Study on the Evolvement of Technology Development and Energy Efficiency—A Case Study of the Past 30 Years of Development in Shanghai
Abstract
:1. Introduction
1.1. Research Background and Purpose
1.2. Research Results and Contributions
2. Literature Review
2.1. Study on the Evolving Relationship between Technological Progress Tactics and Energy Utilization Efficiency
2.2. Study of Chinese Technological Progress and Energy Utilization Efficiency
3. Case Background and Research Method
3.1. Case Choice and Data Sources
3.2. Case Background
3.3. Method of Case Analysis
4. Research Results
4.1. The Relationship of Technological Progress and GDP Energy Consumption
4.1.1. The Relationship between Technological Activities and GDP Energy Consumption
4.1.2. The Relationship between the Science and Technology Achievements, and GDP Energy Consumption
4.1.3. The Relationship between Imported Technologies, Direct Investments from Foreign Companies and GDP Energy Consumption
4.2. The Relationship between Early-Stage the Technological Progress and GDP Energy Consumption
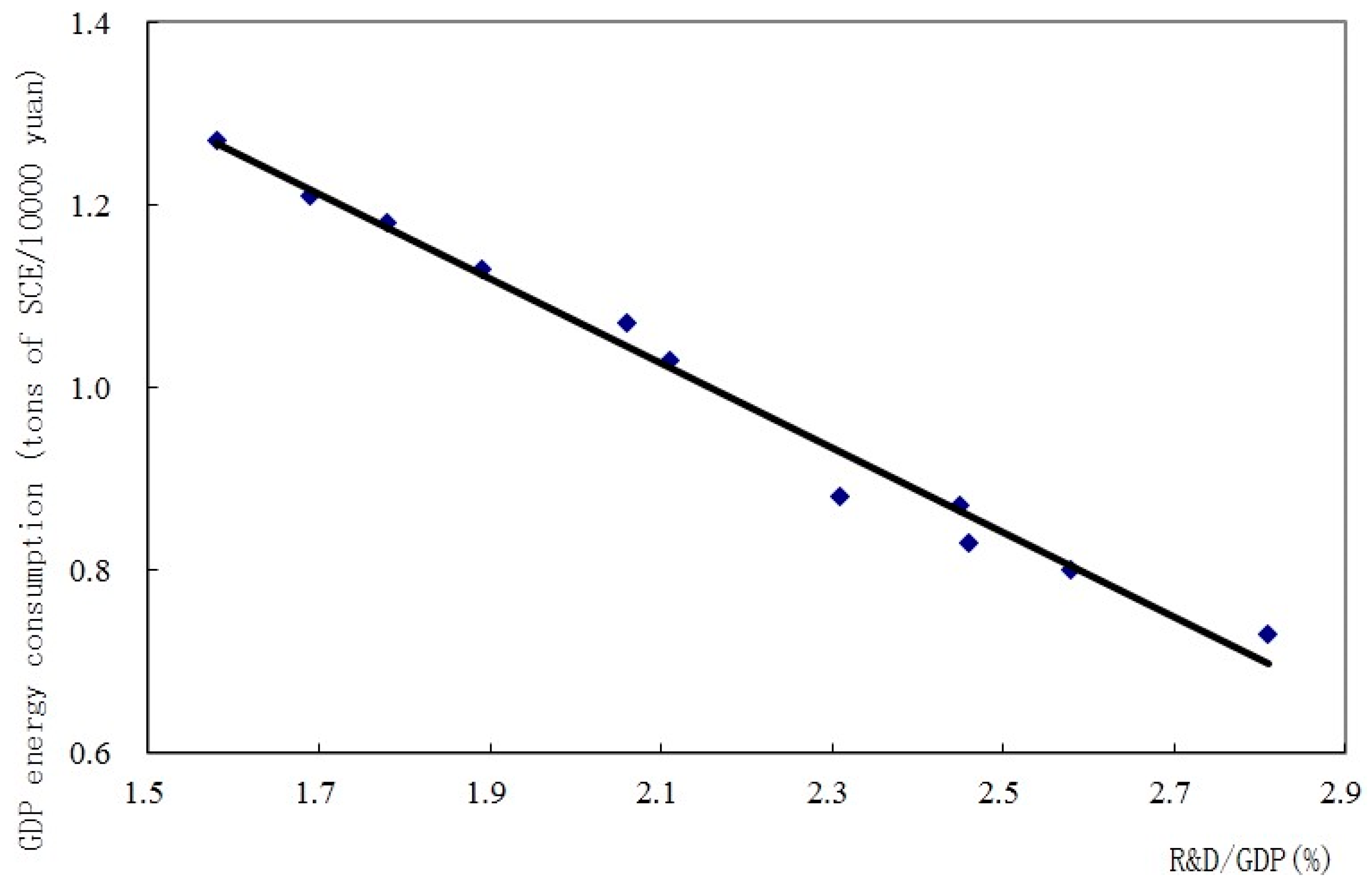
4.2.1. The Relationship between Technological Activities, R&D Investments, Science and Technology Achievements, and GDP Energy Consumption
4.2.2. The Relationship between Technology Import Investments and GDP Energy Consumption
4.2.3. The Relationship between FDI and GDP Energy Consumption
4.3. The Correlation between Technological Progress at the Intermediate Industry Level and GDP Energy Consumption
4.3.1. The Relationship between Technological Activities, R&D Investments, Science and Technology Achievements, and GDP Energy Consumption.
4.3.2. The Relationship between the Investments of Imported Technologies and GDP Energy Consumption
4.3.3. The Relationship between FDI and GDP Energy Consumption
5. Discussions
5.1. Improving Technologies by Importing Technologies and Decreasing GDP Energy Utilization Consumption
5.2. The Relationship between FDI and GDP Energy Consumption
5.3. The Relationship between Science and Technology, R&D Investments and GDP Energy Consumption
6. Conclusions and Contributions
6.1. The Relationship between Imported Technologies and GDP Energy Consumption
6.2. The Relationship between FDI and GDP Energy Consumption
6.3. The Relationship between Technological Investments and GDP Energy Consumption
6.4. The Relationship between Independent Innovation and GDP Energy Consumption
6.5. Conclusions
Acknowledgments
Author Contributions
Conflicts of Interest
Appendix
![]() |
![]() |
![]() |
References
- Wu, Q.; Wu, C.Y. Empirical research on key influencing factors of energy efficiencies in China. Sci. Res. Manag. 2010, 31, 164–170. (In Chinese) [Google Scholar]
- Qu, L.Q. Chinese economy depending much on foreign. Merch. Wkly. 2005, 3, 17. (In Chinese) [Google Scholar]
- Qiu, Y.; Wu, J.J. Foreign direct investment, technology spillovers and China’s economic growth. J. Hunan Univ. Sci. Technol. (Soc. Sci. Ed.) 2006, 9, 74–79. (In Chinese) [Google Scholar]
- Hu, L.J.; Wang, S.C. Total-factor energy efficiency of regions in China. Energy Policy 2006, 34, 3206–3217. [Google Scholar] [CrossRef]
- Li, J.; Zhang, S.; Deng, S.J. An overview of research on energy efficiency. J. Shaoyang Univ. (Soc. Sci. Ed.) 2010, 9, 33–37. (In Chinese) [Google Scholar]
- Ang, B.W. Decomposition of industrial energy consumption: The energy intensive approach. Energy Econ. 1994, 16, 163–174. [Google Scholar] [CrossRef]
- Farla, U.J.; Cuelenaere1, R.; Blok, K. Energy efficiency and structural change in the Netherlands, 1980–1990. Energy Econ. 1998, 20, 1–28. [Google Scholar] [CrossRef]
- Jiang, L.; Ji, M.H. On relationship between technological progress, industry structure, energy consumption structure and energy efficiency in China. Contemp. Econ. Manag. 2011, 33, 13–16. (In Chinese) [Google Scholar]
- Li, L.S.; Zhou, Y. Can technological progress improve energy efficiency? Based on the empirical test of industries in China. Manag. World 2006, 10, 82–89. (In Chinese) [Google Scholar]
- Li, J.K. Empirical analysis on influence of industrial structure on energy consumption: Based on panel data models. Stat. Inf. Forum 2008, 23, 30–35. (In Chinese) [Google Scholar]
- Liu, X.Q.; Ang, B.W.H.; Ong, L. The application of the divisia index to the decomposition of changes in industrial energy consumption. Energy J. 1992, 13, 161–177. [Google Scholar] [CrossRef]
- Lu, Z.N. An empirical analysis of impact of adjustment in Chinese industry structure to energy consumption. J. Quant. Tech. Econ. 1999, 12, 53–55. (In Chinese) [Google Scholar]
- Shi, D. Lower energy consumption: How to realize China’s higher economy development. Energy China 2002, 11, 8–11. (In Chinese) [Google Scholar]
- Wang, Q.B. Industrial energy efficiency and industrial structure upgrading. J. Quant. Tech. Econ. 2010, 10, 49–63. (In Chinese) [Google Scholar]
- Yin, J.D.; Dai, X.M. Unit GDP energy consumption and industrial structure of Jiangsu. Ind. Econ. Res. 2009, 5, 67–73. (In Chinese) [Google Scholar]
- Zhou, Y.; Li, L.S. The action of structure and efficiency on Chinese energy intensity: An empirical analysis based on AWD. Ind. Econ. Res. 2006, 4, 68–74. (In Chinese) [Google Scholar]
- Zhou, M.; Liu, W. On the relation between energy industry and industrial structure in China. Reform. Strategy 2008, 24, 159–164. (In Chinese) [Google Scholar]
- Sagar, A.D.; Van der Zwaan, B. Technological innovation in the energy sector: R&D, deployment, and learning-by-doing. Energy Policy 2006, 34, 2601–2608. [Google Scholar]
- Brada, J.C. Technological progress and factor utilization in Eastern European economic growth. Economica 1989, 56, 433–448. [Google Scholar] [CrossRef]
- Foxon, T.J.; Gross, R.; Chase, A.; Howes, J.; Arnall, A.; Anderson, D. UK innovation systems for new and renewable energy technologies: drivers, barriers and systems failures. Energy Policy 2005, 33, 2123–2137. [Google Scholar] [CrossRef]
- Xu, G.Q.; Jiang, Z.H. The relationship among technology progress, structure change and energy efficiency of US. Sci. Manag. S&T 2007, 3, 104–107. (In Chinese) [Google Scholar]
- Zhao, S.; Xiao, H.J.; Jiang, Z.H. The analysis of American information fixed assets investment R&D and energy efficiency. Ecol. Econ. 2008, 10, 67–70. (In Chinese) [Google Scholar]
- Jacobsen, H.K. Technology diffusion in energy-economy models: The case of Danish vintage models. Energy J. 2000, 21, 43–72. [Google Scholar]
- Khazzoom, J.D. Economic implications of mandated efficiency standards for household appliances. Energy J. 1980, 1, 21–40. [Google Scholar]
- Birol, F.; Keppler, J.H. Prices, technology development and the rebound effect. Energy Policy 2000, 28, 457–469. [Google Scholar] [CrossRef]
- Shi, Q.F. The preliminary analysis of change of elasticity coefficient of energy consumption and the relevant causes of China. Stat. Res. 2005, 5, 8–11. (In Chinese) [Google Scholar]
- Wang, Q.Y. Evaluation of energy efficiency in China. Energy Conserv. Environ. Prot. 2011, 1, 38–42. (In Chinese) [Google Scholar]
- Zhao, J.W.; Fan, J.T. Empirical research on the inherent relationship between economy growth and energy consumption in China. Econ. Res. J. 2007, 8, 31–42. (In Chinese) [Google Scholar]
- Shi, D. China’s economic structure, growth pace and energy efficiency. Int. Pet. Econ. 2007, 7, 7–15. (In Chinese) [Google Scholar]
- Garbaccio, R.F.; Ho, M.S.; Jorgenson, D.W. Why has the energy-output ratio fallen in China? Energy J. 1999, 20, 63–91. [Google Scholar] [CrossRef]
- Zhang, Z.X. Why did the energy intensity fall in China’s industrial sector in the 1990s? Energy Econ. 2003, 25, 625–638. [Google Scholar] [CrossRef]
- Fisher-Vanden, K.; Jefferson, G.H.; Ma, J.K.; Xu, J.Y. Technology development and energy productivity in China. Energy Econ. 2006, 28, 690–705. [Google Scholar] [CrossRef]
- Fisher-Vanden, K.; Jefferson, G.H.; Liu, H.; Tao, Q. What is driving China’s decline in energy intensity? Resour. Energy Econ. 2004, 26, 77–97. [Google Scholar] [CrossRef]
- Liu, C.; Kong, X.L.; Gao, T.M. Empirical analysis of changes in China’s industrial sector energy consumption intensity and influential factors. Resour. Sci. 2008, 30, 1290–1299. (In Chinese) [Google Scholar]
- Zhu, Y.F.; Teng, Y.H. Technology progress, technology efficiency and regional energy efficiency. Dong Yue Tribune 2010, 31, 42–46. (In Chinese) [Google Scholar]
- Wu, Q.S.; Cheng, J.H. Changes and factors decomposition of Chinese energy consumption intensity: 1980–2004. Econ. Theory Bus. Manag. 2006, 10, 34–40. (In Chinese) [Google Scholar]
- Qi, Z.X.; Chen, W.Y. Structural adjustment or technique improvement? Factor analysis of Chinese energy productivity's improvement after the reform and open policy. Shanghai Econ. Rev. 2006, 6, 8–16. (In Chinese) [Google Scholar]
- Xuan, Y.; Zhou, S.D. Technology innovation, rebound effect and energy efficiency of Chinese industry. Finance Trade Econ. 2011, 1, 116–121. (In Chinese) [Google Scholar]
- Chen, J.; Xu, S.Y. The impact of technical progress over China’s energy efficiency: 1972–2006. Sci. Manag. Res. 2008, 26, 9–13. (In Chinese) [Google Scholar]
- Tan, W.H.; Zeng, G.P. The “S” curve of R&D/GDP and thoughts on steady growth of China’s R&D. China Soft Sci. 2005, 1, 94–98. (In Chinese) [Google Scholar]
- Statistical Yearbook of Shanghai (1978–2010); China Statistical Publishing House: Shanghai, China, 1978–2010.
- The Shanghai Technology Statistics Yearbook (1978–2010); Shanghai Statistical Publishing House: Shanghai, China, 1978–2010.
- Fei, F. Grounded theory methodology: Tenets, procedures and criteria for evaluation. J. Public Adm. 2008, 1, 23–43. (In Chinese) [Google Scholar]
- Heatha, H.; Cowley, S. Developing a grounded theory approach: A comparison of Glaser and Strauss. Int. J. Nurs. Stud. 2004, 41, 141–150. [Google Scholar] [CrossRef]










| Samples | Minimum | Maximum | Average | Variance | Correlation of GDP Consumption | ||
|---|---|---|---|---|---|---|---|
| Significance | Pearson | ||||||
| 1. GDP energy consumption (ton SEC/10,000 yuan) | 32 | 0.73 | 8.10 | 3.31 | 5.81 | 0.000 | 1.000 |
| 2. R&D/GDP (%) | 32 | 0.48 | 2.81 | 1.48 | 0.38 | 0.000 | −0.886 ** |
| 3. Investment of technological activities/GDP (%) | 25 | 2.86 | 5.05 | 4.33 | 0.36 | 0.000 | −0.853 ** |
| 4. Contribution rate of technological progress (%) | 16 | 37.47 | 63.89 | 50.98 | 82.67 | 0.000 | −0.944 ** |
| 5. Investment of imported technology/GDP (%) | 30 | 0.13 | 22.02 | 5.50 | 48.16 | 0.000 | −0.644 ** |
| 6. FDI/GDP (%) | 29 | 0.02 | 13.99 | 5.07 | 16.68 | 0.000 | −0.727 ** |
| 7. Number of patent application/Investment of R&D (per million RMB) | 25 | 0.32 | 1.61 | 0.08 | 0.17 | 0.114 | −0.324 |
| 8. Number of science & technology achievements /Investment of R&D (per million RMB) | 32 | 0.05 | 5.26 | 1.53 | 2.52 | 0.000 | 0.930 ** |
| Samples | Minimum | Maximum | Average | Variance | Correlation of GDP Energy Consumption | ||
|---|---|---|---|---|---|---|---|
| Significance | Pearson | ||||||
| GDP energy consumption (ton SEC/10,000 yuan) | 21 | 1.32 | 8.10 | 4.52 | 4.519 | 0.000 | 1.000 |
| R&D/GDP (%) | 21 | 0.48 | 1.57 | 1.13 | 0.128 | 0.000 | −0.916 ** |
| Investment of technological activities/GDP (%) | 14 | 2.86 | 4.93 | 4.08 | 0.404 | 0.000 | −0.951 ** |
| Investment of imported technology/GDP (%) | 19 | 0.13 | 2.90 | 1.32 | 0.623 | 0.000 | −0.866 ** |
| FDI/GDP (%) | 18 | 0.02 | 13.99 | 4.55 | 26.134 | 0.000 | −0.904 ** |
| Number of patent application/Investment of R&D (per million RMB) | 14 | 0.10 | 0.31 | 0.19 | 0.006 | 0.000 | 0.945 ** |
| Number of science & technology achievements /Investment of R&D (per million RMB) | 21 | 0.23 | 5.26 | 2.27 | 2.216 | 0.000 | 0.874 ** |
| Number of Samples | Minimum | Maximum | Average | Variance | Correlation of GDP Energy Consumption | ||
|---|---|---|---|---|---|---|---|
| significance | Pearson | ||||||
| GDP energy consumption (ton SEC/10,000 yuan) | 11 | 0.73 | 1.27 | 1.00 | 0.035 | 0.000 | 1.000 |
| R&D/GDP (%) | 11 | 1.58 | 2.81 | 2.16 | 0.158 | 0.000 | −0.992 ** |
| Investment of technological activities/GDP (%) | 11 | 4.13 | 5.05 | 4.66 | 0.118 | 0.044 | +0.614 * |
| Investment of imported technology/GDP (%) | 11 | 1.82 | 22.02 | 12.72 | 47.954 | 0.145 | −0.469 |
| FDI/GDP (%) | 11 | 4.63 | 7.25 | 5.93 | 0.989 | 0.026 | +0.663 ** |
| Number of patent application/Investment of R&D (per million RMB) | 11 | 0.45 | 1.61 | 1.18 | 0.097 | 0.155 | −0.459 |
| Number of science & technology achievements/Investment of R&D (per million RMB) | 11 | 0.05 | 0.20 | 0.11 | 0.002 | 0.000 | +0.965 ** |
| Contribution rate of technological progress (%) | 11 | 47.16 | 63.80 | 56.09 | 29.414 | 0.000 | −0.987 ** |
© 2016 by the authors; licensee MDPI, Basel, Switzerland. This article is an open access article distributed under the terms and conditions of the Creative Commons Attribution (CC-BY) license (http://creativecommons.org/licenses/by/4.0/).
Share and Cite
Wei, W.X.; Chen, D.; Hu, D. Study on the Evolvement of Technology Development and Energy Efficiency—A Case Study of the Past 30 Years of Development in Shanghai. Sustainability 2016, 8, 457. https://doi.org/10.3390/su8050457
Wei WX, Chen D, Hu D. Study on the Evolvement of Technology Development and Energy Efficiency—A Case Study of the Past 30 Years of Development in Shanghai. Sustainability. 2016; 8(5):457. https://doi.org/10.3390/su8050457
Chicago/Turabian StyleWei, William X., Dezhi Chen, and Daiping Hu. 2016. "Study on the Evolvement of Technology Development and Energy Efficiency—A Case Study of the Past 30 Years of Development in Shanghai" Sustainability 8, no. 5: 457. https://doi.org/10.3390/su8050457
APA StyleWei, W. X., Chen, D., & Hu, D. (2016). Study on the Evolvement of Technology Development and Energy Efficiency—A Case Study of the Past 30 Years of Development in Shanghai. Sustainability, 8(5), 457. https://doi.org/10.3390/su8050457




