The Impact of Supply Chain Quality Management on Firm Performance in Manufacturing Business: The Moderating Role of Digital Intelligence
Abstract
1. Introduction
2. Literature Review
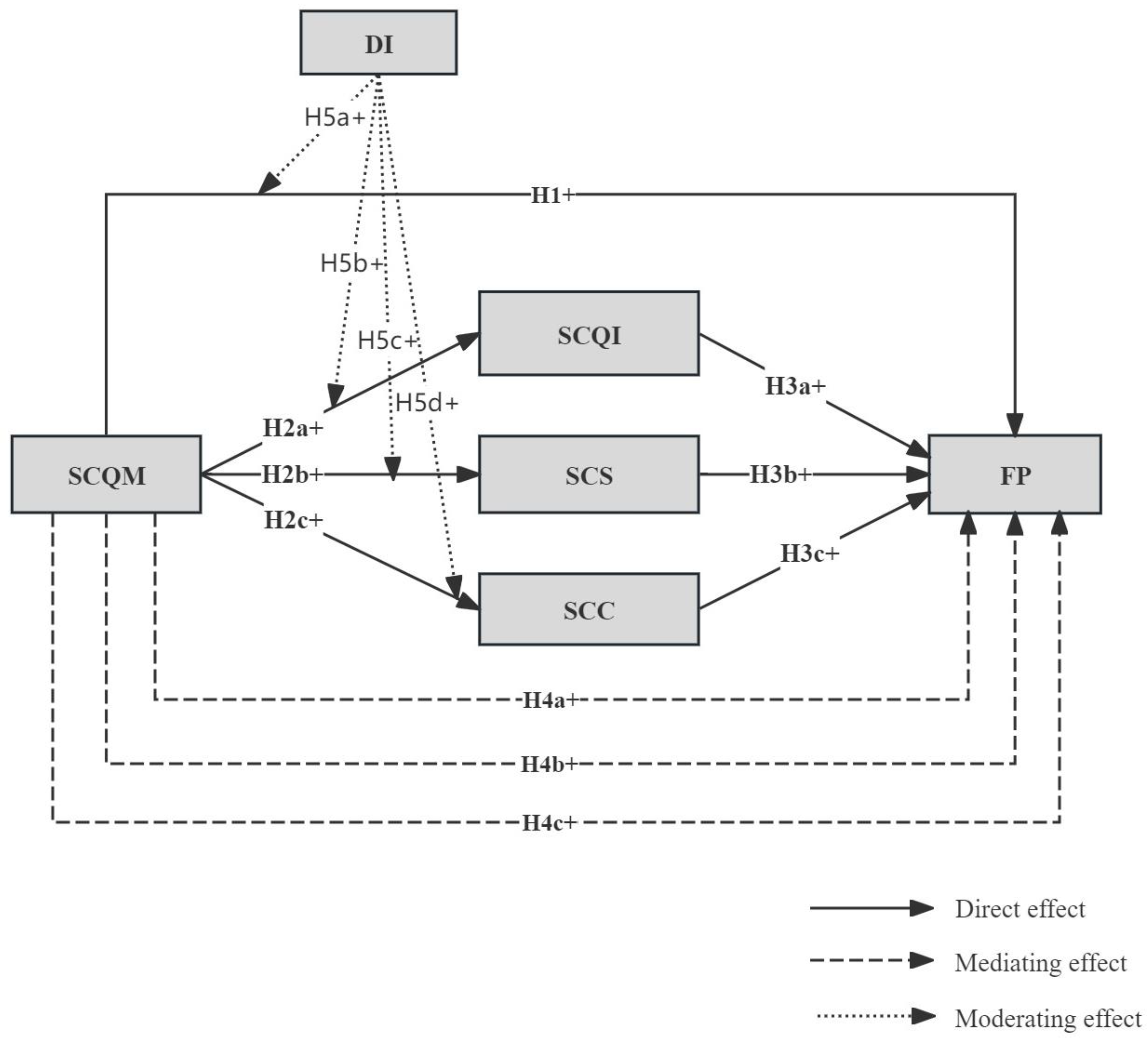
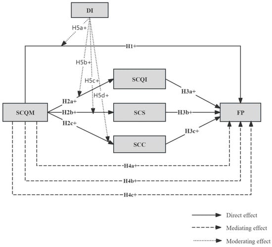
2.1. Theoretical Foundation and Hypotheses
2.2. Supply Chain Quality Management (SCQM) and Firm Performance (FP)
2.3. SCQM and Supply Chain Quality Integration (SCQI), Supply Chain Strategy (SCS), and Supply Chain Capability (SCC)
2.3.1. SCQM and Supply Chain Quality Integration (SCQI)
2.3.2. SCQM and Supply Chain Strategy (SCS)
2.3.3. SCQM and Supply Chain Capability (SCC)
2.4. The Mediating Function of SCQI, SCS, and SCC in the Link Between SCQM and FP
2.4.1. The Mediating Function of SCQI in the Link Between SCQM and FP
2.4.2. The Mediating Function of SCS in the Link Between SCQM and FP
2.4.3. The Mediating Function of SCC in the Link Between SCQM and FP
2.5. The Moderating Role of Digital Intelligence (DI) in the Relationships Among SCQM, SCQI, SCS, and SCC
3. Data Analysis
3.1. Measurement
3.2. Data Collection and Sample Description
3.3. Data Analysis and Results
3.3.1. Reliability and Validity Testing
3.3.2. Common Method Bias Test
3.3.3. Correlation Analysis
3.4. ANOVA Based on Demographic Characteristics
4. Hypothesis Testing and Results
4.1. Main Effect Testing
4.2. Mediation Effect Testing
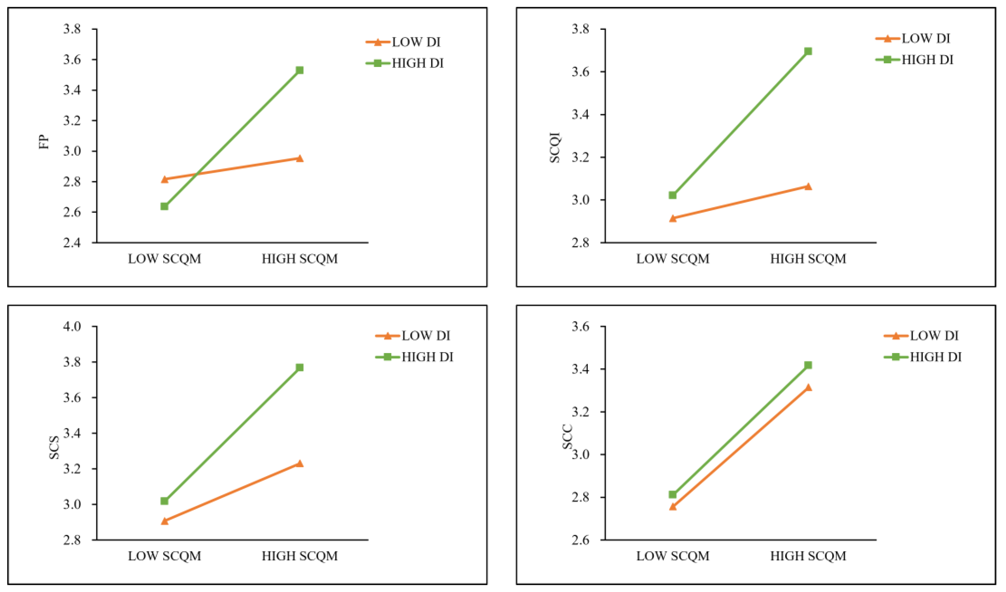
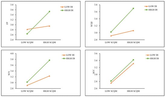
4.3. Moderation Effect Testing
5. Discussion
6. Conclusions
6.1. Research Conclusions
6.2. Theoretical Contributions and Managerial Implications
6.3. Research Limitations and Prospects
Author Contributions
Funding
Institutional Review Board Statement
Informed Consent Statement
Data Availability Statement
Conflicts of Interest
Appendix A
| Construct | Item Number | Corrected Item–Total Correlation | Cronbach’s α If Deleted | Cronbach’s α | |
|---|---|---|---|---|---|
| SCQM | SQM | SQM1 | 0.766 | 0.731 | 0.805 |
| SQM2 * | 0.158 | 0.864 | |||
| SQM3 | 0.563 | 0.776 | |||
| SQM4 | 0.638 | 0.761 | |||
| SQM5 | 0.593 | 0.774 | |||
| SQM6 | 0.619 | 0.766 | |||
| SQM7 | 0.629 | 0.765 | |||
| IQM | IQM1 | 0.883 | 0.858 | 0.884 | |
| IQM2 | 0.721 | 0.868 | |||
| IQM3 | 0.731 | 0.869 | |||
| IQM4 | 0.702 | 0.87 | |||
| IQM5 * | −0.142 | 0.916 | |||
| IQM6 | 0.753 | 0.867 | |||
| IQM7 | 0.725 | 0.869 | |||
| IQM8 | 0.684 | 0.871 | |||
| IQM9 | 0.711 | 0.87 | |||
| IQM10 * | −0.089 | 0.911 | |||
| IQM11 | 0.709 | 0.87 | |||
| IQM12 | 0.644 | 0.873 | |||
| IQM13 | 0.659 | 0.872 | |||
| CO | CO1 | 0.796 | 0.54 | 0.732 | |
| CO2 * | 0.038 | 0.868 | |||
| CO3 | 0.716 | 0.608 | |||
| CO4 | 0.586 | 0.655 | |||
| CO5 | 0.558 | 0.67 | |||
| SCQI | SCQI1 | 0.845 | 0.744 | 0.852 | |
| SCQI2 | 0.637 | 0.834 | |||
| SCQI3 | 0.642 | 0.832 | |||
| SCQI4 | 0.687 | 0.816 | |||
| SCS | SCS1 | 0.879 | 0.789 | 0.868 | |
| SCS2 | 0.702 | 0.839 | |||
| SCS3 | 0.709 | 0.837 | |||
| SCS4 | 0.613 | 0.861 | |||
| SCS5 * | 0.047 | 0.869 | |||
| SCS6 | 0.596 | 0.864 | |||
| SCC | RC | RC1 | 0.858 | 0.798 | 0.878 |
| RC2 | 0.734 | 0.846 | |||
| RC3 | 0.754 | 0.837 | |||
| RC4 | 0.645 | 0.879 | |||
| SC | SC1 | 0.827 | 0.606 | 0.819 | |
| SC2 | 0.638 | 0.804 | |||
| SC3 * | −0.008 | 0.826 | |||
| SC4 | 0.626 | 0.814 | |||
| IC | IC1 | 0.812 | 0.811 | 0.869 | |
| IC2 | 0.729 | 0.832 | |||
| IC3 | 0.634 | 0.856 | |||
| IC4 | 0.667 | 0.847 | |||
| IC5 | 0.652 | 0.852 | |||
| FP | FinP | FinP1 | 0.790 | 0.718 | 0.843 |
| FinP2 | 0.698 | 0.795 | |||
| FinP3 | 0.686 | 0.811 | |||
| OP | OP1 | 0.854 | 0.816 | 0.878 | |
| OP2 | 0.611 | 0.874 | |||
| OP3 | 0.656 | 0.865 | |||
| OP4 | 0.704 | 0.853 | |||
| OP5 | 0.754 | 0.842 | |||
| MP | MP1 | 0.823 | 0.667 | 0.836 | |
| MP2 | 0.632 | 0.842 | |||
| MP3 | 0.718 | 0.761 | |||
| DI | DI1 | 0.86 | 0.79 | 0.870 | |
| DI2 | 0.608 | 0.862 | |||
| DI3 | 0.659 | 0.852 | |||
| DI4 | 0.687 | 0.844 | |||
| DI5 | 0.683 | 0.848 | |||
| Construct | Items | Measures | |
|---|---|---|---|
| Supply chain quality management [6,8,20] | Supplier quality management | SQM1 | Your organization regularly conducts quality audits on suppliers. |
| SQM3 | Your organization consistently provides feedback on the performance of suppliers’ products. | ||
| SQM4 | Your organization actively participates in suppliers’ quality-related activities. | ||
| SQM5 | Your organization has a formal procedure for evaluating and certifying suppliers. | ||
| SQM6 | Your organization engages in frequent face-to-face communication with key suppliers. | ||
| SQM7 | Your organization considers product quality the most important factor in supplier selection. | ||
| Internal quality management | IQM1 | The supply chain leaders of your organization facilitate collaboration to enhance the overall quality of the supply chain. | |
| IQM2 | The supply chain leaders of your organization promote the “quality first” value throughout the entire supply chain. | ||
| IQM3 | The supply chain leaders of your organization encourage supply chain members to adhere to high ethical standards. | ||
| IQM4 | The supply chain leaders of your organization emphasize compliance with health and safety regulations among supply chain members. | ||
| IQM6 | Your organization collaborates with supply chain partners to develop strategic plans. | ||
| IQM7 | Your organization shares projects with supply chain partners and jointly plans for future demands. | ||
| IQM8 | Your organization provides advance notice to supply chain partners regarding changes in demand. | ||
| IQM9 | Your supply chain partners keep your organization well informed about issues that may impact your business. | ||
| IQM11 | Your supply chain partners share business knowledge regarding core business processes with your organization. | ||
| IQM12 | Your organization exchanges up-to-date information with supply chain partners to support business planning. | ||
| IQM13 | Your organization and supply chain partners notify each other about events or changes that may affect other partners. | ||
| Customer orientation | CO1 | Your organization actively and regularly solicits customer feedback to identify their needs and expectations. | |
| CO3 | Your organization has established an effective customer complaint resolution process. | ||
| CO4 | Your organization systematically and regularly measures customer satisfaction. | ||
| CO5 | The needs and expectations of your organization’s customers are effectively communicated and understood across the entire workforce. | ||
| Supply chain quality integration [25] | SCQI1 | The internal quality system of your organization has achieved advanced cross-functional integration in statistical quality tools, information technology applications, quality cost control, and evaluation/certification systems. | |
| SCQI2 | Suppliers have advanced internal quality systems that meet your organization’s requirements and are integrated with your organization’s quality system. | ||
| SCQI3 | Customers have advanced internal quality systems that are integrated with your organization’s quality system. | ||
| SCQI4 | Your organization has a well-established product recall system that effectively establishes mechanisms for tracking, preventive actions, compensation, and top management commitment. | ||
| Supply chain strategy [9] | SCS1 | Your organization’s supply chain delivers predictable products. | |
| SCS2 | Your organization’s supply chain reduces costs through mass production. | ||
| SCS3 | Your organization’s supply chain provides standardized products to customers. | ||
| SCS4 | Your organization’s supply chain responds swiftly to changing market environments. | ||
| SCS6 | Your organization’s supply chain structure frequently adapts to market fluctuations. | ||
| Supply chain capability [6,10,55] | Responsiveness capability | RC1 | Your organization has a stronger capability for product improvement to meet customer requirements. |
| RC2 | Your organization can respond more quickly and effectively to competitors’ quality strategies. | ||
| RC3 | Your organization can provide feedback to suppliers more rapidly and efficiently. | ||
| RC4 | Suppliers tend to provide feedback on raw material quality to your organization more quickly. | ||
| Sustainable capability | SC1 | Your organization’s sustainable supply chain reduces negative environmental impacts. | |
| SC2 | Your organization’s sustainable approach enhances operational efficiency and reduces costs. | ||
| SC4 | Your organization incorporates feedback from suppliers and consumers in product design to minimize the use of hazardous materials and reduce inventory levels. | ||
| Innovation capability | IC1 | Your organization demonstrates creativity in supply chain operations. | |
| IC2 | Your organization frequently introduces new supply chain service approaches. | ||
| IC3 | Your organization encourages supply chain members to propose new ideas. | ||
| IC4 | Your organization pursues continuous innovation in core processes. | ||
| IC5 | Your organization strives for new technological innovations. | ||
| Firm performance [4,55,56] | Financial performance | FinP1 | Your organization’s pre-tax net income has increased over the past three years. |
| FinP2 | Your organization’s sales revenue has grown over the past three years. | ||
| FinP3 | Your organization’s return on investment has increased over the past three years. | ||
| Operational performance | OP1 | Your organization demonstrates delivery reliability. | |
| OP2 | Your organization is capable of reducing lead times. | ||
| OP3 | Your organization’s supply chain complies with regulations. | ||
| OP4 | Your organization’s supply chain exhibits production flexibility. | ||
| OP5 | Your organization’s product structure is flexible. | ||
| Market performance | MP1 | Your organization’s market share has increased over the past three years. | |
| MP2 | Your organization’s profitability has improved over the past three years. | ||
| MP3 | Your organization’s export volume has grown over the past three years. | ||
| Digital intelligence [47] | DI1 | Your organization leverages digital technologies to upgrade and transform existing products, services, and processes. | |
| DI2 | Your organization comprehensively promotes digital design, manufacturing, and management. | ||
| DI3 | Your organization develops digital products and services. | ||
| DI4 | Your organization is committed to actively promoting and advocating digital skills and management knowledge. | ||
| DI5 | There is a shared consensus within your organization that adopting digital technologies and digital management benefits business development. | ||
| Item | Number of Employees | Sample Size | Mean | Standard Deviation | F-Value | p |
|---|---|---|---|---|---|---|
| Financial Performance | ≤50 | 73 | 2.740 | 0.903 | 2.944 | 0.033 |
| 51~300 | 96 | 2.923 | 0.961 | |||
| 301~1000 | 81 | 3.099 | 1.094 | |||
| >1000 | 86 | 3.163 | 0.965 | |||
| Operational Performance | ≤50 | 73 | 2.614 | 0.886 | 5.065 | 0.002 |
| 51~300 | 96 | 2.975 | 0.938 | |||
| 301~1000 | 81 | 3.151 | 0.951 | |||
| >1000 | 86 | 3.070 | 0.883 | |||
| Market Performance | ≤50 | 73 | 2.863 | 0.992 | 2.218 | 0.086 |
| 51~300 | 96 | 2.781 | 1.044 | |||
| 301~1000 | 81 | 3.152 | 1.044 | |||
| >1000 | 86 | 3.031 | 1.060 |
| Item | Position | Sample Size | Mean | Standard Deviation | F-Value | p |
|---|---|---|---|---|---|---|
| Financial Performance | Junior Management | 152 | 2.860 | 0.955 | 3.722 | 0.025 |
| Middle Management | 102 | 2.983 | 1.019 | |||
| Senior Management | 82 | 3.228 | 0.994 | |||
| Operational Performance | Junior Management | 152 | 3.126 | 0.985 | 5.256 | 0.006 |
| Middle Management | 102 | 2.910 | 0.888 | |||
| Senior Management | 82 | 2.727 | 0.834 | |||
| Market Performance | Junior Management | 152 | 2.752 | 1.075 | 5.400 | 0.005 |
| Middle Management | 102 | 3.082 | 1.040 | |||
| Senior Management | 82 | 3.163 | 0.923 |
| Item | Experience (Years) | Sample Size | Mean | Standard Deviation | F-Value | p |
|---|---|---|---|---|---|---|
| Financial Performance | <5 | 105 | 2.746 | 0.848 | 6.953 | 0.000 |
| 6~10 | 71 | 2.996 | 0.984 | |||
| 11~15 | 72 | 2.944 | 1.109 | |||
| 16~20 | 60 | 3.066 | 0.990 | |||
| >20 | 28 | 3.810 | 0.783 | |||
| Operational Performance | <5 | 105 | 2.811 | 0.962 | 3.732 | 0.005 |
| 6~10 | 71 | 2.941 | 0.892 | |||
| 11~15 | 72 | 3.008 | 0.882 | |||
| 16~20 | 60 | 2.923 | 0.968 | |||
| >20 | 28 | 3.557 | 0.780 | |||
| Market Performance | <5 | 105 | 2.863 | 1.017 | 3.424 | 0.009 |
| 6~10 | 71 | 2.798 | 1.008 | |||
| 11~15 | 72 | 3.208 | 1.031 | |||
| 16~20 | 60 | 2.778 | 1.072 | |||
| >20 | 28 | 3.392 | 1.019 |
References
- Bastas, A.; Liyanage, K. Sustainable supply chain quality management: A systematic review. J. Clean. Prod. 2018, 181, 726–744. [Google Scholar] [CrossRef]
- Sidhu, M.K.; Singh, K.; Singh, D. Strategic impact of SCM and SCQM practices on competitive dimensions of Indian manufacturing industries. TQM J. 2019, 31, 696–721. [Google Scholar] [CrossRef]
- Hong, J.; Yibin, Z.; Shi, M. The impact of supply chain quality management practices and knowledge transfer on organisational performance: An empirical investigation from China. Int. J. Logist. Res. Appl. 2018, 21, 259–278. [Google Scholar] [CrossRef]
- Abdallah, A.B.; Alhyari, S.; Alfar, N.A. Exploring the impact of supply chain quality management on market performance: The mediating roles of supply chain integration and operational performance. Bus. Process Manag. J. 2023, 29, 1159–1183. [Google Scholar] [CrossRef]
- Lee, V.-H.; Foo, P.-Y.; Tan, G.W.-H.; Ooi, K.-B.; Sohal, A. Supply chain quality management for product innovation performance: Insights from small and medium-sized manufacturing enterprises. Ind. Manag. Data Syst. 2021, 121, 2118–2142. [Google Scholar] [CrossRef]
- Abdallah, A.B.; Alfar, N.A.; Alhyari, S. The effect of supply chain quality management on supply chain performance: The indirect roles of supply chain agility and innovation. Int. J. Phys. Distrib. Logist. Manag. 2021, 51, 785–812. [Google Scholar] [CrossRef]
- Kuei, C.-H.; Madu, C.N.; Lin, C. Implementing supply chain quality management. Total Qual. Manag. Bus. Excell. 2008, 19, 1127–1141. [Google Scholar] [CrossRef]
- Luo, L.; Liu, X.; Zhao, X.; Flynn, B.B. The impact of supply chain quality leadership on supply chain quality integration and quality performance. Supply Chain Manag. Int. J. 2023, 28, 508–521. [Google Scholar] [CrossRef]
- Zimmermann, R.; Ferreira, L.M.D.F.; Moreira, A.C. How supply chain strategies moderate the relationship between innovation capabilities and business performance. J. Purch. Supply Manag. 2020, 26, 100658. [Google Scholar] [CrossRef]
- Hong, J.; Liao, Y.; Zhang, Y.; Yu, Z. The effect of supply chain quality management practices and capabilities on operational and innovation performance: Evidence from Chinese manufacturers. Int. J. Prod. Econ. 2019, 212, 227–235. [Google Scholar] [CrossRef]
- Yu, Y.; Zhang, M.; Huo, B. The impact of supply chain quality integration on green supply chain management and environmental performance. Total Qual. Manag. Bus. Excell. 2017, 30, 1110–1125. [Google Scholar] [CrossRef]
- Agrawal, R.; Wankhede, V.A.; Kumar, A.; Luthra, S. A systematic and network-based analysis of data-driven quality management in supply chains and proposed future research directions. TQM J. 2023, 35, 73–101. [Google Scholar] [CrossRef]
- Xie, J.; Zheng, Y.; Dong, Q. Empowering new productive forces in manufacturing enterprises through supply chain digital intelligence: A quasi-natural experiment based on the construction of pilot cities for supply chain innovation and application. J. Shanghai Univ. Financ. Econ. 2024, 26, 15–29. [Google Scholar]
- Bettis, R.A. Performance differences in related and unrelated diversified firms. Strateg. Manag. J. 1981, 2, 379–393. [Google Scholar] [CrossRef]
- Anh, P.; Nguyen, H.; Dinh Phuong, T.; Nguyen, H.; Matsui, Y. Impact of supply chain quality management practices on operational performance: Empirical evidence from manufacturing companies in Vietnam. Supply Chain Manag. 2019, 24, 855–871. [Google Scholar]
- Kuei, C.H.; Madu, C.N.; Lin, C. The relationship between supply chain quality management practices and organizational performance. Int. J. Qual. Reliab. Manag. 2001, 18, 864–872. [Google Scholar] [CrossRef]
- Huo, B.; Ye, Y.; Zhao, X.; Zhu, K. Supply chain quality integration: A taxonomy perspective. Int. J. Prod. Econ. 2019, 207, 236–246. [Google Scholar] [CrossRef]
- Kaynak, H.; Hartley, J.L. A replication and extension of quality management into the supply chain. J. Oper. Manag. 2008, 26, 468–489. [Google Scholar] [CrossRef]
- Sahoo, S. Blockchain-enabled traceability systems for supply chain quality management: Empirical insights from pharmaceutical manufacturers. Int. J. Qual. Reliab. Manag. 2025, 42, 1381–1410. [Google Scholar] [CrossRef]
- Lim, A.-F.; Ooi, K.-B.; Tan, G.W.-H.; Cham, T.-H.; Alryalat, M.A.A.; Dwivedi, Y.K. Adapt or die: A competitive digital supply chain quality management strategy. J. Enterp. Inf. Manag. 2022, 37, 698–720. [Google Scholar] [CrossRef]
- Soares, A.; Soltani, E.; Liao, Y.-Y. The influence of supply chain quality management practices on quality performance: An empirical investigation. Supply Chain Manag. 2017, 22, 122–144. [Google Scholar] [CrossRef]
- Asieh, S.; Davood Andalib, A.; Paul, A.D.; Biman Darshana, H. Employing total quality practices in sustainable supply chain management. Sustain. Prod. Consum. 2021, 28, 953–968. [Google Scholar]
- Kumar, A.; Singh, R.K.; Modgil, S. Influence of data-driven supply chain quality management on organizational performance: Evidences from retail industry. TQM J. 2023, 35, 24–50. [Google Scholar] [CrossRef]
- Zhou, X.; Zhu, Q.; Xu, Z. The mediating role of supply chain quality management for traceability and performance improvement: Evidence among Chinese food firms. Int. J. Prod. Econ. 2022, 254, 108630. [Google Scholar] [CrossRef]
- Zhang, Y.; Jiangtao, H.; Xue, L.; Shi, V. The Impacts of Quality System Integration and Relationship Quality on Quality Performance in Supply Chains: An Empirical Investigation in China. Emerg. Mark. Financ. Trade 2022, 58, 116–133. [Google Scholar] [CrossRef]
- Robinson, C.J.; Malhotra, M.K. Defining the concept of supply chain quality management and its relevance to academic and industrial practice. Int. J. Prod. Econ. 2005, 96, 315–337. [Google Scholar] [CrossRef]
- Escorcia-Caballero, J.P.; Moreno-Luzon, M.D.; Romano, P. Does supply chain quality integration guarantee ambidexterity? Contingency and configuration perspectives on their relationships. Total Qual. Manag. Bus. Excell. 2022, 33, 388–409. [Google Scholar] [CrossRef]
- Huo, B.; Zhao, X.; Lai, F. Supply Chain Quality Integration: Antecedents and Consequences. IEEE Trans. Eng. Manag. 2014, 61, 38–51. [Google Scholar] [CrossRef]
- Flynn, B.B.; Huo, B.; Zhao, X. The impact of supply chain integration on performance: A contingency and configuration approach. J. Oper. Manag. 2010, 28, 58–71. [Google Scholar] [CrossRef]
- Arora, A.; Arora, A.S.; Sivakumar, K. Relationships among supply chain strategies, organizational performance, and technological and market turbulences. Int. J. Logist. Manag. 2016, 27, 206–232. [Google Scholar] [CrossRef]
- Piprani, A.; Khan, S.; Yu, Z. Supply chain analytics and post-pandemic performance: Mediating role of triple-A supply chain strategies. Int. J. Emerg. Mark. 2022, 18, 1330–1354. [Google Scholar]
- Feizabadi, J.; Maloni, M.; Gligor, D. Benchmarking the triple-A supply chain: Orchestrating agility, adaptability, and alignment. Benchmarking Int. J. 2019, 26, 271–295. [Google Scholar] [CrossRef]
- Daneshvar, M.; Razavi Hajiagha, S.H.; Tupenaite, L.; Khoshkheslat, F. Effective factors of implementing efficient supply chain strategy on supply chain performance. Technol. Econ. Dev. Econ. 2020, 26, 947–969. [Google Scholar] [CrossRef]
- Spekman, R.E.; Spear, J.; Kamauff, J. Supply chain competency: Learning as a key component. Supply Chain Manag. Int. J. 2002, 7, 41–55. [Google Scholar] [CrossRef]
- Javanmardi, M.; Khabushani, A.; Abdi, A. Analysis information technology infrastructures toward supply chain agility in home appliance industry. Interdiscip. J. Contemp. Res. Bus. 2012, 4, 416–429. [Google Scholar]
- Williams, B.D.; Roh, J.; Tokar, T.; Swink, M. Leveraging supply chain visibility for responsiveness: The moderating role of internal integration. J. Oper. Manag. 2013, 31, 543–554. [Google Scholar] [CrossRef]
- Lee, S.M.; Lee, D.; Schniederjans, M.J. Supply chain innovation and organizational performance in the healthcare industry. Int. J. Oper. Prod. Manag. 2011, 31, 1193–1214. [Google Scholar] [CrossRef]
- Yun, G.; Yalcin, M.G.; Hales, D.N.; Kwon, H.Y. Interactions in sustainable supply chain management: A framework review. Int. J. Logist. Manag. 2019, 30, 140–173. [Google Scholar] [CrossRef]
- Sarkis, J. Supply chain sustainability: Learning from the COVID-19 pandemic. Int. J. Oper. Prod. Manag. 2021, 41, 63–73. [Google Scholar] [CrossRef]
- van der Vaart, T.; van Donk, D.P. A critical review of survey-based research in supply chain integration. Int. J. Prod. Econ. 2008, 111, 42–55. [Google Scholar] [CrossRef]
- Kumar, V.; Jabarzadeh, Y.; Jeihouni, P.; Garza-Reyes, J.A. Learning orientation and innovation performance: The mediating role of operations strategy and supply chain integration. Supply Chain Manag. Int. J. 2020, 25, 457–474. [Google Scholar] [CrossRef]
- Pono, M.; Alam, S.; Armayah; Munizu, M. The effect of supply chain strategy toward competitive advantage, and company performance: Case of small-medium industries in West Sulawesi Province of Indonesia. Rev. Espac. 2020, 41, 16. [Google Scholar]
- Salam, M.A.; Ali, M.; Seny Kan, K.A. Analyzing Supply Chain Uncertainty to Deliver Sustainable Operational Performance: Symmetrical and Asymmetrical Modeling Approaches. Sustainability 2017, 9, 2217. [Google Scholar] [CrossRef]
- Qrunfleh, S.; Tarafdar, M. Supply chain information systems strategy: Impacts on supply chain performance and firm performance. Int. J. Prod. Econ. 2014, 147, 340–350. [Google Scholar] [CrossRef]
- Kim, S.W. An investigation on the direct and indirect effect of supply chain integration on firm performance. Int. J. Prod. Econ. 2009, 119, 328–346. [Google Scholar] [CrossRef]
- Singh, R.K. Impact of leadership, TQM and supply chain capabilities on sustainable supply chain performance: Moderating role of institutional pressure. TQM J. 2025, 37, 953–976. [Google Scholar] [CrossRef]
- Xinyi, S.; Songqiang, W. Digital Intelligence Development, Dual Network Embedding, and the Resilience of New Ventures: An Empirical Study of Small and Medium-Sized Integrated Circuit Enterprises in the Yangtze River Delta. Stud. Sci. Sci. 2024, 42, 797–804. [Google Scholar]
- Bhattacharya, S.; Chatterjee, A. Digital project driven supply chains: A new paradigm. Supply Chain Manag. Int. J. 2022, 27, 283–294. [Google Scholar] [CrossRef]
- AlNuaimi, B.K.; Kumar Singh, S.; Ren, S.; Budhwar, P.; Vorobyev, D. Mastering digital transformation: The nexus between leadership, agility, and digital strategy. J. Bus. Res. 2022, 145, 636–648. [Google Scholar] [CrossRef]
- Han, B.; Wang, M.; Xu, S.; Kuang, H. The Impact of Lean Management on Sustainable Supply Chain Performance: Analysis of Big Data and the Role of Supply Chain Integration. Manag. Rev. 2024, 36, 237–246. [Google Scholar]
- Wang, Z.; Lin, S.; Chen, Y.; Lyulyov, O.; Pimonenko, T. Digitalization Effect on Business Performance: Role of Business Model Innovation. Sustainability 2023, 15, 9020. [Google Scholar] [CrossRef]
- Büyüközkan, G.; Göçer, F. Digital Supply Chain: Literature review and a proposed framework for future research. Comput. Ind. 2018, 97, 157–177. [Google Scholar] [CrossRef]
- Aiken, L.S.; West, S.G.; Reno, R.R. Multiple Regression: Testing and Interpreting Interactions; Sage: Thousand Oaks, CA, USA, 1991. [Google Scholar]
- Natarajan, D. ISO 9001 Quality Management Systems; Springer: Berlin/Heidelberg, Germany, 2017. [Google Scholar]
- Singh, R.K.; Mathiyazhagan, K. Integrating flexibility and sustainability in supply chains: A practice-based view on leadership, knowledge and digital quality management practices. Int. J. Logist. Manag. 2024, 35, 1961–1980. [Google Scholar] [CrossRef]
- Tse, Y.K.; Zhang, M.; Tan, K.H.; Pawar, K.; Fernandes, K. Managing quality risk in supply chain to drive firm’s performance: The roles of control mechanisms. J. Bus. Res. 2019, 97, 291–303. [Google Scholar] [CrossRef]



| Category | Option | Frequency | Percentage |
|---|---|---|---|
| Gender | Male | 207 | 61.61% |
| Female | 129 | 38.39% | |
| Manufacturing industry type | Machinery and equipment | 159 | 47.32% |
| Chemical and pharmaceutical | 8 | 2.38% | |
| High-tech and electronics | 40 | 11.90% | |
| Food and beverage | 50 | 14.88% | |
| Textile and apparel | 5 | 1.49% | |
| Building materials and metal processing | 68 | 20.24% | |
| Paper and printing | 5 | 1.49% | |
| Others | 1 | 0.30% | |
| Number of employees | Less than 50 | 73 | 21.73% |
| Between 50 and 300 | 96 | 28.57% | |
| Between 300 and 1000 | 81 | 24.11% | |
| 1000 and above | 86 | 25.60% | |
| Position | Junior Management | 152 | 45.24% |
| Middle Management | 102 | 30.36% | |
| Senior Management | 82 | 24.40% | |
| Experience | Less than 5 years | 105 | 31.25% |
| 5–less than 10 years | 71 | 21.13% | |
| 10–less than 15 years | 72 | 21.43% | |
| 15–less than 20 years | 60 | 17.86% | |
| 20 and above years | 28 | 8.33% | |
| Level of education | Below high school | 54 | 16.07% |
| High school | 91 | 27.08% | |
| Bachelor | 129 | 38.39% | |
| Postgraduate and above | 62 | 18.45% | |
| Total | 336 | 100.00% |
| Construct | Item Number | Factor Loading | AVE | CR | Cronbach’s Alpha | |
|---|---|---|---|---|---|---|
| Supply chain quality Management (SCQM) | Supplier quality management (SQM) | SQM1 | 0.835 | 0.561 | 0.884 | 0.883 |
| SQM3 | 0.695 | |||||
| SQM4 | 0.727 | |||||
| SQM5 | 0.695 | |||||
| SQM6 | 0.757 | |||||
| SQM7 | 0.777 | |||||
| Internal quality management (IQM) | IQM1 | 0.887 | 0.547 | 0.930 | 0.926 | |
| IQM2 | 0.704 | |||||
| IQM3 | 0.721 | |||||
| IQM4 | 0.722 | |||||
| IQM6 | 0.759 | |||||
| IQM7 | 0.727 | |||||
| IQM8 | 0.729 | |||||
| IQM9 | 0.72 | |||||
| IQM11 | 0.72 | |||||
| IQM12 | 0.724 | |||||
| IQM13 | 0.705 | |||||
| Customer orientation (CO) | CO1 | 0.871 | 0.596 | 0.854 | 0.850 | |
| CO3 | 0.736 | |||||
| CO4 | 0.749 | |||||
| CO5 | 0.722 | |||||
| Supply chain quality integration (SCQI) | SCQI1 | 0.918 | 0.610 | 0.861 | 0.853 | |
| SCQI2 | 0.696 | |||||
| SCQI3 | 0.748 | |||||
| SCQI4 | 0.744 | |||||
| Supply chain strategy (SCS) | SCS1 | 0.947 | 0.639 | 0.898 | 0.894 | |
| SCS2 | 0.772 | |||||
| SCS3 | 0.738 | |||||
| SCS4 | 0.76 | |||||
| SCS6 | 0.762 | |||||
| Supply chain Capability (SCC) | Responsiveness capability (RC) | RC1 | 0.894 | 0.554 | 0.830 | 0.821 |
| RC2 | 0.719 | |||||
| RC3 | 0.673 | |||||
| RC4 | 0.669 | |||||
| Sustainable capability (SC) | SC1 | 0.882 | 0.625 | 0.832 | 0.822 | |
| SC2 | 0.754 | |||||
| SC4 | 0.727 | |||||
| Innovation capability (IC) | IC1 | 0.962 | 0.576 | 0.869 | 0.863 | |
| IC2 | 0.689 | |||||
| IC3 | 0.69 | |||||
| IC4 | 0.722 | |||||
| IC5 | 0.694 | |||||
| Firm performance (FP) | Financial performance (FinP) | FinP1 | 0.886 | 0.630 | 0.835 | 0.822 |
| FinP2 | 0.716 | |||||
| FinP3 | 0.77 | |||||
| Operational performance (OP) | OP1 | 0.964 | 0.599 | 0.880 | 0.873 | |
| OP2 | 0.727 | |||||
| OP3 | 0.697 | |||||
| OP4 | 0.699 | |||||
| OP5 | 0.749 | |||||
| Market performance (MP) | MP1 | 0.949 | 0.669 | 0.857 | 0.840 | |
| MP2 | 0.76 | |||||
| MP3 | 0.728 | |||||
| Digital intelligence (DI) | DI1 | 0.93 | 0.581 | 0.873 | 0.870 | |
| DI2 | 0.735 | |||||
| DI3 | 0.697 | |||||
| DI4 | 0.702 | |||||
| DI5 | 0.723 | |||||
| DI | MP | OP | FinP | IC | SC | RC | SCS | SCQI | CO | IQM | SQM | |
|---|---|---|---|---|---|---|---|---|---|---|---|---|
| DI | 0.762 | |||||||||||
| MP | 0.125 | 0.818 | ||||||||||
| OP | 0.131 | 0.294 | 0.774 | |||||||||
| FinP | 0.161 | 0.262 | 0.207 | 0.794 | ||||||||
| IC | 0.055 | 0.036 | 0.061 | 0.155 | 0.759 | |||||||
| SC | 0.025 | 0.086 | 0.154 | 0.202 | 0.277 | 0.791 | ||||||
| RC | 0.066 | −0.079 | 0.045 | 0.162 | 0.447 | 0.462 | 0.744 | |||||
| SCS | 0.18 | 0.172 | 0.319 | 0.309 | 0.106 | 0.13 | 0.111 | 0.799 | ||||
| SCQI | 0.212 | 0.145 | 0.243 | 0.365 | 0.087 | 0.13 | 0.029 | 0.253 | 0.781 | |||
| CO | −0.027 | 0.128 | 0.142 | 0.156 | 0.279 | 0.232 | 0.238 | 0.211 | 0.118 | 0.772 | ||
| IQM | 0.016 | 0.203 | 0.231 | 0.245 | 0.254 | 0.304 | 0.324 | 0.294 | 0.188 | 0.545 | 0.740 | |
| SQM | 0.03 | 0.248 | 0.188 | 0.302 | 0.265 | 0.233 | 0.285 | 0.226 | 0.241 | 0.544 | 0.557 | 0.749 |
| Hypothesis | Path | Direct Effect | Indirect Effect | Total Effect | Bias-Corrected Bootstrap 95% Confidence Interval | p | Result | |
|---|---|---|---|---|---|---|---|---|
| Lower | Upper | |||||||
| H1 | SCQM → FP | 0.357 | 0.197 | 0.554 | *** | Supported | ||
| H2a | SCQM → SCQI | 0.264 | —— | —— | *** | Supported | ||
| H2b | SCQM → SCS | 0.348 | —— | —— | *** | Supported | ||
| H2c | SCQM → SCC | 0.530 | —— | —— | *** | Supported | ||
| H3a | SCQI → FP | 0.328 | —— | —— | *** | Supported | ||
| H3b | SCS → FP | 0.315 | —— | —— | *** | Supported | ||
| H3c | SCC → FP | 0.004 | —— | —— | 0.969 | Unsupported | ||
| H4a | SCQM → SCQI → FP | 0.357 | 0.087 | 0.444 | 0.040 | 0.150 | *** | Supported |
| H4b | SCQM → SCS → FP | 0.357 | 0.11 | 0.467 | 0.058 | 0.182 | *** | Supported |
| H4c | SCQM → SCC → FP | 0.357 | 0.002 | 0.359 | −0.117 | 0.158 | 0.973 | Unsupported |
| H5a | SCQM*DI → FP | —— | —— | 0.370 | 0.259 | 0.480 | *** | Supported |
| H5b | SCQM*DI → SCQI | —— | —— | 0.227 | 0.070 | 0.383 | 0.005 | Supported |
| H5c | SCQM*DI → SCS | —— | —— | 0.185 | 0.022 | 0.346 | 0.025 | Supported |
| H5d | SCQM*DI → SCC | —— | —— | 0.021 | −0.013 | 0.003 | 0.926 | Unsupported |
Disclaimer/Publisher’s Note: The statements, opinions and data contained in all publications are solely those of the individual author(s) and contributor(s) and not of MDPI and/or the editor(s). MDPI and/or the editor(s) disclaim responsibility for any injury to people or property resulting from any ideas, methods, instructions or products referred to in the content. |
© 2025 by the authors. Licensee MDPI, Basel, Switzerland. This article is an open access article distributed under the terms and conditions of the Creative Commons Attribution (CC BY) license (https://creativecommons.org/licenses/by/4.0/).
Share and Cite
Liu, Y.; Jiang, Y. The Impact of Supply Chain Quality Management on Firm Performance in Manufacturing Business: The Moderating Role of Digital Intelligence. Sustainability 2025, 17, 4165. https://doi.org/10.3390/su17094165
Liu Y, Jiang Y. The Impact of Supply Chain Quality Management on Firm Performance in Manufacturing Business: The Moderating Role of Digital Intelligence. Sustainability. 2025; 17(9):4165. https://doi.org/10.3390/su17094165
Chicago/Turabian StyleLiu, Yueyang, and Yan Jiang. 2025. "The Impact of Supply Chain Quality Management on Firm Performance in Manufacturing Business: The Moderating Role of Digital Intelligence" Sustainability 17, no. 9: 4165. https://doi.org/10.3390/su17094165
APA StyleLiu, Y., & Jiang, Y. (2025). The Impact of Supply Chain Quality Management on Firm Performance in Manufacturing Business: The Moderating Role of Digital Intelligence. Sustainability, 17(9), 4165. https://doi.org/10.3390/su17094165

