Impact of LULC in Coastal Cities on Terrestrial Carbon Storage and Ecosystem Service Value: A Case Study of Liaoning Province
Abstract
1. Introduction
2. Regional Overview and Data Sources
2.1. Regional Overview
2.2. Data Sources and Conceptual Methods
2.2.1. Data Sources
2.2.2. Conceptual Process
2.3. Research Methods
2.3.1. Land Dynamics
2.3.2. Land Use Transfer Matrix
2.3.3. Sensitivity Analysis Formula
2.3.4. Terrestrial Carbon Storage
2.3.5. Equivalent Factor Method
2.3.6. Land Use Change Simulation and Prediction
2.3.7. PLUS Model Accuracy Verification
2.3.8. Land Use Scenario Setting
3. Results
3.1. Single Dynamics of Land Use Change
3.2. Comprehensive Dynamics of Land Use Change
3.3. Changes in Land Use Area
3.4. Sensitivity Analysis
3.5. Contribution Rate of Driving Factors of Land Use Change
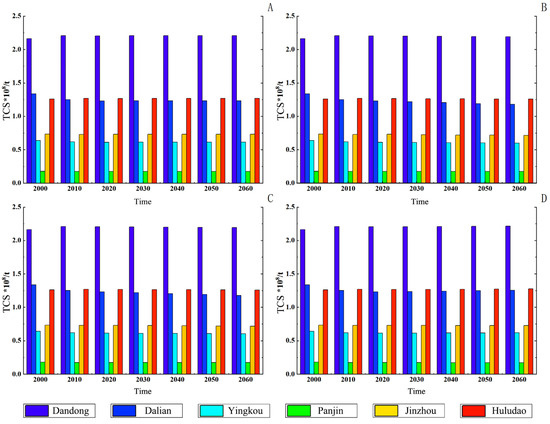
3.6. Terrestrial Carbon Storage and Spatial Distribution
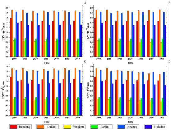
3.7. Ecosystem Service Value
4. Discussion
4.1. Land Use Change and Driving Factors
4.2. Land Use Change and Terrestrial Carbon Storage
4.3. Land Use Change and Ecosystem Service Value
4.4. Innovation and Limitations
5. Conclusions
Author Contributions
Funding
Institutional Review Board Statement
Informed Consent Statement
Data Availability Statement
Conflicts of Interest
References
- Stürck, J.; Levers, C.; van der Zanden, E.H.; Schulp, C.J.E.; Verkerk, P.J.; Kuemmerle, T.; Helming, J.; Lotze-Campen, H.; Tabeau, A.; Popp, A.; et al. Simulating and Delineating Future Land Change Trajectories. Reg. Environ. Chang. 2015, 18, 733–749. [Google Scholar] [CrossRef]
- Lilburne, L.; Eger, A.; Beare, M. The Land Resource Circle: Supporting Land-Use Decision Making with an Ecosystem-Service-Based Framework of Soil Functions. Geoderma 2020, 363, 114134. [Google Scholar] [CrossRef]
- Zhang, Q.; Yue, D.; Wang, Y. Study on Sustainability of Land Resources in Dengkou County Based on Emergy Analysis. J. Clean. Prod. 2018, 171, 580–591. [Google Scholar] [CrossRef]
- Erik, N.; Heather, S.; Peter, H.; Marc, C.; Driss, E.; Stacie, W.; Steven, M.; Stephen, P.; Maya, M.A. Projecting Global Land-Use Change and Its Effect on Ecosystem Service Provision and Biodiversity with Simple Models. PLoS ONE 2010, 5, e14327. [Google Scholar]
- Niu, S.L.; Chen, W.N. Current status and prospects of global change and ecosystem research. Chin. J. Plant Ecol. 2020, 44, 449–460. [Google Scholar] [CrossRef]
- Boone, R.B.; Conant, R.T.; Sircely, J.; Thornton, P.K.; Herrero, M. Climate Change Impacts on Selected Global Rangeland Ecosystem Services. Wiley 2017, 24, 1382–1393. [Google Scholar] [CrossRef]
- Zandalinas, S.I.; Fritschi, F.B.; Mittler, R. Global Warming, Climate Change, and Environmental Pollution: Recipe for a Multifactorial Stress Combination Disaster. Trends Plant Sci. 2021, 26, 588–599. [Google Scholar] [CrossRef]
- Damania, R.; Russ, J.; Wheeler, D.; Barra, A.F. The Road to Growth: Measuring the Tradeoffs between Economic Growth and Ecological Destruction. World Dev. 2018, 101, 351–376. [Google Scholar] [CrossRef]
- Aisdl. Economic Growth of Southeast Asian Countries: The Role of Corruption, Natural Resources and Asean Community. 2016. Available online: https://ideas.repec.org/p/osf/osfxxx/bn7wh.html (accessed on 1 December 2024).
- Zhang, Y.S.; Wu, D.T.; Lü, X. Impacts of land use/cover change on ecosystem services: A review of studies from a spatial scale perspective. J. Nat. Resour. 2020, 35, 1172–1189. [Google Scholar]
- Rahman, M.M.; Alam, K. Clean Energy, Population Density, Urbanization and Environmental Pollution Nexus: Evidence from Bangladesh. Renew. Energy 2021, 172, 1063–1072. [Google Scholar] [CrossRef]
- Jin, J.; Chen, D.; Chen, M.H. Research on the Impact of the County-to-District Reform on Environmental Pollution in China. Sustainability 2022, 14, 6406. [Google Scholar] [CrossRef]
- Tang, X.; Zhou, X.; Management, S.O.; University, G. Innovation Based on Land Use Planning and Development Pattern of Big Data. Sci. Technol. Dev. 2018, 14, 951–957. [Google Scholar] [CrossRef]
- Haile; Mamo, M.; Abebe; Kassahun, A. Gis and Fuzzy 1ogic Integration in 1and Suitabi1ity Assessment for Surface Irrigation the Case of Guder Watershed Upper B1ue Ni1e Basin Ethiopia. Appl. Water Sci. 2022, 12, 240. [Google Scholar] [CrossRef]
- Deng, W.; Cheng, Y.F.; Huan, Y.U.; Peng, L.; Kong, B.; Hou, Y.T. Spatio-Temporal Characteristics of Population and Economy in Transitional Geographic Space at the Southern End of “Hu Huan-Yong Line”. J. Mt. Sci. Engl. Ed. 2022, 19, 15. [Google Scholar] [CrossRef]
- Luo, L.H.; Zhang, X.D.; Cao, C. The 40-year historical evolution of China’s environmental policy and its implications. Environ. Prot. Sci. 2022, 48, 34–38. [Google Scholar]
- Li, S.Y.; Ni, H.; Feng, H. Spatiotemporal evolution of land use and ecosystem service value in the Fujian Triangle Urban Agglomeration and future multi-scenario simulation. Geogr. Geo-Inf. Sci. 2024, 40, 28–34+41. [Google Scholar]
- Esquivel, J.; Echeverria, C.; Saldana, A.; Fuentes, R. High Functional Diversity of Forest Ecosystems Is Linked to High Provision of Water Flow Regulation Ecosystem Service. Ecol. Indic. Integr. Monit. Assess. Manag. 2020, 115, 106433. [Google Scholar] [CrossRef]
- Assefa, W.W.; Eneyew, B.G.; Wondie, A. The Impacts of Land-Use and Land-Cover Change on Wetland Ecosystem Service Values in Peri-Urban and Urban Area of Bahir Dar City, Upper Blue Nile Basin, Northwestern Ethiopia. Ecol. Process. 2021, 10, 18. [Google Scholar] [CrossRef]
- Xie, G.D.; Zhen, L.; Chen, C. An approach to ecosystem service valuation based on expert knowledge. J. Nat. Resour. 2008, 23, 911–919. [Google Scholar] [CrossRef]
- Chen, X.B.; Ding, W.R. Spatiotemporal evolution and trade-off relationship of ecosystem services in Shilin karst area. J. Soil Water Conserv. 2022, 30, 285–293. [Google Scholar]
- Wang, G.; Zhang, F.R. Spatial-temporal evolution of ecosystem service value and influencing factors in Liaohe Delta over the past 30 years. Environ. Sci. 2023, 16, 228–238. [Google Scholar]
- Chen, X.B.; Ding, W.R.; Li, X.C. Cross-sensitivity analysis of land use transformation and ecosystem service value in the central Yunnan urban agglomeration. J. Soil Water Conserv. 2022, 1–9. [Google Scholar] [CrossRef]
- Xiao, B.; Zhao, L.; Zheng, L.; Tan, L.; Zheng, F.; Like, S.M. Review of the Impact of Grassland Degradation on Ecosystem Service Value. Appl. Sci. 2022, 12, 15. [Google Scholar] [CrossRef]
- Liu, T.; Li, Z.; Yu, L.; Chen, X.; Cao, B.; Li, X.; Du, Z.; Peng, D.; Hou, L. Global Relative Ecosystem Service Budget Mapping Using the Google Earth Engine and Land Cover Datasets; IOP Publishing Ltd.: Bristol, UK, 2022. [Google Scholar]
- Yang, Y.N.; Li, J.; Wang, Y. Impact of urbanization on the supply and demand of typical ecosystem services in the Yangtze River Delta. J. Nat. Resour. 2022, 37, 1555–1571. [Google Scholar] [CrossRef]
- Wang, Y.; Zhang, Z.; Chen, X. Spatiotemporal Change in Ecosystem Service Value in Response to Land Use Change in Guizhou Province, Southwest China. Ecol. Indic. 2022, 144, 109514. [Google Scholar] [CrossRef]
- Duan, X.; Chen, Y.; Wang, L.; Zheng, G.; Liang, T. The Impact of Land Use and Land Cover Changes on the Landscape Pattern and Ecosystem Service Value in Sanjiangyuan Region of the Qinghai-Tibet Plateau. J. Environ. Manag. 2023, 325, 116539. [Google Scholar] [CrossRef]
- Belay, T.; Melese, T.; Senamaw, A. Impacts of Land Use and Land Cover Change on Ecosystem Service Values in the Afroalpine Area of Guna Mountain, Northwest Ethiopia. Heliyon 2022, 8, e12246. [Google Scholar] [CrossRef]
- Benez-Secanho, F.J.; Dwivedi, P. Analyzing the Impacts of Land Use Policies on Selected Ecosystem Services in the Upper Chattahoochee Watershed, Georgia, United States. Environ. Res. Commun. 2021, 3, 115001. [Google Scholar] [CrossRef]
- Islam, I.; Cui, S.; Hoque, M.Z.; Abdullah, H.M.; Tonny, K.F.; Ahmed, M.; Ferdush, J.; Xu, L.; Ding, S.; Tian, M.H. Dynamics of Tree Outside Forest Land Cover Development and Ecosystem Carbon Storage Change in Eastern Coastal Zone, Bangladesh. Land 2022, 11, 76. [Google Scholar] [CrossRef]
- Liu, Y.; Zhang, J.; Zhu, X.Y. Study on spatiotemporal variation of carbon storage in Shule River Basin based on InVEST model. Acta Ecol. Sin. 2021, 41, 4052–4065. [Google Scholar]
- Xing, W.; Qian, Y.; Wu, H. A Novel Cellular Automata Model Integrated with Deep Learning for Dynamic Spatio-Temporal Land Use Change Simulation. Comput. Geosci. 2020, 137, 104430. [Google Scholar] [CrossRef]
- Li, Y.N.; Duo, L.H.; Zhang, M. Spatiotemporal evolution and prediction of land use pattern and habitat quality based on CA-Markov and InVEST models: A case study of Nanchang, Jiangxi Province. J. Soil Water Conserv. 2021, 29, 345–354. [Google Scholar]
- Cai, D.L. Study on land use change and driving mechanism based on GIS-Logistic regression model. Resour. Inf. Eng. 2021, 36, 156–158. [Google Scholar]
- Li, B.J.; Gu, H.H.; Ji, Y.Z. Scenario simulation of land use change in mining areas based on CLUE_S model: A case study of Jiawang mining area in Xuzhou. Trop. Geogr. 2018, 38, 274–281. [Google Scholar]
- Zhang, K.Q.; Chen, J.J.; Han, X.W. Study on sustainable development of carbon storage in Guilin by coupling InVEST and GeoSOS-FLUS model. China Environ. Sci. 2022, 42, 2799–2809. [Google Scholar]
- Yi, A.L.; Sun, Q.; Wang, J. Study on the changing process and scenario of wetland ecosystem services in Shanghai based on SD model. Acta Ecol. Sin. 2020, 40, 5513–5524. [Google Scholar]
- Liang, X.; Guan, Q.; Yao, Y. Understanding the Drivers of Sustainable Land Expansion Using a Patch-Generating Land Use Simulation (PLUS) Model: A Case Study in Wuhan, China. Comput. Environ. Urban Syst. 2021, 85, 101569. [Google Scholar] [CrossRef]
- Xu, L.; Guo, W.; Jia, J. Simulation and Analysis of Land Use Change in Jianghuai Hilly Area Based on PLUS Model. Pol. J. Environ. Stud. 2023, 33, 1899–1914. [Google Scholar] [CrossRef]
- Liu, Y.; Jing, Y.; Han, S. Multi-Scenario Simulation of Land Use/Land Cover Change and Water Yield Evaluation Coupled with the GMOP-PLUS-InVEST Model: A Case Study of the Nansi Lake Basin in China. Ecol. Indic. 2023, 155, 110926. [Google Scholar] [CrossRef]
- Thottolil, R.; Kumar, U.; Mundayatt, A.; Prakhya, S.S. Predicting Urban Land Use Changes Using a Cellular Automata-Based Patch-Generating Land Use Simulation (CA-PLUS) Model: A Case Study of Bangalore City, India. Authorea 2024, Preprints. [Google Scholar]
- Wang, X.; Liu, B.; Chen, J.; Arash, M.; Zhang, B.; Chang, Q.; Liu, J.; You, W. Multi-scenario Simulation Analysis of the Impact of Land Use Change on Habitat Quality in Zhongwei Based on the PLUS Model Coupled with the InVEST Model. Res. Sq. 2024. [Google Scholar] [CrossRef]
- Long, X.R.; Lin, H.; An, X.X. Evaluation and Analysis of Ecosystem Service Value Based on Land Use/Cover Change in Dongting Lake Wetland. Ecol. Indic. 2022, 136, 108619. [Google Scholar] [CrossRef]
- Qiu, H.; Hu, B.; Zhang, Z. Impacts of Land Use Change on Ecosystem Service Value Based on SDGs Report--Taking Guangxi as an Example. Ecol. Indic. 2021, 133, 108366. [Google Scholar] [CrossRef]
- Su, H.; Du, M.X.; Liu, Q.Y. Assessment of Regional Ecosystem Service Bundles Coupling Climate and Land Use Changes. Ecol. Indic. 2024, 169, 112844. [Google Scholar] [CrossRef]
- Zhu, L.Y.; Hu, K.; Sun, S. Study on the spatiotemporal variation of carbon storage in the coastal zone of Liaoning Province based on the InVEST model. Mod. Geol. 2021, 36, 96–104. [Google Scholar]
- Zhou, T.; Shi, P.J. Indirect effects of land use change on soil carbon storage in China. Prog. Earth Sci. 2006, 21, 138–143. [Google Scholar]
- Kong, J.Q.; Du, Z.Y.; Yang, R. Prediction of land use/cover change and its impact on carbon storage in the middle reaches of the Heihe River. Chin. J. Deserts 2019, 39, 87–97. [Google Scholar]
- Liang, Y.J.; Hashimoto, S.Z.K.; Liu, L.J. Integrated Assessment of Land-Use/Land-Cover Dynamics on Carbon Storage Services in the Loess Plateau of China from 1995 to 2050. Ecol. Indic. 2021, 120, 106939. [Google Scholar] [CrossRef]
- Zhu, G.F.; Qiu, D.Q.; Zhang, Z.X. Land-Use Changes Lead to a Decrease in Carbon Storage in Arid Region, China. Ecol. Indic. 2021, 127, 107770. [Google Scholar] [CrossRef]
- Li, W.F.; Ren, X.D.; Xiao, J. Impact of land use change on ecosystem service value in karst mountainous areas. Chin. J. Environ. Eng. Technol. 2022, 13, 368–376. [Google Scholar]
- Xie, G.D.; Zhang, C.X.; Li, S.M. Improvement of ecosystem service valuation method based on unit area value equivalent factor. J. Nat. Resour. 2015, 30, 1243–1254. [Google Scholar]
- Xu, W.N.; Wang, P.X.I.; Zhang, S.Y. Application of Kappa coefficient in the accuracy evaluation of drought prediction model: A case study of drought prediction in Guanzhong Plain. J. Nat. Disasters 2011, 20, 81–86. [Google Scholar]
- Liu, Y.Y.; Li, X.X.; Huang, Z.J. Scenario simulation and carbon effect analysis of land use change in Chengdu based on CA-Markov model. Manag. Land Resour. Sci. Technol. 2024, 38–49. [Google Scholar] [CrossRef]
- Zhu, W.B.; Zhang, J.J.; Zhu, L.Q. Assessment of ecosystem carbon storage based on land use change scenarios: A case study of the Qihe River Basin in Taihang Mountains. Acta Geogr. Sin. 2019, 74, 446–459. [Google Scholar]
- Qing, M.; Zhao, J.; Huang, Z.H. Response of ecosystem carbon storage services to land use change in Shiyang River Basin from 1980 to 2030. Acta Ecol. Sin. 2022, 42, 9525–9536. [Google Scholar]
- Zhou, Y.; Li, X.; Liu, Y. Land Use Change and Driving Factors in Rural China during the Period 1995–2015. Land Use Policy 2020, 99, 105048. [Google Scholar] [CrossRef]
- Hailu, A.; Mammo, S.; Kidane, M. Dynamics of Land Use, Land Cover Change Trend and Its Drivers in Jimma Geneti District, Western Ethiopia. Land Use Policy 2020, 99, 105011. [Google Scholar] [CrossRef]
- Liu, C.; Li, W.; Zhu, G.; Zhou, H.; Yan, H.; Xue, P. Land Use/Land Cover Changes and Their Driving Factors in the Northeastern Tibetan Plateau Based on Geographical Detectors and Google Earth Engine: A Case Study in Gannan Prefecture. Remote Sens. 2020, 12, 3139. [Google Scholar] [CrossRef]
- Gashaw, T.; Tulu, T.; Argaw, M.; Worqlul, A.W. Evaluation and Prediction of Land Use/Land Cover Changes in the Andassa Watershed, Blue Nile Basin, Ethiopia. Environ. Syst. Res. 2017, 6, 1–15. [Google Scholar] [CrossRef]
- Authority; Stastical, C. Population and Housing Census of Ethiopia; Central Statistics Authority: Addis Ababa, Ethiopia, 2007. [Google Scholar]
- Hagos, H.; Sewnet, A.; Birhane, E. Land Use/Land Cover Change Detection and Its Driving Factors in Suluh River Basin, Northern Highland Part of Ethiopia. Int. J. Environ. Prot. Policy 2023, 11, 10–20. [Google Scholar] [CrossRef]
- Cao, Y.; Kong, L.; Zhang, L.; Ouyang, Z. The Balance between Economic Development and Ecosystem Service Value in the Process of Land Urbanization: A Case Study of China’s Land Urbanization from 2000 to 2015. Land Use Policy 2021, 108, 105536. [Google Scholar] [CrossRef]
- Fang, L.; Wang, L.; Chen, W.; Sun, J.; Cao, Q.; Wang, S.; Wang, L. Identifying the Impacts of Natural and Human Factors on Ecosystem Service in the Yangtze and Yellow River Basins. J. Clean. Prod. 2021, 314, 127995. [Google Scholar] [CrossRef]
- Zhang, S.X.; Zhang, J.M.; Zang, C.F. Temporal and spatial variation characteristics and driving factors of land use in the Pan-Pearl River Basin. Chin. J. Appl. Ecol. 2019, 31, 573–580. [Google Scholar]
- Qiu, G.F.; Ma, P. Land use change characteristics and driving factors in the Republic of Rwanda. Soil Water Conserv. Bull. 2022, 42, 263–273. [Google Scholar]
- Hou, W.; Hou, X.Y.; Sun, M.; Song, B.Y. Land Use/Land Cover Change along Low-Middle Latitude Coastal Areas of Eurasia and Their Driving Forces from 2000 to 2010. World Reg. Stud. 2021, 30, 813. [Google Scholar]
- Chang, X.; Xing, Y.; Wang, J.; Yang, H.; Gong, W. Effects of Land Use and Cover Change (LUCC) on Terrestrial Carbon Stocks in China between 2000 and 2018. Resour. Conserv. Recycl. 2022, 182, 106333. [Google Scholar] [CrossRef]
- Zhu, L.; Song, R.; Sun, S.; Li, Y.; Hu, K. Land Use/Land Cover Change and Its Impact on Ecosystem Carbon Storage in Coastal Areas of China from 1980 to 2050. Ecol. Indic. 2022, 142, 109178. [Google Scholar] [CrossRef]
- Yumashev, D.; Janes-Bassett, V.; Redhead, J.W.; Rowe, E.C.; Davies, J. Terrestrial Carbon Sequestration under Future Climate, Nutrient and Land Use Change and Management Scenarios: A National-Scale UK Case Study. Environ. Res. Lett. 2022, 17, 114054. [Google Scholar] [CrossRef]
- Sasmito, S.D.; Sillanpää, M.; Hayes, M.A.; Bachri, S.; Saragi-Sasmito, M.F.; Sidik, F.; Hanggara, B.B.; Mofu, W.Y.; Rumbiak, V.I.; Taberima, S. Mangrove Blue Carbon Stocks and Dynamics Are Controlled by Hydrogeomorphic Settings and Land-use Change. Glob. Chang. Biol. 2020, 26, 3028–3039. [Google Scholar] [CrossRef]
- Pellikka, P.; Heikinheimo, V.; Hietanen, J.; Schäfer, E.; Siljander, M.; Heiskanen, J. Impact of Land Cover Change on Aboveground Carbon Stocks in Afromontane Landscape in Kenya. Appl. Geogr. 2018, 94, 178–189. [Google Scholar] [CrossRef]
- Dida, J.J.V.; Tiburan, C.L., Jr.; Tsutsumida, N.; Saizen, I. Carbon Stock Estimation of Selected Watersheds in Laguna, Philippines Using InVEST. Philipp. J. Sci. 2021, 150, 501–513. [Google Scholar] [CrossRef]
- Li, C.; Wu, Y.; Gao, B.; Zheng, K.; Wu, Y.; Li, C. Multi-Scenario Simulation of Ecosystem Service Value for Optimization of Land Use in the Sichuan-Yunnan Ecological Barrier, China. Ecol. Indic. 2021, 132, 108328. [Google Scholar] [CrossRef]
- Pereira, P. Ecosystem Services in a Changing Environment. Sci. Total Env. 2020, 702, 135008. [Google Scholar] [CrossRef] [PubMed]
- Wang, Y.; Zhang, X.; Peng, P. Spatio-Temporal Changes of Land-Use/Land Cover Change and the Effects on Ecosystem Service Values in Derong County, China, from 1992–2018. Sustainability 2021, 13, 827. [Google Scholar] [CrossRef]
- Ouyang, X.; Wang, K.; Wei, X. Research on the impact of urban and rural construction land association on ecosystem services: A case study of Dongting Lake area. Acta Ecol. Sin. 2022. [Google Scholar] [CrossRef]
- Zeng, W.; Meichen, F. Effects of land use change on ecosystem service value of Chengde City. In Proceedings of the 2010 International Conference on Mechanic Automation and Control Engineering, Wuhan, China, 1 June 2010. [Google Scholar]
- Rahman, M.; Szabó, G. Impact of Land Use and Land Cover Changes on Urban Ecosystem Service Value in Dhaka, Bangladesh. Land 2021, 10, 793. [Google Scholar] [CrossRef]
- Schirpke, U.; Tscholl, S.; Tasser, E. Spatio-Temporal Changes in Ecosystem Service Values: Effects of Land-Use Changes from Past to Future (1860–2100). J. Environ. Manag. 2020, 272, 111068. [Google Scholar] [CrossRef]
- Wu, C.; Chen, B.; Huang, X.; Wei, Y.D. Effect of Land-Use Change and Optimization on the Ecosystem Service Values of Jiangsu Province, China. Ecol. Indic. 2020, 117, 106507. [Google Scholar] [CrossRef]
- Hasan, S.; Shi, W.; Zhu, X. Impact of Land Use Land Cover Changes on Ecosystem Service Value–A Case Study of Guangdong, Hong Kong, and Macao in South China. PLoS ONE 2020, 15, e0231259. [Google Scholar] [CrossRef]









| Types of Land | ||||
|---|---|---|---|---|
| Croplands | 4.75 | 0 | 33.51 | 0 |
| Forests | 49.6 | 24.97 | 128.67 | 1.99 |
| Grasslands | 24.38 | 19.59 | 52.29 | 22.74 |
| Waters | 2.45 | 0.62 | 80.11 | 0.10 |
| Built lands | 4.33 | 2.17 | 6.37 | 0.58 |
| Barrens | 0 | 0 | 0 | 0 |
| Croplands | Forests | Grasslands | Waters | Built Lands | Barrens | |
|---|---|---|---|---|---|---|
| Dandong | 0.356 | 0.246 | 0.016 | 0.082 | 0.290 | 0.010 |
| Dalian | 0.149 | 0.114 | 0.022 | 0.065 | 0.644 | 0.006 |
| Yingkou | 0.132 | 0.071 | 0.018 | 0.173 | 0.603 | 0.003 |
| Panjin | 0.177 | 0.001 | 0.005 | 0.313 | 0.406 | 0.098 |
| Jinzhou | 0.372 | 0.138 | 0.026 | 0.113 | 0.310 | 0.041 |
| Huludao | 0.241 | 0.149 | 0.039 | 0.177 | 0.380 | 0.014 |
| Dandong | Dalian | Yingkou | Panjing | Jinzhou | Huludao |
|---|---|---|---|---|---|
| 95.18% | 90.78% | 92.72% | 82.64% | 93.73% | 95.39% |
| Trend Development Scenarios | Cropland Protection Scenarios | ||||||||||||
|---|---|---|---|---|---|---|---|---|---|---|---|---|---|
| A | B | C | D | E | F | A | B | C | D | E | F | ||
| A | 1 | 0 | 1 | 1 | 0 | 1 | A | 1 | 0 | 0 | 0 | 0 | 0 |
| B | 0 | 1 | 1 | 0 | 0 | 1 | B | 1 | 1 | 1 | 0 | 0 | 1 |
| C | 1 | 1 | 1 | 1 | 1 | 1 | C | 1 | 1 | 1 | 1 | 1 | 1 |
| D | 0 | 0 | 0 | 1 | 0 | 0 | D | 0 | 0 | 0 | 1 | 0 | 0 |
| E | 1 | 0 | 1 | 0 | 1 | 1 | E | 1 | 0 | 1 | 0 | 1 | 1 |
| F | 1 | 1 | 1 | 1 | 1 | 1 | F | 1 | 1 | 1 | 1 | 1 | 1 |
| Urban development scenarios | Ecological protection scenarios | ||||||||||||
| A | B | C | D | E | F | A | B | C | D | E | F | ||
| A | 1 | 0 | 0 | 1 | 0 | 1 | A | 1 | 1 | 1 | 1 | 1 | 1 |
| B | 1 | 1 | 0 | 1 | 0 | 1 | B | 0 | 1 | 0 | 0 | 0 | 0 |
| C | 1 | 0 | 1 | 1 | 0 | 0 | C | 0 | 1 | 1 | 0 | 1 | 0 |
| D | 0 | 0 | 0 | 1 | 0 | 0 | D | 0 | 0 | 0 | 1 | 0 | 0 |
| E | 0 | 1 | 1 | 1 | 1 | 0 | E | 0 | 0 | 0 | 0 | 1 | 0 |
| F | 1 | 1 | 1 | 1 | 1 | 1 | F | 1 | 1 | 1 | 1 | 1 | 1 |
| Trend Development Scenarios | ||||||
|---|---|---|---|---|---|---|
| 2010 | 2020 | 2030 | 2040 | 2050 | 2060 | |
| Croplands | 0.071 | 0.105 | 0.082 | 0.075 | 0.071 | 0.068 |
| Forests | 0.001 | 0.011 | 0.009 | 0.008 | 0.007 | 0.007 |
| Grasslands | 0.686 | 0.732 | 0.806 | 0.848 | 0.885 | 0.903 |
| Waters | −0.143 | −0.145 | −0.199 | −0.205 | −0.210 | −0.214 |
| Barrens | −0.268 | 0.593 | 0.699 | 0.722 | 0.733 | 0.740 |
| Urban development scenarios | ||||||
| 2010 | 2020 | 2030 | 2040 | 2050 | 2060 | |
| Croplands | 0.071 | 0.105 | 0.097 | 0.090 | 0.083 | 0.077 |
| Forests | 0.001 | 0.011 | 0.024 | 0.035 | 0.046 | 0.057 |
| Grasslands | 0.686 | 0.732 | 0.791 | 0.833 | 0.859 | 0.866 |
| Waters | −0.143 | −0.145 | −0.198 | −0.213 | −0.223 | −0.229 |
| Barrens | −0.268 | 0.593 | 0.691 | 0.726 | 0.749 | 0.764 |
| Cropland protection scenarios | ||||||
| 2010 | 2020 | 2030 | 2040 | 2050 | 2060 | |
| Croplands | 0.071 | 0.105 | 0.063 | 0.045 | 0.030 | 0.016 |
| Forests | 0.001 | 0.011 | 0.023 | 0.034 | 0.045 | 0.055 |
| Grasslands | 0.686 | 0.732 | 0.795 | 0.838 | 0.876 | 0.901 |
| Waters | −0.143 | −0.145 | −0.147 | −0.149 | −0.150 | −0.151 |
| Barrens | −0.268 | 0.593 | 0.719 | 0.743 | 0.756 | 0.757 |
| Ecological protection scenarios | ||||||
| 2010 | 2020 | 2030 | 2040 | 2050 | 2060 | |
| Croplands | 0.071 | 0.105 | 0.138 | 0.170 | 0.201 | 0.229 |
| Forests | 0.001 | 0.011 | 0.002 | −0.008 | −0.018 | −0.026 |
| Grasslands | 0.686 | 0.732 | 0.801 | 0.843 | 0.861 | 0.866 |
| Waters | −0.143 | −0.145 | −0.156 | −0.172 | −0.187 | −0.202 |
| Barrens | −0.268 | 0.593 | 0.755 | 0.736 | 0.754 | 0.777 |
Disclaimer/Publisher’s Note: The statements, opinions and data contained in all publications are solely those of the individual author(s) and contributor(s) and not of MDPI and/or the editor(s). MDPI and/or the editor(s) disclaim responsibility for any injury to people or property resulting from any ideas, methods, instructions or products referred to in the content. |
© 2025 by the authors. Licensee MDPI, Basel, Switzerland. This article is an open access article distributed under the terms and conditions of the Creative Commons Attribution (CC BY) license (https://creativecommons.org/licenses/by/4.0/).
Share and Cite
Li, Y.; Xu, B.; Li, Y.; Wan, Y. Impact of LULC in Coastal Cities on Terrestrial Carbon Storage and Ecosystem Service Value: A Case Study of Liaoning Province. Sustainability 2025, 17, 2889. https://doi.org/10.3390/su17072889
Li Y, Xu B, Li Y, Wan Y. Impact of LULC in Coastal Cities on Terrestrial Carbon Storage and Ecosystem Service Value: A Case Study of Liaoning Province. Sustainability. 2025; 17(7):2889. https://doi.org/10.3390/su17072889
Chicago/Turabian StyleLi, Yuan, Bin Xu, Yan Li, and Yuxuan Wan. 2025. "Impact of LULC in Coastal Cities on Terrestrial Carbon Storage and Ecosystem Service Value: A Case Study of Liaoning Province" Sustainability 17, no. 7: 2889. https://doi.org/10.3390/su17072889
APA StyleLi, Y., Xu, B., Li, Y., & Wan, Y. (2025). Impact of LULC in Coastal Cities on Terrestrial Carbon Storage and Ecosystem Service Value: A Case Study of Liaoning Province. Sustainability, 17(7), 2889. https://doi.org/10.3390/su17072889
