Development and Validation of a Benthic Diatom Index of Biotic Integrity (BD-IBI) for Ecosystem Health Assessment in the Songhua River Basin
Abstract
1. Introduction
2. Materials and Methods
2.1. Study Area and Site Locations
2.2. Field Sampling and Processing
2.3. Measurement of Physicochemical Factors
2.4. Development of BD-IBI
2.4.1. Determine the Candidate Indexes
2.4.2. Selection of Impaired Sites and Reference Sites
2.4.3. Screening of Candidate Indicators
- Distribution range analysis.
- 2.
- Discriminant ability analysis
- 3.
- Correlation analysis
2.4.4. Unified Evaluation Scale
2.4.5. Data Analysis
3. Results
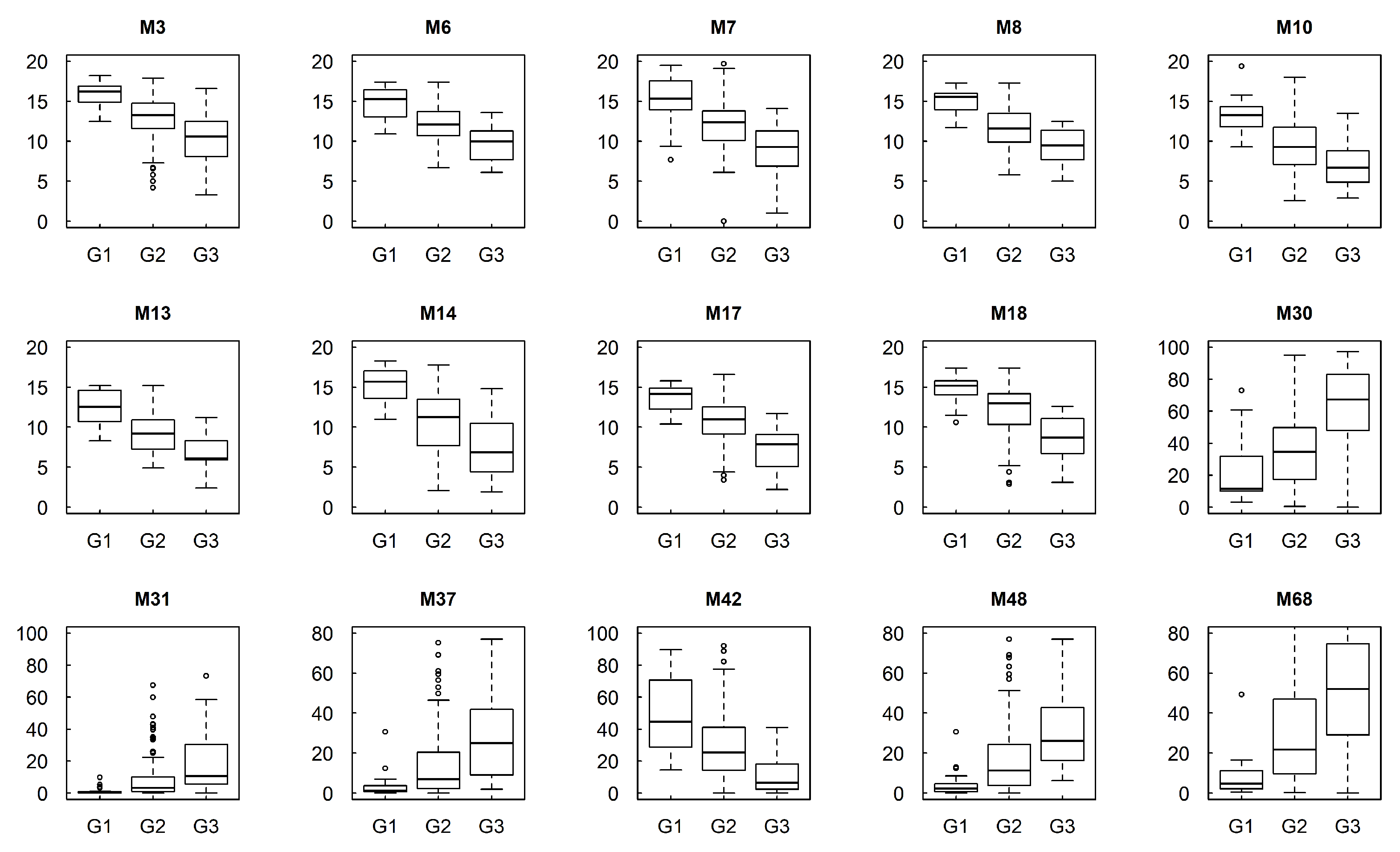
3.1. Development of the BD-IBI
3.2. Health Evaluation Results of the BD-IBI
3.3. Correlations Between the BD-IBI and Water Quality Factors
4. Discussion
4.1. The Core Indicators of BD-IBI
4.2. Water Ecological Quality in the Songhua River Basin
4.3. Factors Affecting Water Ecological Quality in the Songhua River Basin
4.4. Advantages and Limitations of IBI in Water Ecological Health Assessment
5. Conclusions
Author Contributions
Funding
Institutional Review Board Statement
Informed Consent Statement
Data Availability Statement
Conflicts of Interest
References
- Tokatli, C.; Solak, C.N.; Yilmaz, E.; Atici, T.; Dayioglu, H. Research into the Epipelic Diatoms of the Meric and Tunca Rivers and the Application of the Biological Diatom Index in Water Quality Assessment. Aquat. Sci. Eng. 2020, 35, 19–26. [Google Scholar] [CrossRef]
- Amin, S.A.; Parker, M.S.; Armbrust, E.V. Interactions between Diatoms and Bacteria. Microbiol. Mol. Biol. Rev. 2012, 76, 667–684. [Google Scholar] [CrossRef]
- Wang, J.; Liu, Q.; Zhao, X.; Borthwick, A.G.L.; Liu, Y.; Chen, Q.; Ni, J. Molecular biogeography of planktonic and benthic diatoms in the Yangtze River. Microbiome 2019, 7, 153. [Google Scholar] [CrossRef] [PubMed]
- Hu, Y.H.; Yan, L.; Hu, P.; Guo, H.M.; Li, X.Y.; Su, W.H. Exploring the Correspondence Between Benthic Algae and Changes in the Aquatic Environment for Biodiversity Development. Sustainability 2024, 16, 11287. [Google Scholar] [CrossRef]
- Rimet, F.; Bouchez, A.; Montuelle, B. Benthic diatoms and phytoplankton to assess nutrients in a large lake: Complementarity of their use in Lake Geneva (France-Switzerland). Ecol. Indic. 2015, 53, 231–239. [Google Scholar] [CrossRef]
- Soininen, J.; Könönen, K. Comparative study of monitoring South-Finnish rivers and streams using macroinvertebrate and benthic diatom community structure. Aquat. Ecol. 2004, 38, 63–75. [Google Scholar] [CrossRef]
- Bere, T. Challenges of diatom-based biological monitoring and assessment of streams in developing countries. Environ. Sci. Pollut. Res. 2016, 23, 5477–5486. [Google Scholar] [CrossRef]
- Yi, Y.; Ye, J.; Ding, H.; Yin, S. Research progress and prospect in China of aquatic ecosystem assessment methods. Hupo Kexue 2024, 36, 657–669. [Google Scholar]
- Karr, J.R. Assessment of Biotic Integrity Using Fish Communities. Fisheries 1981, 6, 21–27. [Google Scholar] [CrossRef]
- Karr, J.R.; Chu, E.W. Biological monitoring: Essential foundation for ecological risk assessment. Hum. Ecol. Risk Assess. 1997, 3, 993–1004. [Google Scholar] [CrossRef]
- Wang, F.; Li, Y.; Ma, T.; Chen, H.; Wang, X.; Li, K.; Wu, Z. Ecological health assessment of urban lake based on phytoplankton-A case study of Lake Xihu, Tongling, lower reaches of the Yangtze River. Hupo Kexue 2022, 34, 1890–1900. [Google Scholar] [CrossRef]
- Cooper, M.J.; Lamberti, G.A.; Moerke, A.H.; Ruetz, C.R.; Wilcox, D.A.; Brady, V.J.; Brown, T.N.; Ciborowski, J.J.H.; Gathman, J.P.; Grabas, G.P.; et al. An expanded fish-based index of biotic integrity for Great Lakes coastal wetlands. Environ. Monit. Assess. 2018, 190, 580. [Google Scholar] [CrossRef] [PubMed]
- Huang, X.Y.; Xu, J.; Liu, B.; Guan, X.; Li, J.S. Assessment of Aquatic Ecosystem Health with Indices of Biotic Integrity (IBIs) in the Ganjiang River System, China. Water 2022, 14, 278. [Google Scholar] [CrossRef]
- Yirigui, Y.; Lee, S.W.; Nejadhashemi, A.P.; Herman, M.R.; Lee, J.W. Relationships between Riparian Forest Fragmentation and Biological Indicators of Streams. Sustainability 2019, 11, 2870. [Google Scholar] [CrossRef]
- Ling, W.; Wu, Y.; Fang, Y.; Chen, D.; Liu, G.; Sun, C. Ecosystem Health Evaluation Based on Fish-index of Ecological Integrity in Beijing Mountainous Area Rivers. Asian J. Ecotoxicol. 2024, 19, 131–142. [Google Scholar]
- Lin, L.; Wang, F.; Chen, H.; Fang, H.; Zhang, T.; Cao, W. Ecological health assessments of rivers with multiple dams based on the biological integrity of phytoplankton: A case study of North Creek of Jiulong River. Ecol. Indic. 2021, 121, 106998. [Google Scholar] [CrossRef]
- Qin, M.Q.; Fan, P.P.; Li, Y.Y.; Wang, H.T.; Wang, W.P.; Liu, H.; Messyasz, B.; Goldyn, R.; Li, B.L. Assessing the Ecosystem Health of Large Drinking-Water Reservoirs Based on the Phytoplankton Index of Biotic Integrity (P-IBI): A Case Study of Danjiangkou Reservoir. Sustainability 2023, 15, 5282. [Google Scholar] [CrossRef]
- Xue, H.; Zheng, B.; Meng, F.; Wang, Y.; Zhang, L.; Cheng, P. Assessment of Aquatic Ecosystem Health of the Wutong River Based on Benthic Diatoms. Water 2019, 11, 727. [Google Scholar] [CrossRef]
- Su, M.; Dong, W.; Zhao, S.; Wang, Q.; Liu, Y.; Yang, W. Ecosystem Health Assessment Based on Benthic Index of Biological Integrity (B-IBI) in Tongling City. Resour. Environ. Yangtze Basin 2023, 32, 104–112. [Google Scholar]
- Dong, J.; Lu, S.; Wu, J.; Wang, Z.; Wang, H.; Xu, F. Evaluation of urban river ecosystem health in Beijing based on the microbial index of biotic integrity. J. Environ. Eng. Technol. 2022, 12, 1411–1419. [Google Scholar]
- Liu, Q.; Yin, S.L.; Yi, Y.J. A bacteria-based index of biotic integrity indicates aquatic ecosystem restoration. Environ. Sci. Ecotechnol. 2024, 22, 100451. [Google Scholar] [CrossRef]
- Wang, Y.K.; Stevenson, R.J.; Metzmeier, L. Development and evaluation of a diatom-based Index of Biotic Integrity for the Interior Plateau Ecoregion, USA. J. N. Am. Benthol. Soc. 2005, 24, 990–1008. [Google Scholar] [CrossRef]
- Lavoie, I.; Hamilton, P.B.; Wang, Y.K.; Dillon, P.J.; Campeau, S. A comparison of stream bioassessment in Quebec (Canada) using six European and North American diatom-based indices. Nova Hedwig. 2009, 135, 37–56. [Google Scholar]
- Gottschalk, J.M. Development and Evaluation of a Diatom-Based Biological Monitoring Index for Streams in Cook Inlet Basin, Alaska. Master’s Thesis, University of Alaska Anchorage, Anchorage, AK, USA, 2010. [Google Scholar]
- Tan, X.; Ma, P.; Bunn, S.E.; Zhang, Q. Development of a benthic diatom index of biotic integrity (BD-IBI) for ecosystem health assessment of human dominant subtropical rivers, China. J. Environ. Manag. 2015, 151, 286–294. [Google Scholar] [CrossRef]
- Wang, Y.; Li, L.; Lin, K.; Zhu, Y.; Xia, Y.; Liu, L. Development and Applicability Analysis of Benthic-Macroinvertebrate Index of Biotic Integrity in the Songhua River Basin. Environ. Monit. China 2019, 35, 20–30. [Google Scholar]
- Tan, X.; Sheldon, F.; Bunn, S.E.; Zhang, Q. Using diatom indices for water quality assessment in a subtropical river, China. Environ. Sci. Pollut. Res. 2013, 20, 4164–4175. [Google Scholar] [CrossRef]
- Tan, X.; Ma, P.; Xia, X.; Zhang, Q. Spatial Pattern of Benthic Diatoms and Water Quality Assessment Using Diatom Indices in a Subtropical River, China. Clean-Soil Air Water 2014, 42, 20–28. [Google Scholar] [CrossRef]
- Tan, X.; Xia, X.; Zhao, Q.; Zhang, Q. Temporal variations of benthic diatom community and its main influencing factors in a subtropical river, China. Environ. Sci. Pollut. Res. 2014, 21, 434–444. [Google Scholar] [CrossRef]
- Wu, N.; Cai, Q.; Fohrer, N. Development and evaluation of a diatom-based index of biotic integrity (D-IBI) for rivers impacted by run-of-river dams. Ecol. Indic. 2012, 18, 108–117. [Google Scholar] [CrossRef]
- Tang, T.; Stevenson, R.J.; Infante, D.M. Accounting for regional variation in both natural environment and human disturbance to improve performance of multimetric indices of lotic benthic diatoms. Sci. Total Environ. 2016, 568, 1124–1134. [Google Scholar] [CrossRef] [PubMed]
- Rollins, S.L.; Ritz, C.; Krone, P.; Stevenson, R.J.; Pan, Y.; Gillett, N.; Los Huertos, M. Development and application of an algae multi-metric index to inform ecologically relevant nitrogen reduction targets. Hydrobiologia 2025, 852, 527–543. [Google Scholar] [CrossRef]
- Chen, K.; Chen, Q.; Yu, H.; Wang, B.; Jin, X.; Wang, Y.; Xu, R.; Cai, K. Methods and prospects of index of biological integrity used for China river ecological health assessment. China Environ. Sci. 2018, 38, 1589–1600. [Google Scholar]
- Barbour, M.T.; Swietlik, W.F.; Jackson, S.K.; Courtemanch, D.L.; Davies, S.P.; Yoder, C.O. Measuring the attainment of biological integrity in the USA: A critical element of ecological integrity. Hydrobiologia 2000, 422, 453–464. [Google Scholar] [CrossRef]
- Whittier, T.R.; Stoddard, J.L.; Larsen, D.P.; Herlihy, A.T. Selecting reference sites for stream biological assessments: Best professional judgment or objective criteria. J. N. Am. Benthol. Soc. 2007, 26, 349–360. [Google Scholar] [CrossRef]
- Ligeiro, R.; Hughes, R.M.; Kaufmann, P.R.; Macedo, D.R.; Firmiano, K.R.; Ferreira, W.R.; Oliveira, D.; Melo, A.S.; Callisto, M. Defining quantitative stream disturbance gradients and the additive role of habitat variation to explain macroinvertebrate taxa richness. Ecol. Indic. 2013, 25, 45–57. [Google Scholar] [CrossRef]
- Hughes, D.L. Rapid Bioassessment of Stream Health; Routledge: London, UK, 2010. [Google Scholar]
- GB 3838-2002; Environmental Quality Standards for Surface Water. China Environmental Science Press: Beijing, China, 2002.
- Binghui, Z.; Yuan, Z.; Yingbo, L.I. Study of indicators and methods for river habitat assessment of Liao River Basin. Acta Sci. Circumstantiae 2007, 27, 928–936. [Google Scholar]
- Bruce, V.; Koch, J.D.; Beck, M.W. A comparison of survey methods to evaluate macrophyte index of biotic integrity performance in Minnesota lakes. Ecol. Indic. 2014, 36, 178–185. [Google Scholar] [CrossRef]
- Hoyle, J.A.; Yuille, M.J. Nearshore fish community assessment on Lake Ontario and the St. Lawrence River: A trap net-based index of biotic integrity. J. Great Lakes Res. 2016, 42, 687–694. [Google Scholar] [CrossRef]
- Barbour, M.T.; Gerritsen, J.; Griffith, G.E.; Frydenborg, R.; McCarron, E.; White, J.S.; Bastian, M.L. A framework for biological criteria for Florida streams using benthic macroinvertebrates. J. N. Am. Benthol. Soc. 1996, 15, 185–211. [Google Scholar] [CrossRef]
- Xue, H.; Wang, L.; Zhang, L.; Wang, Y.; Meng, F.; Xu, M. Exploration of Applicability of Diatom Indices to Evaluate Water Ecosystem Quality in Tangwang River in Northeast China. Water 2023, 15, 3695. [Google Scholar] [CrossRef]
- Passy, S.I. Diatom ecological guilds display distinct and predictable behavior along nutrient and disturbance gradients in running waters. Aquat. Bot. 2007, 86, 171–178. [Google Scholar] [CrossRef]
- Van Dam, H.; Mertens, A.; Sinkeldam, J. A coded checklist and ecological indicator values of freshwater diatoms from the Netherlands. Neth. J. Aquat. Ecol. 1994, 28, 117–133. [Google Scholar]
- Prygiel, J.; Coste, M. The Assessment of Water-Quality in the Artois-Picardie Water Basin (France) by the Use of Diatom Indexes. Hydrobiologia 1993, 269, 343–349. [Google Scholar] [CrossRef]
- Yang, J.F.; Ji, Y.; Yan, R.Y.; Liu, X.C.; Zhang, J.; Wu, N.C.; Wang, K. Applicability of Benthic Diatom Indices Combined with Water Quality Valuation for Dish Lake from Nanjishan Nature Reserve, Lake Poyang. Water 2020, 12, 2732. [Google Scholar] [CrossRef]
- Adebanjo-Aina, O.; Oludoye, O. Impact of Nitrogen Fertiliser Usage in Agriculture on Water Quality. Pollutants 2025, 5, 21. [Google Scholar] [CrossRef]
- Prelle, L.R.; Karsten, U. Photosynthesis, Respiration, and Growth of Five Benthic Diatom Strains as a Function of Intermixing Processes of Coastal Peatlands with the Baltic Sea. Microorganisms 2022, 10, 749. [Google Scholar] [CrossRef] [PubMed]
- Jones, N.E.; Schmidt, B.J. Tributary effects in rivers: Interactions of spatial scale, network structure, and landscape characteristics. Can. J. Fish. Aquat. Sci. 2017, 74, 503–510. [Google Scholar] [CrossRef]
- Vannote, R.L.; Minshall, G.W.; Cummins, K.W.; Sedell, J.R.; Cushing, C.E. River Continuum Concept. Can. J. Fish. Aquat. Sci. 1980, 37, 130–137. [Google Scholar] [CrossRef]
- Llanso, R.J.; Dauer, D.M.; Volstad, J.H. Assessing ecological integrity for impaired waters decisions in Chesapeake Bay, USA. Mar. Pollut. Bull. 2009, 59, 48–53. [Google Scholar] [CrossRef]
- Yuan, Z.; Chengbin, X.U.; Xiping, M.A.; Zheng, Z.; Junchen, W. Biotic integrity index and criteria of benthic organizms in Liao River Basin. Acta Sci. Circumstantiae 2007, 27, 919–927. [Google Scholar]
- Holtrop, A.M.; Fischer, R.U. Relations between biotic integrity and physical habitat in the Embarras River basin, Illinois. J. Freshw. Ecol. 2002, 17, 475–483. [Google Scholar] [CrossRef]
- Liu, X.; Liu, C.; Ao, S.; Tan, L.; Tang, T. Impacts of urbanization on taxonomic and functional diversity of lotic benthic diatoms:A case study in Shenzhen rivers. Acta Sci. Circumstantiae 2022, 42, 435–444. [Google Scholar]
- Liu, B.; Cao, S. Asynchronous changes in trophic status of a lake and its watershed inferred from sedimentary diatoms of different habitats. Ecol. Indic. 2018, 90, 215–225. [Google Scholar] [CrossRef]
- Yongo, E.; Mutethya, E.; Zhang, P.F.; Lek, S.; Fu, Q.Y.; Guo, Z.Q. Comparing the performance of the water quality index and phytoplankton index of biotic integrity in assessing the ecological status of three urban rivers in Haikou City, China. Ecol. Indic. 2023, 157, 111286. [Google Scholar] [CrossRef]
- Stief, P.; Schauberger, C.; Lund, M.B.; Greve, A.; Abed, R.M.M.; Al-Najjar, M.A.A.; Attard, K.; Bonaglia, S.; Deutzmann, J.S.; Franco-Cisterna, B.; et al. Intracellular nitrate storage by diatoms can be an important nitrogen pool in freshwater and marine ecosystems. Commun. Earth Environ. 2022, 3, 154. [Google Scholar] [CrossRef]
- Zhao, Y.; Shen, J.; Feng, J.; Sun, Z.; Sun, T.; Liu, D.; Xi, M.; Li, R.; Wang, X. The Estimation of Chemical Oxygen Demand of Erhai Lake Basin and Its Links with DOM Fluorescent Components Using Machine Learning. Water 2021, 13, 3629. [Google Scholar] [CrossRef]
- Peterson, B.J.; Wollheim, W.M.; Mulholland, P.J.; Webster, J.R.; Meyer, J.L.; Tank, J.L.; Martí, E.; Bowden, W.B.; Valett, H.M.; Hershey, A.E.; et al. Control of nitrogen export from watersheds by headwater streams. Science 2001, 292, 86–90. [Google Scholar] [CrossRef] [PubMed]
- Dalu, T.; Bere, T.; Froneman, P.W. Assessment of water quality based on diatom indices in a small temperate river system, Kowie River, South Africa. Water Sa 2016, 42, 183–193. [Google Scholar] [CrossRef]
- Wang, L.Z.; Lyons, J.; Kanehl, P.; Gatti, R. Influences of watershed land use on habitat quality and biotic integrity in Wisconsin streams. Fisheries 1997, 22, 6–12. [Google Scholar] [CrossRef]
- Shan, T.; Yuan, A.I.; Huang, Z.R.; Zhou, J.Y.; Lu, X.X.; Fan, Y.W. Characteristics of Benthic Diatom Community Structure and Water Ecological Health Evaluation in the Lalin River Basin. Huanjing Kexue 2023, 44, 1465–1474. [Google Scholar] [CrossRef]
- Seegert, G. Considerations regarding development of index of biotic integrity metrics for large rivers. Environ. Sci. Policy 2000, 3, 99–106. [Google Scholar] [CrossRef]
- Gippel, C.; Zhang, Y.; Qu, X.D.; Bond, N.; Kong, W.J.; Leigh, C.; Catford, J.; Speed, R.; Meng, W. Design of a National River Health Assessment Program for China. In Decision Making in Water Resources Policy and Management; Academic Press: Cambridge, MA, USA, 2017. [Google Scholar]
- Ruaro, R.; Gubiani, E.A. A scientometric assessment of 30 years of the Index of Biotic Integrity in aquatic ecosystems: Applications and main flaws. Ecol. Indic. 2013, 29, 105–110. [Google Scholar] [CrossRef]
- Zhu, H.; Hu, X.D.; Wu, P.P.; Chen, W.M.; Wu, S.S.; Li, Z.Q.; Zhu, L.; Xi, Y.L.; Huang, R. Development and testing of the phytoplankton biological integrity index (P-IBI) in dry and wet seasons for Lake Gehu. Ecol. Indic. 2021, 129, 107882. [Google Scholar] [CrossRef]







| Group | DO (mg/L) | COD (mg/L) | AN (mg/L) | NN (mg/L) | TN (mg/L) | TP (mg/L) | EC (μS/cm) | QHEI |
|---|---|---|---|---|---|---|---|---|
| G1 | 9.34 ± 2.27 | 15.98 ± 4.96 | 0.23 ± 0.15 | 0.41 ± 0.29 | 0.72 ± 0.31 | 0.04 ± 0.05 | 59.72 ± 41.00 | 167.75 ± 9.28 |
| G2 | 8.30 ± 1.54 | 19.29 ± 3.69 | 0.45 ± 0.35 | 0.56 ± 0.47 | 1.16 ± 0.60 | 0.08 ± 0.12 | 118.22 ± 68.13 | 117.45 ± 20.7 |
| G3 | 7.05 ± 1.87 | 20.72 ± 5.3 | 0.59 ± 1.28 | 1.31 ± 1.40 | 2.53 ± 1.77 | 0.14 ± 0.19 | 438.72 ± 341.11 | 79.96 ± 8.97 |
| M6 | M7 | M37 | M42 | |
|---|---|---|---|---|
| M7 | 0.66 ** | |||
| M37 | 0.64 ** | 0.60 ** | ||
| M42 | 0.74 ** | 0.54 * | 0.43 | |
| M68 | 0.71 ** | 0.54 ** | 0.58 ** | 0.61 ** |
| M6 | M7 | M68 | M37 | M42 | BD-IBI | |
|---|---|---|---|---|---|---|
| DO | 0.37 ** | 0.34 ** | 0.40 ** | 0.25 ** | 0.32 ** | 0.40 ** |
| EC | −0.58 ** | −0.61 ** | −0.51 ** | −0.53 ** | −0.45 ** | −0.62 ** |
| COD | −0.10 | −0.06 | −0.12 | −0.16 * | −0.05 | −0.09 |
| PMI | 0.16 * | 0.17 * | 0.12 | 0.03 | 0.17 * | 0.17 |
| AN | 0.08 | 0.21 * | 0.08 | 0.15 | 0.09 | 0.14 |
| NN | −0.22 ** | −0.33 ** | −0.29 ** | −0.24 ** | −0.20 * | −0.30 ** |
| TN | −0.30 ** | −0.29 ** | −0.33 ** | −0.27 ** | −0.28 ** | −0.33 ** |
| TP | −0.38 ** | −0.40 ** | −0.27 ** | −0.13 | −0.34 ** | −0.37 ** |
| QHEI | 0.56 ** | 0.60 ** | 0.56 ** | 0.53 ** | 0.43 ** | 0.62 ** |
| Estimate | Std. Error | t Value | Pr (>|t|) | |
|---|---|---|---|---|
| DO | 0.134069 | 0.090935 | 1.474 | 0.143096 |
| EC | −0.001135 | 0.001195 | −0.949 | 0.344416 |
| PMI | 0.171447 | 0.047927 | 3.577 | 0.000508 *** |
| AN | 0.639717 | 0.466582 | 1.371 | 0.172999 |
| TN | −0.607595 | 0.247821 | −2.452 | 0.015707 * |
| TP | 2.167121 | 1.631871 | 1.328 | 0.186786 |
| QHEI | 0.041369 | 0.005412 | 7.644 | 6.66 × 10−12 *** |
Disclaimer/Publisher’s Note: The statements, opinions and data contained in all publications are solely those of the individual author(s) and contributor(s) and not of MDPI and/or the editor(s). MDPI and/or the editor(s) disclaim responsibility for any injury to people or property resulting from any ideas, methods, instructions or products referred to in the content. |
© 2025 by the authors. Licensee MDPI, Basel, Switzerland. This article is an open access article distributed under the terms and conditions of the Creative Commons Attribution (CC BY) license.
Share and Cite
Liu, L.; Cheng, P.; Xue, H.; Zhang, L.; Liu, N.; Yang, Z.; Meng, F. Development and Validation of a Benthic Diatom Index of Biotic Integrity (BD-IBI) for Ecosystem Health Assessment in the Songhua River Basin. Sustainability 2026, 18, 291. https://doi.org/10.3390/su18010291
Liu L, Cheng P, Xue H, Zhang L, Liu N, Yang Z, Meng F. Development and Validation of a Benthic Diatom Index of Biotic Integrity (BD-IBI) for Ecosystem Health Assessment in the Songhua River Basin. Sustainability. 2026; 18(1):291. https://doi.org/10.3390/su18010291
Chicago/Turabian StyleLiu, Lu, Peixuan Cheng, Hao Xue, Lingsong Zhang, Na Liu, Zhilin Yang, and Fansheng Meng. 2026. "Development and Validation of a Benthic Diatom Index of Biotic Integrity (BD-IBI) for Ecosystem Health Assessment in the Songhua River Basin" Sustainability 18, no. 1: 291. https://doi.org/10.3390/su18010291
APA StyleLiu, L., Cheng, P., Xue, H., Zhang, L., Liu, N., Yang, Z., & Meng, F. (2026). Development and Validation of a Benthic Diatom Index of Biotic Integrity (BD-IBI) for Ecosystem Health Assessment in the Songhua River Basin. Sustainability, 18(1), 291. https://doi.org/10.3390/su18010291

