Strategies for Implementing and Scaling Renovation Passports: A Systematic Review of EU Energy Renovation Policies
Abstract
1. Introduction
- Technical assistance strategies;
- Behavioural barriers;
- Financial schemes;
- Economic and social barriers.
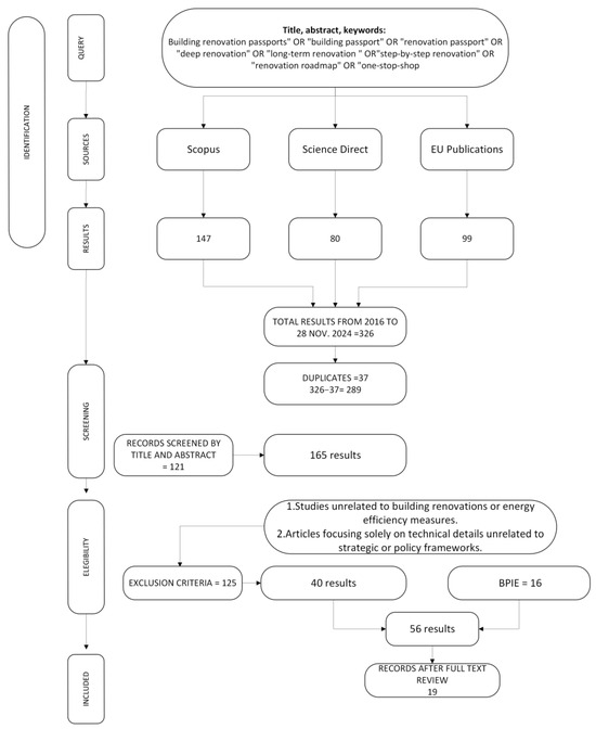
2. Methodology
- Research addressing building renovation plans or strategies, particularly those focused on energy-efficient renovations;
- Studies exploring technical assistance, financial schemes, economic and behavioural barriers, or social impacts of long-term efficient renovations;
- Studies, reports, or policies relevant to the European Union with building renovation frameworks.
- Studies unrelated to building renovations or energy efficiency measures;
- Articles focusing solely on technical details unrelated to strategic or policy frameworks.
3. Results and Discussion
3.1. Technical Assistance Strategies
3.2. Behavioural Barriers
3.3. Financial Mechanisms
3.4. Economic and Social Challenges
4. Policies and Practical Recommendations
5. Conclusions
Funding
Conflicts of Interest
Abbreviations
| BIM | Building Information Modelling |
| BPIE | Buildings Performance Institute Europe |
| DBL | Digital building logbook |
| EC | European Commission |
| EE | Energy efficiency |
| EED | Energy Efficiency Directive |
| EPBD | Energy Performance of Buildings Directive |
| EPC | Energy performance certificate |
| ESCO | Energy Service Company |
| EU | European Union |
| GHG | Greenhouse gas |
| IAQ | Indoor air quality |
| IEA | International Energy Agency |
| IEQ | Indoor environmental quality |
| IPCC | Intergovernmental Panel on Climate Change |
| LCA | Life-cycle assessment |
| NZEB | Nearly zero-energy building |
| OSS | One-stop shop |
| PACE | Property Assessed Clean Energy |
| RED | Renewable Energy Directive |
| RP | Renovation passport |
| SME | Small- and Medium-sized Enterprises |
| SRI | Smart readiness indicator |
| UN | United Nations |
| UNFCC | United Nations Framework Convention on Climate Change |
| ZEB | Zero energy building |
References
- Bazazzadeh, H.; Nadolny, A.; Safaei, S.S.H. Climate Change and Building Energy Consumption: A Review of the Impact of Weather Parameters Influenced by Climate Change on Household Heating and Cooling Demands of Buildings. Eur. J. Sustain. Dev. 2021, 10, 1. [Google Scholar] [CrossRef]
- Siddik, M.; Hasan, M.; Islam, M.T.; Zaman, A. Climate Change Drivers, Effects, and Mitigation-Adaptation Measures for Cities. Asian J. Soc. Sci. Leg. Stud. 2022, 4, 160–177. [Google Scholar] [CrossRef]
- Oberthür, S.; Dupont, C. The European Union’s international climate leadership: Towards a grand climate strategy? J. Eur. Public Policy 2021, 28, 1095–1114. [Google Scholar] [CrossRef]
- Cifuentes-Faura, J. European Union policies and their role in combating climate change over the years. Air Qual. Atmos. Health 2022, 15, 1333–1340. [Google Scholar] [CrossRef]
- Ürge-Vorsatz, D.; Khosla, R.; Bernhardt, R.; Chan, Y.; Verez, D.; Hu, S.; Cabeza, L.F. Advances Toward a Net-Zero Global Building Sector. Annu. Rev. Environ. Resour. 2020, 45, 227–269. [Google Scholar] [CrossRef]
- Chatterjee, S.; Kiss, B.; Ürge-Vorsatz, D.; Teske, S. Decarbonisation Pathways for Buildings. In Achieving the Paris Climate Agreement Goals; Springer: Cham, Switzerland, 2022; pp. 161–185. [Google Scholar] [CrossRef]
- U. N. Environment. Global Status Report for Buildings and Construction|UNEP—UN Environment Programme. Available online: https://www.unep.org/resources/report/global-status-report-buildings-and-construction (accessed on 21 September 2024).
- European Green Deal. Available online: https://eur-lex.europa.eu/legal-content/EN/TXT/HTML/?uri=CELEX:52019DC0640 (accessed on 18 November 2024).
- Renovation Wave. Available online: https://energy.ec.europa.eu/topics/energy-efficiency/energy-efficient-buildings/renovation-wave_en (accessed on 14 April 2024).
- Haines, A.; Scheelbeek, P. European Green Deal: A major opportunity for health improvement. Lancet 2020, 395, 1327–1329. [Google Scholar] [CrossRef]
- Claeys, G.; Tagliapietra, S.; Zachmann, G. How to Make the European Green Deal Work. Bruegel|The Brussels-Based Economic Think Tank. Available online: https://www.bruegel.org/policy-brief/how-make-european-green-deal-work (accessed on 30 September 2024).
- EEA. Addressing the Environmental and Climate Footprint of Buildings; European Environment Agency: Copenhagen, Denmark, 2024. Available online: https://www.eea.europa.eu/en/analysis/publications/addressing-the-environmental-and-climate-footprint-of-buildings (accessed on 2 November 2024).
- Energy Efficiency Directive. Available online: https://energy.ec.europa.eu/topics/energy-efficiency/energy-efficiency-targets-directive-and-rules/energy-efficiency-directive_en (accessed on 15 November 2023).
- Renewable Energy Directive. Available online: https://energy.ec.europa.eu/topics/renewable-energy/renewable-energy-directive-targets-and-rules/renewable-energy-directive_en (accessed on 26 February 2025).
- EU Buildings Climate Tracker, 3rd ed.; Buildings Performance Institute Europe (BPIE): Brussels, Belgium, 2024; Available online: https://www.bpie.eu/publication/eu-buildings-climate-tracker-3rd-edition/ (accessed on 27 January 2025).
- Gokarakonda, S.; Bankert, E. Accelerating Deep Renovation in the EU with Renovation Passports; BPIE-iBRoad2EPC; BPIE: Brussels, Belgium, 2024; Available online: https://www.bpie.eu/publication/accelerating-deep-renovation-eu-renovation-passports/ (accessed on 14 October 2024).
- Mainali, B.; Mahapatra, K.; Pardalis, G. Strategies for deep renovation market of detached houses. Renew. Sustain. Energy Rev. 2021, 138, 110659. [Google Scholar] [CrossRef]
- Gouveia, J.P.; Aelenei, L.; Aelenei, D.; Ourives, R.; Bessa, S. Improving the Energy Performance of Public Buildings in the Mediterranean Climate via a Decision Support Tool. Energies 2024, 17, 1105. [Google Scholar] [CrossRef]
- Sequeira, M.M.; Gouveia, J.P. A Sequential Multi-Staged Approach for Developing Digital One-Stop Shops to Support Energy Renovations of Residential Buildings. Energies 2022, 15, 5389. [Google Scholar] [CrossRef]
- Ebrahimigharehbaghi, S.; Qian, Q.K.; Meijer, F.M.; Visscher, H.J. Unravelling Dutch homeowners’ behaviour towards energy efficiency renovations: What drives and hinders their decision-making? Energy Policy 2019, 129, 546–561. [Google Scholar] [CrossRef]
- Streimikiene, D.; Balezentis, T. Willingness to Pay for Renovation of Multi-Flat Buildings and to Share the Costs of Renovation. Energies 2020, 13, 2721. [Google Scholar] [CrossRef]
- Bertoldi, P.; Economidou, M.; Palermo, V.; Kiss, B. How to finance the renovation of residential buildings: Innovative financing instruments. In Proceedings of the Eceee Summer Study Proceedings, Hyères, France, 3–8 June 2019; pp. 1315–1324. Available online: https://www.scopus.com/inward/record.uri?eid=2-s2.0-85085165927&partnerID=40&md5=c9371ae6c4294d2d2f14e9febffab9ee (accessed on 12 December 2024).
- Economic Benefits—Multiple Benefits of Energy Efficiency—Analysis. IEA. Available online: https://www.iea.org/reports/multiple-benefits-of-energy-efficiency/economic-benefits-2 (accessed on 4 October 2024).
- Renovation Process Challenges and Barriers: Addressing the Communication and Coordination Bottlenecks in the Zero-Energy Building Renovation Workflow in European Residential Buildings. Available online: https://www.tandfonline.com/doi/epdf/10.1080/00038628.2023.2214520?needAccess=true (accessed on 21 December 2024).
- Bertoldi, P.; Boza-Kiss, B.; Della Valle, N.; Economidou, M. The role of one-stop shops in energy renovation—A comparative analysis of OSSs cases in Europe. Energy Build. 2021, 250, 111273. [Google Scholar] [CrossRef]
- Grecchi, M.; Rivaillant, M.; Maria Sesana, M.; Salvalai, G. From the energy performance certificate to the building renovation passport. Riv. Tema 2019, 5, 84–94. [Google Scholar] [CrossRef]
- Fabbri, M.; Groote, M.D.; Rapf, O. Building Renovation Passports: Customised Roadmaps Towards Deep Renovation and Better Homes. 2016. Available online: https://www.semanticscholar.org/paper/Building-renovation-passports%3A-Customised-roadmaps-Fabbri-Groote/9e2eadc644b36fb129173385b7540cfff5185a76 (accessed on 8 November 2023).
- Fabbri, M. Understanding Building Renovation Passports: Customised Solutions to Boost Deep Renovation and Increase Comfort in a Decarbonised Europe. Available online: https://www.eceee.org/library/conference_proceedings/eceee_Summer_Studies/2017/6-buildings-policies-directives-and-programmes/understanding-building-renovation-passports-customised-solutions-to-boost-deep-renovation-and-increase-comfort-in-a-decarbonised-europe/ (accessed on 16 November 2023).
- EPBD 2018/844. Available online: https://eur-lex.europa.eu/eli/dir/2018/844/oj/eng (accessed on 18 February 2025).
- EPBD 2024/1275. Available online: https://eur-lex.europa.eu/eli/dir/2024/1275/oj (accessed on 9 December 2024).
- Dorizas, V.; Toth, Z.; Volt, J. How Energy Performance Certificates (EPCs) Can Be Upgraded with Building Renovation Passport (BRP) Elements. IBRoad2EPC. 2022. Available online: https://ec.europa.eu/research/participants/documents/downloadPublic?documentIds=080166e5f9f91073&appId=PPGMS (accessed on 18 October 2024).
- Energy Efficiency Passport (P2E)—The Shift Project. Available online: https://theshiftproject.org/experience-p2e/ (accessed on 26 January 2025).
- Opengela|Regeneración Urbana en Euskadi. Opengela. Available online: https://opengela.eus/what-is-opengela-2 (accessed on 26 January 2025).
- Sesana, M.M.; Salvalai, G.; Brutti, D.; Mandin, C.; Wei, W. ALDREN: A methodological framework to support decision-making and investments in deep energy renovation of non-residential buildings. Buildings 2021, 11, 3. [Google Scholar] [CrossRef]
- Mellwig, P.; Pehnt, M.; Lempik, J.; Volt, J.; Deliyannis, A.; Papaglastra, M.; Corovessi, A.; Touloupaki, E. iBRoad2EPC—Upgrading EPCs to support Europe’s climate ambitions. Presented at the Eceee Summer Study Proceedings, Hyères, France, 6–11 June 2022; pp. 875–883. Available online: https://www.scopus.com/inward/record.uri?eid=2-s2.0-85178564668&partnerID=40&md5=62a02ce508b24a6ca224c172aeb93ffb (accessed on 13 November 2024).
- iBRoad2EPC. Horizon 2020 iBRoad2EPC Project. Available online: https://ibroad2epc.eu/our-work/ (accessed on 4 December 2023).
- Sesana, M.M. Building Renovation Passport for Non-Residential Buildings: The ALDREN Experience. 2020. Available online: https://www.semanticscholar.org/paper/Building-Renovation-Passport-for-Non-Residential-Sesana/a1a864d67f08ac90d93604953307e91e3ca8b7b3 (accessed on 8 November 2023).
- Publications. Fedarene. Available online: https://fedarene.org/publications/ (accessed on 26 January 2025).
- Collombet, R.; Hartwig Peillon, R. EPBD 2024-Implementation Guide; Efficient Buildings Europe: Brussels, Belgium, 2024. [Google Scholar]
- Mapping Policy Needs for Effective 2024 EPBD Implementation > BPIE—Buildings Performance Institute Europe. BPIE—Buildings Performance Institute Europe. Available online: https://www.bpie.eu/publication/mapping-policy-needs-for-effective-2024-epbd-implementation/ (accessed on 11 January 2025).
- Fabbri, M.; Volt, J.; de Grootem, M. The Concept of the Individual Building Renovation Roadmap—iBRoad Project. 2018. Available online: https://ibroad-project.eu/news/the-concept-of-the-individual-building-renovation-roadmap/ (accessed on 18 November 2023).
- Page, M.; Moher, D.; Bossuyt, P.; Boutron, I.; Hoffmann, T.; Mulrow, C.; Shamseer, L.; Tetzlaff, J.; Akl, E.; Brennan, S.; et al. PRISMA 2020 explanation and elaboration: Updated guidance and exemplars for reporting systematic reviews. BMJ 2021, 372, n160. [Google Scholar] [CrossRef]
- Snyder, H. Literature review as a research methodology: An overview and guidelines. J. Bus. Res. 2019, 104, 333–339. [Google Scholar] [CrossRef]
- Aelenei, D.; Aelenei, L.E. Triggering Deep Renovation of Buildings in Portugal. IOP Conf. Ser. Earth Environ. Sci. 2023, 1185, 012019. [Google Scholar] [CrossRef]
- Wiesner, V.; Wolfenden, K. Building Renovation Passports. C Change—ULI-led. 2023. Available online: https://knowledge.uli.org/en/reports/research-reports/2023/c-change/c-change-intervention-briefing-building-renovation-passports (accessed on 20 November 2023).
- The EPBD Decrypted: A Treasure Chest of Opportunities to Accelerate Building Decarbonisation > BPIE—Buildings Performance Institute Europe. BPIE—Buildings Performance Institute Europe. Available online: https://www.bpie.eu/publication/the-epbd-decrypted-a-treasure-chest-of-opportunities-to-accelerate-building-decarbonisation/ (accessed on 1 October 2024).
- Implementing Renovation Passports: Policy Needs, Status Quo and Best Practices > BPIE—Buildings Performance Institute Europe. PIE—Buildings Performance Institute Europe. Available online: https://www.bpie.eu/publication/implementing-renovation-passports-policy-needs-status-quo-and-best-practices/ (accessed on 2 January 2025).
- Mpouzianas, N.; Koltsios, S.; Pastaltzidis, I.; Katsaros, N.; Giannopoulos, G.; Klonis, P.; Chatzipanagiotidou, P.; Ioannidis, D.; Tzovaras, D. Building renovation Roadmapping: An automated methodology framework for energy efficiency improvement and sustainable renovation planning. Int. J. Sustain. Energy 2024, 43, 2344508. [Google Scholar] [CrossRef]
- Hirst, E.; Brown, M. Closing the efficiency gap: Barriers to the efficient use of energy. Resour. Conserv. Recycl. 1990, 3, 267–281. [Google Scholar] [CrossRef]
- Buchholz, M.; Lützkendorf, T. European building passports: Developments, challenges and future roles. Build. Cities 2023, 4, 902–919. [Google Scholar] [CrossRef]
- Hill, M.; Duffy, A. A Digital Support Platform for Community Energy: One-Stop-Shop Architecture, Development and Evaluation. Energies 2022, 15, 4763. [Google Scholar] [CrossRef]
- Joint Research Centre (European Commission); Serrenho, T.; Stromback, J.; Bertoldi, P.; Streng, E. Smart Financing for Smart Buildings: Virtual One Stop Shops and IT Tools; Publications Office of the European Union: Luxembourg, 2021; Available online: https://data.europa.eu/doi/10.2760/410729 (accessed on 30 December 2024).
- Réfabert, F.; Mahapatra, K.; Mainali, B.; Hourcade, J.-C. How to boost one-stop-shops for integrated home energy renovation in the EU? Presented at the Eceee Summer Study Proceedings, Online, 7–11 June 2021; pp. 827–835. Available online: https://www.scopus.com/inward/record.uri?eid=2-s2.0-85178666190&partnerID=40&md5=33cf81ffe9ea8a9e4db7321f6947fb74 (accessed on 13 November 2024).
- Malinovec Puček, M.; Khoja, A.; Bazzan, E.; Gyuris, P. A Data Structure for Digital Building Logbooks: Achieving Energy Efficiency, Sustainability, and Smartness in Buildings across the EU. Buildings 2023, 13, 1082. [Google Scholar] [CrossRef]
- Miezis, M.; Zvaigznitis, K.; Stancioff, N.; Soeftestad, L. Climate change and buildings energy efficiency—The key role of residents. Environ. Clim. Technol. 2016, 17, 30–43. [Google Scholar] [CrossRef]
- Sequeira, M.M.; Gouveia, J.P.; Joanaz de Melo, J. Can local organizations act as middle actors in energy support? Exploring their functions, motivations, challenges, and needs. Energy Effic. 2024, 17, 81. [Google Scholar] [CrossRef]
- Attractive, Acceptable and Affordable Deep Renovation by a Consumers Orientated and Performance Evidence Based Approach|TripleA-reno Project|Results|H2020. CORDIS|European Commission. Available online: https://cordis.europa.eu/project/id/784972/results (accessed on 5 January 2025).
- Unlocking the Potential of Community-Driven Models to Drive Residential Renovation: Insights from Six Case Studies > BPIE—Buildings Performance Institute Europe. BPIE—Buildings Performance Institute Europe. Available online: https://www.bpie.eu/publication/unlocking-the-potential-of-community-driven-models-to-drive-residential-renovationinsights-from-six-case-studies/ (accessed on 26 January 2025).
- Gouveia, J.P.; Mendes, M.; Sequeira, M.; Palma, P. A New Way to Mitigate Energy Poverty: Lessons from the Transition Point ‘One-Stop Shop’ Pilot; Fundação Calouste Gulbenkian: Lisboa, Portugal, 2024. [Google Scholar]
- Conforto, G.; Hummel, M. Financing energy efficiency in buildings: An overview of current and upcoming European funding programmes. Presented at the Eceee Summer Study Proceedings, Hyères, France, 6–11 June 2022; pp. 297–306. Available online: https://www.scopus.com/inward/record.uri?eid=2-s2.0-85178638227&partnerID=40&md5=357cc0e90b596693d0344568e539f3db (accessed on 13 November 2024).
- Bertoldi, P.; Economidou, M.; Palermo, V.; Boza-Kiss, B.; Todeschi, V. How to finance energy renovation of residential buildings: Review of current and emerging financing instruments in the EU. WIREs Energy Environ. 2021, 10, e384. [Google Scholar] [CrossRef]
- Baek, C.; Park, S. Policy measures to overcome barriers to energy renovation of existing buildings. Renew. Sustain. Energy Rev. 2012, 16, 3939–3947. [Google Scholar] [CrossRef]
- Nicoletti, F.; Carpino, C.; Barbosa, G.; Domenico, A.; Arcuri, N.; Almeida, M. Building renovation Passport: A new methodology for scheduling and addressing financial challenges for low-income households. Energy Build. 2025, 331, 115353. [Google Scholar] [CrossRef]
- Economidou, M.; Della Valle, N.; Melica, G.; Valentini, O.; Bertoldi, P. Financing Energy Renovations at Local and Regional Levels: European Status and Good Practices; Publications Office of the European Union: Luxembourg, 2021. [Google Scholar] [CrossRef]
- Thomas, S.; Boonekamp, P.; Vreuls, H.; Broc, J.-S.; Bosseboeuf, D.; Lapillonne, B.; Labanca, N. How to measure the overall energy savings linked to policies and energy services at the national level? Energy Effic. 2012, 5, 19–35. [Google Scholar] [CrossRef]
- Maia, I.E.N.; Harringer, D.; Kranzl, L. Household budget restrictions as reason for staged retrofits: A case study in Spain. Energy Policy 2024, 188, 114047. [Google Scholar] [CrossRef]
- Della Valle, N.; D’Arcangelo, C.; Faillo, M. Promoting pro-environmental choices while addressing energy poverty. Energy Policy 2024, 186, 113967. [Google Scholar] [CrossRef]
- Creating building renovation passports from data repositories Transversal Deployment Scenario 3. Available online: https://timepac.eu/reports/guideline-for-creating-renovation-passports-from-data-repositories/ (accessed on 13 November 2024).
- Directorate-General for Energy. Clean Energy for All Europeans; European Commission: Luxembourg, 2019.
- Mahapatra, K.; Mainali, B.; Pardalis, G. Homeowners’ attitude towards one-stop-shop business concept for energy renovation of detached houses in Kronoberg, Sweden. Energy Procedia 2019, 158, 3702–3708. [Google Scholar] [CrossRef]
- DellaValle, N.; Czako, V. Empowering energy citizenship among the energy poor. Energy Res. Soc. Sci. 2022, 89, 102654. [Google Scholar] [CrossRef]
- Sequeira, M.M.; Gouveia, J.P.; de Melo, J.J. (Dis)comfortably numb in energy transitions: Gauging residential hard-to-reach energy users in the European Union. Energy Res. Soc. Sci. 2024, 115, 103612. [Google Scholar] [CrossRef]
- Individual Refurbishment Roadmaps for Residential Buildings Provide Many Lessons to the Multi-Family Apartment Sector > BPIE—Buildings Performance Institute Europe. BPIE—Buildings Performance Institute Europe. Available online: https://www.bpie.eu/publication/individual-refurbishment-roadmaps-for-residential-buildings-provide-many-lessons-to-the-multi-family-apartment-sector/ (accessed on 21 January 2025).
- Huang, W.; Xu, Q. Sustainable-Driven Renovation of Existing Residential Buildings in China: A Systematic Exploration Based on Review and Solution Approaches. Sustainability 2024, 16, 3895. [Google Scholar] [CrossRef]
- Climateworks Centre. Available online: https://www.climateworkscentre.org/resource/climate-ready-homes-building-the-case-for-a-renovation-wave-in-australia/ (accessed on 20 February 2025).
- Commission, C.E. Energy Efficiency in Existing Buildings. Available online: https://www.energy.ca.gov/programs-and-topics/programs/energy-efficiency-existing-buildings (accessed on 21 February 2025).
- Carbon Neutral Buildings Roadmap. NYSERDA. Available online: https://www.nyserda.ny.gov/All-Programs/Carbon-Neutral-Buildings (accessed on 2 February 2025).




| Energy Efficiency Benefits | |
|---|---|
| Financial | Energy cost savings |
| Reduced maintenance costs | |
| Increase the value of the property | |
| Technical | Improve energy performance |
| Reduce carbon emissions | |
| Improve indoor air quality | |
| Economic | Energy demand savings |
| Market development | |
| Job creation | |
| Social | Reduction in energy poverty |
| Improve health and quality of life | |
| Improve comfort | |
| Job creation |
| Energy Efficiency Barriers | |
|---|---|
| Financial | High investment costs |
| Cost-effectiveness | |
| Lack of funding | |
| Lack of information on energy consumption | |
| Technical | Knowledge of the energy-efficient measures |
| Complexity of the energy renovations | |
| Order of the implementation of measures | |
| Require professional assistance | |
| Mistrust on experts | |
| Market lack of knowledge | |
| Economic | Expected energy savings |
| Accessible incentives | |
| Long payback period | |
| High upfront costs | |
| Need for loan | |
| Split incentives | |
| Behavioural | Personal beliefs |
| Awareness of the benefits | |
| Anticipated inconvenience of construction works | |
| Other priorities | |
| EPBD (EU) 2024/1275—Article 2—Definitions | |
|---|---|
| Deep Renovation | A renovation that is in line with the “energy efficiency first” principle, which focuses on essential building elements and transforms a building or building unit |
| (a) before 1 January 2030 into a nearly zero-energy building or | |
| (b) from 1 January 2030 into a zero-emission building | |
| Staged Deep Renovation | A deep renovation carried out in a maximum number of steps, recorded in a renovation passport |
| Renovation Passport | A tailored roadmap for the deep renovation of a specific building in a maximum number of steps that will significantly improve its energy performance |
| Energy Performance Certificate | A certificate, recognised by a member state or by a legal person designated by it, which indicates the energy performance of a building or building unit, calculated in accordance with a methodology adopted pursuant to Article 4 |
| Digital Building Logbook | A common repository for all relevant building data, including data related to energy performance such as energy performance certificates, renovation passports and smart readiness indicators, as well as data related to the life-cycle GWP, which facilitates informed decision-making and information sharing within the construction sector, and among building owners and occupants, financial institutions and public bodies |
| Building Renovation Passport | Characteristics | Intents | Country |
|---|---|---|---|
| Woningpas [28] | Renovation advice and EPC+ | Long-term efficiency objective | Belgium/Flandres |
| Passeport Efficacité Énergétique [32] | A web platform that connects owners, auditors, and renovation professionals | Promote opportunities for energy renovation during routine building maintenance | France |
| Individueller Sanierungsfahrplan [28] | A user-friendly tool that includes short- and long-term measures and ways to avoid lock-in effects | Turn renovation into an opportunity to improve homes | Germany |
| Opengela [33] | Home renovation service | Provide advice and support to the community through the whole process of renovation | Basque Country |
| ALDREN-BRP (for non-residential buildings) [34] | ALDREN BuildLog (current state of the building) + ALDREN RenoMap (technical/economic information of future steps) | Propose a structure for RP for non-residential buildings | EU |
| iBRoad2EPC [35] | A ready-to-use flexible, adaptable, modular, and expandable RP model designed to be integrated into EPC schemes | A modular approach suitable for adoption by national markets | Bulgaria, Greece, Poland, Portugal, Romania, and Spain |
| Policy Recommendations For Developing Renovation Passport Schemes |
|---|
| 1. Guidance on defining the renovation passport and its intended outcomes |
| Mandatory national RP schemes |
| Tailored RP scheme |
| 2. Develop communication and awareness campaigns around renovation passports |
| Communication campaigns around RPs |
| Promote their understanding, visibility, and use among stakeholders |
| Guidance on how to integrate renovation passports with other policy instruments |
| Coordination with other tools EPCs, DBLs, and OSSs |
| 3. Guidance on developing tailored financing mechanisms |
| Ensure the affordability of RPs |
| Design financial tools |
| Promote cooperation with the private sector to develop and enhance financial products |
| 4. Guidance on enhancing competencies and skills |
| Training stakeholders (public authorities, EPC auditors, and construction professionals) |
| Affordable software tools to calculate the required indicators |
| Develop training and courses on the technical specifications of renovation works |
| 5. Capacity-building for construction professionals to effectively use renovation passport recommendations |
| 6. Guidance in establishing monitoring and evaluation mechanisms |
| Establish key performance indicators to monitor the role and performance of renovation passports |
| Financial Schemes for Building Renovation | |
|---|---|
| Green Loans | Loans with preferential terms designed to finance energy efficiency or renewable energy upgrades |
| On-Bill Financing/Repayment | Renovation costs are financed through the utility provider and repaid via utility bills, often offset by energy savings |
| Energy Efficiency as a Service (EEaaS) | Service providers install and maintain energy-saving equipment, charging clients based on achieved savings without upfront costs |
| Property Assessed Clean Energy (PACE) Financing | Energy upgrades are funded via property tax assessments, with repayment tied to the property rather than the owner |
| Green Leasing | A leasing agreement for energy-efficient equipment or systems, with costs spread over the lease term |
| Grants and Subsidies | Non-repayable funds or partial funding for energy-efficient upgrades, often provided by governments or institutions |
| Tax Incentives and Rebates | Financial relief through tax credits or rebates for implementing energy efficiency measures |
| Revolving Loan Funds (RLFs) | Funds that provide low- or no-interest loans for energy efficiency projects, with repayments replenishing the fund for future projects |
| Third-Party Ownership Models | A third party finances, owns, and operates energy-efficient systems, while clients benefit from savings, often used in cooperatives or energy communities |
| Energy Performance Contracting (EPC) | An ESCO manages the entire renovation process and guarantees energy savings, tying payment to achieved results |
| Energy-Efficient/ Improvement Mortgages | Mortgage products offering better terms to borrowers investing in energy-efficient property upgrades |
| Financial Mechanisms | Description | Benefits | Challenges |
|---|---|---|---|
| Green Loans | Low-interest loans for energy renovations | Low-cost borrowing | Requires credit approval |
| On-Bill Financing | Energy savings pay for renovations via utility bill | No upfront costs | Limited availability |
| PACE (Property-Assessed CE) | Tied to property taxes, financing major upgrades | No credit score needed | Dependent on legislation |
| Energy Performance Contracting | Third-party finances based on guaranteed savings | Risk transfer to investors | Complex contract structure |
| Country | RP Implementation Status | Financial Support Available | Policy Framework | Challenges |
|---|---|---|---|---|
| Germany | Pilot Programs Ongoing | Green Loans, Grants | EPBD Aligned | High Initial Costs |
| France | Established RP Framework | Tax Credits, PACE | National Strategy | Homeowner Awareness |
| The Netherlands | Widely Implemented | EPC-Linked Incentives | Strong Integration | Limited Digital Adoption |
| Directive/Policy | Key Requirements for RPs | Implementation Deadline | Countries Affected |
|---|---|---|---|
| EPBD 2024 | Mandatory RP for major renovations | 2025 | EU Member States |
| Renovation Wave | Targets doubling annual renovation rate | 2030 | EU-wide |
| National Energy and Climate Plans | Country-specific RP incentives | Varies | Individual Nations |
Disclaimer/Publisher’s Note: The statements, opinions and data contained in all publications are solely those of the individual author(s) and contributor(s) and not of MDPI and/or the editor(s). MDPI and/or the editor(s) disclaim responsibility for any injury to people or property resulting from any ideas, methods, instructions or products referred to in the content. |
© 2025 by the authors. Licensee MDPI, Basel, Switzerland. This article is an open access article distributed under the terms and conditions of the Creative Commons Attribution (CC BY) license (https://creativecommons.org/licenses/by/4.0/).
Share and Cite
Barbosa, G.; Almeida, M. Strategies for Implementing and Scaling Renovation Passports: A Systematic Review of EU Energy Renovation Policies. Sustainability 2025, 17, 2289. https://doi.org/10.3390/su17052289
Barbosa G, Almeida M. Strategies for Implementing and Scaling Renovation Passports: A Systematic Review of EU Energy Renovation Policies. Sustainability. 2025; 17(5):2289. https://doi.org/10.3390/su17052289
Chicago/Turabian StyleBarbosa, Gabriela, and Manuela Almeida. 2025. "Strategies for Implementing and Scaling Renovation Passports: A Systematic Review of EU Energy Renovation Policies" Sustainability 17, no. 5: 2289. https://doi.org/10.3390/su17052289
APA StyleBarbosa, G., & Almeida, M. (2025). Strategies for Implementing and Scaling Renovation Passports: A Systematic Review of EU Energy Renovation Policies. Sustainability, 17(5), 2289. https://doi.org/10.3390/su17052289

