Soil Respiration in Maize, Wheat, and Barley Across a Growing Season: Findings from Croatia’s Continental Region
Abstract
1. Introduction
2. Materials and Methods
2.1. Description of Site
2.2. Experimental Design
- T0—control-bare soil.
- T1—winter wheat (Triticum aestivum L.) Srpanjka cultivar—an old cultivar, a very early growing cultivar, with very low habitus (64 cm), and a plant density of 9,110,000 plants ha−1.
- T2—corn (Zea mays) OS SK515 cultivar—for production of grain, cob, and/or silage, pronounced grain vigor, FAO group 520, stems with higher growth, large and numerous leaves, deep and branched roots, and a plant density of 65,000 grain ha−1.
- T3—barley (Hordeum vulgare L.) Rex cultivar—a medium—late-growing two-rowed cultivar with an average yield of 10 t/ha, low habitus (87–92 cm), and a plant density of 6,440,000 plants ha−1.
2.3. Soil Properties
2.4. Maintenance of Experiment
2.5. Measurement of Soil CO2 Efflux and Agroclimatic Elements
- FCO2: soil CO2 efflux (kg ha−1 day−1);
- M: molar mass of the CO2 (kg mol−1);
- P: air pressure (Pa);
- V: chamber volume (m3);
- c2 − c1: CO2 concentration increase rate in the chamber for the incubation period (µmol mol−1);
- R: gas constant (J mol−1 K−1);
- T: air temperature (K);
- A: chamber surface (m2);
- t2 − t1: incubation period (day).
2.6. Statistical Analysis
3. Results
3.1. Seasonal Variation of Temperature, Moisture, and Carbon Fluxes
3.2. Variation in Soil Respiration Among Cover Types
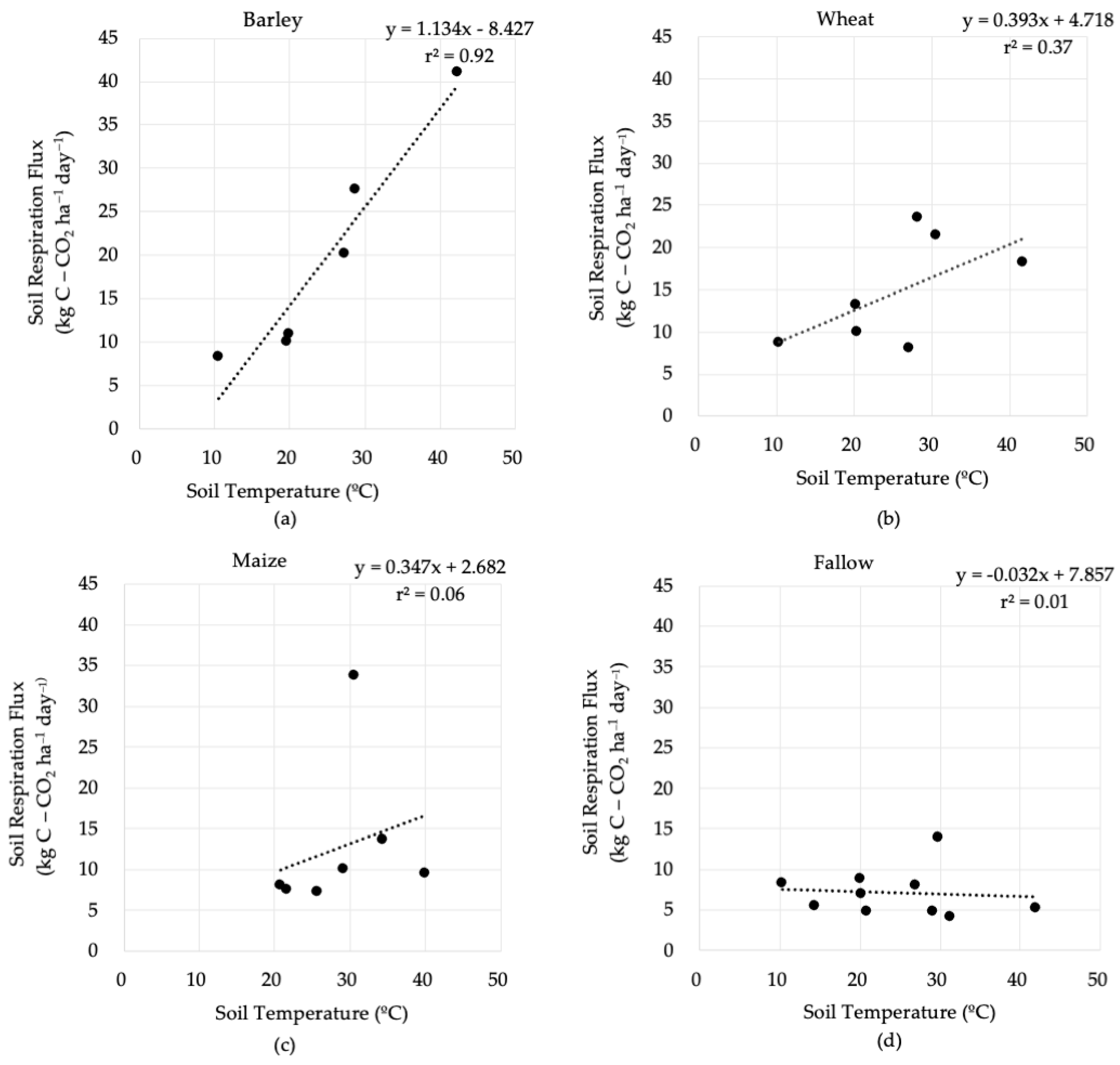
3.3. Correlation Between Temperature, Moisture, and Soil Respiration
4. Discussion
4.1. Temporal Interpretation of Temperature, Moisture, and Carbon Fluxes Control
4.2. Effect of Cover Types on Soil Respiration
4.3. Implications of Temperature and Moisture Variability on Soil Respiration
4.4. Limitations of the Study
5. Conclusions
- I.
- Seasonal variation in crops is governed by phenology and crop growth cycles. Maximum Rs generally corresponded with the peak growth stage of the crop. Rs remained lower at the beginning and end of the crop-growing season. Rs also followed the temperature trend with some exceptions, which are attributed to the interaction effects of moisture and other possible factors.
- II.
- Barley had significantly higher respiration rates compared to maize. This could be relevant in crop selection for climate-smart agriculture. However, additional research under diverse cropping systems and agroclimatic conditions is required to understand these dynamics in more detail. Cropped fields have significantly higher Rs than fallow, indicating the prominent role of autotrophic respiration in cropped fields.
- III.
- No significant correlation was found between Rs and soil temperature and between Rs and soil moisture. Interaction effects play an influential role in masking the individual effect of these factors on Rs. More frequent sampling is helpful to clearly understand the effects of these agroclimatic variables on Rs.
- IV.
- To obtain a better understanding of factors contributing to seasonal Rs dynamics, increasing the sampling frequency of Rs and agroclimatic variables is recommended. Sampling frequency could be increased after heavy rainfalls and during peak growth periods in crops.
- V.
- Seasonal variation in Rs is influenced by both biotic factors, such as crop types and phenology, and abiotic factors, such as temperature and moisture, which can interact in different ways. To understand Rs demands an analysis of its seasonal variation, making it essential to account for these variations when quantifying and modeling Rs.
Author Contributions
Funding
Institutional Review Board Statement
Informed Consent Statement
Data Availability Statement
Conflicts of Interest
Appendix A
| Month | Field Operation | Tools and Equipment | How Was It Conducted? |
|---|---|---|---|
| Wheat and Barley | |||
| October | Primary tillage Secondary tillage | Combined tool Rotary harrow | Up to 15–20 cm depth Up to 5–10 cm depth |
| October | Fertilization | Mineral fertilizer spreader (Amazone 1500) | Urea 46% (100 kg/ha) NPK 7:20:30 (400 kg/ha) |
| October | Sowing | Multirow mechanical seeder | Seeding density: Rex (200 kg/ha), Srpanjka (290 kg/ha) |
| November | Application of rodenticide | 33.66 | 13.61 |
| February | Fertilization | Mineral fertilizer spreader (Amazone 1500) | Top dressing by KAN (100 kg/ha) |
| March | Fertilization | Mineral fertilizer spreader (Amazone 1500) | Top dressing by KAN (400 kg/ha) |
| March | Herbicide application | Trimur WG (15 g/ha) + Fluxir (0.5 L/ha) | |
| April | Fungicide application | Mechanical harvester | Impact 25 SC (0.5 L/ha) + Tebusha 25% EW (1 L/ha) |
| July | Harvest | Mechanical harvester | |
| Maize | |||
| October | Primary tillage | Fendt, 194 kW | |
| April | Secondary tillage | Fendt, 164 kW | |
| April | Sowing | Multirow mechanical corn planter | OS 515 Seeding rate: 65,000 plants/ha |
| April | Herbicide application in corn field | Mechanical sprayer | Dual Gold 960 (1 L/ha) + Koban T (3 L/ha) |
| May | Fertilization | Fendt, 164 kW | KAN (250 kg/ha) |
| October | Harvest of maize | Mechanical harvester | |


References
- Lohila, A.; Aurela, M.; Regina, K.; Laurila, T. Soil and total ecosystem respiration in agricultural fields: Effect of soil and crop type. Plant Soil 2003, 251, 303–317. [Google Scholar] [CrossRef]
- European Commission; Environment Directorate-General. Soil: The Hidden Part of the Climate Cycle; Publications Office of the European Union: Luxembourg, 2011. [Google Scholar]
- Bond-Lamberty, B.; Bailey, V.L.; Chen, M.; Gough, C.M.; Vargas, R. Globally rising soil heterotrophic respiration over recent decades. Nature 2018, 560, 80–83. [Google Scholar] [CrossRef]
- Huang, N.; Wang, L.; Song, X.-P.; Black, T.A.; Jassal, R.S.; Myneni, R.B.; Wu, C.; Wang, L.; Song, W.; Ji, D.; et al. Spatial and Temporal Variations in Global Soil Respiration and Their Relationships with Climate and Land Cover. Available online: https://www.science.org (accessed on 22 March 2024).
- Zhao, Z.; Peng, C.; Yang, Q.; Meng, F.; Song, X.; Chen, S.; Epule, T.E.; Li, P.; Zhu, Q. Model prediction of biome-specific global soil respiration from 1960 to 2012. Earth’s Future 2017, 5, 715–729. [Google Scholar] [CrossRef]
- Wu, Z.; Dijkstra, P.; Koch, G.W.; Peñuelas, J.; Hungate, B.A. Responses of terrestrial ecosystems to temperature and precipitation change: A meta-analysis of experimental manipulation. Glob. Change Biol. 2011, 17, 927–942. [Google Scholar] [CrossRef]
- Hursh, A.; Ballantyne, A.; Cooper, L.; Maneta, M.; Kimball, J.; Watts, J. The sensitivity of soil respiration to soil temperature, moisture, and carbon supply at the global scale. Glob. Change Biol. 2017, 23, 2090–2103. [Google Scholar] [CrossRef] [PubMed]
- Yurak, V.V.; Fedorov, S.A. Review of natural and anthropogenic emissions of carbon dioxide into the earth’s atmosphere. Int. J. Environ. Sci. Technol. 2024, 22, 2719–2736. [Google Scholar] [CrossRef]
- Buyanovsky, G.A.; Wagner, G.H.; Gantzer, C.J. Soil Respiration in a Winter Wheat Ecosystem. Soil Sci. Soc. Am. J. 1986, 50, 338–344. [Google Scholar] [CrossRef]
- Koizumi, H.; Kontturi, M.; Mariko, S.; Nakadai, T.; Bekku, Y.; Mela, T. Soil Respiration in Three Soil Types in Agricultural Ecosystems in Finland. Acta Agric. Scand. Sect. B—Soil Plant Sci. 1999, 49, 65–74. [Google Scholar] [CrossRef]
- Bünemann, E.K.; Bongiorno, G.; Bai, Z.; Creamer, R.E.; De Deyn, G.; de Goede, R.; Fleskens, L.; Geissen, V.; Kuyper, T.W.; Mäder, P.; et al. Soil quality—A critical review. Soil Biol. Biochem. 2018, 120, 105–125. [Google Scholar] [CrossRef]
- Zhou, L.; Zhou, X.; Shao, J.; Nie, Y.; He, Y.; Jiang, L.; Wu, Z.; Bai, S.H. Interactive effects of global change factors on soil respiration and its components: A meta-analysis. Glob. Change Biol. 2016, 22, 3157–3169. [Google Scholar] [CrossRef]
- Ryan, M.G.; Law, B.E. Interpreting, measuring, and modeling soil respiration. Biogeochemistry 2005, 73, 3–27. [Google Scholar] [CrossRef]
- Zhang, S.; Hussain, H.A.; Wang, L.; Hussain, S.; Li, B.; Zhou, H.; Luo, H.; Zhang, X.; Ma, Z.; Long, L.; et al. Responses of soil respiration and organic carbon to straw mulching and ridge tillage in maize field of a triple cropping system in the hilly region of southwest China. Sustainability 2019, 11, 3068. [Google Scholar] [CrossRef]
- Yao, X.; Chen, S.; Ding, S.; Zhang, M.; Cui, Z.; Linghu, S.; Xu, J. Temperature, Moisture, Hyperspectral Vegetation Indexes, and Leaf Traits Regulated Soil Respiration in Different Crop Planting Fields. J. Soil Sci. Plant Nutr. 2021, 21, 3203–3220. [Google Scholar] [CrossRef]
- Cvjeticanin, P.; Kanizaj, Z.; Valentic, M.; Grlica, A.; Pejkovic, M.; Dujman, I. Agricultural Production, 2023; Statistical Reports; Croatian Bureau of Statistics: Zagreb, Croatia, 2024; ISSN 1333-3518. [Google Scholar]
- Bilandžija, D.; Martinčić, S. Agroclimatic Conditions of the Osijek Area During Referent (1961–1990) and Recent (1991–2018) Climate Periods. 2020. Volume 54, pp. 1–154. Available online: http://hrcak.srce.hr/hmc (accessed on 2 May 2024).
- Shi, P.-L.; Zhang, X.-Z.; Zhong, Z.-M.; Ouyang, H. Diurnal and seasonal variability of soil CO2 efflux in a cropland ecosystem on the Tibetan Plateau. Agric. For. Meteorol. 2006, 137, 220–233. [Google Scholar] [CrossRef]
- Liang, G.; Houssou, A.A.; Wu, H.; Cai, D.; Wu, X.; Gao, L.; Li, J.; Wang, B.; Li, S. Seasonal patterns of soil respiration and related soil biochemical properties under nitrogen addition in winter wheat field. PLoS ONE 2015, 10, e0144115. [Google Scholar] [CrossRef]
- Bilandžija, D.; Zgorelec, Ž.; Bilandžija, N.; Zdunić, Z.; Krička, T. Contribution of winter wheat and barley cultivars to climate change via soil respiration in continental Croatia. Agronomy 2021, 11, 2127. [Google Scholar] [CrossRef]
- Benbi, D.K.; Toor, A.; Brar, K.; Dhall, C. Soil respiration in relation to cropping sequence, nutrient management and environmental variables. Arch. Agron. Soil Sci. 2020, 66, 1873–1887. [Google Scholar] [CrossRef]
- Lamptey, S.; Xie, J.; Li, L.; Coulter, J.A.; Jagadabhi, P.S. Influence of organic amendment on soil respiration and maize productivity in a semi-arid environment. Agronomy 2019, 9, 611. [Google Scholar] [CrossRef]
- Gao, Y.; Chu, Z.; Jiang, L.; Zhou, Y.; Zhao, F.; Gao, F.; Liu, D.; Zhao, H. Soil respiration dynamics and effects of hydrothermal factors and NPP during growing period of maize cropland ecosystem in Songnen Plain, China. Trop. Ecol. 2024, 66, 55–66. [Google Scholar] [CrossRef]
- Cicuéndez, V.; Rodríguez-Rastrero, M.; Recuero, L.; Huesca, M.; Schmid, T.; Inclán, R.; Litago, J.; Sánchez-Girón, V.; Palacios-Orueta, A. First insights on soil respiration prediction across the growth stages of rainfed barley based on simulated MODIS and sentinel-2 spectral indices. Remote Sens. 2020, 12, 2724. [Google Scholar] [CrossRef]
- Yang, L.-F.; Cai, Z.-C. Soil Respiration During a Soybean-Growing Season. Pedosphere 2006, 16, 192–200. [Google Scholar] [CrossRef]
- Bilandžija, D.; Zgorelec, Ž.; Kisić, I. The Influence of Agroclimatic Factors on Soil CO2 Emissions. Coll. Antropol. 2014, 38, 77–83. [Google Scholar]
- Chen, S.; Wang, J.; Zhang, T.; Hu, Z.; Zhou, G. Warming and straw application increased soil respiration during the different growing seasons by changing crop biomass and leaf area index in a winter wheat-soybean rotation cropland. Geoderma 2021, 391, 114985. [Google Scholar] [CrossRef]
- Rochette, P.; Desjardins, R.L.; Pattey, E. Spatial and temporal variability of soil respiration in agricultural fields for personal use only. Can. J. Soil Sci. 1991, 71, 189–196. [Google Scholar] [CrossRef]
- Han, G.; Zhou, G.; Xu, Z.; Yang, Y.; Liu, J.; Shi, K. Biotic and abiotic factors controlling the spatial and temporal variation of soil respiration in an agricultural ecosystem. Soil Biol. Biochem. 2007, 39, 418–425. [Google Scholar] [CrossRef]
- Bilandžija, D.; Zgorelec, Ž.; Kisić, I. Influence of tillage practices and crop type on soil CO2 emissions. Sustainability 2016, 8, 90. [Google Scholar] [CrossRef]
- Wang, Y.; Bölter, M.; Chang, Q.; Duttmann, R.; Scheltz, A.; Petersen, J.F.; Wang, Z. Driving factors of temporal variation in agricultural soil respiration. Acta Agric. Scand. Sect. B—Soil Plant Sci. 2015, 65, 589–604. [Google Scholar] [CrossRef]
- Monteith, J.L.; Szeicz, G.; Yabuki, K. Crop Photosynthesis and the Flux of Carbon Dioxide Below the Canopy. J. Appl. Ecol. 1964, 1, 321. [Google Scholar] [CrossRef]
- Norberg, L.; Berglund, Ö.; Berglund, K. Seasonal CO2 emission under different cropping systems on Histosols in southern Sweden. Geoderma Reg. 2016, 7, 338–345. [Google Scholar] [CrossRef]
- Raich, J.W.; Tufekcioglu, A. Vegetation and soil respiration: Correlations and controls. Biogeochemistry 2000, 48, 71–90. [Google Scholar] [CrossRef]
- Akinremi, O.O.; McGinn, S.M.; McLean, H.D.J. Effects of soil temperature and moisture on soil respiration in barley and fallow plots. Can. J. Soil Sci. 1999, 79, 5–13. [Google Scholar] [CrossRef]
- Zhang, Q.; Lei, H.-M.; Yang, D.-W. Seasonal variations in soil respiration, heterotrophic respiration and autotrophic respiration of a wheat and maize rotation cropland in the North China Plain. Agric. For. Meteorol. 2013, 180, 34–43. [Google Scholar] [CrossRef]
- Lai, L.; Zhao, X.; Jiang, L.; Wang, Y.; Luo, L.; Zheng, Y.; Chen, X.; Rimmington, G.M. Soil Respiration in Different Agricultural and Natural Ecosystems in an Arid Region. PLoS ONE 2012, 7, e48011. [Google Scholar] [CrossRef] [PubMed]
- Moyano, F.; Kutsch, W.; Schulze, E. Response of mycorrhizal, rhizosphere and soil basal respiration to temperature and photosynthesis in a barley field. Soil Biol. Biochem. 2007, 39, 843–853. [Google Scholar] [CrossRef]
- Adhikari, K.; Anderson, K.R.; Smith, D.R.; Owens, P.R.; Moore, P.A.; Libohova, Z. Identifying key factors controlling potential soil respiration in agricultural fields. Agric. Environ. Lett. 2023, 8, e20117. [Google Scholar] [CrossRef]
- Wu, R.E.; Gauland, T.T.R.; Bus, R.L. The interdependent effects of soil temperature and water content on soil respiration rate and plant root decomposition in arid grassland soils. Soil Biol. Biochem. 1975, 7, 373–378. [Google Scholar]
- Chang, X.; Zhu, X.; Wang, S.; Luo, C.; Zhang, Z.; Duan, J.; Bai, L.; Wang, W. Temperature and moisture effects on soil respiration in alpine grasslands. Soil Sci. 2012, 177, 554–560. [Google Scholar] [CrossRef]




| Source | DF | Sum of Squares | Mean Square | F value | Pr > F | R2 | Cv |
|---|---|---|---|---|---|---|---|
| CO2-C Wheat | |||||||
| Model | 6 | 722.03 | 120.34 | 18.42 | <0.0001 | 0.88 | 17.35 |
| Error | 14 | 91.47 | 6.53 | ||||
| Corrected total | 20 | 813.50 | |||||
| CO2-C Barley | |||||||
| Model | 5 | 2458.87 | 491.77 | 70.62 | <0.0001 | 0.97 | 13.43 |
| Error | 12 | 83.56 | 6.96 | ||||
| Corrected total | 17 | 2542.44 | |||||
| CO2-C Maize | |||||||
| Model | 6 | 1623.52 | 270.58 | 48.25 | <0.0001 | 0.10 | 18.61 |
| Error | 14 | 78.51 | 5.60 | ||||
| Corrected total | 20 | 1702.03 | |||||
| CO2-C No vegetation | |||||||
| Model | 11 | 437.46 | 39.77 | 8.63 | <0.0001 | 0.79 | 31.77 |
| Error | 24 | 110.59 | 4.61 | ||||
| Corrected total | 35 | 548.06 | |||||
| Cover Type | November | February | March | April | May | June | July | August | September | October |
|---|---|---|---|---|---|---|---|---|---|---|
| Barley | 8.27 | 10.02 | 10.83 | 20.14 | 41.02 | 27.57 | ||||
| d | d | d | c | a | b | |||||
| Wheat | 8.66 | 10.02 | 13.15 | 23.50 | 18.23 | 21.49 | 8.06 | |||
| d | cd | c | a | b | ab | d | ||||
| Maize | 7.08 | 9.46 | 33.66 | 13.61 | 9.94 | 7.90 | 7.38 | |||
| c | bc | a | b | bc | c | c | ||||
| No vegetation | 8.27 | 8.91 | 6.97 | 8.02 | 5.25 | 13.96 | 4.14 | 4.68 | 4.89 | 5.54 |
| bc | ab | bc | bc | bc | a | c | bc | bc | bc |
| Source | DF | Sum of Squares | Mean Square | F Value | Pr > F | R2 | Cv |
|---|---|---|---|---|---|---|---|
| CO2-C | |||||||
| Model | 3 | 2204.32 | 734.77 | 12.06 | <0.0001 | 0.28 | 63.87 |
| Error | 92 | 5606.11 | 60.94 | ||||
| Corrected total | 95 | 7810.43 | |||||
| Soil Temperature | |||||||
| Model | 3 | 207.22 | 69.07 | 0.91 | 0.4389 | 0.03 | 33.16 |
| Error | 92 | 6975.19 | 75.82 | ||||
| Corrected total | 95 | 7182.42 | |||||
| Soil Moisture | |||||||
| Model | 3 | 408.06 | 136.02 | 3.32 | 0.0232 | 0.10 | 29.55 |
| Error | 92 | 3766.09 | 40.94 | ||||
| Corrected total | 95 | 4174.15 | |||||
Disclaimer/Publisher’s Note: The statements, opinions and data contained in all publications are solely those of the individual author(s) and contributor(s) and not of MDPI and/or the editor(s). MDPI and/or the editor(s) disclaim responsibility for any injury to people or property resulting from any ideas, methods, instructions or products referred to in the content. |
© 2025 by the authors. Licensee MDPI, Basel, Switzerland. This article is an open access article distributed under the terms and conditions of the Creative Commons Attribution (CC BY) license (https://creativecommons.org/licenses/by/4.0/).
Share and Cite
Bhandari, D.; Bilandžija, N.; Krička, T.; Zdunić, Z.; Ghimire, S.; Piskáčková, T.R.; Bilandžija, D. Soil Respiration in Maize, Wheat, and Barley Across a Growing Season: Findings from Croatia’s Continental Region. Sustainability 2025, 17, 4207. https://doi.org/10.3390/su17094207
Bhandari D, Bilandžija N, Krička T, Zdunić Z, Ghimire S, Piskáčková TR, Bilandžija D. Soil Respiration in Maize, Wheat, and Barley Across a Growing Season: Findings from Croatia’s Continental Region. Sustainability. 2025; 17(9):4207. https://doi.org/10.3390/su17094207
Chicago/Turabian StyleBhandari, Dija, Nikola Bilandžija, Tajana Krička, Zvonimir Zdunić, Soni Ghimire, Theresa Reinhardt Piskáčková, and Darija Bilandžija. 2025. "Soil Respiration in Maize, Wheat, and Barley Across a Growing Season: Findings from Croatia’s Continental Region" Sustainability 17, no. 9: 4207. https://doi.org/10.3390/su17094207
APA StyleBhandari, D., Bilandžija, N., Krička, T., Zdunić, Z., Ghimire, S., Piskáčková, T. R., & Bilandžija, D. (2025). Soil Respiration in Maize, Wheat, and Barley Across a Growing Season: Findings from Croatia’s Continental Region. Sustainability, 17(9), 4207. https://doi.org/10.3390/su17094207

