Pricing or Quota? A Solution to Water Scarcity in Oasis Regions in China: A Case Study in the Heihe River Basin
Abstract
:1. Introduction
2. Description of the Heihe River Basin

3. Analytical Framework
3.1. Characterization of Quantitative Control and Price Control

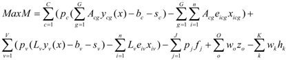
3.2. The Bio-Economic Model
| Variables | Explanation | Variables | Explanation |
|---|---|---|---|
| M | Net income | N | Amount of available loan |
| M0 | Cash income in the base year | D | Subsidy to farmers |
| x | A vector of inputs used in production of crop c or livestock v | i | Type of vectors of input x |
| g | Land type of cultivated land | c | Crop |
| A | Land endowment | P | Price of crop output, livestock output or purchased food |
| Ar | Area of rangeland | Acg | Area of crop c produced on land type g |
| v | Livestock | ycg | Yield function for production of crop c on land type g |
| Lv | Stock level of livestock v | yv | Yield function for livestock v and livestock product |
| ei | Per unit input cost for input xi | yr | Grass yield of rangeland |
| j | Type of purchased food | f | Purchased food |
| zf | Family labor used on-farm | Zh | Total family labor |
| Zf | Total farm labor input | wk | Wage for hired labor |
| w0 | Wage for off-farm labor | hk | Hired labor used on-farm |
| z0 | Family labor used off-farm | α | Daily fodder requirement of livestock v |
| γ | Daily subsistent nutrition requirement of human | β | Nutrition content of food |
| H | Human population | T | Supplementary fodder from crop residue |
| b | Crop or livestock output y used for self-consumption | S | Crop or livestock output y used for self-supply, such as seed, feed, draft animal |
| W total | Total available water resources | Ws | Allocated surface water based on quota |
| Wg | Available groundwater resources | inf | Infiltration of mainstream |
| et | Evaporation of runoff | cf | Canal use efficiency coefficient |
| Qcg | Water quota of crop c on land type g | Qv | Water quota of livestock v |
3.3. Data Source and Data Description
| Middle Stream Region | Upstream Regions | ||||
|---|---|---|---|---|---|
| Ganzhou | Linze | Gaotai | Minle | Shandan | |
| Sampled villages | 14 | 6 | 9 | 10 | 6 |
| Householder | 138 | 108 | 113 | 63 | 90 |
| Population (person) | 581 | 425 | 449 | 265 | 439 |
| Cultivated land (ha) | 79 | 89 | 68 | 73 | 110 |
| Labor (person) | 281 | 208 | 209 | 117 | 201 |
| Proportion of farm labor (%) | 46 | 54 | 67 | 39 | 35 |
| Proportion of Off-farm labor (%) | 54 | 46 | 33 | 61 | 65 |
| Income per capita (Yuan/person) | 9913 | 10,867 | 10,917 | 10,799 | 9663 |
| Proportion of agriculture income (%) | 35 | 50 | 38 | 48 | 35 |
| Proportion of off-farm income (%) | 65 | 50 | 62 | 52 | 65 |
| Crop structure | |||||
| Grain crops (%) | 18 | 11 | 24 | 36 | 37 |
| Cash crop (%) (including seed corn) | 57 | 75 | 51 | 36 | 41 |
| Other crops (%) | 25 | 14 | 25 | 29 | 22 |
3.4. Model Calibration
4. Results and Discussion
4.1. Effects of Changing Runoff on the Shadow Price
| Cases of Irrigation Zones | Regions | Code for the Irrigation Zones | Description | Shadow Price of Water Resources (Yuan/m3) | |
|---|---|---|---|---|---|
| Present Situation | Annual Mean Runoff | ||||
| Q1 | Middle stream regions | I1-01, I1-03, I1-04, I3-02,II2-06, II4-06, II5-06, III4-09, III5-09, III6-09 | Water surplus irrigation zones where available water is able to meet current water requirement under annual mean runoff | 0.082 | 0.083 |
| Q2 | Middle stream regions | I2-03, II3-07, II6-07, III1-11 | Irrigation zones where available water changes from surplus to shortage with runoff changes from present situation to annual mean runoff | 0.082 | 1.133 |
| Q3 | Middle stream regions | II1-07, III1-09, III2-08, III2-09, III3-08, III3-10; | Water shortage irrigation zones where available water cannot meet current water requirement under present situation | 0.836 | 0.839 |
| Upstream regions | IV1-12, IV1-14, IV2-12, IV2-14, IV3-13, IV4-14, V1-12, V1-14, V1-15, V2-14, I4-05 | 1.553 | 1.550 | ||
4.2. Effects of Raising Water Price
| Case of Irrigation Zones | Regions | Code for the Irrigation Zones | Description | Change in Water Requirement (million m3) | Change in per capita cereal production (%) | ||||||||||
|---|---|---|---|---|---|---|---|---|---|---|---|---|---|---|---|
| Effects of Raising Surface and Ground Water Price | Effects of Raising Surface Water Price | Effects of Raising Surface and Ground Water Price | Effects of Raising Surface Water Price | ||||||||||||
| 2 Times | 5 Times | 10 Times | 2 Times | 5 Times | 10 Times | 2 Times | 5 Times | 10 Times | 2 Times | 5 Times | 10 Times | ||||
| P1 | Middle stream regions | I1-01, I1-03, I1-04, I3-02, II2-06, II4-06, II5-06, III4-09, III1-09, III5-09, III6-09 | Water surplus irrigation zones under annual mean runoff | −1 | −15 | −78 | −1 | −11 | −71 | −1 | −19 | −16 | 0 | −18 | −19 |
| P2 | Middle stream regions | II1-07, II3-07, II6-07, III1-11 | Water shortage irrigation zones under annual runoff and there is no change of cropping system with water price rise | 0 | 0 | −31 | 0 | 0 | −20 | 0 | 0 | −15 | 0 | 0 | −8 |
| Upstream regions | V1-14, V1-15, V2-14, IV1-14, IV2-14, V3-13, IV4-14 | 0 | 0 | 0 | 0 | 0 | 0 | 0 | 0 | 0 | 0 | 0 | 0 | ||
| P3 | Middle stream regions | I2-03, III2-08, III2-09, III3-08, III3-10 | Water shortage irrigation zones under annual mean runoff and there are changes of cropping system with water price rise | 0 | 0 | −49 | 0 | 0 | −46 | −1 | −3 | −7 | 0 | −1 | −3 |
| Upstream regions | I4-05, V1-12, IV1-12, IV2-12 | 0 | −1 | −18 | 0 | −1 | −18 | −1 | −3 | −7 | −1 | −3 | −5 | ||
| Case of Irrigation Zones | Regions | Effects of Raising Surface and Ground Water Price | Effects of Raising Surface Water Price | |||||
|---|---|---|---|---|---|---|---|---|
| 2 Times | 5 Times | 10 Times | 2 Times | 5 Times | 10 Times | |||
| Changes in per capita income (Yuan/person) | P1 | Middle stream regions | −125 | −496 | −1095 | −80 | −317 | −685 |
| P2 | Middle stream regions | −145 | −578 | −1309 | −120 | −479 | −1087 | |
| Upstream regions | −56 | −226 | −513 | −43 | −172 | −390 | ||
| P3 | Middle stream regions | −84 | −336 | −748 | −48 | −192 | −431 | |
| Upstream regions | −109 | −452 | −1128 | −98 | −406 | −1018 | ||
| Of which: changes in per capita income caused by irrigation cost increasing (Yuan/person) | P1 | Middle stream regions | −49 | −185 | −381 | −31 | −110 | −229 |
| P2 | Middle stream regions | −51 | −204 | −295 | −42 | −169 | −268 | |
| Upstream regions | −26 | −103 | −235 | −19 | −77 | −174 | ||
| P3 | Middle stream regions | −43 | −170 | −39 | −24 | −97 | 103 | |
| Upstream regions | −32 | −138 | −264 | −27 | −110 | −232 | ||
| Of which: changes in per capita income caused by production system change (Yuan/person) | P1 | Middle stream regions | −76 | −311 | −714 | −49 | −206 | −456 |
| P2 | Middle stream regions | −94 | −374 | −1014 | −78 | −310 | −820 | |
| Upstream regions | −30 | −122 | −278 | −24 | −95 | −216 | ||
| P3 | Middle stream regions | −41 | −166 | −710 | −24 | −95 | −534 | |
| Upstream regions | −77 | −314 | −865 | −71 | −296 | −785 | ||
| Compensation (Yuan/person) | P1 | Middle stream regions | 100 | 392 | 801 | 64 | 251 | 488 |
| P2 | Middle stream regions | 121 | 486 | 906 | 101 | 402 | 790 | |
| Upstream regions | 47 | 188 | 423 | 36 | 145 | 326 | ||
| P3 | Middle stream regions | 64 | 256 | 463 | 37 | 147 | 228 | |
| Upstream regions | 80 | 317 | 647 | 71 | 280 | 564 | ||
4.3. Effects of Reducing Water Allocation Quota Control
| Case of Irrigation Zones | Regions | Shadow Price of Annual Mean Runoff | Shadow Price of Reducing Water Allocation | Change in Water Requirement | Change in Per Capita Income | Change in Per Capita Cereal Production | Compensation |
|---|---|---|---|---|---|---|---|
| (Yuan/m3) | (Yuan/m3) | (Million m3) | (Yuan/Person) | (%) | (Yuan/Person) | ||
| Q1 | Middle stream regions | 0.083 | 0.948 | −232 | −98 | 0 | 879 |
| Q2 | Middle stream regions | 1.133 | 1.280 | −16 | −97 | −20 | 174 |
| Q3 | Middle stream regions | 0.839 | 0.963 | −15 | −50 | 0 | 84 |
4.4. Comparison of Income Losses of Water Saving under the Quantitative Control and Price Control

5. Main Findings and Conclusions
Acknowledgments
Author Contributions
Conflicts of Interest
References
- Chen, Y.; Zhang, D.Q.; Sun, Y.B.; Liu, X.N.; Wang, N.Z.; Savenije, H.H.G. Water demand management: A case study of the heihe river basin in china. Phys. Chem. Earth 2005, 30, 408–419. [Google Scholar] [CrossRef]
- Qu, F.; Kuyvenhoven, A.; Shi, X.; Heerink, N. Sustainable natural resource use in rural China: Recent trends and policies. China Econ. Rev. 2011, 22, 444–460. [Google Scholar] [CrossRef]
- Ward, F.A.; Pulido-Velazquez, M. Water conservation in irrigation can increase water use. Proc. Natl. Acad. Sci. USA 2008, 105, 18215–18220. [Google Scholar] [CrossRef] [PubMed]
- Wietzman, M. Prices vs. quantities. Rev. Econ. Stud. 1974, 41, 477–491. [Google Scholar] [CrossRef]
- Cosgrove, W.J.; Rijsberman, F.R. World Water Vision: Making Water Everybody’s Business; Earthscan: London, UK, 2000. [Google Scholar]
- Tsur, Y.; Dinar, A. The relative efficiency and implementation costs of alternative methods for pricing irrigation water. World Bank Econ. Rev. 1997, 11, 243–262. [Google Scholar] [CrossRef]
- European Union. Establishing a framework for community action in the field of water policy (2000/60/EC). Off. J. Eur. Commun. 2000, 327, 1–72. [Google Scholar]
- Kampas, A.; Petsakos, A.; Rozakis, S. Price induced irrigation water saving: Unraveling conflicts and synergies between European agricultural and water policies for a Greek Water District. Agric. Syst. 2012, 113, 28–38. [Google Scholar] [CrossRef]
- Varela-Ortega, C.; Sumpsi, J.M.; Garrido, A.; Blanco, M.; Iglesias, E. Water pricing policies, public decision making and farmers’ response: Implications for water policy. Agric. Econ. 1998, 19, 193–202. [Google Scholar] [CrossRef]
- Yang, H.; Zhang, X.H.; Zehnder, A.J.B. Water scarcity, pricing mechanism and institutional reform in northern China irrigated agriculture. Agric. Water Manag. 2003, 61, 143–161. [Google Scholar] [CrossRef]
- Abu-Madi, M.O. Farm-level perspectives regarding irrigation water prices in the Tulkarm district, Palestine. Agric. Water Manag. 2009, 96, 1344–1350. [Google Scholar] [CrossRef]
- Molle, F. Water scarcity, prices and quotas: A review of evidence on irrigation volumetric pricing. Irrig. Drain. Syst. 2009, 23, 43–58. [Google Scholar] [CrossRef]
- Gallego-Ayala, J.; Gomez-Limon, J.A.; Arriaza, M. Irrigation water pricing instruments: A sustainability assessment. Spanish J. Agric. Res. 2011, 9, 981–999. [Google Scholar] [CrossRef]
- Wei, Y.P.; Chen, D.L.; Hu, K.L.; Willett, I.R.; Langford, J. Policy incentives for reducing nitrate leaching from intensive agriculture in desert oases of Alxa, Inner Mongolia, China. Agric. Water Manag. 2009, 96, 1114–1119. [Google Scholar] [CrossRef]
- Wei, Y.P.; Davidson, B.; Chen, D.L.; White, R. Balancing the economic, social and environmental dimensions of agro-ecosystems: An integrated modeling approach. Agric. Ecosyst. Environ. 2009, 131, 263–273. [Google Scholar] [CrossRef]
- Huang, Q.Q.; Rozelle, S.; Howitt, R.; Wang, J.X.; Huang, J.K. Irrigation water demand and implications for water pricing policy in rural China. Environ. Dev. Econ. 2010, 15, 293–319. [Google Scholar] [CrossRef]
- Appels, D.; Douglas, R.; Dwyer, G. Responsiveness of Demand for Irrigation Water: A Focus on the Southern Murray-Darling Basin; Productivity Commission: Melbourne, Australia, 2004. [Google Scholar]
- Scheierling, S.M.; Loomis, J.B.; Young, R.A. Irrigation water demand: A meta-analysis of price elasticities. Water Resour. Res. 2006. [Google Scholar] [CrossRef]
- Olmstead, S.M.; Michael Hanemann, W.; Stavins, R.N. Water demand under alternative price structures. J. Environ. Econ. Manag. 2007, 54, 181–198. [Google Scholar] [CrossRef]
- Davidson, B.; Hellegers, P. Estimating the own-price elasticity of demand for irrigation water in the Musi catchment of India. J. Hydrol. 2011, 408, 226–234. [Google Scholar] [CrossRef]
- Bate, R. Water- can property rights and markets replace conflict? In Sustainable Development: Promoting Progress or Perpetuating Poverty? Morris, J., Ed.; Profile Books: London, UK, 2002. [Google Scholar]
- Tsur, Y.; Dinar, A. Efficiency and Equity Considerations in Pricing and Allocating Irrigation Water; World Bank Publications: Washington, DC, USA, 1995; Volume 1460. [Google Scholar]
- Mohamed, A.S.; Savenije, H.H.G. Water demand management: Positive incentives, negative incentives or quota regulation? Phys. Chem. Earth Part B Hydrol. Oceans Atmos. 2000, 25, 251–258. [Google Scholar] [CrossRef]
- Wichelns, D. Economic analysis of water allocation policies regarding nile river water in Egypt. Agric. Water Manag. 2002, 52, 155–175. [Google Scholar] [CrossRef]
- Mul, M.L.; Kemerink, J.S.; Vyagusa, N.F.; Mshana, M.G.; van der Zaag, P.; Makurira, H. Water allocation practices among smallholder farmers in the South Pare Mountains, Tanzania: The issue of scale. Agric. Water Manag. 2011, 98, 1752–1760. [Google Scholar] [CrossRef]
- Vos, J.; Vincent, L. Volumetric water control in a large-scale open canal irrigation system with many smallholders: The case of Chancay-Lambayeque in Peru. Agric. Water Manag. 2011, 98, 705–714. [Google Scholar] [CrossRef]
- Liao, Y.S.; Gao, Z.Y.; Bao, Z.Y.; Huang, Q.W.; Feng, G.Z.; Xu, D.; Cai, J.B.; Han, H.J.; Wu, W.F. China’s Water Pricing Reforms for Irrigation: Effectiveness and Impact; International Water Management Institute: Sri Lanka, Colombo, 2008. [Google Scholar]
- Wang, J.X.; Huang, J.K.; Xu, Z.G.; Rozell, S.; Hussain, I.; Biltonen, E.; Huang, Q.Q.; Msangi, S. Pro-poor intervention strategies in irrigated agriculture in Asia: Poverty in irrigated agriculture: Issues and options: China. Irrig. Drain 2007, 56, 119–126. [Google Scholar] [CrossRef]
- Webber, M.; Barnett, J.; Finlayson, B.; Wang, M. Pricing China’s irrigation water. Glob. Environ. Change-Hum. Policy Dimens. 2008, 18, 617–625. [Google Scholar] [CrossRef]
- Shen, Y.; Lein, H. Treating water as an economic good: Policies and practices in irrigation agriculture in Xinjiang, China. Geogr. J. 2010, 176, 124–137. [Google Scholar]
- Fragoso, R.; Marques, C. The Economic Impact of Alternative Water Pricing Policies in Alentejo Region; University of Evora: Evora, Portugal, 2013. [Google Scholar]
- Li, X.; Tian, Z. Practices and Reflections on Establishing a Water-Saving Society; China Water Press: Beijing, China, 2003. (In Chinese) [Google Scholar]
- Berbel, J.; Mateos, L. Does investment in irrigation technology necessarily generate rebound effects? A simulation analysis based on an agro-economic model. Agric. Syst. 2014, 128, 25–34. [Google Scholar] [CrossRef]
- Aucamp, D.C.; Steinberg, D.I. The computation of shadow prices in linear programming. J. Oper. Res. Soc. 1982, 33, 557–565. [Google Scholar] [CrossRef]
- Shi, M.J.; Zhang, Q.Y.; Wang, T. Better access to new technologies and credit service, farmers’ land use decision, and policy for poverty alleviation and rangeland conservation. Jarq-Jpn. Agric. Res. Q. 2005, 39, 181–190. [Google Scholar] [CrossRef]
- Janssen, S.; van Ittersum, M.K. Assessing farm innovations and responses to policies: A review of bio-economic farm models. Agric. Syst. 2007, 94, 622–636. [Google Scholar] [CrossRef]
© 2014 by the authors; licensee MDPI, Basel, Switzerland. This article is an open access article distributed under the terms and conditions of the Creative Commons Attribution license (http://creativecommons.org/licenses/by/4.0/).
Share and Cite
Shi, M.; Wang, X.; Yang, H.; Wang, T. Pricing or Quota? A Solution to Water Scarcity in Oasis Regions in China: A Case Study in the Heihe River Basin. Sustainability 2014, 6, 7601-7620. https://doi.org/10.3390/su6117601
Shi M, Wang X, Yang H, Wang T. Pricing or Quota? A Solution to Water Scarcity in Oasis Regions in China: A Case Study in the Heihe River Basin. Sustainability. 2014; 6(11):7601-7620. https://doi.org/10.3390/su6117601
Chicago/Turabian StyleShi, Minjun, Xiaojun Wang, Hong Yang, and Tao Wang. 2014. "Pricing or Quota? A Solution to Water Scarcity in Oasis Regions in China: A Case Study in the Heihe River Basin" Sustainability 6, no. 11: 7601-7620. https://doi.org/10.3390/su6117601
APA StyleShi, M., Wang, X., Yang, H., & Wang, T. (2014). Pricing or Quota? A Solution to Water Scarcity in Oasis Regions in China: A Case Study in the Heihe River Basin. Sustainability, 6(11), 7601-7620. https://doi.org/10.3390/su6117601
