Robust Emergency Frequency Control with Wind Turbines via Decoupling Security Constraints and Modeling Uncertainties
Abstract
1. Introduction
- Firstly, this work proposes to quantify the impact of modeling uncertainties on WT regulation through trajectory sensitivity to find the worst cases for frequency support. Then, the original robust problem can be decoupled from the modeling uncertainties.
- For the reformulated problem without uncertainties, which retains complex characteristics, a novel systematic mixed-integer linearization method is proposed.
2. Optimization Model of Emergency Frequency Control Strategy
2.1. SFR Model Coupled with Uncertain Parameters
2.2. Constructing the Optimation Model for Robust EFC
3. Decoupling the Optimization Constraints and Modeling Uncertainties
3.1. Model Construction for Estimating the Worst Impact of Uncertain Parameters on Optimization Constraints
- (1)
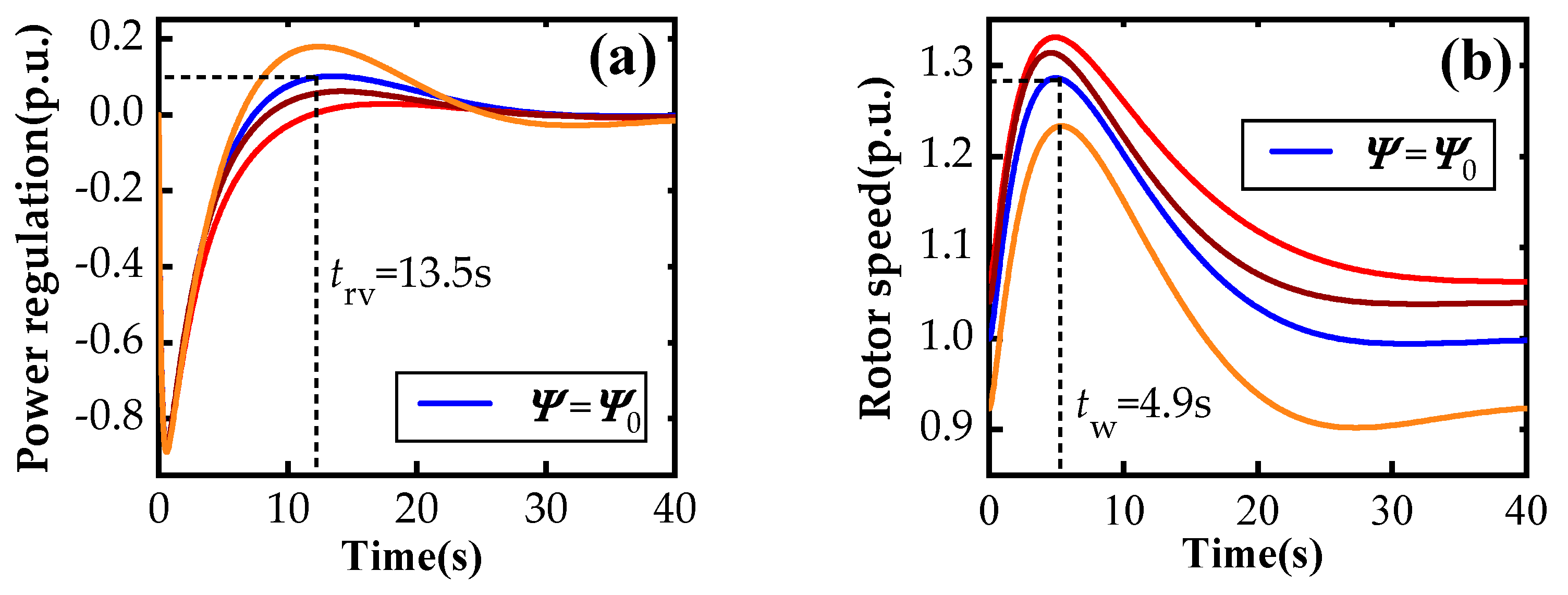
- With the known modeling results of uncertain parameters ψ0, the rotor speed peak of the WT under control order Pf is calculated to be lower than its real value, which will make us provide overly aggressive control orders during decision-making. This may compromise the security of the actual rotor speed.
- (2)
- With the given parameters ψ0, the simulated curve about the transient power output of the WT is ‘superior’ to its actual value in terms of frequency support, which will lead us to provide undersized control orders, resulting in insufficient actual power regulation, and threatening system frequency security.
3.2. Model Simplification and Solution Based on Trajectory Sensitivity Calculation
3.3. Eliminating Uncertain Model Parameters in the Original Robust Optimization Problem
4. Model Simplification by Eliminating Non-Analytical and Nonlinear Calculation
4.1. Differential Discrete Process for the Linear Structure
4.2. Mixed-Integer Linearization for Nonlinear Components
4.3. Implementation Process for the Proposed Method
5. Case Study
5.1. System Description
5.2. The Two Worst Scenarios of Controllable WTs
5.3. The Robust Emergency Frequency Control Strategy
- Case I: WTs are only allowed to be tripped;
- Case II: WTs can be tripped or regulated without considering their modeling uncertainties;
- Case III: Unlike in Case II, the uncertainties are considered during strategy formulation.
6. Conclusions
- (1)
- The proposed method has the potential to apply some controllable resources, such as wind turbines, to EFC for cost reduction.
- (2)
- Decoupling optimization constraints and modeling uncertainties by estimating the worst scenarios about WT regulation is a valid approach for reducing the complexity of robust optimization while ensuring control robustness.
- (3)
- Adopting the proposed simplification method is an efficient manner of accelerating the nonlinear and non-analytical optimization for EFC, with a time consumption within 12 s for a large regional power grid.
Author Contributions
Funding
Institutional Review Board Statement
Informed Consent Statement
Data Availability Statement
Conflicts of Interest
Appendix A
| CG | Pg0 (104 kW) | Hi (s) | CG | Pg0 (104 kW) | Hi (s) |
|---|---|---|---|---|---|
| G1 | 60.24 | 3.00 | G11 | 100.22 | 5.05 |
| G2 | 68.02 | 3.03 | G12 | 120.24 | 3.67 |
| G3 | 68.66 | 3.58 | G13 | 100.46 | 3.36 |
| G4 | 140.22 | 3.86 | G14 | 80.06 | 3.55 |
| G5 | 140.42 | 3.60 | G15 | 80.08 | 3.77 |
| G6 | 80.24 | 3.48 | G16 | 100.06 | 3.7 |
| G7 | 80.40 | 3.64 | G17 | 117.80 | 3.39 |
| G8 | 60.04 | 3.43 | G18 | 120.4 | 3 |
| G9 | 40.02 | 5.00 | G19 | 136.42 | 3 |
| G10 | 140.86 | 5.00 |
| (a) | ||||||
| WT | Pw0 (104 kW) | Hw (s) | ω0 (p.u.) | kp | ki | β0 (deg) |
| W1 | 33.05 | 3.50 | 1.02 | 2.00 | 0.30 | 0.00 |
| W2 | 40.52 | 5.03 | 0.97 | 1.91 | 0.28 | 1.12 |
| W3 | 44.80 | 4.58 | 1.00 | 2.06 | 0.29 | 0.38 |
| W4 | 58.00 | 5.86 | 0.91 | 2.03 | 0.30 | 1.02 |
| W5 | 31.05 | 3.6 | 0.96 | 1.97 | 0.27 | 0.75 |
| W6 | 40.15 | 3.48 | 0.96 | 2.04 | 0.28 | 1.34 |
| W7 | 40.00 | 9.28 | 1.02 | 1.93 | 0.32 | 1.46 |
| W8 | 56.02 | 5.43 | 0.99 | 2.03 | 0.26 | 0.82 |
| W9 | 30.30 | 5.00 | 0.94 | 1.92 | 0.31 | 0.21 |
| W10 | 46.72 | 5.00 | 0.99 | 1.96 | 0.28 | 0.39 |
| W11 | 40.10 | 5.10 | 0.96 | 2.09 | 0.28 | 1.26 |
| W12 | 50.25 | 4.63 | 0.96 | 1.91 | 0.32 | 0.38 |
| (b) | ||||||
| WT | Pw0 (104 kW) | Hw (s) | ω0 (p.u.) | kp | ki | β0 (deg) |
| W13 | 30.15 | 5.60 | 1.04 | 1.88 | 0.26 | 0.41 |
| W14 | 41.10 | 3.55 | 1.00 | 2.12 | 0.30 | 1.22 |
| W15 | 30.00 | 3.36 | 1.02 | 1.95 | 0.28 | 1.39 |
| W16 | 50.00 | 4.64 | 1.04 | 1.99 | 0.28 | 0.52 |
| W17 | 14.50 | 5.28 | 1.01 | 2.06 | 0.31 | 0.37 |
| W18 | 15.00 | 5.00 | 1.02 | 1.94 | 0.29 | 0.92 |
| W19 | 3.00 | 6.02 | 1.03 | 2.07 | 0.28 | 0.71 |
| W20 | 15.05 | 5.05 | 1.06 | 1.95 | 0.30 | 1.48 |
References
- Xu, H.; Yu, C.; Liu, C. An improved virtual inertia algorithm of virtual synchronous generator. J. Mod. Power Syst. Clean Energy 2020, 8, 377–386. [Google Scholar] [CrossRef]
- Ademola-Idowu, A.; Zhang, B. Frequency stability using MPC-based inverter power control in low-inertia power systems. IEEE Trans. Power Syst. 2021, 36, 1628–1637. [Google Scholar] [CrossRef]
- Li, H.; Zhao, C.; Wang, Z. Frequency control strategy for sending-end of hybrid cascaded UHVDC system with large-scale wind power access. Energy Rep. 2022, 8, 494–504. [Google Scholar] [CrossRef]
- Zhou, Z.; Shi, L.; Chen, Y. An optimal over-frequency generator tripping strategy for a regional power grid with a high penetration level of renewable energy. J. Mod. Power Syst. Clean Energy 2021, 9, 1007–1017. [Google Scholar] [CrossRef]
- Elyasichamazkoti, F.; Teimourzadeh, S.; Aminifar, F. Optimal distribution of power grid under-frequency load shedding with security considerations. IEEE Trans. Power Syst. 2022, 37, 4110–4112. [Google Scholar] [CrossRef]
- Xi, J.; Geng, H.; Zou, X. Decoupling scheme for virtual synchronous generator controlled wind farms participating in inertial response. J. Mod. Power Syst. Clean Energy 2021, 9, 347–355. [Google Scholar] [CrossRef]
- Chen, W.; Zheng, T.; Nian, H. Multi-objective adaptive inertia and droop control method of wind turbine generators. IEEE Trans. Ind. Appl. 2023, 59, 7789–7799. [Google Scholar] [CrossRef]
- Kheshti, M.; Lin, S.; Zhao, X. Gaussian distribution-based inertial control of wind turbine generators for fast frequency response in low inertia systems. IEEE Trans. Sustain. Energy 2022, 13, 1641–1653. [Google Scholar] [CrossRef]
- Lin, C.; Tran, K.Y.; Sadiq, T.K. Development of renewable energy resources by green finance, volatility and risk: Empirical evidence from China. Renew. Energy 2022, 201, 821–831. [Google Scholar] [CrossRef]
- Ncwane, S.; Folly, K.A. Modeling wind speed using parametric and non-parametric distribution functions. IEEE Access 2021, 9, 104501–104512. [Google Scholar] [CrossRef]
- Idriss, A.I.; Mohamed, A.A.; Akinçi, T.C. Accuracy of eight probability distribution functions for modeling wind speed data in Djibouti. Int. J. Renew. Energy Res. 2020, 10, 780–790. [Google Scholar]
- Shabanikia, N.; Nia, A.A.; Tabesh, A. Weighted dynamic aggregation modeling of induction machine-based wind farms. IEEE Trans. Sustain. Energy 2021, 12, 1604–1614. [Google Scholar] [CrossRef]
- Chen, Y. Reduced-order system frequency response modeling for the power grid integrated with the type-ii doubly-fed variable speed pumped storage units. IEEE Trans. Power Electron. 2022, 37, 10994–11006. [Google Scholar] [CrossRef]
- Liu, M.; Bizzarri, F.; Brambilla, A.M. On the impact of the dead-band of power system stabilizers and frequency regulation on power system stability. IEEE Trans. Power Syst. 2019, 34, 3977–3979. [Google Scholar] [CrossRef]
- Tian, F. Online decision-making and control of power system stability based on super-real-time simulation. CSEE J. Power Energy Syst. 2016, 2, 95–103. [Google Scholar] [CrossRef]
- Bertsimas, D.; Sim, M. The price of robustness. Oper. Res. 2004, 52, 35–53. [Google Scholar] [CrossRef]
- Lin, Z.; Wu, Q.; Chen, H. Scenarios-oriented distributionally robust optimization for energy and reserve scheduling. IEEE Trans. Power Syst. 2023, 38, 2943–2946. [Google Scholar] [CrossRef]
- Zhu, X.; Yu, Z.; Liu, X. Security constrained unit commitment with extreme wind scenarios. J. Mod. Power Syst. Clean Energy 2020, 8, 464–472. [Google Scholar] [CrossRef]
- Peña-Ordieres, A.; Molzahn, D.K.; Roald, L.A. DC optimal power flow with joint chance constraints. IEEE Trans. Power Syst. 2021, 36, 147–158. [Google Scholar] [CrossRef]
- Tang, C.; Xu, J. Look-ahead economic dispatch with adjustable confidence interval based on a truncated versatile distribution model for wind power. IEEE Trans. Power Syst. 2018, 33, 1755–1767. [Google Scholar] [CrossRef]
- Tang, W.; Hu, J.; Chang, Y. Modeling of DFIG-based wind turbine for power system transient response analysis in rotor speed control timescale. IEEE Trans. Power Syst. 2018, 33, 6795–6805. [Google Scholar] [CrossRef]
- Gu, J. A hybrid method for generator tripping. IEEE Trans. Power Syst. 2002, 17, 1102–1107. [Google Scholar]
- Dorf, R.C.; Sinha, N.K. Modern Control System; Pearson: New York, NY, USA, 2021; pp. 201–205. [Google Scholar]
- Kundur, P. Power System Stability and Control; McGraw-Hill: New York, NY, USA, 1993; pp. 135–140. [Google Scholar]
- Geng, S.; Hiskens, I.A. Second-order trajectory sensitivity analysis of hybrid systems. IEEE Trans. Circuits Syst. I Regul. Pap. 2019, 66, 1922–1934. [Google Scholar] [CrossRef]
- Liu, X.; Suo, Y.; Zhang, Z. A new model predictive current control strategy for hybrid energy storage system considering the soc of the supercapacitor. IEEE J. Emerg. Sel. Top. Power Electron. 2023, 11, 325–338. [Google Scholar] [CrossRef]
- Ding, T.; Bo, R.; Gu, W. Big-M based MIQP method for economic dispatch with disjoint prohibited zones. IEEE Trans. Power Syst. 2014, 29, 976–977. [Google Scholar] [CrossRef]
- GB_T 31464-2022; Power Grid Operation Code Requirements. China National Standardization Management Committee: Beijing, China, 2015.

















| Case | WTs (104 kW) | Cost (USD) | |
|---|---|---|---|
| Tripped | Regulated | ||
| I | 470.49 | 0 | 258,770 |
| II | 380.08 | 10.49 | 210,620 |
| III | 380.08 | 14.92 | 211,282 |
| Case | WTs Regulated and the Optimal Control Orders (p.u.) |
|---|---|
| II | W4 (−1.00), W8 (−0.49), W13 (−0.58), W19 (−0.63) |
| III | W3 (−0.47), W4 (−0.76), W6 (−0.62) W8 (−0.10), W10 (−0.49), W12 (−0.59), W19 (−0.38) |
Disclaimer/Publisher’s Note: The statements, opinions and data contained in all publications are solely those of the individual author(s) and contributor(s) and not of MDPI and/or the editor(s). MDPI and/or the editor(s) disclaim responsibility for any injury to people or property resulting from any ideas, methods, instructions or products referred to in the content. |
© 2025 by the authors. Licensee MDPI, Basel, Switzerland. This article is an open access article distributed under the terms and conditions of the Creative Commons Attribution (CC BY) license (https://creativecommons.org/licenses/by/4.0/).
Share and Cite
Xu, G.; Feng, S.; Ke, D.; Yang, H.; Liao, S.; Xu, J. Robust Emergency Frequency Control with Wind Turbines via Decoupling Security Constraints and Modeling Uncertainties. Sustainability 2025, 17, 1892. https://doi.org/10.3390/su17051892
Xu G, Feng S, Ke D, Yang H, Liao S, Xu J. Robust Emergency Frequency Control with Wind Turbines via Decoupling Security Constraints and Modeling Uncertainties. Sustainability. 2025; 17(5):1892. https://doi.org/10.3390/su17051892
Chicago/Turabian StyleXu, Guanghu, Shuaishuai Feng, Deping Ke, Huanhuan Yang, Siyang Liao, and Jian Xu. 2025. "Robust Emergency Frequency Control with Wind Turbines via Decoupling Security Constraints and Modeling Uncertainties" Sustainability 17, no. 5: 1892. https://doi.org/10.3390/su17051892
APA StyleXu, G., Feng, S., Ke, D., Yang, H., Liao, S., & Xu, J. (2025). Robust Emergency Frequency Control with Wind Turbines via Decoupling Security Constraints and Modeling Uncertainties. Sustainability, 17(5), 1892. https://doi.org/10.3390/su17051892
