Network Analysis for a Better Water Use Configuration in the Baiyangdian Basin, China
Abstract
:1. Introduction
2. Methodology
2.1. Study Area

2.2. Network Analysis for the Water Use System
2.2.1. Network Model Description

2.2.2. Network Analysis Methods
| No. | Name | Symbol | Algorithms |
|---|---|---|---|
| 1 | Total System Throughput | TSTP | |
| 2 | Average Mutual Information | AMI | |
| 3 | Ascendency | A | |
| 4 | Import Ascendency | A0 | |
| 5 | Internal Ascendency | Ai | |
| 6 | Export Ascendency | Ae | |
| 7 | Development Capacity | C | |
| 8 | Ratio ascendency | A/C, A0/A, Ai/A, Ae/A | |
2.3. Scenarios Analysis
| No. | WS | Modification | Scenario |
|---|---|---|---|
| 1 | WS1 | Increasing boundary input by 10% | Precipitation increase |
| 2 | WS2 | Decreasing boundary input by 10% | Precipitation decrease |
| 3 | WS3 | Increasing boundary output by 10% | Lower water use efficient |
| 4 | WS4 | Decreasing boundary output by 10% | Higher water use efficient |
| 5 | WS5 | Increasing interflows among component 2–5 by 10% | More water exchanges |
| 6 | WS6 | Decreasing interflows among component 2–5 by 10% | Less water exchanges |
| 7 | WS7 | Adding new pathways from 5–2, 5–3 and 5–4 | New water exchange mode |
| 8 | WS8 | Reducing pathways among component 2, 3 and 4 | Less water exchanges |
2.4. Data Sources
3. Results and Discussion
3.1. Fluctuations of Network Indicators from 2008–2013

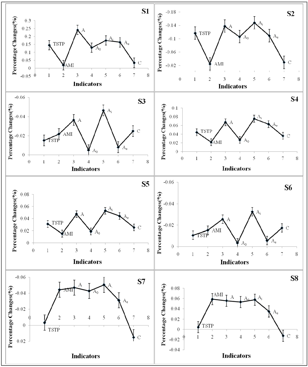
3.2. Results of Scenario Analysis

3.3. Suggested Water Use Strategies for the WUS
| Industry | Measures | Goal Function |
|---|---|---|
| Aquatic systems | Environmental and ecological restoration | Higher TSTP, less damage to Aquatic systems |
| Primary Industry | Using water-saving technology, reducing evapotranspiration and infiltration, planting low-water-consumption crop | Lower Ae and higher Ai |
| Secondary Industry | Increasing water recycling rate both inside and outside the industry | Lower Ae and higher Ai and A/C |
| Tertiary Industry | Water Saving and reclaimed water using | Lower A0 and Ae |
3.4. Discussion
4. Conclusions
Acknowledgments
Author Contributions
Conflicts of Interest
References
- Cai, X.M. Water stress, water transfer and social equity in Northern China—Implications for policy reforms. J. Environ. Manag. 2008, 87, 14–25. [Google Scholar] [CrossRef]
- Chen, B. Integration of Energy, Ecology and Environment. Front. Earth Sci. 2014, 8, 1–2. [Google Scholar] [CrossRef]
- Yin, X.A.; Yang, Z.F. Development of a coupled reservoir operation and water diversion model: Balancing human and environmental flow requirements. Ecol. Model. 2011, 222, 224–231. [Google Scholar] [CrossRef]
- Zeng, Y.; Zhao, J.; Chen, B.; Ji, P.; Wu, Y.H.; Feng, L. Longitudinal spread of bicomponent contaminant in wetland flow dominated by bank-wall effect. J. Hydrol. 2014, 509, 179–187. [Google Scholar] [CrossRef]
- Zeng, Y.; Wu, H.; Ji, P.; Chen, B.; Zhao, Y.J.; Chen, Q.; Wu, Z. Effect of wind on contaminant dispersion in a wetland flow dominated by free-surface effect. Ecol. Model. 2014, 237–238, 101–108. [Google Scholar]
- Radif, A.A. Integrated water resources management (IWRM): An approach to face the challenges of the next century and to avert future crises. Desalination 1999, 124, 145–153. [Google Scholar] [CrossRef]
- Cohen, M.J.; Brown, M.T. A model examining hierarchical wetland networks for watershed storm water management. Ecol. Model. 1997, 201, 179–193. [Google Scholar] [CrossRef]
- Medema, W.; McIntosh, B.S.; Jeffrey, P.J. From premise to practice: A critical assessment of integrated water resources management and adaptive management approaches in the water sector. Ecol. Soc. 2008, 13, 29–34. [Google Scholar]
- Nikolic, V.V.; Simonovic, S.P.; Milicevic, D.B. Analytical Support for Integrated Water Resources Management: A New Method for Addressing Spatial and Temporal Variability. Water Resour. Manag. 2013, 27, 401–417. [Google Scholar] [CrossRef]
- Kramer, A.; Pahl-Wostl, C. The global policy network behind integrated water resources management: Is it an effective norm diffusor? Ecol. Soc. 2014, 19, 11–24. [Google Scholar]
- Chen, B. Ecosystem metabolism framework, metrics and indicators towards sustainable society design and management. Ecol. Inform. 2015. [Google Scholar] [CrossRef]
- Chen, S.Q.; Chen, B. Urban Metabolism and Nexus. Ecol. Inform. 2015. [Google Scholar] [CrossRef]
- Serageldin, I. Water resources management: A new policy for a sustainable future. Water Int. 1995, 20, 15–21. [Google Scholar] [CrossRef]
- Fang, L.; Fath, B.D.; Chen, B.; Ursula, S. Network Environ Analysis for a socio-economic water system. Ecol. Indic. 2014, 47, 80–88. [Google Scholar] [CrossRef]
- Li, Y.; Chen, B. Study on sustainable water use of the Haihe River Basin using ecological network analysis. Front. Earth Sci. China 2009, 3, 419–430. [Google Scholar] [CrossRef]
- Mao, X.F.; Yang, Z.F. Ecological network analysis for virtual water trade systems: A case study for the Baiyangdian Basin in Northern China. Ecol. Inform. 2012, 10, 17–24. [Google Scholar] [CrossRef]
- Zhao, C.F.; Chen, B. Driving force analysis of the agricultural water footprint in China based on the LMDI method. Environ. Sci. Technol. 2014, 48, 12723–12731. [Google Scholar] [CrossRef] [PubMed]
- Zhao, F.; Chen, B.; Hayat, T.; Alsaedi, A.; Ahmad, B. Driving force analysis of water footprint change based on extended STIRPAT model: Evidence from the Chinese agricultural sector. Ecol. Indic. 2014, 47, 43–49. [Google Scholar] [CrossRef]
- Fath, B.D.; Patten, B.C. Review of the foundations of network environ analysis. Ecosystems 1999, 2, 167–179. [Google Scholar] [CrossRef]
- Ulanowicz, R.E.; Tuttle, J.H. The trophic consequences of oyster stock rehabilitation in Chesapeake Bay. Estuar 1992, 15, 298–306. [Google Scholar] [CrossRef]
- Patten, B.C.; Matis, J.H. The water envions of Okefenokee Swamp: Applications of static liner environ analysis. Ecol. Model. 1982, 16, 1–50. [Google Scholar] [CrossRef]
- Bodini, A.; Bondavalli, C. Towards a sustainable use of water resources. Int. J. Environ. Pollut. 2002, 18, 463–485. [Google Scholar] [CrossRef]
- Li, Y.; Chen, B.; Yang, Z.F. Ecological network analysis for water use systems—A case study of the Yellow River Basin. Ecol. Model. 2009, 220, 3167–3173. [Google Scholar]
- Zhang, Y.; Yang, Z.F.; Fath, B.D. Ecological network analysis of an urban water metabolic system: Model development, and a case study for Beijing. Sci. Total Environ. 2010, 408, 4702–4711. [Google Scholar] [CrossRef] [PubMed]
- Mao, X.F.; Cui, L.J.; Wang, C.H. Exploring the hydrologic relationships in a swamp-dominated watershed—A network-environ-analysis based approach. Ecol. Model. 2013, 252, 273–279. [Google Scholar] [CrossRef]
- Li, Y.H.; Cui, B.S.; Yang, Z.F. Influence of hydrological characteristic change of Baiyangdian on the ecological environment in wetland. J. Nat. Sci. 2004, 19, 63–69. (In Chinese) [Google Scholar]
- Zhong, P.; Yang, Z.F.; Cui, B.S.; Liu, J.L. Eco-environmental water demands for the Baiyangdian Wetland. Front. Environ. Sci. Eng. China 2008, 2, 73–80. [Google Scholar] [CrossRef]
- Ulanowicz, R.E. A hypothesis on the development of natural communities. J. Theor. Biol. 1980, 85, 223–245. [Google Scholar] [CrossRef] [PubMed]
- Ulanowicz, R.E. Growth and Development: Ecosystems Phenomenology; Springer-Verlag: New York, NY, USA, 1986; p. 203. [Google Scholar]
- Shannon, C.E. A mathematical theory of communication. Bell Syst. Tech. J. 1948, 27, 379–423. [Google Scholar] [CrossRef]
- Rutledge, R.W.; Basore, B.L.; Mulholland, R.J. Ecological stability: An information theory viewpoint. J. Theor. Biol. 1976, 57, 223–254. [Google Scholar] [CrossRef]
- Ulanowicz, R.E. Ecology, the Ascendency Perspective; Columbia University Press: New York, NY, USA, 1997; p. 201. [Google Scholar]
- Chapagain, A.K.; Hoekstra, A.Y. Virtual Water Flows between Nations in Relation to Trade in Livestock and Livestock Products; Value of Water Research Report Series No. 13; UNESCO-IHE: Delft, The Netherlands, 2003. [Google Scholar]
- Chapagain, A.K.; Hoekstra, A.Y. Water Footprints of Nations; Value of Water Research Report Series No. 16; UNESCO-IHE: Delft, The Netherlands, 2004. [Google Scholar]
- Zhao, X.; Yang, H.; Yang, Z.F.; Chen, B.; Qin, Y. Applying the input-output method to account for water footprint and virtual water trade in the Haihe River basin in China. Environ. Sci. Technol. 2010, 44, 9150–9156. [Google Scholar] [CrossRef] [PubMed]
- Yang, Z.F.; Mao, X.F. Wetland system network analysis for environmental flow allocations in the Baiyangdian Basin, China. Ecol. Model. 2011, 222, 3785–3794. [Google Scholar] [CrossRef]
- Li, Y.; Yang, Z.F. Quantifying the sustainability of water use systems: Calculating the balance between network efficiency and resilience. Ecol. Model. 2011, 222, 1771–1780. [Google Scholar] [CrossRef]
- Zorach, A.C.; Ulanowicz, R.E. Quantifying the complexity of flow networks: How many roles are there? Complexity 2003, 8, 68–76. [Google Scholar] [CrossRef]
© 2015 by the authors; licensee MDPI, Basel, Switzerland. This article is an open access article distributed under the terms and conditions of the Creative Commons Attribution license (http://creativecommons.org/licenses/by/4.0/).
Share and Cite
Mao, X.; Yuan, D.; Wei, X.; Chen, Q.; Yan, C.; He, L. Network Analysis for a Better Water Use Configuration in the Baiyangdian Basin, China. Sustainability 2015, 7, 1730-1741. https://doi.org/10.3390/su7021730
Mao X, Yuan D, Wei X, Chen Q, Yan C, He L. Network Analysis for a Better Water Use Configuration in the Baiyangdian Basin, China. Sustainability. 2015; 7(2):1730-1741. https://doi.org/10.3390/su7021730
Chicago/Turabian StyleMao, Xufeng, Donghai Yuan, Xiaoyan Wei, Qiong Chen, Chenling Yan, and Liansheng He. 2015. "Network Analysis for a Better Water Use Configuration in the Baiyangdian Basin, China" Sustainability 7, no. 2: 1730-1741. https://doi.org/10.3390/su7021730
APA StyleMao, X., Yuan, D., Wei, X., Chen, Q., Yan, C., & He, L. (2015). Network Analysis for a Better Water Use Configuration in the Baiyangdian Basin, China. Sustainability, 7(2), 1730-1741. https://doi.org/10.3390/su7021730
