risks to Humans; International Agency for Research on Cancer: Lyon, France, 2015; Volume 109. [Google Scholar]
- Mayer, H. Air pollution in cities. Atmos. Environ. 1999, 33, 4029–4037. [Google Scholar] [CrossRef]
- Guerrieri, M.; Corriere, F.; Rizzo, G.; Casto, B.L.; Scaccianoce, G. Improving the Sustainability of Transportation: Environmental and Functional Benefits of Right Turn by-Pass Lanes at Roundabouts. Sustainability 2015, 7, 5838–5856. [Google Scholar] [CrossRef]
- Schiavon, M.; Redivo, M.; Antonacci, G.; Rada, E.C.; Ragazzi, M.; Zardi, D.; Giovannini, L. Assessing the air quality impact of nitrogen oxides and benzene from road traffic and domestic heating and the associated cancer risk in an urban area of Verona (Italy). Atmos. Environ. 2015, 120, 234–243. [Google Scholar] [CrossRef]
- Lim, S.S.; Vos, T.; Flaxman, A.D.; Danaei, G.; Shibuya, K.; Adair-Rohani, H.; Adair-Rohani, H.; Amann, M.; Anderson, H.R.; Andrews, K.G.; et al. A comparative risk assessment of burden of disease and injury attributable to 67 risk factors and risk factor clusters in 21 regions, 1990–2010: A systematic analysis for the Global Burden of Disease Study 2010. Lancet 2013, 380, 2224–2260. [Google Scholar] [CrossRef]
- Straif, K.; Cohen, A.; Samet, J. Air Pollution and Cancer. IARC Scientific Publication No. 161; International Agency for Research on Cancer: Lyon, France, 2015. [Google Scholar]
- Ghedini, N.; Gobbi, G.; Sabbioni, C.; Zappia, G. Determination of elemental and organic carbon on damaged stone monuments. Atmos. Environ. 2000, 34, 4383–4391. [Google Scholar] [CrossRef]
- Coppi, M.; Quintino, A.; Salata, F. Numerical study of a vertical channel heated from below to enhance natural ventilation in a residential building. Int. J. Vent. 2013, 12, 41–49. [Google Scholar] [CrossRef]
- Salata, F.; Golasi, I.; De Lieto Vollaro, E.; Bisegna, F.; Nardecchia, F.; Coppi, M.; Gugliermetti, F.; de Lieto Vollaro, A. Evaluation of different urban microclimate mitigation strategies through a PMV analysis. Sustainability 2015, 7, 9012–9030. [Google Scholar] [CrossRef]
- De Lieto Vollaro, R.; Evangelisti, L.; Carnielo, E.; Battista, G.; Gori, P.; Guattari, C.; Fanchiotti, A. An Integrated Approach for an Historical Buildings Energy Analysis in a Smart Cities Perspective. Energy Procedia 2014, 45, 372–378. [Google Scholar] [CrossRef]
- Evangelisti, L.; Battista, G.; Guattari, C.; Basilicata, C.; de Lieto Vollaro, R. Influence of the Thermal Inertia in the European Simplified Procedures for the Assessment of Buildings’ Energy Performance. Sustainability 2014, 6, 4514–4524. [Google Scholar] [CrossRef]
- Salata, F.; de Lieto Vollaro, A.; de Lieto Vollaro, R.; Davoli, M. Plant reliability in hospital facilities. Energy Procedia 2014, 45, 1195–1204. [Google Scholar] [CrossRef]
- Evangelisti, L.; Battista, G.; Guattari, C.; Basilicata, C.; de Lieto Vollaro, R. Analysis of Two Models for Evaluating the Energy Performance of Different Buildings. Sustainability 2014, 6, 5311–5321. [Google Scholar] [CrossRef]
- De Lieto Vollaro, R.; Vallati, A.; Bottillo, S. Differents Methods to Estimate the Mean Radiant Temperature in an Urban Canyon. Adv. Mater. Res. 2013, 650, 647–651. [Google Scholar] [CrossRef]
- D’Orazio, A.; Fontana, L.; Salata, F. Experimental study of a semi-passive ventilation grille with a feedback control system. Rev. Sci. Instrum. 2011, 82, 085107. [Google Scholar] [CrossRef] [PubMed]
- Coppi, M.; Quintino, A.; Salata, F. Fluid dynamic feasibility study of solar chimney in residential buildings. Int. J. Heat Technol. 2011, 29, 1–5. [Google Scholar]
- Salata, F.; Golasi, I.; de Lieto Vollaro, R.; de Lieto Vollaro, A. Outdoor thermal comfort in the Mediterranean area. A transversal study in Rome, Italy. Build. Environ. 2016, 96, 46–61. [Google Scholar] [CrossRef]
- Salata, F.; Alippi, C.; Tarsitano, A.; Golasi, I.; Coppi, M. A first approach to natural thermoventilation of residential buildings through ventilation chimneys supplied by solar ponds. Sustainability 2015, 7, 9649–9663. [Google Scholar] [CrossRef]
- Vallati, A.; De Lieto Vollaro, A.; Golasi, I.; Barchiesi, E.; Caranese, C. On the impact of urban micro climate on the energy consumption of buildings. Energy Procedia 2015, 82, 506–511. [Google Scholar] [CrossRef]
- Battista, G.; Carnielo, E.; Evangelisti, L.; Frascarolo, M.; de Lieto Vollaro, R. Energy Performance and Thermal Comfort of a High Efficiency House: RhOME for denCity, Winner of Solar Decathlon Europe 2014. Sustainability 2015, 7, 9681–9695. [Google Scholar] [CrossRef]
- Memon, R.A.; Leung, D.Y.C.; Liu, C. An investigation of urban heat island intensity (UHII) as an indicator of urban heating. Atmos. Res. 2009, 94, 491–500. [Google Scholar] [CrossRef]
- Goia, F.; Zinzi, M.; Carnielo, E.; Serra, V. Characterization of the optical properties of a PCM glazing system. Energy Procedia 2012, 30, 428–437. [Google Scholar] [CrossRef]
- Paolini, R.; Zinzi, M.; Poli, T.; Carnielo, E.; Mainini, A.G. Effect of ageing on solar spectral reflectance of roofing membranes: Natural exposure in Roma and Milano and the impact on the energy needs of commercial buildings. Energy Build. 2014, 84, 333–343. [Google Scholar] [CrossRef]
- Goia, F.; Zinzi, M.; Carnielo, E.; Serra, V. Spectral and angular solar properties of a PCM-filled double glazing unit. Energy Build. 2015, 87, 302–312. [Google Scholar] [CrossRef]
- Zinzi, M.; Carnielo, E.; Federici, A. Preliminary studies of a cool roofs’ energy-rating system in Italy. Adv. Build. Energy Res. 2014, 8, 84–96. [Google Scholar] [CrossRef]
- Carnielo, E.; Zinzi, M. Optical and thermal characterisation of cool asphalts to mitigate urban temperatures and building cooling demand. Build. Environ. 2013, 60, 56–65. [Google Scholar] [CrossRef]
- De Lieto Vollaro, A.; Galli, G.; Vallati, A.; Romagnoli, R. Analysis of thermal field within an urban canyon with variable thermophysical characteristics of the building’s walls. J. Phys. Conf. Ser. 2015, 655, 012056. [Google Scholar] [CrossRef]
- De Lieto Vollaro, A.; Galli, G.; Vallati, A. CFD Analysis of Convective Heat Transfer Coefficient on External Surfaces of Buildings. Sustainability 2015, 7, 9088–9099. [Google Scholar] [CrossRef]
- Chan, A.T.; So, E.S.P.; Samad, S.C. Strategic guidelines for street canyon geometry to achieve sustainable street air quality. Atmos. Environ. 2001, 35, 4089–4098. [Google Scholar] [CrossRef]
- Oke, T.R. Street design and urban canopy layer climate. Energy Build. 1988, 11, 103–111. [Google Scholar] [CrossRef]
- Britter, R.E.; Hanna, S.R. Flow and dispersion in urban areas. Annu. Rev. Fluid Mech. 2003, 35, 469–496. [Google Scholar] [CrossRef]
- Fisher, R.A.; Tippett, L.H.C. Limiting forms of the frequency distribution of the largest or smallest member of a sample. Math. Proc. Camb. Philos. Soc. 1928, 24, 180–190. [Google Scholar] [CrossRef]
- Martins, E.S.; Stedinger, J.R. Generalized maximum-likelihood generalized extreme-value quantile estimators for hydrologic data. Water Resour. Res. 2000, 36, 737–744. [Google Scholar] [CrossRef]
- Kütchenhoff, H.; Thamerus, M. Extreme value analysis of Munich air pollution data. Environ. Ecol. Stat. 1996, 3, 127–141. [Google Scholar] [CrossRef]
- Smith, R.L. Extreme Value Analysis of Environmental Time Series: An Application to Trend Detection in Ground-Level Ozone. Stat. Sci. 1989, 4, 367–377. [Google Scholar] [CrossRef]
- Rao, S.T.; Sistla, G.; Henry, R. Statistical analysis of trends in urban ozone air quality. J. Air Waste Manag. Assoc. 1992, 42, 1204–1211. [Google Scholar] [CrossRef]
- Nor, A.M.A.; Mohd, B.A.; Ahmad, Z.A. Bayesian Extreme for Modeling High PM10 Concentration in Johor. Procedia Environ. Sci. 2015, 30, 309–314. [Google Scholar]
- Shi, L.; Stuart, B.; Feng-Chiao, S.; Bhramar, M. Addressing extrema and censoring in pollutant and exposure data using mixture of normal distributions. Atmos. Environ. 2013, 77, 464–473. [Google Scholar]
- Shen, L.; Mickley, L.J.; Gilleland, E. Impact of increasing heat waves on US ozone episodes in the 2050s: Results from a multimodel analysis using extreme value theory. Geophys. Res. Lett. 2016, 43, 4017–4025. [Google Scholar] [CrossRef] [PubMed]
- Roma Capitale, Piano Generale del Traffico Urbano (in English: City Urban Traffic General Plan). April 2015. Available online: https://www.comune.roma.it/pcr/it/dip_mob_delibere.page (accessed on 22 August 2016).
- United States Environmental Protection Agency (EPA). Air Quality Planning and Standards. Available online: https://www3.epa.gov/airquality/ (accessed on 22 August 2016).
- European Commission. Available online: http://ec.europa.eu/ (accessed on 22 August 2016).
- European Union. Directive 2008/50/EC of the European Parliament and of the Council of 21 May 2008 on Ambient Air Quality and Cleaner Air for Europe. Available online: http://eur-lex.europa.eu/LexUriServ/LexUriServ.do?uri=OJ:L:2008:152:0001:0044:en:PDF (accessed on 22 August 2016).
- ARPA Lazio—Centro Regionale della Qualità dell’Aria (in English: Regional Center of Air Quality). Available online: http://www.arpalazio.net/ (accessed on 22 August 2016).
- ARPA Lazio. Valutazione della Qualità dell’aria—2015 (In English: Air Quality Assessment—2015). RT/DAI/16/01; ARPA Lazio: Rieti, Italy, 2015. [Google Scholar]
- Roma Capitale, Fascia Verde e Anello Ferroviario (in English: Green Band and Ring Rail). Available online: http://www.agenziamobilita.roma.it/it/servizi/orari-ztl/fascia-verde-anello-ferroviario.html (accessed on 22 August 2016).
- Beelen, R.; Hoek, G.; Vienneau, D.; Eeftens, M.; Dimakopoulou, K.; Pedeli, X.; Tsai, M.; Künzli, N.; Schikowski, T.; Marcon, A.; et al. Development of NO2 and NOx land use regression models for estimating air pollution exposure in 36 study areas in Europe—The ESCAPE project. Atmos. Environ. 2013, 72, 10–23. [Google Scholar] [CrossRef]
- Eeftens, M.; Beelen, R.; de Hoogh, K.; Bellander, T.; Cesaroni, G.; Cirach, M.; Declercq, C.; Dėdelė, A.; Dons, E.; de Nazelle, A.; et al. Development of land use regression models for PM2.5, PM2.5 absorbance, PM10 and PMcoarse in 20 European study areas; results of the ESCAPE project. Environ. Sci. Technol. 2012, 46, 11195–11205. [Google Scholar] [CrossRef] [PubMed]















| Pollutant | Concentration | Averaging Period | Permitted Excess Each Year |
|---|---|---|---|
| PM10 | 50 µg/m3 | 24 h | 35 |
| PM10 | 40 µg/m3 | 1 year | - |
| PM2.5 | 25 µg/m3 | 1 year | - |
| NO2 | 200 µg/m3 | 1 h | 18 |
| NO2 | 40 µg/m3 | 1 year | - |
| SO2 | 350 µg/m3 | 1 h | 24 |
| SO2 | 125 µg/m3 | 24 h | 3 |
| O3 | 120 µg/m3 | Maximum daily 8 h mean | 25 days averaged over 3 years |
| CO | 10 mg/m3 | Maximum daily 8 h mean | - |
| C6H6 | 5 µg/m3 | 1 year | - |
| Pollutant | PMs | NOx | SO2 | O3 | CO | C6H6 |
|---|---|---|---|---|---|---|
| Sensors | MP101MC | M200 A-API | TE 43i | M400E API | TE 48i | AIR Toxic |
| SWAMDC FAI | ||||||
| SWAM5a FAI | ||||||
| M100E API | M300E API | CP 7001 | ||||
| SWAM DC FAI | ||||||
| TE SHARP 5030 |
| Specie | Kurtosis | Skewness | Coefficient of Variation |
|---|---|---|---|
| [CO] | 14.3 | 2.7 | 66% |
| [NO] | 17.1 | 3.3 | 155% |
| [SO2] | 9.6 | 2.2 | 91% |
| [C6H6] | 9.4 | 2.1 | 72% |
| [NO2] | 3.9 | 0.7 | 48% |
| [PM2.5] | 4.2 | 1.3 | 60% |
| [PM10] | 3.7 | 1.0 | 46% |
| [O3] | 2.8 | 0.7 | 80% |
© 2016 by the authors; licensee MDPI, Basel, Switzerland. This article is an open access article distributed under the terms and conditions of the Creative Commons Attribution (CC-BY) license (http://creativecommons.org/licenses/by/4.0/).
Share and Cite
Battista, G.; Pagliaroli, T.; Mauri, L.; Basilicata, C.; De Lieto Vollaro, R. Assessment of the Air Pollution Level in the City of Rome (Italy). Sustainability 2016, 8, 838. https://doi.org/10.3390/su8090838
Battista G, Pagliaroli T, Mauri L, Basilicata C, De Lieto Vollaro R. Assessment of the Air Pollution Level in the City of Rome (Italy). Sustainability. 2016; 8(9):838. https://doi.org/10.3390/su8090838
Chicago/Turabian StyleBattista, Gabriele, Tiziano Pagliaroli, Luca Mauri, Carmine Basilicata, and Roberto De Lieto Vollaro. 2016. "Assessment of the Air Pollution Level in the City of Rome (Italy)" Sustainability 8, no. 9: 838. https://doi.org/10.3390/su8090838
APA StyleBattista, G., Pagliaroli, T., Mauri, L., Basilicata, C., & De Lieto Vollaro, R. (2016). Assessment of the Air Pollution Level in the City of Rome (Italy). Sustainability, 8(9), 838. https://doi.org/10.3390/su8090838

