Performance and Mechanism of UV/H2O2 Oxidation of Aminotris(Methylphosphonic Acid) Antiscalant of the Reverse Osmosis Concentrate
Abstract
1. Introduction
2. Materials and Methods
2.1. Chemicals and Reagents
2.2. Experimental Protocols
2.3. Analytical Methods
3. Results and Discussion
3.1. Performance of ATMP Degradation by UV/H2O2
3.1.1. Degradation of ATMP by UV/H2O2
3.1.2. Effect of pH
3.1.3. Effect of H2O2 Dosage
3.1.4. Coexisting Anions
3.1.5. Coexisting Cations
3.1.6. Humic Acid
3.1.7. Organic Carboxylic Acid Ligands
3.2. Mechanism of ATMP Degradation by UV/H2O2
3.2.1. Probing Radicals
3.2.2. Hydrogen Peroxide Consumption in Different Oxidation Systems
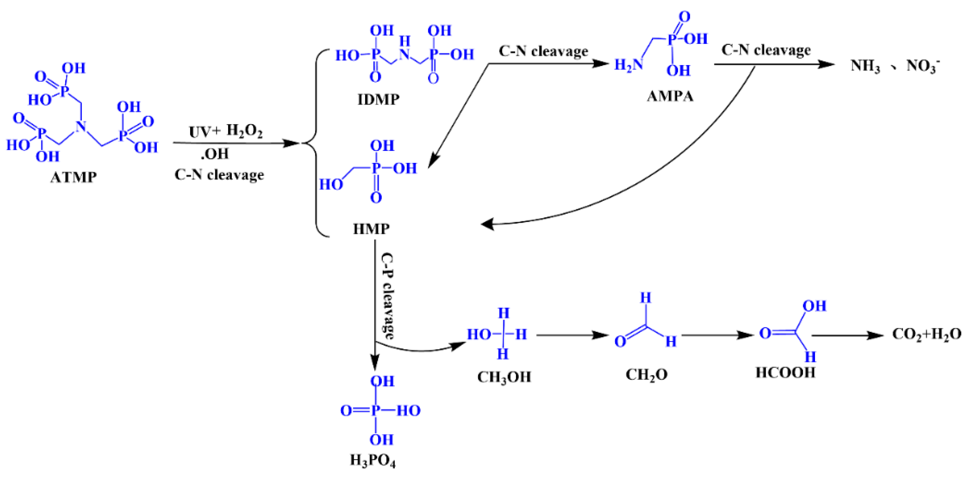
3.2.3. Proposed Degradation Pathway
3.3. Environmental Implication
4. Conclusions
Supplementary Materials
Author Contributions
Funding
Institutional Review Board Statement
Informed Consent Statement
Data Availability Statement
Conflicts of Interest
References
- Wang, X.-X.; Wu, Y.-H.; Zhang, T.-Y.; Xu, X.-Q.; Dao, G.-H.; Hu, H.-Y. Simultaneous nitrogen, phosphorous, and hardness removal from reverse osmosis concentrate by microalgae cultivation. Water Res. 2016, 94, 215–224. [Google Scholar] [CrossRef]
- Greenlee, L.F.; Freeman, B.D.; Lawler, D.F. Ozonation of phosphonate antiscalants used for reverse osmosis desalination: Parameter effects on the extent of oxidation. Chem. Eng. J. 2014, 244, 505–513. [Google Scholar] [CrossRef]
- Chen, Y.; Baygents, J.C.; Farrell, J. Removing phosphonate antiscalants from membrane concentrate solutions using granular ferric hydroxide. J. Water Process Eng. 2017, 19, 18–25. [Google Scholar] [CrossRef]
- Azadi Aghdam, M.; Zraick, F.; Simon, J.; Farrell, J.; Snyder, S.A. A novel brine precipitation process for higher water recovery. Desalination 2016, 385, 69–74. [Google Scholar] [CrossRef]
- Rott, E.; Minke, R.; Bali, U.; Steinmetz, H. Removal of phosphonates from industrial wastewater with UV/FeII, Fenton and UV/Fenton treatment. Water Res. 2017, 122, 345–354. [Google Scholar] [CrossRef] [PubMed]
- Boels, L.; Tervahauta, T.; Witkamp, G.J. Adsorptive removal of nitrilotris(methylenephosphonic acid) antiscalant from membrane concentrates by iron-coated waste filtration sand. J. Hazard. Mater. 2010, 182, 855–862. [Google Scholar] [CrossRef] [PubMed]
- Rott, E.; Steinmetz, H.; Metzger, J.W. Organophosphonates: A review on environmental relevance, biodegradability and removal in wastewater treatment plants. Sci. Total Environ. 2018, 615, 1176–1191. [Google Scholar] [CrossRef]
- Studnik, H.; Liebsch, S.; Forlani, G.; Wieczorek, D.; Kafarski, P.; Lipok, J. Amino polyphosphonates—chemical features and practical uses, environmental durability and biodegradation. New Biotechnol. 2015, 32, 1–6. [Google Scholar] [CrossRef] [PubMed]
- Belkin, N.; Rahav, E.; Elifantz, H.; Kress, N.; Berman-Frank, I. The effect of coagulants and antiscalants discharged with seawater desalination brines on coastal microbial communities: A laboratory and in situ study from the southeastern Mediterranean. Water Res. 2017, 110, 321–331. [Google Scholar] [CrossRef]
- Feiner, M.; Beggel, S.; Jaeger, N.; Geist, J. Increased RO concentrate toxicity following application of antiscalants—Acute toxicity tests with the amphipods Gammarus pulex and Gammarus roeseli. Environ. Pollut. 2015, 197, 309–312. [Google Scholar] [CrossRef]
- Forlani, G.; Prearo, V.; Wieczorek, D.; Kafarski, P.; Lipok, J. Phosphonate degradation by Spirulina strains: Cyanobacterial biofilters for the removal of anticorrosive polyphosphonates from wastewater. Enzym. Microb. Technol. 2011, 48, 299–305. [Google Scholar] [CrossRef] [PubMed]
- Boels, L.; Keesman, K.J.; Witkamp, G.-J. Adsorption of Phosphonate Antiscalant from Reverse Osmosis Membrane Concentrate onto Granular Ferric Hydroxide. Environ. Sci. Technol. 2012, 46, 9638–9645. [Google Scholar] [CrossRef]
- Chitra, S.; Paramasivan, K.; Sinha, P.K.; Lal, K.B. Ultrasonic treatment of liquid waste containing EDTA. J. Clean. Prod. 2004, 12, 429–435. [Google Scholar] [CrossRef]
- Knepper, T.P. Synthetic chelating agents and compounds exhibiting complexing properties in the aquatic environment. Trends Anal. Chem. 2003, 22, 708–724. [Google Scholar] [CrossRef]
- Mutke, X.A.M.; Tavichaiyuth, K.; Drees, F.; Lutze, H.V.; Schmidt, T.C. Oxidation of the nitrogen-free phosphonate antiscalants HEDP and PBTC in reverse osmosis concentrates: Reaction kinetics and degradation rate. Water Res. 2023, 233, 119571. [Google Scholar] [CrossRef]
- Sun, S.; Shan, C.; Yang, Z.; Wang, S.; Pan, B. Self-Enhanced Selective Oxidation of Phosphonate into Phosphate by Cu(II)/H2O2: Performance, Mechanism, and Validation. Environ. Sci. Technol. 2022, 56, 634–641. [Google Scholar] [CrossRef] [PubMed]
- Yang, X.; Manhaeghe, D.; Zhang, R.; Song, S.; Demeestere, K.; Van Hulle, S.W.H. Enhanced Production and Recovery of Orthophosphate from Wastewater Containing Phosphonate 1-Hydroxyethane-1,1-diphosphonic Acid through Combined Packed-Bed Ozonation and Adsorption. ACS Sustain. Chem. Eng. 2021, 9, 16946–16955. [Google Scholar] [CrossRef]
- Zhang, Q.; Chen, J.; Dai, C.; Zhang, Y.; Zhou, X. Degradation of carbamazepine and toxicity evaluation using the UV/persulfate process in aqueous solution. J. Chem. Technol. Biotechnol. 2015, 90, 701–708. [Google Scholar] [CrossRef]
- Liu, H.; Hou, Z.; Li, Y.; Lei, Y.; Xu, Z.; Gu, J.; Tian, S. Modeling degradation kinetics of gemfibrozil and naproxen in the UV/chlorine system: Roles of reactive species and effects of water matrix. Water Res. 2021, 202, 117445. [Google Scholar] [CrossRef] [PubMed]
- Sindelar, H.R.; Lloyd, J.; Brown, M.T.; Boyer, T.H. Transformation of dissolved organic phosphorus to phosphate using UV/H2O2. Environ. Prog. Sustain. Energy 2016, 35, 680–691. [Google Scholar] [CrossRef]
- Deluchat, V.; Bollinger, J.-C.; Serpaud, B.; Caullet, C. Divalent cations speciation with three phosphonate ligands in the pH-range of natural waters. Talanta 1997, 44, 897–907. [Google Scholar] [CrossRef] [PubMed]
- Wang, Z.; Chen, G.; Patton, S.; Ren, C.; Liu, J.; Liu, H. Degradation of nitrilotris-methylenephosphonic acid (NTMP) antiscalant via persulfate photolysis: Implications on desalination concentrate treatment. Water Res. 2019, 159, 30–37. [Google Scholar] [CrossRef]
- Wols, B.A.; Hofman-Caris, C.H.M. Review of photochemical reaction constants of organic micropollutants required for UV advanced oxidation processes in water. Water Res. 2012, 46, 2815–2827. [Google Scholar] [CrossRef] [PubMed]
- Thomas, J.K. Rates of reaction of the hydroxyl radical. Trans. Faraday Soc. 1965, 61, 702–707. [Google Scholar] [CrossRef]
- Buxton, G.V.; Greenstock, C.L.; Helman, W.P.; Ross, A.B. Critical Review of rate constants for reactions of hydrated electrons, hydrogen atoms and hydroxyl radicals (⋅OH/⋅O− in Aqueous Solution. J. Phys. Chem. Ref. Data 1988, 17, 513–886. [Google Scholar] [CrossRef]
- Gu, J.; Liu, H.; Wang, S.; Zhang, M.; Liu, Y. An innovative anaerobic MBR-reverse osmosis-ion exchange process for energy-efficient reclamation of municipal wastewater to NEWater-like product water. J. Clean. Prod. 2019, 230, 1287–1293. [Google Scholar] [CrossRef]
- Truong, G.L.; Laat, J.D.; Legube, B. Effects of chloride and sulfate on the rate of oxidation of ferrous ion by H2O2. Water Res. 2004, 38, 2384–2394. [Google Scholar] [CrossRef] [PubMed]
- Le, T.G.; Nguyen, N.T.; Nguyen, Q.T.; Laat, J.D.; Dao, H.Y. Effect of Chloride and Sulfate Ions on the Photoreduction Rate of Ferric Ion in UV Reactor Equipped with a Low Pressure Mercury Lamp. J. Adv. Oxid. Technol. 2014, 17, 305–330. [Google Scholar] [CrossRef]
- Nowack, B. Environmental chemistry of phosphonates. Water Res. 2003, 37, 2533–2546. [Google Scholar] [CrossRef]
- Okada, Y.; Chiba, K. Redox-Tag Processes: Intramolecular Electron Transfer and Its Broad Relationship to Redox Reactions in General. Chem. Rev. 2018, 118, 4592–4630. [Google Scholar] [CrossRef] [PubMed]
- Sun, S.; Wang, S.; Ye, Y.; Pan, B. Highly efficient removal of phosphonates from water by a combined Fe(III)/UV/co-precipitation process. Water Res. 2019, 153, 21–28. [Google Scholar] [CrossRef] [PubMed]
- Yang, Z.; Shan, C.; Pignatello, J.J.; Pan, B. Mn(II) Acceleration of the Picolinic Acid-Assisted Fenton Reaction: New Insight into the Role of Manganese in Homogeneous Fenton AOPs. Environ. Sci. Technol. 2022, 56, 6621–6630. [Google Scholar] [CrossRef] [PubMed]
- Zhang, H.; Chan, I.; Zheng, H.; Zhang, S. Integrating Fenton Oxidation and Zirconium-Based Coagulation for Deep Removal of Phosphonates from Polluted Water. ACS EST Water 2023, 3, 4033–4042. [Google Scholar] [CrossRef]
- Fang, J.; Fu, Y.; Shang, C. The Roles of Reactive Species in Micropollutant Degradation in the UV/Free Chlorine System. Environ. Sci. Technol. 2014, 48, 1859–1868. [Google Scholar] [CrossRef] [PubMed]
- Kong, X.; Jiang, J.; Ma, J.; Yang, Y.; Liu, W.; Liu, Y. Degradation of atrazine by UV/chlorine: Efficiency, influencing factors, and products. Water Res. 2016, 90, 15–23. [Google Scholar] [CrossRef]
- Yuan, F.; Hu, C.; Hu, X.; Qu, J.; Yang, M. Degradation of selected pharmaceuticals in aqueous solution with UV and UV/H2O2. Water Res. 2009, 43, 1766–1774. [Google Scholar] [CrossRef] [PubMed]
- Wan, J.; Wu, B.; Lo, I.M.C. Development of FeO/Fe3O4 composites with tunable properties facilitated by Fe2+ for phosphate removal from river water. Chem. Eng. J. 2020, 388, 124242. [Google Scholar] [CrossRef]
- Watts, M.J.; Linden, K.G. Photooxidation and subsequent biodegradability of recalcitrant tri-alkyl phosphates TCEP and TBP in water. Water Res. 2008, 42, 4949–4954. [Google Scholar] [CrossRef] [PubMed]
- Legrini, O.; Oliveros, E.; Braun, A.M. Photochemical processes for water treatment. Chem. Rev. 1993, 93, 671–698. [Google Scholar] [CrossRef]
- Wang, G.-S.; Hsieh, S.-T.; Hong, C.-S. Destruction of humic acid in water by UV light—Catalyzed oxidation with hydrogen peroxide. Water Res. 2000, 34, 3882–3887. [Google Scholar] [CrossRef]
- Bazri, M.M.; Barbeau, B.; Mohseni, M. Impact of UV/H2O2 advanced oxidation treatment on molecular weight distribution of NOM and biostability of water. Water Res. 2012, 46, 5297–5304. [Google Scholar] [CrossRef] [PubMed]
- Rosenfeldt, E.J.; Linden, K.G. The ROH, UV Concept to Characterize and the Model UV/H2O2 Process in Natural Waters. Environ. Sci. Technol. 2007, 41, 2548–2553. [Google Scholar] [CrossRef] [PubMed]
- Lei, Y.; Yu, Y.; Lei, X.; Liang, X.; Cheng, S.; Ouyang, G.; Yang, X. Assessing the Use of Probes and Quenchers for Understanding the Reactive Species in Advanced Oxidation Processes. Environ. Sci. Technol. 2023, 57, 5433–5444. [Google Scholar] [CrossRef]
- Steber, J.; Wierich, P. The anaerobic degradation of detergent range fatty alcohol ethoxylates. Studies with 14C-labelled model surfactants. Water Res. 1987, 21, 661–667. [Google Scholar] [CrossRef]
- Nowack, B.; Stone, A.T. Degradation of Nitrilotris(methylenephosphonic Acid) and Related (Amino)Phosphonate Chelating Agents in the Presence of Manganese and Molecular Oxygen. Environ. Sci. Technol. 2000, 34, 4759–4765. [Google Scholar] [CrossRef]
- Martin, P.R.; Buchner, D.; Jochmann, M.A.; Elsner, M.; Haderlein, S.B. Two Pathways Compete in the Mn(II)-Catalyzed Oxidation of Aminotrismethylene Phosphonate (ATMP). Environ. Sci. Technol. 2022, 56, 4091–4100. [Google Scholar] [CrossRef]










Disclaimer/Publisher’s Note: The statements, opinions and data contained in all publications are solely those of the individual author(s) and contributor(s) and not of MDPI and/or the editor(s). MDPI and/or the editor(s) disclaim responsibility for any injury to people or property resulting from any ideas, methods, instructions or products referred to in the content. |
© 2025 by the authors. Licensee MDPI, Basel, Switzerland. This article is an open access article distributed under the terms and conditions of the Creative Commons Attribution (CC BY) license (https://creativecommons.org/licenses/by/4.0/).
Share and Cite
Liu, W.; Qian, F.; Lei, Y.; Chen, Y.; Song, Y. Performance and Mechanism of UV/H2O2 Oxidation of Aminotris(Methylphosphonic Acid) Antiscalant of the Reverse Osmosis Concentrate. Sustainability 2025, 17, 2049. https://doi.org/10.3390/su17052049
Liu W, Qian F, Lei Y, Chen Y, Song Y. Performance and Mechanism of UV/H2O2 Oxidation of Aminotris(Methylphosphonic Acid) Antiscalant of the Reverse Osmosis Concentrate. Sustainability. 2025; 17(5):2049. https://doi.org/10.3390/su17052049
Chicago/Turabian StyleLiu, Wenfang, Feng Qian, Yaru Lei, Yihai Chen, and Yonghui Song. 2025. "Performance and Mechanism of UV/H2O2 Oxidation of Aminotris(Methylphosphonic Acid) Antiscalant of the Reverse Osmosis Concentrate" Sustainability 17, no. 5: 2049. https://doi.org/10.3390/su17052049
APA StyleLiu, W., Qian, F., Lei, Y., Chen, Y., & Song, Y. (2025). Performance and Mechanism of UV/H2O2 Oxidation of Aminotris(Methylphosphonic Acid) Antiscalant of the Reverse Osmosis Concentrate. Sustainability, 17(5), 2049. https://doi.org/10.3390/su17052049

