The Equilibrium Decisions in a Two-Echelon Supply Chain under Price and Service Competition
Abstract
: This article studies a supply chain composed of a manufacturer and two competing retailers. The manufacturer produces two substitutable products and offers respective service levels to customers who buy one of the two products. Each retailer can only order one kind of product from the manufacturer, and then sell them to the market at a certain sale price. The demands for two products are influenced not only by the service levels the manufacturer provides, but also the sales prices of the two products. Furthermore, we investigate the equilibrium behavior of members in the supply chain with the aid of the Stackelberg game, and discover a number of insights concerning some important parameters. Finally, Numerical analysis is presented to validate our theoretical results and compare channel performances.1. Introduction
Recently, how companies compete with their rivals and what factors affect the companies’ behavior in competition have become a hot topic focused on by managers. Pricing is a significant business strategy and competing firms often engage in a price war to attract customers [1]. However, as the living standard of people is improving with the development of society, people become more and more sensitive to non-price factors they could enjoy rather than a single price attribute. Consequently, the competition of firms becomes increasingly keen and the form of competition is evolving from the single price competition to other important factors, such as service accompanying the products. For example, SAMSUNG Corporation and its competitor Apple Inc. both offer services for phones to customers, in order to motivate customers’ willingness to buy. It is easy to understand one certain kind of products’ market demand is positively influenced by the service the company offers however negatively blocked by its rival’s service. In addition, largely due to the rapid development of technology, the life cycle of a product is shorter and shorter, making the co-existence of products of two different generations prevalent, especially in the electrical industry. The manufacturer usually provides different service offerings for the new and old generation products. Evidently, the products of two different generations can impact upon each other in service level. Besides, in auto industry, financial services such as auto loan, insurance, and maintenance service play an important role in selecting a brand for customers [1]. Therefore, only by putting effort into strengthening products’ service level, can a company become more attractive to customers. Such services often include information about how to install or use the product, maintenance service, or warranty offerings. Each of these can improve the consumers’ perceived value of the product. However, unlike other dimensions of product quality, the services that are included in a product bundle can often be provided by either a manufacturer or by a dealer. To the best of our knowledge, most of previous literature examining service competition premise the services are provided by the retailer. Here, we assume the services are performed by the manufacturer, which is common in the electronics industry. A steep service level puts a service cost burden on the manufacturer, while a too low service level can divert more customers to other products. Hence, what a manufacturer should do is to choose the optimal service level for his products.
In this study, we incorporate both price competition and service competition into our supply chain model of a manufacturer and two competing retailers. The manufacturer produces two substitutable products, which influence on each other interactively, and provide service offerings for the two products. Each retailer can only buy one kind of product from the manufacturer. A point to note is that the products wholesaled to the first retailer are different from those wholesaled to another retailer. While each retailer determines its own selling price, the manufacturer controls the two products’ service levels. The purpose of this research is to provide insights about the equilibrium behavior of the supply chain’s members under the framework of price and service competition. There exists a Stackelberg game between the manufacturer and two retailers, and we examine the drivers of each retailer’s price strategy and the manufacturer’s service strategy. It is proved that the intensity of service competition plays a key role in the members’ equilibrium decisions, if some specific limitations are imposed. It is also understood that if the manufacture benefits more from one kind of products than does from another kind of products, the manufacturer will be likely to offer a higher service level for the first kind of product. These results are well in line with our intuition.
We first discuss the issue of Stackelberg game in supply chain in two or multiple echelon settings. We will then focus on efforts to introduce some literature aiming at price and service competition. There is a growing amount of research in relation to Stackelberg game problems in supply chain. The goals of every chain members are to maximize their own profit, and all of them could make their decisions independently. So there exists game playing between chain members. What is most commonly utilized is the Stackelberg game. Choi [2] studies a Stackelberg game model with two competing manufacturers and a common retailer that sells both manufacturers’ products. The single retailer acts as the Stackelberg-leader. This paper also explores three noncooperative games of different power structures between the two manufacturers and the retailer. Yan et al. [3] focus on cooperative advertising and the effect it exerts on the dual channel supply chain. They also obtain equilibrium pricing policies under two different competitive scenarios: Bertrand and Stackelberg equilibrium. Furthermore, they also compare the profit gains under these two marketing games. Liu and Xu [4] explore the pricing problem in a fuzzy supply chain with a manufacturer and two competitive retailers. The manufacturer playing as a leader determines the wholesale price, and the retailers acting as the followers choose their sale prices independently. Many other papers have also addressed the Stackelberg game problem in the supply chain, such as [5,6]. However, all of them pay little attention to depicting price and service competition, and they seldom tell us how the price and service affects market demand.
More recently, studies have begun to take price and service competition into consideration, largely because selling price and service level of products are exerting a significant influence on customers’ purchasing behavior. Hsieh et al. [7] study coordination mechanisms in a supply chain comprised of two suppliers with capacity uncertainties selling differential yet substitutable products through a common retailer who faces random demand of these two products which incorporate price competition. The analytical and empirical results in [8] offer guidelines to e-tailers on how to price their products and decide their service offerings considering price competition. Both of the above do not take service as a influencing factor into the model. Lyer [9] analyzes how manufacturers should coordinate distribution channels when retailers compete in price as well as important nonprice factors such as the provision of product information, free repair, faster check-out, or after-sales service. This paper also shows that for relatively high-ticket items retailers tend to be excessively biased towards competing in the provision of retail services. Besides, the basic model is also extended to consider the effect of upstream competition between manufacturers. Tsay and Agrawal [10] explore a supply chain with two competitive retailers with a common manufacturer in which both the retailers provide products as well as service to customers. However, in our paper the services for products are provided by the manufacturer. Xia and Gilbert [11] concentrate on a supply chain model with two substitutable products in which the product service levels are offered by the manufacturer and consider a game that is played between the manufacturer and the dealer. Xiao and Yang [1] develop a price-service competition model of two supply chains to investigate the optimal decisions of players under demand uncertainty. Wu [12] considers both price and service competition between new and remanufactured products in a two-echelon supply chain. The supply chain consists of two manufacturers, one produces the new products and another produces remanufactured products, and a common retailer. And the services accompanying the products are rendered by the two manufacturers, respectively. Zhao et al. [13] explore a distribution system in which two competitive manufacturers supply two substitutable products to one common retailer, who in turn sells them to the end consumers. The effects of price and service level on product demand are also considered in their model.
Our paper differs mainly from the above articles in the following aspects. Firstly, unlike those models assuming that two competitive retailers sell the same products, it is supposed that the two retailers sell substitutable products in our paper. This assumption reasonably explains why the manufacturer render distinctive service levels for the two products. Secondly, we incorporate both price and service competition into our model, which is applicable in the scenario we consider. Last but not the least, what is different from other literature is that in our study the services are provided by the manufacturer rather than the retailers.
The rest of the paper is organized as follows. A general model is formulated in Section 2. In Section 3 the existence and uniqueness of the equilibrium decisions are demonstrated and we obtain the explicit expressions of the equilibrium strategies, and we further perform analysis on the property of the equilibrium decisions. Numerical analysis is presented in Section 4. Finally, conclusions and further directions are addressed in Section 5.
2. Model Formulation
In this paper, we discuss a two echelon supply chain consisting of a single manufacturer, which is denoted by M, and two competitive retailers denoted by R1 and R2. Now, in a customer-oriented retail market, the manufacturer constantly develops various products in order to satisfy a variety of customer needs. For the sake of simplicity, in this paper, we assume that the manufacturer produces two substitutable products and every retailer can choose only one kind of product from the two products available. The two substitutable products may differ in some dimensions such as color or style. They have distinctive production cost and wholesale price, however, they are functionally the same. Customers hold different perceptions about the two products, and make buying choices between them based on personal preference. Actually, the end consumers’ perception of value and their purchase decisions are not influenced exclusively by the item’s selling price, but also the service level that accompanies it. Here, service is taken to broadly represent all forms of demand-enhancing effort, including customer service before and after the sale, in-store promotions, advertising and warranty offerings [10]. Many such services can be provided either by the manufacturer or they can be delegated to the dealer. A scenario where the manufacturer engages in offering service levels is considered here. In this model, the manufacturer is the Stackelberg leader and the two retailers are the followers. The manufacturer who could observe the retailers’ decisions possesses an advantageous position, but he can not control what the retailers choose to do. The two retailers make their own decisions independently. The effects of variation of time on chain members’ decisions are not taken into consideration. The sequence of events is as follows. Firstly, the manufacturer chooses best service levels to maximize his profit before the selling season; then the two retailers achieve the Nash equilibrium in selling prices of two products to maximize their own profit based on the service levels chosen by the manufacturer. We assume all supply chain members have access to the same and complete information when optimizing their objective functions.
2.1. The General Optimal Model
Let d1 and d2 respectively denote demand for products 1 and 2. As popularly used in other literature such as [10,12] on price and service competition, here d1 and d2 are thought of as linear functions about prices and service levels. Thus, the demand functions could be described by incorporating price and service competition as follows.
The demand function of product 1:
The demand function of product 2:
We premise that the manufacturer is fully aware of the market demand for products 1 and 2, that is to say, the manufacturer produces the very amount of products 1 and 2. Therefore, given the above demand functions d1 and d2, the manufacturer’s profit function could be achieved. Obviously, in our model the manufacturer bears the production cost and service cost. We denote the service cost by (i = 1 or 2), where the quadratic form suggests diminishing returns on such expenditures. And m is the ultimate cost of service as in [10]. Similar approaches to modeling service effort have been used in a large amount of other literature. Hence, the manufacturer’s profit function is
We can evidently observe that the wholesale prices have influence on the manufacturer’s profit and, in turn, the two retailers’ expected profits. Then the manufacturer would engage in a game for determining the wholesale prices of the two competitive products. However, such equilibrium values of the wholesale prices are affected by many unquantifiable factors, such as past relationship with the retailer, or the eagerness of the retailers in getting products. Consequently, the wholesale prices of products are unattainable numerically and the manufacturer has to roughly estimate his wholesale price. Therefore, it is assumed here that the wholesale prices of two products are both predetermined, which is very similar to [7].
Then, the profit functions of retailer R1 and R2 can be formulated by the following:
3. Results and Discussion
We now derive chain members’ optimal strategies by maximizing their profits in the above general optimization model. The following theorems characterize chain members’ profit functions with respect to their decisions.
Theorem 1. For any given service levels s1 and s2: (i) the profit function ΠR1(p1) is concave with respect to sales price p1 of product 1; (ii) the profit functionΠR2(p2) is concave with respect to sales price p2 of product 2.
Proof. Consider the following derivatives:
Because , ΠR1(p1) is concave with respect to p1 and ΠR2(p2) is concave with respect to p2, that is to say, there do exist sales prices and respectively maximizing ΠR1(p1) and ΠR2(p2).
In order to obtain equilibrium decisions, the backward method is usually employed to solve the Stackelberg game problem. First, we solve the two retailers’ optimal response functions under the condition that the manufacturer’s decisions are given. Then we solve the equilibrium decisions of the manufacturer after the two retailers’ optimal response functions are obtained. All optimal response functions are denoted by the superscript “′” and let the superscript “*” denote the equilibrium decisions.
Proposition 1. For any given s1 and s2, the two retailers’ best response functions satisfy equations
It can be easily proved by solving the first conditions and . Note that Λp ≡ βp + γp is the overall effect of the product’s price on its demand, and Λs ≡ βs + γs represents the overall effect of service on demand. We also could refer to [9] for further information. Paying attention to the impact of service levels on the two retailers’ best response functions, we derive the first derivatives of and with respect to the service levels, i.e., and . We can easily see that, the better the service of product i is, the higher is the sales price of product i charged by the retailer Ri (i = 1, 2). However, the effect of service level of product i on the sales price of product k (k≠ i) is not very explicit.
Theorem 2. The manufacturer’s profit function is concave with respect to the service levels s1 and s2.
Proof. It is known
With the best response functions for selling prices in Equations (7) and (8), the manufacturer’s best response in terms of service levels of products 1 and 2 can be achieved by solving , . Let and , we get the equilibrium service levels and :
3.1. Comparisons between the Equilibrium Decisions
Proposition 2. If w2 − c2 > w1 − c1, ; otherwise,.
Proof. It is easy to know 2ΛpΛs + 2Λpγs − γpγs − γpΛs > 0. Based on the Equations (9) and (10), if w2 − c2 > w1 − c1, we obtain
w2 − c2 > w1 − c1 is a sufficient and necessary condition to guarantee . That is to say, if the manufacture benefits more from unit product 2 than does from unit product 1, it is more desirable for him to offer a higher service level for product 2. Conversely, in the case that wholesaling one product 2 to retailer R2 bring less benefit to the manufacturer than wholesaling one product 1 to retailer R1 does, the manufacturer prefers to render a higher service level for product 1.
Proposition 3. (i) If w2 − c2 > w1 − c1 and Λp(c1 − c2) < α2 − α1, . (ii) If w2 − c2 < w1 − c1 and Λp(c1 − c2) > α2 − α1, .
Proof. Based on Equations (7) and (8), we have
As shown in Proposition 2, if w2 − c2 > w1 − c1 is set, the manufacturer prefers to offer a higher service level of product 2, which is instrumental to enhancing demand for product 2. So the retailer R2 are endowed with more room to raise the product 2’s selling price. (ii) can also be expounded in the same way. However, which of the equilibrium prices of product 1 and 2 is larger on the condition w2 − c2 > w1 − c1 and Λp(c1 − c2) > α2 − α1, or w2 − c2 < w1 − c1 and Λp(c1 − c2) < α2 − α1, is difficult to describe exactly. We now set w1 = 15, c1 = 9, w2 = 10, c2 = 2, α1 = 50, α2 = 30, rp = 1, βp = 1/2, γs = 3, βs = 2, m = 2. In this case w2 − c2 > w1 − c1 and Λp(c1 − c2) > α2 − α1 are both satisfied, and we get . Then we reset α1 = 40, α2 = 30 and other parameters are held equal, we obtain though the requirements w2 − c2 > w1 − c1 and Λp(c1 − c2) > α2 − α1 are met too.
3.2. The Effects of Some Parameters on the Equilibrium Decisions
Proposition 4. (i) The equilibrium service level and retail price for product 1 are decreasing in c1 but increasing in c2; (ii) the equilibrium service level and retail price for product 2 are decreasing in c2 but increasing in c1.
Proof of Proposition 4. From Equations (9) and (10), we get the following derivatives:
Proposition 4 tells us that a greater unit production cost of product i leads to lower equilibrium decisions in service level si and sales price pi, however, a greater unit production cost of product j(j≠ i) leads to greater equilibrium decisions in service level si and sales price pi. It is observed in the proof of Proposition 4 that production cost i has a direct effect on equilibrium service levels si and sj, while it exerts an indirect effect on equilibrium prices pi and pj. If a higher production cost of product i is set, the manufacturer will offer less service for product i to save cost, and decreasing equilibrium service level si lowers product i’s selling price and increases product j’s (j≠ i) selling price.
Proposition 5. (i) If w2 − c2 > w1 − c1, the equilibrium service level and retail price for product 1 are decreasing in γs; the equilibrium service level and retail price for product 2 are increasing in γs; (ii) If w2 − c2 < w1 − c1, the equilibrium service level and retail price for product 1 are increasing in γs; the equilibrium service level and retail price for product 2 are decreasing in γs.
Proof of Proposition 5. Taking the first derivatives of and with respect to γs, if w2 − c2 > w1 − c1, we get
We get from Proposition 2 and and if w2 − c2 > w1 − c1. Besides, if we also impose γs > βs, it is apparent that γpΛs − 2Λpγs < 0 and 2ΛpΛs − γpγs > 0. Hence, we easily obtain and . The proof of (i) is completed; (ii) could be easily demonstrated in the same way.
It is easily known that w2 − c2 > w1 − c1 signifies the manufacturer can gain more profit from unit product 2 than unit product 1. So when the two products compete with each other more fiercely in service, the manufacture would like to choose a higher service level s2 to increase demand for product 2, yet a lower service level s1 to decrease demand for product 1. As a result, the retailer R1 has no choice but to decrease sales price p1 to boost demand for product 1 in order to compensate for the negative influence of decreasing s1, and a higher s2 ensures retailer R2 more scope to heighten the sales price p2. When w2 − c2 < w1 − c1, the result is reversed.
4. Numerical Simulation
In this section, we resort to numerical approaches to analyze the chain members’ equilibrium decision functions. The objective of the numerical analyses is twofold. One is to verify some important properties obtained in Section 3. The other is to numerically examine how the optimal policies change when the values of the problem parameters change. We mainly fix our eyes on the effects of the intensity of service and price competition and the service investment cost on chain members’ equilibrium profits. Some concerning parameters are set as follows: rp = 1, βp = 1/2, γs = 3, βs = 2, m = 2.
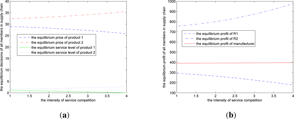
Figure 1a,b indicate how the equilibrium decisions and profits of all chain members change with respect to the intensity of service competition in the scenario w2−c2 > w1−c1 and Λp(c1−c2) < α2−α1. From Figure 1a, we know that the equilibrium price and service level of product 2 both increase in the intensity of service competition, while the equilibrium price and service level of product 1 both decrease in the intensity of service competition. Moreover, Figure 1a also tells us that the equilibrium price and service level of product 2 is larger than those of product 1, respectively. All these results are in line with Propositions 3, 4 and 5. In Figure 1b, we find that as the intensity of service competition increases, the retailer R2’s equilibrium profit increases, the retailer R1’s equilibrium profit decreases; however, the manufacturer’s profit stays almost on the same level. This figure could be explained in the following way. Actually, when the intensity of service competition grows, the product’s service level plays a more important role in aggrandizing itself market demand. It is also known that, when other parameter hold equal, the equilibrium service level of product 2 is greater than that of product 1. And as shown in Figure 1a, when the intensity of service competition increases, the service level of product 2 increases, while the service level of product 1 decreases. Consequently, the retailer R2 with a higher service level become more dominant in market than the retailer R1, as γs increases. Hence, the retailer R2’s equilibrium profit is increasing in the intensity of service competition, and the retailer R1’s equilibrium profit behaves in the opposite way. The manufacturer’s more investment in product 2’s service level is compensated by the declining investment in product 1’s service level, so the manufacturer’s equilibrium profit is not heavily dependent on the intensity of service competition.
Figure 2a,b also explore the varying of all chain members’ equilibrium decisions and profits when the intensity of service competition γs changes under the condition w2 − c2 < w1 − c1 and Λp(c1 − c2) > α2 − α1. From Figure 2a, we know that the equilibrium price and service level of product 1 both increase, while the equilibrium price and service level of product 2 both decrease, in the intensity of service competition. Besides, Figure 2a also tells us that the equilibrium price and service level of product 1 is larger than those of product 2, respectively. Figure 2b shows that when the intensity of service competition increases, the retailer R1’s equilibrium profit increases, the retailer R2’s equilibrium profit decreases, however, the manufacturer’s profit perform minor change. Figure 3a–c all investigate the influence of the intensity of price competition on the chain members’ equilibrium profit in the scenario w2 − c2 > w1 − c1 and Λp(c1 − c2) < α2 − α1. As seen from Figure 3a, the retailer R1’s equilibrium profit is always decreasing in the intensity of service competition. In addition, it is evident that fiercer price competition brings less profit to the retailer R1, when other parameters hold equal. That is because when price competition becomes more fierce, the retailer R1 will lower selling price to maintain an advantageous position in price competition. It is definitely helpful to boost the demand for product 1, however, the profit enhanced by the surge in demand is not enough to offset the loss caused by the declining selling price. In Figure 3b, the retailer R2’s equilibrium profit is always increasing in the intensity of service competition, and fiercer price competition declines retailer R2’s profit. Figure 3c depicts the manufacturer’s equilibrium profit is increasing in the intensity of service competition. In addition, we also get that a larger γp augments the manufacturer’s profit if other parameters are equal.
Figure 4 validates what we observe in Figure 3a–c. Not only retailer R1’s profit but also the retailer R2’s profit is reduced due to the increase in the intensity of price competition γp, whereas the manufacturer’s profit is increasing in γp. The effects of the service investment cost on the chain members’ equilibrium profits are further investigated in Figures 5 and 6. Figure 5 is set in the scenario w2 − c2 > w1 − c1 and Λp(c1 − c2) < α2 − α1, while Figure 6 in the scenario w2 − c2 < w1 − c1 and Λp(c1 − c2) > α2 − α1. As shown in Figure 5, the retailer R2’s and the manufacturer’s profits both decrease in the service investment cost, however, the retailer R1’s profit increases in the service investment cost. In summary, increasing m is unfavorable for retailer R2 and manufacturer, yet favorable to retailer R1. We have known from Proposition 4 that the equilibrium service level of product 2 is larger than that of product 1 under the condition w2 − c2 > w1 − c1. Consequently, the manufacturer is more likely to decrease s2 to save the total service cost, which make the retailer R2’s profit shrink. A decreasing s2 leads the service level of product 1 to be relatively more attractive than before, hence the retailer R2’s achieve more profit as m increases. In Figure 6, the equilibrium profits of retailer R1 and the manufacturer both decrease, however, the equilibrium profit of retailer R2 increases in the service investment cost. It could be interpreted in a similar way.
5. Conclusions and Future Directions
The dynamics of chain members’ decisions in the face of price and service competition have been one of the major concerns in the supply chain management. In this paper, we refer to a general demand function to describe the influence of the price and service competition on market demand in such a competitive environment. Moreover, a Stackelberg model structure is proposed between the two retailers and manufacturer in a two-echelon supply chain. We employ a backward approach in order to obtain the chain members’ best response functions, and to determine the optimal service levels and selling prices of the two products, respectively. Furthermore, we explore the structure of the equilibrium decisions and study the impacts of some important parameters on the optimality. Lastly, numerical examples are also provided to verify the theoretical results and perform sensitivity analysis to derive managerial insights for practical applications. It is desirable that some useful conclusions are derived. We know the equilibrium service level and sales price of one product are both decreasing in its production cost but increasing in its rival product’s production cost. It is also presented that when manufacturer can gain more profit from unit product i than unit product j (i≠ j), he would like to raise service level for product i and decrease service level for product j and retailer i would like to raise retail price of product i and retailer j decreases that of product j, if the two products compete with each other more fiercely in service. Furthermore, we also prove the equilibrium service level of product i is greater than that of product j on this condition. What is more, if one more restriction is imposed, we could make sense of the relation between the equilibrium retail prices of the two competitive products.
However, our research leaves several unanswered questions for future research. The demand function is assumed to be deterministic throughout the paper, but in the real world the market demand often occurs stochastically. Formulating a demand function incorporating stochastic variables will be an interesting extension of the paper. We also impose some restrictions on concerning parameters when analyzing the equilibrium decisions, so it is meaningful to explore how the equilibrium decisions change if the restrictions are relieved. Another limitation of the model is that we are unable to make a comparison between the two retailers’ equilibrium profits because of the intricate form of the optimal decisions. So how to simplify the general model would be another important direction.
Acknowledgments
This research is supported by the National Natural Science Foundation of China (No. 71002106 and No. 71302112), the Independent Innovation Foundation of Tianjin University (No. 2014XRG-0100), the Humanities and Social Sciences Project of Shandong Provincial Education Department (No. J13WG19 and No. J14WG09).
Author Contributions
Xiaonan Han wrote the manuscript and participated in all phases. Xiaochen Sun conceived and guided the whole work. Yancong Zhou helped perform the analysis with constructive discussions. All authors have read and approved the final manuscript.
Conflicts of Interest
The authors declare no conflicts of interest.
References
- Xiao, T.J.; Yang, D.Q. Price and service competition of supply chains with risk-averse retailers under demand uncertainty. Int. J. Prod. Econ 2008, 114, 187–200. [Google Scholar]
- Choi, S.C. Price competition in a channel structure with a common retailer. Mark. Sci 1991, 10, 271–296. [Google Scholar]
- Yan, R.L.; Ghose, S.J.; Bhatnagar, A. Cooperative advertising in a dual channel supply chain. Int. J. Electron. Mark. Retail 2006, 1, 99–114. [Google Scholar]
- Liu, S.K.; Xu, Z.S. Stackelberg game models between two competitive retailers in fuzzy decision environment. Fuzzy Optim. Decis 2014, 13, 33–48. [Google Scholar]
- Ertek, G.; Griffin, P.M. Supplier- and buyer-driven channels in a two-stage supply chain. IIE Trans 2003, 34, 691–700. [Google Scholar]
- Yang, S.L.; Zhou, Y.W. Two-echelon supply chain models: Considering duopolistic retailers’ different competitive behaviors. Int. J. Prod. Econ 2006, 103, 104–116. [Google Scholar]
- Hsieh, C.-C.; Wu, C.-H. Coordinated decisions for substitutable products in a common retailer supply chain. Eur. J. Oper. Res 2009, 196, 273–288. [Google Scholar]
- Ba, S.; Stallaert, J.; Zhang, Z. Oligopolistic price competition and adverse price effect in online retailing markets. Decis. Support Syst 2008, 45, 858–869. [Google Scholar]
- Lyer, G. Coordinating channels under price and nonprice competition. Mark. Sci 1998, 17, 338–355. [Google Scholar]
- Tsay, A.A.; Agrawal, N. Channel dynamics under price and service competition. Manuf. Serv. Oper. Manag 2000, 2, 372–391. [Google Scholar]
- Xia, Y.; Gilbert, S.M. Strategic interactions between channel structure and demand enhancing services. Eur. J. Oper. Res 2007, 181, 252–265. [Google Scholar]
- Wu, C.-H. Price and service competition between new and remanufactured products in a two-echelon supply chain. Int. J. Prod. Econ 2012, 140, 496–507. [Google Scholar]
- Zhao, J.; Liu, W.Y.; Wei, J. Competition under manufacturer service and price in fuzzy environments. Knowl.-Based Syst 2013, 50, 121–133. [Google Scholar]






© 2014 by the authors; licensee MDPI, Basel, Switzerland This article is an open access article distributed under the terms and conditions of the Creative Commons Attribution license (http://creativecommons.org/licenses/by/3.0/).
Share and Cite
Han, X.; Sun, X.; Zhou, Y. The Equilibrium Decisions in a Two-Echelon Supply Chain under Price and Service Competition. Sustainability 2014, 6, 4339-4354. https://doi.org/10.3390/su6074339
Han X, Sun X, Zhou Y. The Equilibrium Decisions in a Two-Echelon Supply Chain under Price and Service Competition. Sustainability. 2014; 6(7):4339-4354. https://doi.org/10.3390/su6074339
Chicago/Turabian StyleHan, Xiaonan, Xiaochen Sun, and Yancong Zhou. 2014. "The Equilibrium Decisions in a Two-Echelon Supply Chain under Price and Service Competition" Sustainability 6, no. 7: 4339-4354. https://doi.org/10.3390/su6074339
APA StyleHan, X., Sun, X., & Zhou, Y. (2014). The Equilibrium Decisions in a Two-Echelon Supply Chain under Price and Service Competition. Sustainability, 6(7), 4339-4354. https://doi.org/10.3390/su6074339
