Organic Farming Is an Important Way to Achieve Low Accumulation of Heavy Metals in Soil
Abstract
1. Introduction
2. Materials and Methods
2.1. Study Area and Sampling
2.2. Soil Sample Analysis
2.3. Literature Date Collection
2.4. Ecological Risk Assessment
2.5. Data Processing
3. Results
3.1. Characteristics and Potential Ecological Risks of Heavy Metals in Soils from Organic Farms
3.2. Impact of Crop Types and Planting Years on the Soil Heavy Metals
3.3. Impact of Soil Nutrient Concentrations on Heavy Metals
3.4. Prediction and Analysis of Important Key Factors
4. Discussion
5. Conclusions
- (a)
- The PER index of the soil from organic farms in Beijing was below 40, indicating that the soil environment posed a low risk to the quality and safety of agricultural products, crop growth, or soil ecological environments. Compared with conventional agriculture, the EI for As, Hg, Cd, and Pb was also significantly lower in organic agriculture. Moreover, the soil concentrations of As, Hg, Cd, Cr, and Pb were significantly lower than those in conventional agricultural soils. However, moderate Cd risks were observed in 34.38% of the soil samples across all sampling sites, with 1.54% of sites exhibiting a high risk, which suggests Cd accumulation occurred at multiple sampling sites, thereby necessitating continued Cd accumulation risk management in the future.
- (b)
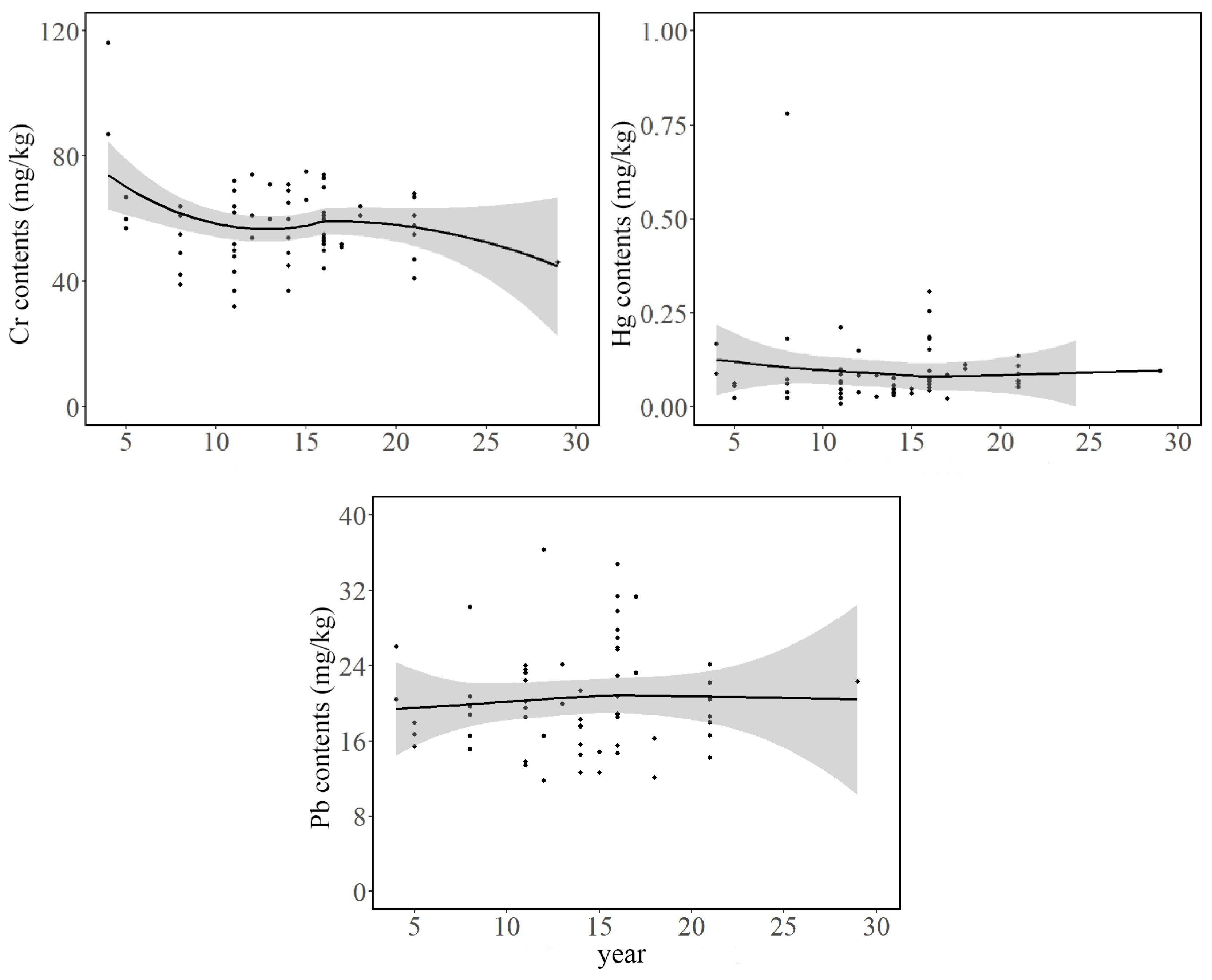
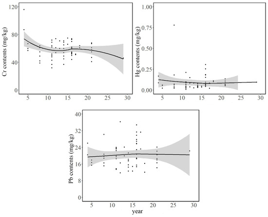
- The concentrations of As and Cd in the soil of Brassica crops were significantly higher than those of other crop types. The soil Cd and Cr concentration increased and decreased, respectively, with the increasing number of planting years. This was due to the presence of outlier data points; however, after screening out these outliers, the Cr concentration, similar to As, Hg, and Pb, did not change significantly with the increase in planting years.
- (c)
- Rather than using principal component analysis or cluster analysis as in other studies, this study employed an RF model to determine the extent to which factors influenced the soil’s heavy metal concentration. The RF model indicated that N and P had significant effects on the accumulation of As, Cd, Hg, and Pb, with P being an important and prominent factor. In summary, Beijing’s organic agriculture has an overall low ecological risk value, but there is a risk of Cd accumulation in soils with a greater number of planting years, and Cd is closely related to soil nutrients and crop types.
Supplementary Materials
Author Contributions
Funding
Institutional Review Board Statement
Informed Consent Statement
Data Availability Statement
Conflicts of Interest
References
- Scialabba, N.; Hattam, C. Organic Agriculture, Environment and Food Security; Food & Agriculture Organization: Rome, Italy, 2002. [Google Scholar]
- Saffeullah, P.; Nabi, N.; Liaqat, S.; Anjum, N.A.; Siddiqi, T.O.; Umar, S. Organic Agriculture: Principles, Current Status, and Significance. In Microbiota and Biofertilizers: A Sustainable Continuum for Plant and Soil Health; Hakeem, K.R., Dar, G.H., Mehmood, M.A., Bhat, R.A., Eds.; Springer International Publishing: Cham, Switzerland, 2021; pp. 17–37. ISBN 978-3-030-48771-3. [Google Scholar]
- Hanesch, M.; Scholger, R. Mapping of Heavy Metal Loadings in Soils by Means of Magnetic Susceptibility Measurements. Environ. Geol. 2002, 42, 857–870. [Google Scholar] [CrossRef]
- Li, Y.; Wang, G. Organic Agriculture and Sustainable Development. J. Appl. Ecol. 2004, 15, 2377–2382. [Google Scholar]
- Liu, Y.-T. Study on the Fixed Position of Applying Organic Fertilizer on Maize Fields of Dry Land. J. Maize Sci. 2003, 11, 86–88. [Google Scholar]
- Lu, D.; Zong, L.; Xiao, X.; Yang, Y.; Zhou, Z.; Xi, Y. A comparison of heavy metals concentration in soils of organic and conventional farming in typical regions of eastern China. J. Agro-Environ. Sci. 2005, 24, 143–147. (In Chinese) [Google Scholar]
- Rashmi, I.; Roy, T.; Kartika, K.S.; Pal, R.; Coumar, V.; Kala, S.; Shinoji, K.C. Organic and Inorganic Fertilizer Contaminants in Agriculture: Impact on Soil and Water Resources. In Contaminants in Agriculture; Springer: Cham, Switzerland, 2020; pp. 3–41. ISBN 978-3-030-41551-8. [Google Scholar]
- Margenat, A.; You, R.; Cañameras, N.; Carazo, N.; Díez, S.; Bayona, J.M.; Matamoros, V. Occurrence and Human Health Risk Assessment of Antibiotics and Trace Elements in Lactuca Sativa Amended with Different Organic Fertilizers. Environ. Res. 2020, 190, 109946. [Google Scholar] [CrossRef]
- Cooper, J.; Sanderson, R.; Cakmak, I.; Ozturk, L.; Shotton, P.; Carmichael, A.; Haghighi, R.S.; Tetard-Jones, C.; Volakakis, N.; Eyre, M.; et al. Effect of Organic and Conventional Crop Rotation, Fertilization, and Crop Protection Practices on Metal Concentrations in Wheat (Triticum aestivum). J. Agric. Food Chem. 2011, 59, 4715–4724. [Google Scholar] [CrossRef] [PubMed]
- Rong, L.; Li, S.T.; Wang, X.B.; Wang, M. Concentrations of Heavy Metal in Commercial Organic Fertilizers and Organic Wastes. J. Agro-Environ. Sci. 2005, 24, 392–397. [Google Scholar]
- Willer, H.; Yussefi, M.; Sahota, A.; Huber, B. The World of Organic Agriculture: Statistics and Emerging Trends; Research Institute of Organic Agriculture FiBL: Frick, Switzerland; IFOAM—Organics International: Frick and Bonn, Germany, 2007. [Google Scholar]
- Willer, H.; Trávníček, J.; Meier, C.; Schlatter, B. The World of Organic Agriculture. Statistics and Emerging Trends 2022; Willer, H., Trávníček, J., Meier, C., Schlatter, B., Eds.; Research Institute of Organic Agriculture FiBL: Frick, Switzerland; IFOAM—Organics International: Bonn, Germany, 2022; pp. 1–342. ISBN 978-3-03736-394-2. [Google Scholar]
- Hua, Y.; Huang, G. Evaluation of Ecosystem Services from Peri-Urban Organic Farms: A Case Study of Beijing. Acta Ecol. Sin. 2022, 41, 9076–9083. [Google Scholar] [CrossRef]
- Wang, L.; Cui, X.; Cheng, H.; Chen, F.; Wang, J.; Zhao, X.; Lin, C.; Pu, X. A Review of Soil Cadmium Contamination in China Including a Health Risk Assessment. Environ. Sci. Pollut. Res. 2015, 22, 16441–16452. [Google Scholar] [CrossRef]
- Li, Z.; Ma, Z.; van der Kuijp, T.J.; Yuan, Z.; Huang, L. A Review of Soil Heavy Metal Pollution from Mines in China: Pollution and Health Risk Assessment. Sci. Total Environ. 2014, 468, 843–853. [Google Scholar] [CrossRef]
- GB 15618-2018; State Environmental Protection Administration; State Bureau of Technology Supervision. Chinese Environmental Quality Standard for Soils. China Environmental Science Press: Beijing, China, 2018.
- Bulletin on the National Soil Pollution Survey Released by the Ministry of Environmental Protection and Ministry of Land and Resources_Ministry of Ecology and Environment of the People’s Republic of China. Available online: https://www.mee.gov.cn/gkml/sthjbgw/qt/201404/t20140417_270670.htm (accessed on 10 September 2024).
- Hu, W.; Cheng, W.-C.; Wang, Y.; Wen, S. Feasibility Study of Applying a Graphene Oxide-Alginate Composite Hydrogel to Electrokinetic Remediation of Cu(II)-Contaminated Loess as Electrodes. Sep. Purif. Technol. 2023, 322, 124361. [Google Scholar] [CrossRef]
- Meier, M.S.; Stoessel, F.; Jungbluth, N.; Juraske, R.; Schader, C.; Stolze, M. Environmental Impacts of Organic and Conventional Agricultural Products—Are the Differences Captured by Life Cycle Assessment? J. Environ. Manag. 2015, 149, 193–208. [Google Scholar] [CrossRef] [PubMed]
- Lori, M.; Hartmann, M.; Kundel, D.; Mayer, J.; Mueller, R.C.; Mäder, P.; Krause, H.-M. Soil Microbial Communities Are Sensitive to Differences in Fertilization Intensity in Organic and Conventional Farming Systems. FEMS Microbiol. Ecol. 2023, 99, fiad046. [Google Scholar] [CrossRef]
- GB2762-2022; National Food Safety Standard-Maximum Levels of Contaminants in Foods—Food Standards. Health Commission of Inner Mongolia Autonomous Region, Chinese: Inner Mongolia, China, 2022.
- GB/T17141-1997; Ministry of Ecology and Environment of the People’s Republic of China. Soil Quality-Determination of Lead, Cadmium-Graphite Furnace Atomic Absorption Spectrophotometry. Ministry of Ecology and Environment: Beijing, China, 1997.
- HJ491-2019; Ministry of Agriculture and Rural Affairs of the People’s Republic of China. Soil and Sediment—Determination of Copper, Zinc, Lead, Nickel and Chromium—Flame Atomic Absorption Spectrophotometry. Ministry of Ecology and Environment: Beijing, China, 2019.
- Nelson, D.W.; Sommers, L.E. Total Carbon, Organic Carbon, and Organic Matter. In Methods of Soil Analysis: Part 2 Chemical and Microbiological Properties; American Society of Agronomy, Soil Science Society of America: Madison, WI, USA, 2015; pp. 539–579. [Google Scholar] [CrossRef]
- Bremner, J.M. Determination of Nitrogen in Soil by the Kjeldahl Method. J. Agric. Sci. 1960, 55, 11–33. [Google Scholar] [CrossRef]
- Olsen, S.R.; Sommers, L.E. Phosphorus. In Methods of Soil Analysis; Agronomy Monographs; American Society of Agronomy, Soil Science Society of America: Madison, WI, USA, 1982; pp. 403–430. ISBN 978-0-89118-977-0. [Google Scholar]
- Bao, S.D. Soil and Agricultural Chemistry Analysis; China Agriculture Press: Beijing, China, 2000; pp. 355–356. [Google Scholar]
- Rayment, G.; Higginson, F. Australian Laboratory Handbook of Soil and Water Chemical Methods; Inkata Press Pty Ltd.: Melbourne, Australia, 1992. [Google Scholar]
- Hakanson, L. An Ecological Risk Index for Aquatic Pollution Control. A Sedimentological Approach. Water Res. 1980, 14, 975–1001. [Google Scholar] [CrossRef]
- Xu, Z.Q.; Ni, S.; Tuo, X.G.; Zhang, C.J. Calculation of Heavy Metal’s Toxicity Coefficient in the Evaluation of Potential Ecological Risk Index. Environ. Sci. Technol. 2008, 31, 112–115. [Google Scholar]
- Zhang, Z.; Li, J.; Mamat, Z.; Ye, Q. Sources Identification and Pollution Evaluation of Heavy Metals in the Surface Sediments of Bortala River, Northwest China. Ecotoxicol. Environ. Saf. 2016, 126, 94–101. [Google Scholar] [CrossRef]
- Genuer, R.; Poggi, J.-M.; Tuleau-Malot, C. Variable Selection Using Random Forests. Pattern Recognit. Lett. 2010, 31, 2225–2236. [Google Scholar] [CrossRef]
- Stojić, A.; Stojić, S.S.; Reljin, I.; Čabarkapa, M.; Šoštarić, A.; Perišić, M.; Mijić, Z. Comprehensive Analysis of PM10 in Belgrade Urban Area on the Basis of Long-Term Measurements. Environ. Sci. Pollut. Res. Int. 2016, 23, 10722–10732. [Google Scholar] [CrossRef]
- Wilding, L. Spatial Variability: Its Documentation, Accommodation and Implication to Soil Surveys. In Proceedings of the Soil Spatial Variability, Las Vegas, NV, USA, 2 February 1985. [Google Scholar]
- 2020 Beijing Long-Term Positioning Monitoring Report on Cultivated Land Quality. Available online: https://nyncj.beijing.gov.cn/nyj/zwgk/tzgg/11194881/index.html (accessed on 5 August 2024).
- Duan, X.C.; Li, P.; Huang, Y.; Lin, Y.; Yuan, G.L. Geochemical Characteristics and Risk Assessment of Heavy Metals in Agricultural Soils in Miyun District of Beijing. Geoscience 2018, 32, 95–104. (In Chinese) [Google Scholar]
- Jiang, R.; Lyu, Y.Z.; Shen, S.Y. Assessment of heavy metal concentration and pollution in organic and conventional farming soils in North China. Chin. J. Eco-Agric. 2015, 23, 877–885. (In Chinese) [Google Scholar]
- Wang, Y.L.; Ji, T.W.; Yu, D.H.; Xiao, M. Investigation and analysis of heavy metal concentration in soil and vegetables in part of vegetable bases in Zhejiang. Zhejiang Nongye Kexue 2020, 61, 1310–1312. (In Chinese) [Google Scholar]
- Gao, F. Analysis of quality and heavy metal concentration of organic fertilizer in Beijing. J. Beijing Univ. Agric. 2022, 37, 19–24. (In Chinese) [Google Scholar]
- Fan, Y.; Li, H.; Xue, Z.; Zhang, Q.; Cheng, F. Accumulation Characteristics and Potential Risk of Heavy Metals in Soil-Vegetable System under Greenhouse Cultivation Condition in Northern China. Ecol. Eng. 2017, 102, 367–373. [Google Scholar] [CrossRef]
- Huang, L.; Wang, Q.; Zhou, Q.; Ma, L.; Wu, Y.; Liu, Q.; Wang, S.; Feng, Y. Cadmium Uptake from Soil and Transport by Leafy Vegetables: A Meta-Analysis. Environ. Pollut. Barking Essex 1987 2020, 264, 114677. [Google Scholar] [CrossRef] [PubMed]
- An, Y.L.; Li, S.J.; Zhang, Y.W.; Wang, Y.; Cui, Y.T.; Li, H.R.; Chen, X.P.; Zhang, W. The Effect of Long-Term Application of Organic Fertilizer on the Accumulation and Migration of Heavy Metals in Vegetable Soil. J. Southwest Univ. (Nat. Sci. Ed.) 2022, 44, 41–51. (In Chinese) [Google Scholar]
- Guo, T.; Lou, C.; Zhai, W.; Tang, X.; Hashmi, M.Z.; Murtaza, R.; Li, Y.; Liu, X.; Xu, J. Increased Occurrence of Heavy Metals, Antibiotics and Resistance Genes in Surface Soil after Long-Term Application of Manure. Sci. Total Environ. 2018, 635, 995–1003. [Google Scholar] [CrossRef] [PubMed]
- Leclerc, A.; Laurent, A. Framework for Estimating Toxic Releases from the Application of Manure on Agricultural Soil: National Release Inventories for Heavy Metals in 2000–2014. Sci. Total Environ. 2017, 590, 452–460. [Google Scholar] [CrossRef]
- Xue, Y.F.; Shi, Z.Q. Characteristics of Soil Nutrient and Heavy Metal Concentration with the Different Years of Cultivation. J. Soil Water Conserv. 2011, 4, 125–130. [Google Scholar]
- Sun, L.L.; Zhang, H.L.; Chen, L.L.; Chen, Y.Y.; Liu, X.Y.; Ma, G.F. Distribution, Accumulation Characteristics, and Risk Assessment of Heavy Metals in Vegetable Soils of Varying Planting Years. Environ. Sci. 2024, 1–13. (In Chinese) [Google Scholar] [CrossRef]
- Ren, Q.; Sun, R.-L.; Zheng, K.-X.; Liu, Y.-D.; Ruan, X.; Wang, Y. Soil Properties, Heavy Metal Accumulation, and Ecological Risk in Vegetable Greenhouses of Different Planting Years. Huan Jing Ke Xue Huanjing Kexue Bian Ji Zhongguo Ke Xue Yuan Huan Jing Ke Xue Wei Yuan Hui Huan Jing Ke Xue Bian Ji Wei Yuan Hui 2022, 43, 995–1003. [Google Scholar] [CrossRef]
- Chen, Y.; Hu, W.; Huang, B.; Weindorf, D.C.; Rajan, N.; Liu, X.; Niedermann, S. Accumulation and Health Risk of Heavy Metals in Vegetables from Harmless and Organic Vegetable Production Systems of China. Ecotoxicol. Environ. Saf. 2013, 98, 324–330. [Google Scholar] [CrossRef]
- Zheng, Y.-L.; Wen, H.-H.; Cai, L.; Luo, J.; Tang, D.-Y.; Wu, M.; Li, H.; Li, D. Source Analysis and Risk Assessment of Heavy Metals in Soil of County Scale Based on PMF Model. Huan Jing Ke Xue Huanjing Kexue Bian Ji Zhongguo Ke Xue Yuan Huan Jing Ke Xue Wei Yuan Hui Huan Jing Ke Xue Bian Ji Wei Yuan Hui 2023, 44, 5242–5252. [Google Scholar] [CrossRef]
- Qi, J.; Wang, M.E.; Wu, Z.Q.L.; OuYang, Z.Y. Accumulation Characteristics of Arsenic in Suburban Soils of Beijing. Environ. Sci. 2012, 33, 2849–2854. (In Chinese) [Google Scholar]
- Dao, L.; Morrison, L.; Zhang, H.; Zhang, C. Influences of Traffic on Pb, Cu and Zn Concentrations in Roadside Soils of an Urban Park in Dublin, Ireland. Environ. Geochem. Health 2014, 36, 333–343. [Google Scholar] [CrossRef]
- Xi, Z. The Status and Changes of Organic Matter, Nitrogen, Phosphorus and Potassium under Different Soil Using Styles of Shouguang of Shangdong Province. Acta Ecol. Sin. 2009, 29, 3737–3746. [Google Scholar]
- An, L.H.; Liu, M.C.; Zhang, J.Q.; Huang, L.; Chen, Z.L. Sources of Arsenic in Soil and Affecting Factors of Migration and Release: A Review. Soil 2020, 52, 234–246. [Google Scholar]
- Knox, A.S.; Kaplan, D.I.; Paller, M.H. Phosphate Sources and Their Suitability for Remediation of Contaminated Soils. Sci. Total Environ. 2006, 357, 271–279. [Google Scholar] [CrossRef]
- Hou, Q.-H.; Ma, A.-Z.; Lv, D.; Bai, Z.-H.; Zhuang, X.-L.; Zhuang, G.-Q. The Impacts of Different Long-Term Fertilization Regimes on the Bioavailability of Arsenic in Soil: Integrating Chemical Approach with Escherichia Coli arsRp: Luc-Based Biosensor. Appl. Microbiol. Biotechnol. 2014, 98, 6137–6146. [Google Scholar] [CrossRef] [PubMed]
- Jiao, W.; Chen, W.; Chang, A.C.; Page, A.L. Environmental Risks of Trace Elements Associated with Long-Term Phosphate Fertilizers Applications: A Review. Environ. Pollut. 2012, 168, 44–53. [Google Scholar] [CrossRef] [PubMed]
- Wan, Y.; Huang, Q.; Wang, Q.; Yu, Y.; Su, D.; Qiao, Y.; Li, H. Accumulation and Bioavailability of Heavy Metals in an Acid Soil and Their Uptake by Paddy Rice under Continuous Application of Chicken and Swine Manure. J. Hazard. Mater. 2020, 384, 121293. [Google Scholar] [CrossRef]
- Li, R.; Tan, W.; Wang, G.; Zhao, X.; Dang, Q.; Yu, H.; Xi, B. Nitrogen Addition Promotes the Transformation of Heavy Metal Speciation from Bioavailable to Organic Bound by Increasing the Turnover Time of Organic Matter: An Analysis on Soil Aggregate Level. Environ. Pollut. 2019, 255, 113170. [Google Scholar] [CrossRef]
- Huang, H.; Zhou, Y.; Liu, Y.; Xiao, L.; Li, K.; Duan, J.; Wei, H. Source analysis of heavy metals in farmland based on environmental variables and random forest approach: District of Xiangzhou District in Xiangyang City. Acta Sci. Circumstantiae 2020, 40, 4548–4558. (In Chinese) [Google Scholar]







| Risk Level | Low Risk | Moderate Risk | High Risk | Very High Risk | Disastrous Risk |
|---|---|---|---|---|---|
| EI | EI < 40 | 40 ≤ EI < 80 | 80 ≤ EI < 160 | 160 ≤ EI < 320 | EI ≥ 320 |
| RI | RI < 150 | 150 ≤ RI < 300 | 300 ≤ RI < 600 | RI ≥ 600 | — |
| Metal | As | Hg | Cd | Cr | Pb | |
|---|---|---|---|---|---|---|
| Mean (mg·kg−1) | Organic | 6.88 | 0.09 | 0.15 | 58.73 | 20.35 |
| Conventional | 7.96 | 0.127 | 0.21 | 58.08 | 22.58 | |
| Median (mg·kg−1) | Organic | 6.46 | 0.067 | 0.13 | 60 | 19.5 |
| Conventional | 8.03 | 0.089 | 0.161 | 57.21 | 20.62 | |
| S.D. | Organic | 2.4 | 0.1 | 0.06 | 13.03 | 5.48 |
| Conventional | 1.39 | 0.109 | 0.263 | 8.06 | 6.64 | |
| C.V. (%) | Organic | 35.12 | 112.45 | 38.34 | 22.36 | 27.13 |
| Conventional | 17.52 | 85.9 | 125.39 | 13.86 | 28.62 | |
| Skewness | Organic | 2.1 | 4.88 | 1.28 | 1.18 | 0.85 |
| Conventional | −0.122 | 2.30 | 16.26 | 0.90 | 1.09 | |
| Kurtosis | Organic | 11.14 | 30.02 | 1.5 | 4.78 | 0.54 |
| Conventional | 1.57 | 7.27 | 302.11 | 7.131 | 1.37 | |
| Risk screening values (6.5 < pH ≤ 7.5) (mg·kg−1) | 30 | 2.4 | 0.3 | 200 | 120 | |
| Risk screening values (pH > 7.5) (mg·kg−1) | 25 | 3.4 | 0.6 | 250 | 170 | |
| Background value of soil (mg·kg−1) | 7.09 | 0.065 | 0.116 | 29.8 | 24.6 |
| SOM (g·kg−1) | TN (g·kg−1) | AP (mg·kg−1) | AK (mg·kg−1) | |
|---|---|---|---|---|
| Very high | >25 | >1.2 | >90 | >155 |
| High | 25–20 | 1.20–1.0 | 90–60 | 155–125 |
| Moderate | 20–15 | 1.00–0.80 | 60–30 | 125–100 |
| Low | 15–10 | 0.80–0.65 | 30–15 | 100–70 |
| Very low | <10 | <0.65 | <15 | <70 |
Disclaimer/Publisher’s Note: The statements, opinions and data contained in all publications are solely those of the individual author(s) and contributor(s) and not of MDPI and/or the editor(s). MDPI and/or the editor(s) disclaim responsibility for any injury to people or property resulting from any ideas, methods, instructions or products referred to in the content. |
© 2025 by the authors. Licensee MDPI, Basel, Switzerland. This article is an open access article distributed under the terms and conditions of the Creative Commons Attribution (CC BY) license (https://creativecommons.org/licenses/by/4.0/).
Share and Cite
Shen, Z.; Liu, J.; Zhang, M.; Ma, M.; Kang, L.; Liu, F.; Du, L. Organic Farming Is an Important Way to Achieve Low Accumulation of Heavy Metals in Soil. Sustainability 2025, 17, 899. https://doi.org/10.3390/su17030899
Shen Z, Liu J, Zhang M, Ma M, Kang L, Liu F, Du L. Organic Farming Is an Important Way to Achieve Low Accumulation of Heavy Metals in Soil. Sustainability. 2025; 17(3):899. https://doi.org/10.3390/su17030899
Chicago/Turabian StyleShen, Zhijie, Jing Liu, Mengmeng Zhang, Maoting Ma, Lingyun Kang, Fenwu Liu, and Lianfeng Du. 2025. "Organic Farming Is an Important Way to Achieve Low Accumulation of Heavy Metals in Soil" Sustainability 17, no. 3: 899. https://doi.org/10.3390/su17030899
APA StyleShen, Z., Liu, J., Zhang, M., Ma, M., Kang, L., Liu, F., & Du, L. (2025). Organic Farming Is an Important Way to Achieve Low Accumulation of Heavy Metals in Soil. Sustainability, 17(3), 899. https://doi.org/10.3390/su17030899

