How Eco-Efficient Are Low-Input Cropping Systems in Western Europe, and What Can Be Done to Improve Their Eco-Efficiency?
Abstract
:1. Introduction
- (1)
- to review the evidence from Life Cycle Assessment (LCA) regarding the effect of reducing agricultural inputs on eco-efficiency; and
- (2)
- to identify interventions for improving eco-efficiency of low-input cropping systems.
2. Methodology
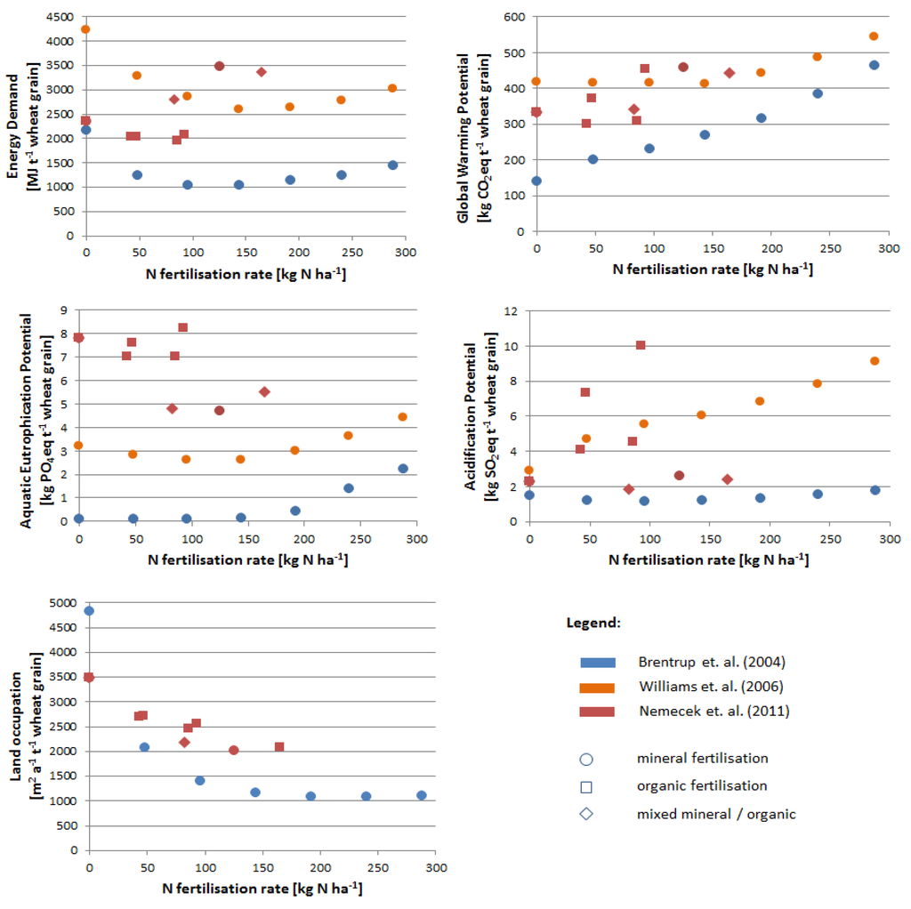
3. Environmental Impacts of Low-Input Cropping Systems

4. How Can the Eco-Efficiency of Low-Input Cropping Systems Be Improved?
4.1. Reduced Tillage, Conservation Tillage and No-Till Farming
4.2. Legumes and Crop Rotations
4.3. Intercropping
4.4. Breeding
4.5. Recycling Biomass
5. Other Benefits of Low-Input Systems
6. Conclusions
Supplementary Materials
Acknowledgements
Conflicts of Interest
References
- Food and Agriculture Organisation of the United Nations. FAOSTAT Database. Production. Available online: http://faostat.fao.org/ (accessed on 19 July 2013).
- European Statistical Office. General and Regional Statistics. Available online: http://epp.eurostat.ec.europa.eu/portal/page/portal/eurostat/home/ (accessed on 19 July 2013).
- Stoate, C.; Boatman, N.D.; Borralho, R.J.; Carvalho, C.R.; de Snoo, G.R.; Eden, P. Ecological impacts of arable intensification in Europe. J. Environ. Manag. 2001, 63, 337–365. [Google Scholar] [CrossRef]
- Tilman, D.; Cassman, K.G.; Matson, P.A.; Naylor, R.; Polasky, S. Agricultural sustainability and intensive production practices. Nature 2002, 418, 671–677. [Google Scholar] [CrossRef]
- Liebhardt, W.C.; Andrews, R.W.; Culik, M.N.; Harwood, R.R.; Janke, R.R.; Radke, J.K.; Riegerschwartz, S.L. Crop production during conversion from conventional to low-input methods. Agron. J. 1989, 81, 150–159. [Google Scholar] [CrossRef]
- Parr, J.F.; Papendick, R.I.; Youngberg, I.G.; Meyer, R.E. Sustainable Agriculture in the United States. In Sustainable Agricultural Systems; Edwards, C.A., Madden, R.L.P., Miller, R., House, G., Eds.; Soil and Water Conservation Society: Ankeny, CA, USA, 1990. [Google Scholar]
- Gosme, M.; Suffert, F.; Jeuffroy, M.H. Intensive versus low-input cropping systems: What is the optimal partitioning of agricultural area in order to reduce pesticide use while maintaining productivity? Agric. Syst. 2010, 103, 110–116. [Google Scholar] [CrossRef]
- Strijker, D. Marginal lands in Europe—Causes of decline. Basic Appl. Ecol. 2005, 6, 99–106. [Google Scholar] [CrossRef]
- Loyce, C.; Meynard, J.M.; Bouchard, C.; Rolland, B.; Lonnet, P.; Bataillon, P.; Bernicot, M.H.; Bonnefoy, M.; Charrier, X.; Debote, B.; et al. Growing winter wheat cultivars under different management intensities in France: A multicriteria assessment based on economic, energetic and environmental indicators. Field Crop. Res. 2012, 125, 167–178. [Google Scholar] [CrossRef]
- Bouchard, C.; Bernicot, M.H.; Félix, I.; Guérin, O.; Loyce, C.; Omon, B.; Rolland, B. Associer des itinéraires techniques de niveau d’intrants variés à des variétés rustiques de blé tendre: Évaluation économique, environnementale et énergétique. ( In French). Courr. environ. INRA 2008, 55, 53–57. [Google Scholar]
- European Environment Agency. Agriculture and Environment in EU-15—The IRENA Indicator Report; European Environment Agency: Copenhagen, Denmark, 2005. Available online: http://www.eea.europa.eu/publications/eea_report_2005_6/ (accessed on 14 August 2013).
- Sebillotte, M. Some Concepts for Analysing Farming and Cropping Systems and for Understanding Their Different Effects. In Proceedings of the 1st Congress of European Society of Agronomy, Paris, France, 5–7 December 1990; Scaife, A., Ed.; European Society of Agronomy: Paris, France, 1990; pp. 1–16. [Google Scholar]
- Schmidheiny, S. Changing Course: A Global Business Perspective on Development and the Environment; MIT Press: Cambridge, MA, USA, 1992. [Google Scholar]
- Food and Agriculture Organisation of the United Nations (FAO), Save and Grow: A Policymaker’s Guide to the Sustainable Intensification of Smallholder Crop Production; FAO: Rome, Italy, 2011.
- Her Majesty Government, The Future of Food and Farming; The Government Office for Science: London, UK, 2011.
- Royal Society, Reaping the Benefits: Science and the Sustainable Intensification of Global Agriculture; Royal Society: London, UK, 2009.
- Tilman, D.; Balzer, C.; Hill, J.; Befort, B.L. Global food demand and the sustainable intensification of agriculture. Proc. Natl. Acad. Sci. USA 2011, 108, 20260–20264. [Google Scholar] [CrossRef]
- Godfray, H.C.J.; Beddington, J.R.; Crute, I.R.; Haddad, L.; Lawrence, D.; Muir, J.F.; Pretty, J.; Robinson, S.; Thomas, S.M.; Toulmin, C. Food security: The challenge of feeding 9 billion people. Science 2010, 327, 812–818. [Google Scholar] [CrossRef]
- Garnett, T.; Appleby, M.; Balmford, A.; Bateman, I.; Benton, T.; Bloomer, P.; Burlingame, B.; Dawkins, M.; Dolan, L.; Fraser, D. Sustainable intensification in agriculture: Premises and policies. Science 2013, 341, 33–34. [Google Scholar] [CrossRef]
- Huppes, G.; Ishikawa, M. Eco-efficiency and its terminology. J. Ind. Ecol. 2005, 9, 43–46. [Google Scholar] [CrossRef]
- Finnveden, G.R.; Hauschild, M.Z.; Ekvall, T.; Guinée, J.; Heijungs, R.; Hellweg, S.; Koehler, A.; Pennington, D.; Suh, S. Recent developments in Life Cycle Assessment. J. Environ. Manag. 2009, 91, 1–21. [Google Scholar] [CrossRef]
- Corson, M.S.; van der Werf, H.M.G. Abstracts of the 8th International Conference on Life Cycle Assessment in the Agri-Food Sector (LCA Food 2012), Saint Malo, France, 1–4 October 2012; Corson, M.S., van der Werf, H.M.G., Eds.; INRA, Rennes: Saint Malo, France, 2012.
- Tuomisto, H.; Hodge, I.; Riordan, P.; Macdonald, D. Does organic farming reduce environmental impacts?—A meta-analysis of European research. J. Environ. Manag. 2012, 112, 309–320. [Google Scholar] [CrossRef]
- International Organization for Standardization (ISO), Environmental Management—Life Cycle Assessment—Principles and Framework; International Organization for Standardization: Geneva, Switzerland, 2006; Vol. ISO 14040:2006.
- Roches, A.; Nemecek, T.; Gaillard, G.; Plassmann, K.; Sim, S.; King, H.; Milà i Canals, L. MEXALCA: A modular method for the extrapolation of crop LCA. Int. J. Life Cycle Assess. 2010, 15, 842–854. [Google Scholar] [CrossRef]
- Brentrup, F.; Kusters, J.; Lammel, J.; Barraclough, P.; Kuhlmann, H. Environmental impact assessment of agricultural production systems using the life cycle assessment (LCA) methodology II. The application to N fertilizer use in winter wheat production systems. Eur. J. Agron. 2004, 20, 265–279. [Google Scholar]
- Nemecek, T.; Huguenin-Elie, O.; Dubois, D.; Gaillard, G.; Schaller, B.; Chervet, A. Life cycle assessment of Swiss farming systems: II. Extensive and intensive production. Agric. Syst. 2011, 104, 233–245. [Google Scholar] [CrossRef]
- Hauschild, M.Z.; Wenzel, H. Environmental Assessment of Products; Chapman & Hall: London, UK, 1998; Volume 2 Scientific Background, p. 565. [Google Scholar]
- Williams, A.G.; Audsley, E.; Sandars, D.L. Determining the Environmental Burdens and Resource Use in the Production of Agricultural and Horticultural Commodities; Defra Project Report IS0205; Cranfield University, DEFRA: Bedford, UK, 2006. [Google Scholar]
- Cranfield University Centre for Environmental Risk and Futures. Agri-LCI Model. Available online: http://www.cranfield.ac.uk/sas/cerf/lca.html (accessed on 19 July 2013).
- Flavell, R. Knowledge and technologies for sustainable intensification of food production. New Biotechnol. 2010, 27, 505–516. [Google Scholar] [CrossRef]
- Murray, W.J. Sustainable Crop Production Intensification. In Proceedings of the International Scientific Symposium Biodiversity and Sustainable Diets United Against Hunger, FAO Headquarters, Rome, Italy, 3–5 November 2010; Burlingame, B., Dernini, S., Eds.; FAO Nutrition and Consumer Protection Division: Rome, Italy, 2012. [Google Scholar]
- World Bank, Investments in Sustainable Agricultural Intensification. In Agricultural Investment Sourcebook. Module 4; The International Bank for Reconstruction and Development/The World Bank: Washington, DC, USA, 2004.
- Pretty, J. Can ecological agriculture feed nine billion people? Mon. Rev. 2009, 61, 46–58. [Google Scholar]
- Cassman, K.G. Ecological intensification of cereal production systems: Yield potential, soil quality, and precision agriculture. Proc. Natl. Acad. Sci. USA 1999, 96, 5952–5959. [Google Scholar] [CrossRef]
- Doré, T.; Makowski, D.; Malézieux, E.; Munier-Jolain, N.; Tchamitchian, M.; Tittonell, P. Facing up to the paradigm of ecological intensification in agronomy: Revisiting methods, concepts and knowledge. Eur. J. Agron. 2011, 34, 197–210. [Google Scholar] [CrossRef]
- Pretty, J.N. The sustainable intensification of agriculture. Nat. Resour. Forum 1997, 21, 247–256. [Google Scholar]
- Vayssières, J.; Vigne, M.; Alary, V.; Lecomte, P. Integrated participatory modelling of actual farms to support policy making on sustainable intensification. Agric. Syst. 2011, 104, 146–161. [Google Scholar] [CrossRef]
- Haas, G.; Wetterich, F.; Kopke, U. Comparing intensive, extensified and organic grassland farming in southern Germany by process life cycle assessment. Agric. Ecosyst. Environ. 2001, 83, 43–53. [Google Scholar] [CrossRef]
- Charles, R.; Jolliet, O.; Gaillard, G.; Pellet, D. Environmental analysis of intensity level in wheat crop production using life cycle assessment. Agric. Ecosyst. Environ. 2006, 113, 216–225. [Google Scholar] [CrossRef]
- Glendining, M.J.; Dailey, A.G.; Williams, A.G.; van Evert, F.K.; Goulding, K.W.T.; Whitmore, A.P. Is it possible to increase the sustainability of arable and ruminant agriculture by reducing inputs? Agric. Syst. 2009, 99, 117–125. [Google Scholar] [CrossRef]
- Goglio, P.; Bonari, E.; Mazzoncini, M. LCA of cropping systems with different external input levels for energetic purposes. Biomass Bioenerg. 2012, 42, 33–42. [Google Scholar]
- Jarecki, M.K.; Lal, R. Crop management for soil carbon sequestration. Crit. Rev. Plant Sci. 2003, 22, 471–502. [Google Scholar] [CrossRef]
- Govaerts, B.; Verhulst, N.; Castellanos-Navarrete, A.; Sayre, K.D.; Dixon, J.; Dendooven, L. Conservation agriculture and soil carbon sequestration: Between myth and farmer reality. Crit. Rev. Plant Sci. 2009, 28, 97–122. [Google Scholar] [CrossRef]
- Soane, B.D.; Ball, B.C.; Arvidsson, J.; Basch, G.; Moreno, F.; Roger-Estrade, J. No-till in northern, western and south-western Europe: A review of problems and opportunities for crop production and the environment. Soil Tillage Res. 2012, 118, 66–87. [Google Scholar] [CrossRef]
- Lal, R. Soil carbon sequestration impacts on global climate change and food security. Science 2004, 304, 1623–1627. [Google Scholar] [CrossRef]
- West, T.O.; Post, W.M. Soil organic carbon sequestration rates by tillage and crop rotation: A global data analysis. Soil Sci. Soc. Am. J. 2002, 66, 1930–1946. [Google Scholar] [CrossRef]
- Kim, S.; Dale, B.E. Environmental aspects of ethanol derived from no-tilled corn grain: Nonrenewable energy consumption and greenhouse gas emissions. Biomass Bioenergy 2005, 28, 475–489. [Google Scholar] [CrossRef]
- Borzęcka-Walker, M.; Faber, A.; Jarosz, Z.; Syp, A.; Pudełko, R. Greenhouse gas emissions from rape seed cultivation for FAME production in Poland. J. Food Agric. Environ. 2013, 11, 1064–1068. [Google Scholar]
- Syp, A.; Jarosz, Z.; Faber, A.; Borzecka-Walker, M.; Pudelko, R. Greenhouse gas emissions from winter wheat cultivation for bioethanol production in Poland. J. Food Agric. Environ. 2012, 10, 1169–1172. [Google Scholar]
- Gelfand, I.; Sahajpal, R.; Zhang, X.; Izaurralde, R.C.; Gross, K.L.; Robertson, G.P. Sustainable bioenergy production from marginal lands in the US Midwest. Nature 2013, 493, 514–517. [Google Scholar] [CrossRef]
- Baker, J.M.; Ochsner, T.E.; Venterea, R.T.; Griffis, T.J. Tillage and soil carbon sequestration—What do we really know? Agric. Ecosyst. Environ. 2007, 118, 1–5. [Google Scholar] [CrossRef]
- Blanco-Canqui, H.; Lal, R. No-tillage and soil-profile carbon sequestration: An on-farm assessment. Soil Sci. Soc. Am. J. 2008, 72, 693–701. [Google Scholar] [CrossRef]
- Iriarte, A.; Rieradevall, J.; Gabarrell, X. Environmental impacts and energy demand of rapeseed as an energy crop in Chile under different fertilization and tillage practices. Biomass Bioenergy 2011, 35, 4305–4315. [Google Scholar] [CrossRef]
- Tuomisto, H.; Hodge, I.; Riordan, P.; Macdonald, D. Comparing global warming potential, energy use and land use of organic, conventional and integrated winter wheat production. Ann. Appl. Biol. 2012, 161, 116–126. [Google Scholar] [CrossRef]
- Van der Werf, H.M.G. Life Cycle Analysis of field production of fibre hemp, the effect of production practices on environmental impacts. Euphytica 2004, 140, 13–23. [Google Scholar] [CrossRef]
- Hocking, P.; Randall, P.; Horst, W.J.; Schenk, M.K.; Bürkert, A.; Claassen, N.; Flessa, H.; Frommer, W.B.; Goldbach, H.; Olfs, H.W.; et al. Better growth and phosphorus nutrition of sorghum and wheat following organic acid secreting crops. Plant Nutr. 2002, 92, 548–549. [Google Scholar] [CrossRef]
- Muchane, M.; Jama, B.; Othieno, C.; Okalebo, R.; Odee, D.; Machua, J.; Jansa, J. Influence of improved fallow systems and phosphorus application on arbuscular mycorrhizal fungi symbiosis in maize grown in western Kenya. Agrofor. Syst. 2010, 78, 139–150. [Google Scholar] [CrossRef]
- Pypers, P.; Huybrighs, M.; Diels, J.; Abaidoo, R.; Smolders, E.; Merckx, R. Does the enhanced P acquisition by maize following legumes in a rotation result from improved soil P availability? Soil Biol. Biochem. 2007, 39, 2555–2566. [Google Scholar] [CrossRef]
- Gaiser, T.; Perkons, U.; Kuper, P.M.; Puschmann, D.U.; Peth, S.; Kautz, T.; Pfeifer, J.; Ewert, F.; Horn, R.; Kopke, U. Evidence of improved water uptake from subsoil by spring wheat following lucerne in a temperate humid climate. Field Crop. Res. 2012, 126, 56–62. [Google Scholar] [CrossRef]
- Nemecek, T.; von Richthofen, J.-S.; Dubois, G.; Casta, P.; Charles, R.; Pahl, H. Environmental impacts of introducing grain legumes into European crop rotations. Eur. J. Agron. 2008, 28, 380–393. [Google Scholar] [CrossRef]
- Chen, S.Y.; Porter, P.M.; Reese, C.D.; Stienstra, W.C. Crop sequence effects on soybean cyst nematode and soybean and corn yields. Crop Sci. 2001, 41, 1843–1849. [Google Scholar] [CrossRef]
- Crookston, R.K.; Kurle, J.E.; Copeland, P.J.; Ford, J.H.; Lueschen, W.E. Rotational cropping sequence affects yield of corn and soybean. Agron. J. 1991, 83, 108–113. [Google Scholar] [CrossRef]
- Howard, D.D.; Chambers, A.Y.; Lessman, G.M. Rotation and fertilization effects on corn and soybean yields and soybean cyst nematode populations in a no-tillage system. Agron. J. 1998, 90, 518–522. [Google Scholar] [CrossRef]
- Long, J.H.; Todd, T.C. Effect of crop rotation and cultivar resistance on seed yield and the soybean cyst nematode in full-season and double-cropped soybean. Crop Sci. 2001, 41, 1137–1143. [Google Scholar] [CrossRef]
- West, T.D.; Griffith, D.R.; Steinhardt, G.C.; Kladivko, E.J.; Parsons, S.D. Effect of tillage and rotation on agronomic performance of corn and soybean: Twenty-year study on dark silty clay loam soil. J. Prod. Agric. 1996, 9, 241–248. [Google Scholar] [CrossRef]
- Kirkegaard, J.; Christen, O.; Krupinsky, J.; Layzell, D. Break crop benefits in temperate wheat production. Field Crop. Res. 2008, 107, 185–195. [Google Scholar] [CrossRef]
- Cook, R.J.; Schillinger, W.F.; Christensen, N.W. Rhizoctonia root rot and take-all of wheat in diverse direct-seed spring cropping systems. Can. J. Plant Pathol. Revue Can. De Phytopathol. 2002, 24, 349–358. [Google Scholar] [CrossRef]
- Vandermeer, J. The Ecology of Intercropping; Cambridge University Press: Cambridge, UK, 1989. [Google Scholar]
- Whitmore, A.P.; Schröder, J.J. Intercropping reduces nitrate leaching from under field crops without loss of yield: A modelling study. Eur. J. Agron. 2007, 27, 81–88. [Google Scholar] [CrossRef]
- Picard, D.; Ghiloufi, M.; Saulas, P.; de Tourdonnet, S. Does undersowing winter wheat with a cover crop increase competition for resources and is it compatible with high yield. Field Crop. Res. 2010, 115, 9–18. [Google Scholar] [CrossRef]
- Carof, M.; de Tourdonnet, S.; Saulas, P.; Le Floch, D.; Roger-Estrade, J. Undersowing wheat with different living mulches in a no-till system. I. Yield analysis. Agron. Sustain. Dev. 2007, 27, 347–356. [Google Scholar] [CrossRef]
- Hauggaard-Nielsen, H.; Andersen, M.K.; Jornsgaard, B.; Jensen, E.S. Density and relative frequency effects on competitive interactions and resource use in pea-barley intercrops. Field Crop. Res. 2006, 95, 256–267. [Google Scholar] [CrossRef]
- Pelzer, E.; Bazot, M.; Makowski, D.; Corre-Hellou, G.; Naudin, C.; Al Rifaï, M.; Baranger, E.; Bedoussac, L.; Biarnés, V.R.; Boucheny, P.; et al. Pea-wheat intercrops in low-input conditions combine high economic performances and low environmental impacts. Eur. J. Agron. 2012, 40, 39–53. [Google Scholar] [CrossRef]
- Hauggaard-Nielsen, H.; Gooding, M.; Ambus, P.; Corre-Hellou, G.; Crozat, Y.; Dahlmann, C.; Dibet, A.; von Fragstein, P.; Pristeri, A.; Monti, M.; et al. Pea-barley intercropping and short-term subsequent crop effects across European organic cropping conditions. Nutr. Cycl. Agroecosyst. 2009, 85, 141–155. [Google Scholar] [CrossRef]
- Andersen, M.K.; Hauggaard-Nielsen, H.; Ambus, P.; Jensen, E.S. Biomass production, symbiotic nitrogen fixation and inorganic N use in dual and tri-component annual intercrops. Plant Soil 2004, 266, 273–287. [Google Scholar]
- Graves, A.R.; Burgess, P.J.; Liagre, F.; Terreaux, J.P.; Borrel, T.; Dupraz, C.; Palma, J.; Herzog, F. Farm-SAFE: The process of developing a plot- and farm-scale model of arable, forestry, and silvoarable economics. Agrofor. Syst. 2011, 81, 93–108. [Google Scholar] [CrossRef]
- Eichhorn, M.P.; Paris, P.; Herzog, F.; Incoll, L.D.; Liagre, F.; Mantzanas, K.; Mayus, M.; Moreno, G.; Papanastasis, V.P.; Pilbeam, D.J.; et al. Silvoarable systems in europe—past, present and future prospects. Agrofor. Syst. 2006, 67, 29–50. [Google Scholar] [CrossRef]
- Dupraz, C. Adequate design of control treatments in long term agroforestry experiments with multiple objectives. Agrofor. Syst. 1998, 43, 35–48. [Google Scholar] [CrossRef]
- Graves, A.R.; Burgess, P.J.; Palma, J.; Keesman, K.J.; van der Werf, W.; Dupraz, C.; van Keulen, H.; Herzog, F.; Mayus, M. Implementation and calibration of the parameter-sparse Yield-SAFE model to predict production and land equivalent ratio in mixed tree and crop systems under two contrasting production situations in Europe. Ecol. Model. 2010, 221, 1744–1756. [Google Scholar] [CrossRef]
- Sanchez, P.A.; Buresh, R.J.; Leakey, R.R.B. Trees, soils, and food security. Philos. Trans. R. Soc. B Biol. Sci. 1997, 352, 949–960. [Google Scholar] [CrossRef]
- Danso, S.K.A.; Bowen, G.D.; Sanginga, N. Biological nitrogen fixation in trees in agroecosystems. Plant Soil 1992, 141, 177–196. [Google Scholar] [CrossRef]
- Akinnifesi, F.K.; Ajayi, O.C.; Sileshi, G.; Chirwa, P.W.; Chianu, J. Fertilizer trees for sustainable food security in the maize-based production systems of East and Southern Africa. A review. Agron. Sustain. Dev. 2010, 30, 615–629. [Google Scholar] [CrossRef]
- Ndufa, J.K.; Gathumbi, S.M.; Kamiri, H.W.; Giller, K.E.; Cadisch, G. Do mixed-species legume fallows provide long-term maize yield benefit compared with monoculture legume fallows? Agron. J. 2009, 101, 1352–1362. [Google Scholar] [CrossRef]
- Grünewald, H.; Böhm, C.; Quinkenstein, A.; Grundmann, P.; Eberts, J.; von Wühlisch, G. Robinia pseudoacacia L.: A lesser known tree species for biomass production. BioEnergy Res. 2009, 2, 123–133. [Google Scholar] [CrossRef]
- Grünewald, H.; Brandt, B.K.V.; Schneider, B.U.; Bens, O.; Kendzia, G.; Hättl, R.F. Agroforestry systems for the production of woody biomass for energy transformation purposes. Ecol. Eng. 2007, 29, 319–328. [Google Scholar] [CrossRef]
- Kiaer, L.P.; Skovgaard, I.M.; Østergård, H. Grain yield increase in cereal variety mixtures: A meta-analysis of field trials. Field Crop. Res. 2009, 114, 361–373. [Google Scholar] [CrossRef]
- Mundt, C.C. Use of multiline cultivars and cultivar mixtures for disease management. Annu. Rev. Phytopathol. 2002, 40, 381–410. [Google Scholar] [CrossRef]
- Naudin, C.; van der Werf, H.M.G.; Jeuffroy, M.H.; Corre-Hellou, G. LCA Applied to Pea-Wheat Intercrops: The Significance of Allocation. In Proceedings of the 8th International Conference on LCA in the Agri-Food Sector, St. Malo, France, 1–4 October 2012; Corson, M.S., van der Werf, H.M.G., Eds.; INRA-Rennes: St. Malo, France, 2013. [Google Scholar]
- McDevitt, J.E.; Milà i Canals, L. Can life cycle assessment be used to evaluate plant breeding objectives to improve supply chain sustainability? A worked example using porridge oats from the UK. Int. J. Agric. Sustain. 2011, 9, 484–494. [Google Scholar] [CrossRef]
- Phillips, S.L.; Wolfe, M.S. Evolutionary plant breeding for low input systems. J. Agric. Sci. 2005, 143, 245–254. [Google Scholar] [CrossRef]
- Ceccarelli, S. Specific adaptation and breeding for marginal conditions. Euphytica 1994, 77, 205–219. [Google Scholar] [CrossRef]
- Ceccarelli, S.; Grando, S.; Hamblin, J. Relationship between barley-grain yield measured in low-yielding and high-yielding environments. Euphytica 1992, 64, 49–58. [Google Scholar]
- Fess, T.L.; Kotcon, J.B.; Benedito, A. Crop breeding for low input agriculture: A sustainable response to feed a growing population. Sustainability 2011, 3, 1742–1772. [Google Scholar] [CrossRef]
- Guarda, G.; Padovan, S.; Delogu, G. Grain yield, nitrogen-use efficiency and baking quality of old and modern Italian bread-wheat cultivars grown at different nitrogen levels. Eur. J. Agron. 2004, 21, 181–192. [Google Scholar] [CrossRef]
- Tester, M.; Langridge, P. Breeding technologies to increase crop production in a changing world. Science 2010, 327, 818–822. [Google Scholar] [CrossRef]
- Kooistra, K.J.; Pyburn, R.; Termorshuizen, A.J. The Sustainability of Cotton. Consequences for Man and Environment; Report 223; Wetenschapswinkel Wageningen Universiteit en Reseachcentrum: Wageningen, The Netherlands, 2006. [Google Scholar]
- Park, J.R.; McFarlane, I.; Phipps, R.H.; Ceddia, G. The role of transgenic crops in sustainable development. Plant Biotechnol. J. 2011, 9, 2–21. [Google Scholar] [CrossRef]
- Sanahuja, G.; Banakar, R.; Twyman, R.M.; Capell, T.; Christou, P. Bacillus thuringiensis: A century of research, development and commercial applications. Plant Biotechnol. J. 2011, 9, 283–300. [Google Scholar] [CrossRef]
- Leroy, B. Soil Food Web, C and N Transformations and Soil Structure: Interactions and Feedback Mechanisms as a Function of the Quality of Exogenous Organic Matter. Ph.D. Thesis, Gent University, Gent, Belgium, 2008. [Google Scholar]
- D’Hose, T.; Cougnon, M.; de Vliegher, A.; Willekens, K.; van Bockstaele, E.; Reheul, D. Farm compost application: Effects on crop performance. Compost Sci. Util. 2012, 20, 49–56. [Google Scholar] [CrossRef]
- Möller, K.; Müller, T. Effects of anaerobic digestion on digestate nutrient availability and crop growth: A review. Eng. Life Sci. 2012, 12, 242–257. [Google Scholar] [CrossRef]
- Kong, D.; Shan, J.; Iacoboni, M.; Maguin, S.R. Evaluating greenhouse gas impacts of organic waste management options using life cycle assessment. Waste Manag. Res. 2012, 30, 800–812. [Google Scholar] [CrossRef]
- Leifeld, J. Low-input farming: A way towards climate-friendly agriculture? Carbon Manag. 2013, 4, 31–41. [Google Scholar] [CrossRef]
- Poeschl, M.; Ward, S.; Owende, P. Environmental impacts of biogas deployment—Part II: Life cycle assessment of multiple production and utilization pathways. J. Clean. Prod. 2012, 24, 184–201. [Google Scholar] [CrossRef]
- Lansche, J.; Müller, J. Life cycle assessment of energy generation of biogas fed combined heat and power plants: Environmental impact of different agricultural substrates. Eng. Life Sci. 2012, 12, 313–320. [Google Scholar] [CrossRef]
- Verheijen, F.G.A.; Jeffery, S.; Bastos, A.C.; van der Velde, M.; Diafas, I. Biochar Applications to Soils. A Critical Scientific Review of Effects on Soil Properties, Processes and Functions; EUR 24099 EN; Office for the Official Publications of the European Communities: Luxembourg, Luxembourg, 2010. [Google Scholar]
- Navia, R.; Crowley, D.E. Closing the loop on organic waste management: Biochar for agricultural land application and climate change mitigation. Waste Manag. Res. 2010, 28, 479–480. [Google Scholar] [CrossRef]
- Lehmann, J.; Joseph, S. Biochar for Environmental Management; Earthscan: London, UK, 2009. [Google Scholar]
- Steiner, C.; Teixeira, W.G.; Lehmann, J.; Nehls, T.; de Macedo, J.L.V.; Blum, W.E.H.; Zech, W. Long term effects of manure, charcoal and mineral fertilization on crop production and fertility on a highly weathered Central Amazonian upland soil. Plant Soil 2007, 291, 275–290. [Google Scholar] [CrossRef]
- Chan, K.Y.; Xu, Z. Biochar- Nutrient Properties and Their Enhancement. In Biochar for Environmental Management: Science and Technology; Lehman, J., Joseph, S., Eds.; Earthscan: London, UK, 2009; pp. 67–81. [Google Scholar]
- Lehmann, J.; Gaunt, J.; Rondon, M. Bio-char sequestration in terrestrial ecosystems—A review. Mitig. Adapt. Strateg. Glob. Chang. 2006, 11, 395–419. [Google Scholar] [CrossRef]
- Roberts, K.G.; Gloy, B.A.; Joseph, S.; Scott, N.R.; Lehmann, J. Life Cycle Assessment of biochar systems: Estimating the Energetic, economic, and climate change potential. Environ. Sci. Technol. 2009, 44, 827–833. [Google Scholar]
- Ibarrola, R.; Shackley, S.; Hammond, J. Pyrolysis biochar systems for recovering biodegradable materials: A life cycle carbon assessment. Waste Manag. 2012, 32, 859–868. [Google Scholar] [CrossRef]
- Tuomisto, H.L.; Hodge, I.D.; Riordan, P.; Macdonald, D.W. Comparing energy balances, greenhouse gas balances and biodiversity impacts of contrasting farming systems with alternative land uses. Agric. Syst. 2012, 108, 42–49. [Google Scholar] [CrossRef]
- Jeanneret, P.; Baumgartner, D.U.; Knuchel, R.F.; Gaillard, G. A New LCIA Method for Assessing Impacts of Agricultural Activities on Biodiversity (SALCA-Biodiversity). In Proceedings of the 6th International Conference on LCA in the Agri-Food Sector—Towards a sustainable management of the food chain, Zurich, Switzerland, 12–14 November 2008; Nemecek, T., Gaillard, G., Eds.; Agroscope ART: Zurich, Switzerland, 2008; pp. 34–39. [Google Scholar]
© 2013 by the authors; licensee MDPI, Basel, Switzerland. This article is an open access article distributed under the terms and conditions of the Creative Commons Attribution license (http://creativecommons.org/licenses/by/3.0/).
Share and Cite
Kulak, M.; Nemecek, T.; Frossard, E.; Gaillard, G. How Eco-Efficient Are Low-Input Cropping Systems in Western Europe, and What Can Be Done to Improve Their Eco-Efficiency? Sustainability 2013, 5, 3722-3743. https://doi.org/10.3390/su5093722
Kulak M, Nemecek T, Frossard E, Gaillard G. How Eco-Efficient Are Low-Input Cropping Systems in Western Europe, and What Can Be Done to Improve Their Eco-Efficiency? Sustainability. 2013; 5(9):3722-3743. https://doi.org/10.3390/su5093722
Chicago/Turabian StyleKulak, Michal, Thomas Nemecek, Emmanuel Frossard, and Gérard Gaillard. 2013. "How Eco-Efficient Are Low-Input Cropping Systems in Western Europe, and What Can Be Done to Improve Their Eco-Efficiency?" Sustainability 5, no. 9: 3722-3743. https://doi.org/10.3390/su5093722
APA StyleKulak, M., Nemecek, T., Frossard, E., & Gaillard, G. (2013). How Eco-Efficient Are Low-Input Cropping Systems in Western Europe, and What Can Be Done to Improve Their Eco-Efficiency? Sustainability, 5(9), 3722-3743. https://doi.org/10.3390/su5093722

