Lifecycle Assessment and Lifecycle Cost Analysis of Sustainable Concrete Incorporating Recycled Aggregates
Abstract
1. Introduction
2. RCA Mixtures
2.1. Materials
2.2. Mix Design
3. Mechanical Properties of RAC with RCAs and RFAs
4. Methodology
4.1. Life Cycle Assessment
4.1.1. Goal and Scope Definition
4.1.2. Life Cycle Inventory Analysis
4.1.3. Life Cycle Impact Assessment
4.2. Life Cycle Cost Analysis
4.2.1. Goal and Scope Definition
4.2.2. Life Cycle Economic Impact Assessment
4.2.3. Sensitivity Analysis
4.3. Multi-Criteria Design Analysis
5. Results and Discussions
5.1. LCA Results and Discussions
5.1.1. Identification of Key Processes
5.1.2. Identification of Key Materials
5.2. LCCA Results and Discussions
5.3. Integrated Analysis of Mechanical Properties, LCA and LCCA Results
6. Conclusions
Author Contributions
Funding
Institutional Review Board Statement
Informed Consent Statement
Data Availability Statement
Acknowledgments
Conflicts of Interest
References
- Li, X.; Ning, S.; Zhang, P.; Yang, W. Environmental pollution and health risks of heavy metals in the soil around a construction waste landfill. Int. J. Des. Nat. Ecodyn. 2020, 15, 393–399. [Google Scholar] [CrossRef]
- Mah, C.M.; Fujiwara, T.; Ho, C.S. Life cycle assessment and life cycle costing toward eco-efficiency concrete waste management in Malaysia. J. Clean. Prod. 2018, 172, 3415–3427. [Google Scholar] [CrossRef]
- Daman, K.P.; Deepak, K.; Yasar, A. Effect of transportation of fly ash: Life cycle assessment and life cycle cost analysis of concrete. Cement Concr. Compos. 2019, 99, 214–224. [Google Scholar] [CrossRef]
- Bai, G.L.; Zhu, C.; Liu, C.; Liu, B. An evaluation of the recycled aggregate characteristics and the recycled aggregate concrete mechanical properties. Construct. Build. Mater. 2020, 240, 117978. [Google Scholar] [CrossRef]
- Lin, C.; Sun, Y.; Jiao, W.; Zheng, J.; Li, Z.; Zhang, S. Prediction of compressive strength and elastic modulus for recycled aggregate concrete based on AutoGluon. Sustainability 2023, 15, 12345. [Google Scholar] [CrossRef]
- Serres, N.; Braymand, S.; Feugeas, F. Environmental evaluation of concrete made from recycled concrete aggregate implementing life cycle assessment. J. Build. Eng. 2016, 5, 24–33. [Google Scholar] [CrossRef]
- Xing, W.; Tam, V.W.; Le, K.N.; Hao, J.L.; Wang, J. Life cycle assessment of sustainable concrete with recycled aggregate and supplementary cementitious materials. Resour. Conserv. Recycl. 2023, 193, 106947. [Google Scholar] [CrossRef]
- Guo, Z.G.; Tu, A.; Chen, C.; Lehman, D.E. Mechanical properties, durability, and life-cycle assessment of concrete building blocks incorporating recycled concrete aggregates. J. Clean. Prod. 2018, 199, 136–149. [Google Scholar] [CrossRef]
- Pavlů, T.; Kočí, V.; Hájek, P. Environmental Assessment of Two Use Cycles of Recycled Aggregate Concrete. Sustainability 2019, 11, 6185. [Google Scholar] [CrossRef]
- Younis, A.; Ebead, U.; Judd, S. Life cycle cost analysis of structural concrete using seawater, recycled concrete aggregate, and GFRP reinforcement. Construct. Build. Mater. 2018, 175, 152–160. [Google Scholar] [CrossRef]
- Han, H.S.; Golestani, B.; Park, K.; Cho, B.; Nam, B.H. Utilization of Multiple Recycled Materials in Asphalt Concrete: Mechanical Characterization and Cost–Benefit Analysis. Materials 2024, 17, 4742. [Google Scholar] [CrossRef] [PubMed]
- Silgado, S.S.; Valdiviezo, L.C.; Domingo, S.G.; Roca, X. Multi-criteria decision analysis to assess the environmental and economic performance of using recycled gypsum cement and recycled aggregate to produce concrete: The case of Catalonia (Spain). Resour. Conserv. Recycl. 2018, 133, 120–131. [Google Scholar] [CrossRef]
- Ruiz LA, L.; Ramon, X.R.; Mercedes CM, L.; Domingo, S.G. Multicriteria analysis of the environmental and economic performance of circularity strategies for concrete waste recycling in Spain. Waste Manag. 2022, 144, 387–400. [Google Scholar] [CrossRef] [PubMed]
- Sánchez-Garrido, A.J.; Navarro, I.J.; Yepes, V. Neutrosophic multi-criteria evaluation of sustainable alternatives for the structure of single-family homes. Environ. Impact Assess. Rev. 2021, 89, 106572. [Google Scholar] [CrossRef]
- Kurda, R.; Brito, J.D.; Silvestre, J.D. CONCRE Top method: Optimization of concrete with various incorporation ratios of fly ash and recycled aggregates in terms of quality performance and life-cycle cost and environmental impacts. J. Clean. Prod. 2019, 226, 642–657. [Google Scholar] [CrossRef]
- Hafez, H.; Kurda, R.; Kurda, R.; Al-Hadad, B.; Mustafa, R.; Ali, B. A Critical Review on the Influence of Fine Recycled Aggregates on Technical Performance, Environmental Impact and Cost of Concrete. Appl. Sci. 2020, 10, 1018. [Google Scholar] [CrossRef]
- Guo, Z.; Chen, C.; Lehman, D.E.; Xiao, W.; Zheng, S.; Fan, B. Mechanical and durability behaviours of concrete made with recycled coarse and fine aggregates. Eur. J. Environ. Civ. Eng. 2017, 24, 171–189. [Google Scholar] [CrossRef]
- Pallapothu SN, R.G.; Pancharathi, R.K.; Midathada, L. Integrating particle packing approach with ML techniques to optimise the compressive strength of RCA based concrete mixes. J. Build. Eng. 2024, 94, 109994. [Google Scholar] [CrossRef]
- GB/T 50081-2002; Standard for Test Method of Mechanical Properties of Ordinary Concrete. China Academy of Building Research: Beijing, China, 2002. (In Chinese)
- Chen, L.; Nouri, Y.; Allahyarsharahi, N.; Naderpour, H.; Rezazadeh Eidgahee, D.; Fakharian, P. Optimizing compressive strength prediction in eco-friendly recycled concrete via artificial intelligence models. Multiscale Multi Mod. Exp. Des. 2025, 8, 24. [Google Scholar] [CrossRef]
- Jeon, M.K.; Kim, J.; Ham, S.M.; Kim, S.; Han, A.T.; Kim, H.; Kwon, T.H. CO2 treatment of recycled concrete aggregates with high mortar contents: From finding optimal treatment condition, quality enhancement, to life cycle assessment. Construct. Build. Mater. 2024, 447, 137953. [Google Scholar] [CrossRef]
- Chen, K.; Cheng, S.; Wu, Q.; Chen, X.; Zhao, C.; Li, S.; Lu, J. Utilization of recycled fine aggregate in ultra-high performance concrete: Mechanical strength, microstructure and environment impacts. Construct. Build. Mater. 2024, 439, 137364. [Google Scholar] [CrossRef]
- Zhang, M.; Liu, X.; Kong, L. Evaluation of carbon and economic benefits of producing recycled aggregates from construction and demolition waste. J. Clean. Prod. 2023, 425, 138946. [Google Scholar] [CrossRef]
- Zhang, Y.; Luo, W.; Wang, J.; Wang, Y.; Xu, Y.; Xiao, J. A review of life cycle assessment of recycled aggregate concrete. Construct. Build. Mater. 2019, 209, 115–125. [Google Scholar] [CrossRef]
- ISO 14040; Environmental Management—Life Cycle Assessment—Principles and Framework. International Organization for Standardization: Geneva, Switzerland, 2006. Available online: https://www.iso.org/standard/37456.html (accessed on 1 December 2024).
- ISO 14044; Environmental Management—Life Cycle Assessment—Requirements and Guidelines. International Organization for Standardization: Geneva, Switzerland, 2006. Available online: https://www.iso.org/standard/38498.html (accessed on 1 December 2024).
- ISO 14041; Environmental Management—Life Cycle Assessment—Objectives and Scope Definition and Inventory Analysis. International Organization for Standardization: Geneva, Switzerland, 2006.
- Pacheco-Torgal, F.; Colangelo, F.; Tuladhar, R.; Ding, Y. (Eds.) Advances in Construction and Demolition Waste Recycling: Management, Processing and Environmental Assessment; Woodhead Publishing: Cambridge, UK, 2020. [Google Scholar]
- Balaguera, A.; Carvajal, G.I.; Albertí, J.; Fullana-i-Palmer, P. Life cycle assessment of road construction alternative materials: A literature review. Resour. Conserv. Recycl. 2018, 132, 37–48. [Google Scholar] [CrossRef]
- Gheibi, M.; Karrabi, M.; Shakerian, M.; Mirahmadi, M. Life cycle assessment of concrete production with a focus on air pollutants and the desired risk parameters using genetic algorithm. J. Environ. Health Sci. Eng. 2018, 16, 89–98. [Google Scholar] [CrossRef] [PubMed]
- CNMLCA, Material Life Cycle Assessment Database. China Centre of National Material Life Cycle Assessment (CNMLCA); Beijing University of Technology (BJUT): Beijing, China, 2010. [Google Scholar]
- CLCD, Chinese Life Cycle Database (CLCD). Integrated Knowledge for Our Environment (IKE); Sichuan University: Sichuan, China, 2012. [Google Scholar]
- ISO 14042; Environmental Management-Life Cycle Assessment–Life Cycle Assessment. International Organization for Standardization: Geneva, Switzerland, 2000.
- Illankoon, I.M.; Chethana, S.; Tam Vivian, W.Y.; Le Khoa, N.; Wang, J.Y. Life cycle costing for obtaining concrete credits in green star rating system in Australia. J. Clean. Prod. 2018, 172, 4212–4219. [Google Scholar] [CrossRef]
- Balf, F.R.; Kordkheili, M.H.; Kordkheili, A.M. A New Method for Predicting the Ingredients of Self-Compacting Concrete (SCC) Including Fly Ash (FA) Using Data Envelopment Analysis (DEA). Arab. J. Sci. Eng. 2020, 46, 4439–4460. [Google Scholar] [CrossRef]
- Sexton, T.R.; Silkman, R.H.; Hogan, A.J. Data envelopment analysis: Critique and extensions. New Directions for Program Evaluation: 1986; pp. 73–105. [CrossRef]
- Doyle, J.; Green, R. Deficiency and cross-effificiency in DEA: Derivations, meanings and uses. J. Oper. Res. Soc. 1994, 45, 567–578. [Google Scholar] [CrossRef]
- Kurda, R.; Silvestre, J.D.; Brito, J. Life cycle assessment of concrete made with high volume of recycled concrete aggregates and fly ash. Resour. Conserv. Recycl. 2018, 139, 407–417. [Google Scholar] [CrossRef]
- Kleijer, A.L.; Lasvaux, S.; Citherlet, S.; Viviani, M. Product-specific Life Cycle Assessment of ready mix concrete: Comparison between a recycled and an ordinary concrete. Resour. Conserv. Recycl. 2017, 122, 210–218. [Google Scholar] [CrossRef]












| Properties | RCA | RFA |
|---|---|---|
| Dry specific density (kg/m3) | 2627 | 2482 |
| Surface dry specific density (kg/m3) | 2748 | 2655 |
| Dry bulk density (kg/m3) | 1405 | 1482 |
| Void fraction (%) | 46.5 | 40.3 |
| Water absorption (%) | 3.8 | 5.5 |
| Fitness modulus | - | 3.1 |
| Mixture Notation | Water–Cement Ratio | Mixing Water (kg/m3) | Cement (kg/m3) | NCA (kg/m3) | RCA (kg/m3) | NFA (kg/m3) | RFA (kg/m3) | Additional Water (kg/m3) |
|---|---|---|---|---|---|---|---|---|
| 0–0 | 0.4 | 195.0 | 487.5 | 1167.9 | 0.0 | 549.6 | 0.0 | 0.0 |
| 0–30 | 1167.9 | 0.0 | 384.7 | 164.9 | 9.1 | |||
| 0–60 | 1167.9 | 0.0 | 219.8 | 329.8 | 18.1 | |||
| 0–100 | 1167.9 | 0.0 | 0.0 | 549.6 | 30.2 | |||
| 75–0 | 292.0 | 875.9 | 549.6 | 0.0 | 33.3 | |||
| 75–30 | 292.0 | 875.9 | 384.7 | 164.9 | 42.4 | |||
| 75–60 | 292.0 | 875.9 | 219.8 | 329.8 | 51.4 | |||
| 75–100 | 292.0 | 875.9 | 0.0 | 549.6 | 63.5 | |||
| 100–0 | 0.0 | 1167.9 | 549.6 | 0.0 | 44.4 | |||
| 100–30 | 0.0 | 1167.9 | 384.7 | 164.9 | 53.4 | |||
| 100–60 | 0.0 | 1167.9 | 219.8 | 329.8 | 62.5 | |||
| 100–100 | 0.0 | 1167.9 | 0.0 | 549.6 | 74.6 |
| Mixture Notation | Water–Cement Ratio | RCA (%) | RFA (%) | ƒcu,28 (MPa) |
|---|---|---|---|---|
| 0–0 | 0.4 | 0 | 0 | 38.35 |
| 0–30 | 0 | 30 | 36.91 | |
| 0–60 | 0 | 60 | 33.00 | |
| 0–100 | 0 | 100 | 31.75 | |
| 75–0 | 75 | 0 | 32.13 | |
| 75–30 | 75 | 30 | 28.11 | |
| 75–60 | 75 | 60 | 26.95 | |
| 75–100 | 75 | 100 | 26.72 | |
| 100–0 | 100 | 0 | 26.04 | |
| 100–30 | 100 | 30 | 25.22 | |
| 100–60 | 100 | 60 | 25.37 | |
| 100–100 | 100 | 100 | 22.15 |
| Serial | 0–0 | 0–30 | 0–60 | 0–100 | 75–0 | 75–30 | 75–60 | 75–100 | 100–0 | 100–30 | 100–60 | 100–100 | |
|---|---|---|---|---|---|---|---|---|---|---|---|---|---|
| Resource input | limestone | 2010 | 2010 | 2010 | 2010 | 832 | 832 | 832 | 832 | 440 | 440 | 440 | 440 |
| coal | 1110 | 1110 | 1110 | 1110 | 1110 | 1110 | 1110 | 1110 | 1110 | 1110 | 1110 | 1110 | |
| fossil oil | 416 | 416 | 415 | 415 | 411 | 411 | 410 | 410 | 409 | 409 | 409 | 408 | |
| Natural gas | 1.92 | 1.89 | 1.85 | 1.810 | 0.848 | 0.814 | 0.780 | 0.735 | 0.490 | 0.456 | 0.422 | 0.377 | |
| Emission output | NH3 | 0.0191 | 0.0191 | 0.0191 | 0.0191 | 0.0191 | 0.0191 | 0.0191 | 0.0191 | 0.0191 | 0.0191 | 0.0191 | 0.0191 |
| CO2 | 478 | 477 | 475 | 473 | 465 | 463 | 462 | 460 | 460 | 458 | 457 | 455 | |
| CO | 1.31 | 1.30 | 1.29 | 1.27 | 1.18 | 1.17 | 1.16 | 1.15 | 1.14 | 1.13 | 1.12 | 1.10 | |
| CH4 | 0.426 | 0.420 | 0.415 | 0.408 | 0.368 | 0.362 | 0.357 | 0.350 | 0.349 | 0.343 | 0.338 | 0.331 | |
| NOx | 1.57 | 1.54 | 1.52 | 1.48 | 1.27 | 1.24 | 1.21 | 1.18 | 1.17 | 1.14 | 1.11 | 1.08 | |
| SO2 | 0.64 | 0.637 | 0.635 | 0.631 | 0.627 | 0.625 | 0.622 | 0.619 | 0.623 | 0.620 | 0.618 | 0.614 | |
| NMVOC | 0.303 | 0.297 | 0.291 | 0.283 | 0.230 | 0.224 | 0.218 | 0.210 | 0.206 | 0.200 | 0.194 | 0.186 | |
| N2O | 0.00274 | 0.00267 | 0.00260 | 0.00251 | 0.00199 | 0.00193 | 0.00186 | 0.00176 | 0.00175 | 0.00168 | 0.00161 | 0.00152 | |
| PM10 | 0.0182 | 0.0176 | 0.0169 | 0.0160 | 0.0102 | 0.00953 | 0.00886 | 0.00797 | 0.00753 | 0.00686 | 0.00619 | 0.00530 |
| Environmental Impact Categories | Units | LCIA Methods |
|---|---|---|
| Global warming potential (GWP) | kg CO2–eq | CML baseline |
| Acidification potential (AP) | kg SO2–eq | CML baseline |
| Eutrophication potential (EP) | kg PO43−–eq | CML baseline |
| Photochemical ozone production potential (POCP) | kg C2H4–eq | CML baseline |
| Human toxicity potential (HTP) | kg 1,4–DCB–eq | CML baseline |
| Abiotic depletion potential (ADP) | kg Sb–eq | CML baseline |
| Raw Material | Unit Cost | Data Sources |
|---|---|---|
| Cement | 470 RMB/t | Field investigation |
| Water | 3.04 RMB/t | Internet research |
| NCA | 110 RMB/t | Field investigation |
| RCA | 66.5 RMB/t | Field investigation |
| NFA | 130 RMB/t | Field investigation |
| RFA | 54.5 RMB/t | Field investigation |
| Electricity | 0.5283 RMB/kWh | Internet research |
| Diesel | 5.12 RMB/L | Field investigation |
| 0–0 | 0–30 | 0–60 | 0–100 | 75–0 | 75–30 | 75–60 | 75–100 | 100–0 | 100–30 | 100–60 | 100–100 | |
|---|---|---|---|---|---|---|---|---|---|---|---|---|
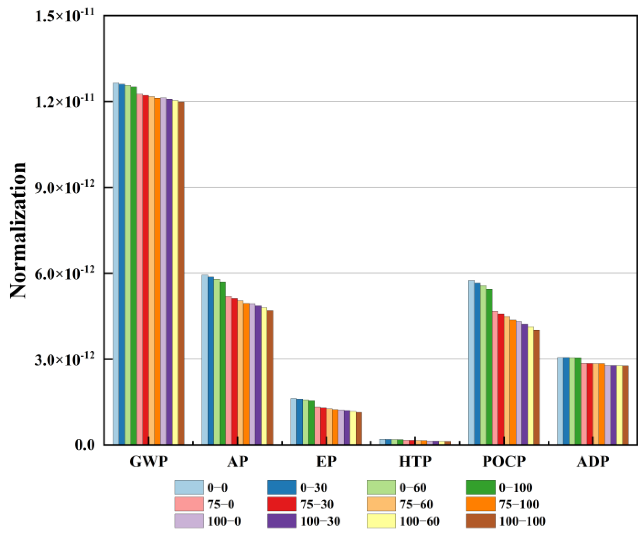
| GWP | 4.88 × 102 | 4.86 × 102 | 4.85 × 102 | 4.83 × 102 | 4.73 × 102 | 4.71 × 102 | 4.7 × 102 | 4.67 × 102 | 4.68 × 102 | 4.66 × 102 | 4.65 × 102 | 4.62 × 102 |
| AP | 1.78 | 1.75 | 1.73 | 1.70 | 1.55 | 1.53 | 1.51 | 1.48 | 1.48 | 1.45 | 1.43 | 1.40 |
| EP | 2.1 × 10−1 | 2.1 × 10−1 | 2.0 × 10−1 | 2.0 × 10−1 | 1.7 × 10−1 | 1.7 × 10−1 | 1.7 × 10−1 | 1.6 × 10−1 | 1.6 × 10−1 | 1.6 × 10−1 | 1.5 × 10−1 | 1.5 × 10−1 |
| HTP | 1.96 | 1.93 | 1.89 | 1.85 | 1.59 | 1.56 | 1.52 | 1.48 | 1.47 | 1.43 | 1.40 | 1.47 |
| POCP | 2.6 × 10−1 | 2.6 × 10−1 | 2.5 × 10−1 | 2.5 × 10−1 | 2.1 × 10−1 | 2.1 × 10−1 | 2.0 × 10−1 | 2.0 × 10−1 | 2.0 × 10−1 | 1.9 × 10−1 | 1.9 × 10−1 | 1.8 × 10−1 |
| ADP | 7 × 10−2 | 7 × 10−2 | 7 × 10−2 | 7 × 10−2 | 6 × 10−2 | 6 × 10−2 | 6 × 10−2 | 6 × 10−2 | 6 × 10−2 | 6 × 10−2 | 6 × 10−2 | 6 × 10−2 |
| 0–0 | 0–30 | 0–60 | 0–100 | 75–0 | 75–30 | 75–60 | 75–100 | 100–0 | 100–30 | 100–60 | 100–100 | |
|---|---|---|---|---|---|---|---|---|---|---|---|---|
| Material | 429.6 | 417.2 | 404.8 | 388.2 | 391.6 | 379.2 | 366.8 | 350.2 | 379.0 | 366.5 | 354.1 | 337.6 |
| Transportation | 22.25 | 21.31 | 20.38 | 19.17 | 11.04 | 10.10 | 9.17 | 7.92 | 7.30 | 6.3 | 5.43 | 4.18 |
| Equipment | 0.352 | 0.352 | 0.352 | 0.352 | 0.352 | 0.352 | 0.352 | 0.352 | 0.352 | 0.352 | 0.352 | 0.352 |
| Total | 452.2 | 438.9 | 425.5 | 407.7 | 403.0 | 389.7 | 376.3 | 358.5 | 386.6 | 373.3 | 359.9 | 342.1 |
| DMU0–0 | DMU0–30 | DMU0–60 | DMU0–100 | DMU75–0 | DMU75–30 | DMU75–60 | DMU75–100 | DMU100–0 | DMU100–30 | DMU100–60 | DMU100–100 | |
|---|---|---|---|---|---|---|---|---|---|---|---|---|
| DMU0–0 | 1.000 | 0.9916 | 0.915 | 0.918 | 0.9398 | 0.850 | 0.844 | 0.879 | 0.794 | 0.796 | 0.831 | 0.764 |
| DMU0–30 | 1.000 | 0.9992 | 0.940 | 0.954 | 1.000 | 0.932 | 0.939 | 0.984 | 0.898 | 0.912 | 0.955 | 0.918 |
| DMU0–60 | 1.000 | 0.9992 | 0.940 | 0.954 | 1.000 | 0.932 | 0.939 | 0.984 | 0.898 | 0.912 | 0.955 | 0.918 |
| DMU0–100 | 1.000 | 0.9992 | 0.940 | 0.954 | 1.000 | 0.932 | 0.939 | 0.984 | 0.898 | 0.912 | 0.955 | 0.918 |
| DMU75–0 | 0.980 | 0.9814 | 0.930 | 0.947 | 1.000 | 0.932 | 0.939 | 0.984 | 0.898 | 0.912 | 0.955 | 0.918 |
| DMU75–30 | 0.980 | 0.9814 | 0.930 | 0.947 | 1.000 | 0.941 | 0.9521 | 1.000 | 0.914 | 0.933 | 0.978 | 0.952 |
| DMU75–60 | 0.980 | 0.9814 | 0.930 | 0.947 | 1.000 | 0.941 | 0.952 | 1.000 | 0.914 | 0.933 | 0.978 | 0.952 |
| DMU75–100 | 0.887 | 0.8957 | 0.864 | 0.890 | 0.959 | 0.925 | 0.947 | 1.000 | 0.914 | 0.933 | 0.978 | 0.952 |
| DMU100–0 | 0.887 | 0.8957 | 0.864 | 0.890 | 0.959 | 0.925 | 0.947 | 1.000 | 0.920 | 0.948 | 0.997 | 1.000 |
| DMU100–30 | 0.887 | 0.8957 | 0.864 | 0.890 | 0.959 | 0.925 | 0.947 | 1.000 | 0.920 | 0.948 | 0.997 | 1.000 |
| DMU100–60 | 0.887 | 0.8957 | 0.864 | 0.890 | 0.959 | 0.925 | 0.947 | 1.000 | 0.920 | 0.948 | 0.997 | 1.000 |
| DMU100–100 | 0.538 | 0.5625 | 0.588 | 0.6315 | 0.735 | 0.769 | 0.815 | 0.876 | 0.821 | 0.869 | 0.921 | 1.000 |
Disclaimer/Publisher’s Note: The statements, opinions and data contained in all publications are solely those of the individual author(s) and contributor(s) and not of MDPI and/or the editor(s). MDPI and/or the editor(s) disclaim responsibility for any injury to people or property resulting from any ideas, methods, instructions or products referred to in the content. |
© 2025 by the authors. Licensee MDPI, Basel, Switzerland. This article is an open access article distributed under the terms and conditions of the Creative Commons Attribution (CC BY) license (https://creativecommons.org/licenses/by/4.0/).
Share and Cite
Zheng, Y.; Li, Q.; Zhou, L.; Gao, F.; Deng, Z.; Wang, J.; Guo, Z.; Ding, H. Lifecycle Assessment and Lifecycle Cost Analysis of Sustainable Concrete Incorporating Recycled Aggregates. Sustainability 2025, 17, 1779. https://doi.org/10.3390/su17051779
Zheng Y, Li Q, Zhou L, Gao F, Deng Z, Wang J, Guo Z, Ding H. Lifecycle Assessment and Lifecycle Cost Analysis of Sustainable Concrete Incorporating Recycled Aggregates. Sustainability. 2025; 17(5):1779. https://doi.org/10.3390/su17051779
Chicago/Turabian StyleZheng, Yi, Qian Li, Ling Zhou, Fei Gao, Zuiliang Deng, Jun Wang, Zhanggen Guo, and Haixia Ding. 2025. "Lifecycle Assessment and Lifecycle Cost Analysis of Sustainable Concrete Incorporating Recycled Aggregates" Sustainability 17, no. 5: 1779. https://doi.org/10.3390/su17051779
APA StyleZheng, Y., Li, Q., Zhou, L., Gao, F., Deng, Z., Wang, J., Guo, Z., & Ding, H. (2025). Lifecycle Assessment and Lifecycle Cost Analysis of Sustainable Concrete Incorporating Recycled Aggregates. Sustainability, 17(5), 1779. https://doi.org/10.3390/su17051779
