Integrating Fish Farming into Runoff Water Harvesting Ponds (RWHP) for Sustainable Agriculture and Food Security: Farmers’ Perceptions and Opportunities in Burkina Faso
Abstract
1. Introduction
2. Materials and Methods
2.1. Study Area
2.2. Data Collection Process
2.2.1. Sampling
2.2.2. Survey Tool
2.2.3. Questionnaire Design and Administration
2.2.4. Questionnaire Administration
2.2.5. Data Processing
3. Results and Discussion
3.1. Socio-Demographic Profile of the Studied Population
3.2. Survey Theme 1: Main Perceived Obstacles and Motivations
- STQ1.1: What do you consider the greatest obstacle for using RWHPs for fish farming?
- STQ1.2: What would be your primary motivation for using RWHPs for fish farming?
- Global dataset distribution for STQ1.1 and STQ1.2
- Shapiro–Wilk and Levene tests
- Welch ANOVA test inter-strata results
- Games–Howell pairwise comparisons.
3.3. Survey Theme 2: Conditions and Environment
- STQ2.1: What do you think would better facilitate the practice of fish farming in your RWHP?
- STQ2.2: Which season would be most suitable for you to practice fish farming in your RWHP?
- Global dataset distribution for STQ2.1. and STQ2.2
- Shapiro–Wilk and Levene tests
- Welch ANOVA test inter-strata results
- Games–Howell pairwise comparison.
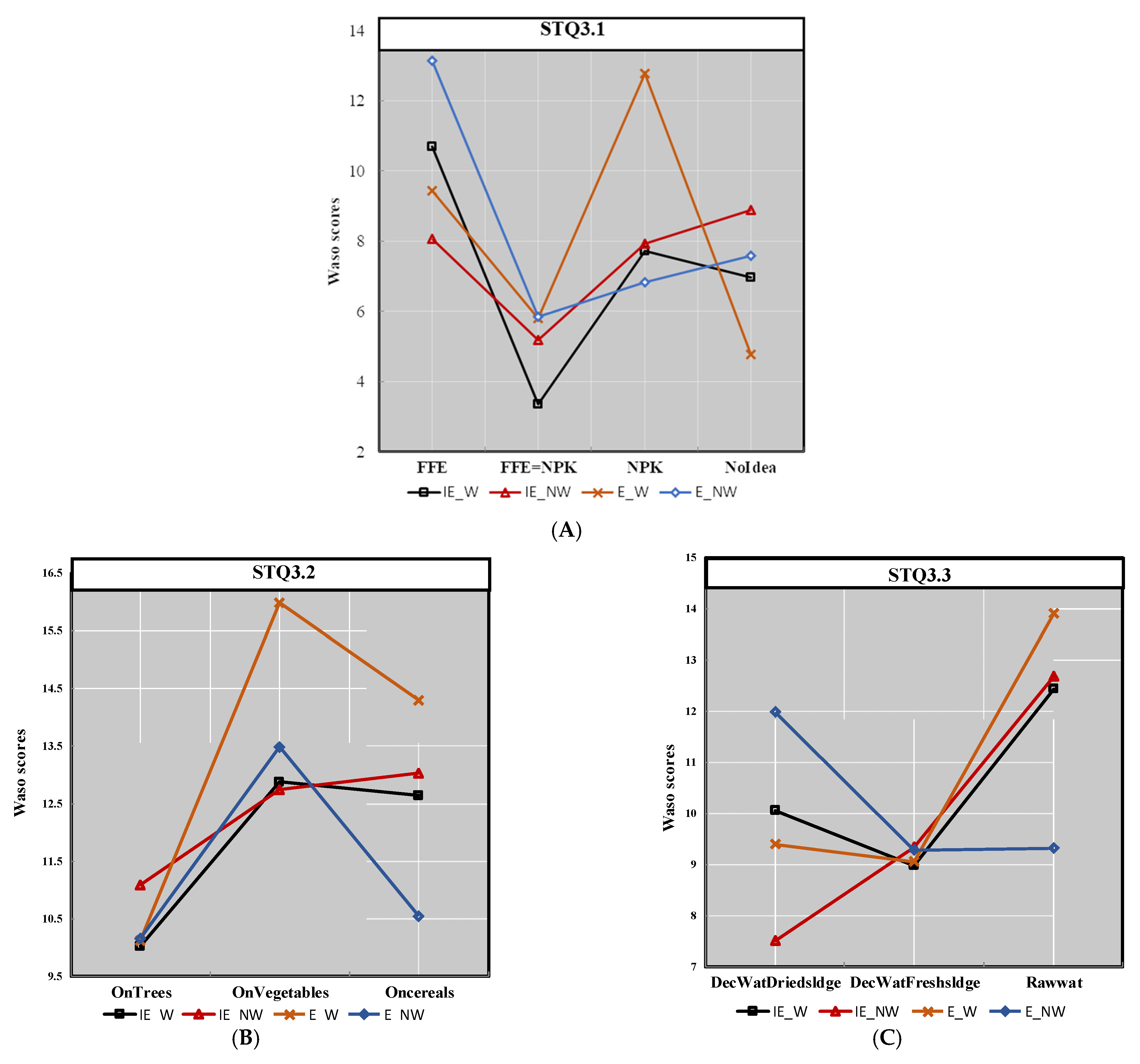
3.4. Survey Theme 3: Perception and Practical Knowledge on the Reuse of FFE in Agriculture
- STQ3.1: What is the best fertilizer between FFE and NPK?
- STQ3.2: Which application of FFE seems the best to you?
- STQ3.3: Which water quality for fish farming do you consider the best for agriculture?
- Global dataset distribution for STQ3.1, STQ3.2, and STQ3.3
Shapiro–Wilk and Levene Tests
- Welch ANOVA test inter-strata results
- Games–Howell pairwise comparison.
4. Conclusions
Author Contributions
Funding
Institutional Review Board Statement
Informed Consent Statement
Data Availability Statement
Acknowledgments
Conflicts of Interest
Appendix A. Survey Form
- 1. Survey number:
- 2. Date:
- 3. Start time:
- 4. Name of the village:
- 5. Name of the province:
| Respondent consent form |
| My name is __________ [name of investigator], and I am conducting a survey on behalf of the International Institute for Water and Environmental Engineering (2iE). As part of our research, this study focuses on the integration of aquaculture in rainwater harvesting ponds (BCER). The aim is to better understand your perceptions and experiences regarding the use of these ponds, particularly their potential role in improving food security and livelihoods in rural areas. Your participation in this survey is entirely voluntary. You are free to refuse to answer certain questions or to discontinue your participation at any time without any consequences. All information provided will remain strictly confidential and anonymous: no data allowing personal identification will be shared or published. This study is conducted for academic and scientific purposes only, and no financial or material compensation is provided. Additionally, your participation in this survey does not affect any future assistance you may receive. The questionnaire will take approximately 30 min to complete. Before starting, you are welcome to ask any questions to clarify the objectives or procedures of this survey. By completing this questionnaire, you are providing your informed and voluntary consent to participate in this study. Thank you for your valuable contribution to this research. |
- 6. Do you agree to participate in this survey? (if No, end the survey)
- Yes
- No
- 7. Gender
- Male
- No
- 8. What is your age range?
- Over 35 years
- Under 35 years
- 9. Do you have any other activities besides farming?
- Yes
- No
- If yes, please specify.
- …………………………………………………………………………………………………….
- 10. What water source do you use for your agricultural activities during the dry season?
- …………………………………………………………………………………………………….
- Part II: Waso Questionnaire
- Survey Theme 1 (ST1): Main perceived obstacles and motivations
- STQ1.1: What do you consider the greatest obstacle for using RWHPs for fish farming?
| Code | Anticipated Responses | Mark Out of 20 | Observations |
| AR_STQ1.1.1 | Insufficient water collected | ||
| AR_STQ1.1.2 | Low additional benefits: | ||
| AR_STQ1.1.3 | RWHP degradation |
- STQ1.2: What would be your primary motivation for using RWHPs for fish farming?
| Code | Anticipated Responses | Mark Out of 20 | Observations |
| AR_STQ1.2.1 | Increase in income | ||
| AR_STQ1.2.2 | Opportunity to receive training in fish farming: | ||
| AR_STQ1.2.3 | Provision of material and financial resources |
- Survey Theme 2 (ST2): Condition and Environment
- STQ2.1: What do you think would better facilitate the practice of fish farming in your RWHP?
| Code | Anticipated Responses | Mark Out of 20 | Observations |
| AR_STQ2.1.1 | Supplement of groundwater through pumping | ||
| AR_STQ2.1.2 | Perfect lining | ||
| AR_STQ2.1.3 | Practical training and tips |
- STQ2.2: Which season would be most suitable for you to practice fish farming in your RWHP?
| Code | Anticipated Responses | Mark Out of 20 | Observations |
| AR_STQ2.1.1 | Rainy season | ||
| AR_STQ2.1.2 | Dry season, provided there is a water source | ||
| AR_STQ2.1.3 | Any season |
- Survey Theme 3 (ST3): Perception and practical knowledge on the reuse of fish farming effluent (FFE) in agriculture
- STQ3.1: What is the best fertilizer between FFE and NPK?
| Code | Anticipated Responses | Mark Out of 20 | Observations |
| AR_STQ3.1.1 | FFE is better | ||
| AR_STQ3.1.2 | NPK is better | ||
| AR_STQ3.1.3 | FFE = NPK | ||
| AR_STQ3.1.4 | I have no idea |
- STQ3.2: Which application of FFE seems the best to you?
| Code | Anticipated Responses | Mark Out of 20 | Observations |
| AR_STQ3.2.1 | On trees | ||
| AR_STQ3.2.2 | On cereals | ||
| AR_STQ3.2.3 | On vegetable crops |
- STQ3.3: Which water quality for fish farming do you consider the best for agriculture?
| Code | Anticipated Responses | Mark Out of 20 | Observations |
| AR_STQ3.3.1 | Raw water | ||
| AR_STQ3.3.2 | Decanted water, then dried sludge | ||
| AR_STQ3.3.3 | Decanted water, then fresh sludge |
References
- Kolding, J.; van Zwieten, P.A.; Marttin, F.; Poulain, F. Fisheries in the Drylands of Sub-Saharan Africa– “Fish Come with the Rains”. Building Resilience for Fisheries-Dependent Livelihoods to Enhance Food Security and Nutrition in the Drylands; Food and Agriculture Organization of the United Nations (FAO): Roma, Italy, 2016. [Google Scholar]
- Huang, C.; Rice, J.; Richter, A.; Zhou, K.; Wang, Y.; Wei, C.; Pagani-Núñez, E.; Maleko, P.; Zhang, X.; Lee, T.; et al. Effects of Fishery Bycatch-Mitigation Measures on Vulnerable Marine Fauna and Target Catch. Nat. Sustain. 2024, 7, 1535–1545. [Google Scholar] [CrossRef]
- Land Degradation & Development|Environmental & Soil Science Journal|Wiley Online Journal. Available online: https://onlinelibrary.wiley.com/doi/abs/10.1002/ldr.4798 (accessed on 13 December 2024).
- FAO; IFAD; UNICEF; WFP; WHO. The State of Food Security and Nutrition in the World 2023: Urbanization, Agrifood Systems Transformation, and Healthy Diets Across the Rural-Urban Continuum; FAO: Roma, Italy, 2023. [Google Scholar] [CrossRef]
- FAO. The State of the World’s Land and Water Resources for Food and Agriculture–Systems at Breaking Point; Main Report; FAO: Rome, Italy, 2022. [Google Scholar] [CrossRef]
- Nations Unies, Département des Affaires Economiques et Sociales, Division de la Population World Population Prospects: Summary of Results. 2024. Available online: https://population.un.org/wpp/ (accessed on 20 November 2024).
- Chen, B.; Han, M.Y.; Peng, K.; Zhou, S.L.; Shao, L.; Wu, X.F.; Wei, W.D.; Liu, S.Y.; Li, Z.; Li, J.S.; et al. Global Land-Water Nexus: Agricultural Land and Freshwater Use Embodied in Worldwide Supply Chains. Sci. Total Environ. 2018, 613–614, 931–943. [Google Scholar] [CrossRef]
- The United Nations World Water Development Report 2024: Water for Prosperity and Peace|UN World Water Development Report. Available online: https://www.unesco.org/en/articles/united-nations-world-water-development-report-2024-water-prosperity-and-peace (accessed on 11 November 2024).
- Albrecht, T.R.; Crootof, A.; Scott, C.A. The Water-Energy-Food Nexus: A Systematic Review of Methods for Nexus Assessment. Environ. Res. Lett. 2018, 13, 043002. [Google Scholar] [CrossRef]
- de Sá Silva, A.C.R.; Bimbato, A.M.; Balestieri, J.A.P.; Vilanova, M.R.N. Exploring Environmental, Economic and Social Aspects of Rainwater Harvesting Systems: A Review. Sustain. Cities Soc. 2022, 76, 103475. [Google Scholar] [CrossRef]
- Doost, Z.H.; Alsuwaiyan, M.; Yaseen, Z. Runoff Management Based Water Harvesting for Better Water Resources Sustainability: A Comprehensive Review. Knowl.-Based Eng. Sci. 2024, 5, 1–45. [Google Scholar] [CrossRef]
- Umukiza, E.; Ntole, R.; Chikabvumbwa, S.; Bwambale, E.; Sibale, D.; Jeremaiho, Z.; Apollonio, C.; Petroselli, A. Rainwater Harvesting in Arid and Semi-Arid Lands of Africa: Challenges and Opportunities. Acta Sci. Pol. Form. Circumiectus 2023, 22, 41–52. [Google Scholar] [CrossRef]
- Zongo, B.; Diarra, A.; Barbier, B.; Zorom, M.; Karambiri, H.; Ouédraogo, S.; Toé, P.; Hamma, Y.; Dogot, T. Évaluation ex ante de l’irrigation de complément dans un contexte sahélien: Couplage d’un modèle biophysique à un modèle économique d’exploitation agricole. Biotechnol. Agron. Soc. Environ. 2019, 23, 174–187. [Google Scholar] [CrossRef]
- Ahmed, N.; Garnett, S. Integrated Rice-Fish Farming in Bangladesh: Meeting the Challenges of Food Security. Food Secur. 2011, 3, 81–92. [Google Scholar] [CrossRef]
- Fox, P.; Rockström, J. Water-Harvesting for Supplementary Irrigation of Cereal Crops to Overcome Intra-Seasonal Dry-Spells in the Sahel. Phys. Chem. Earth Part B Hydrol. Oceans Atmos. 2000, 25, 289–296. [Google Scholar] [CrossRef]
- Eid, A.R.; Hoballah, E.M.; Mosa, S.E.A. Sustainable Mangement of Drainage Water of Fish Farms in Agriculture as a New Source for Irrigation and Bio-Source for Fertilizing. Agric. Sci. 2014, 5, 730. [Google Scholar] [CrossRef]
- Brod, E.; Oppen, J.; Kristoffersen, A.; Haraldsen, T.; Krogstad, T. Drying or Anaerobic Digestion of Fish Sludge: Nitrogen Fertilisation Effects and Logistics. AMBIO J. Hum. Environ. 2017, 46, 852–864. [Google Scholar] [CrossRef]
- Fruscella, L.; Kotzen, B.; Paradelo, M.; Milliken, S. Investigating the Effects of Fish Effluents as Organic Fertilisers on Onion (Allium cepa) Yield, Soil Nutrients, and Soil Microbiome. Sci. Hortic. 2023, 321, 112297. [Google Scholar] [CrossRef]
- Sathoria, P.; Roy, B. Sustainable food production through integrated rice-fish farming in India: A brief review. Renew. Agric. Food Syst. 2022, 37, 527–535. [Google Scholar] [CrossRef]
- Deb, A.; Greeshma, U.; Navya, M.V.; Jose, M. Integrated Farming Systems for Marginal Farmers. In Modern Concepts in Agriculture; Integrated Publications: Delhi, India, 2023; pp. 77–97. ISBN 978-93-951186-1-3. [Google Scholar] [CrossRef]
- Chandra, G.; Chaudhary, P.; Kumar, M. Integrated Fish Farming System: A Way towards Sustainability and Prosperity of Farmers. Ecol. Environ. Conserv. 2023, 29, 432–434. [Google Scholar] [CrossRef]
- Van Tung, T.; Phuong Thao, N.T.; Vi, L.Q.; Hieu, T.T.; Le Thanh, S.; Braunegg, S.; Braunegg, G.; Schnitzer, H.; Hai, L.T. Waste Treatment and Soil Cultivation in a Zero Emission Integrated System for Catfish Farming in Mekong Delta, Vietnam. J. Clean. Prod. 2021, 288, 125553. [Google Scholar] [CrossRef]
- Corner, R.; Fersoy, H.; Crespi, V. Integrated Agri-Aquaculture in Desert and Arid Lands: Learning from Case Studies from Algeria, Egypt and Oman; Fish Aquacult Circular No. 1195; FAO: Cairo, Egypt, 2020; Available online: https://www.fao.org/3/ca7864en/CA7864EN.pdf (accessed on 4 October 2024).
- Hasimuna, O.J.; Maulu, S.; Nawanzi, K.; Lundu, B.; Mphande, J.; Phiri, C.J.; Kikamba, E.; Siankwilimba, E.; Siavwapa, S.; Chibesa, M. Integrated Agriculture-Aquaculture as an Alternative to Improving Small-Scale Fish Production in Zambia. Front. Sustain. Food Syst. 2023, 7, 1161121. [Google Scholar] [CrossRef]
- Muhie, S.H. Novel Approaches and Practices to Sustainable Agriculture. J. Agric. Food Res. 2022, 10, 100446. [Google Scholar] [CrossRef]
- Pedrosa, T.D.; Batista, R.O.; Dombroski, S.A.G.; de Medeiros, J.F.; de Oliveira, P.V.C.; de Melo, R.R.; Portela, J.C. Use of Aquaculture Wastewater in the Cultivation of Cactus Pear as an Alternative for Semi-Arid Regions. Discov. Appl. Sci. 2024, 6, 249. [Google Scholar] [CrossRef]
- Laktuka, K.; Kalnbalkite, A.; Sniega, L.; Logins, K.; Lauka, D. Towards the Sustainable Intensification of Aquaculture: Exploring Possible Ways Forward. Sustainability 2023, 15, 16952. [Google Scholar] [CrossRef]
- Campanati, C.; Willer, D.; Schubert, J.; Aldridge, D.C. Sustainable Intensification of Aquaculture through Nutrient Recycling and Circular Economies: More Fish, Less Waste, Blue Growth. Rev. Fish. Sci. Aquac. 2022, 30, 143–169. [Google Scholar] [CrossRef]
- Halwart, M.; Soto, D.; Arthur, J.R. (Eds.) Aquaculture en Cage—Études Régionales et Aperçu Mondial; FAO Document Technique sur les Pêches; No. 498; FAO: Rome, Italy, 2009; 259p, ISBN 978-92-5-205801-4. Available online: https://openknowledge.fao.org/handle/20.500.14283/a1290f (accessed on 12 August 2024).
- Kabré, A.T. Étude de cas D’intégration Irrigation et Aquaculture (IIA) à la Vallée du Kou et au Périmètre Irrigué de Bagré, Burkina Faso; Fisheries and Aquaculture Economics and Policy Division, FAO: Rome, Italy, 2000; Available online: http://www.fao.org/3/a-ak507f.pdf (accessed on 10 November 2024).
- Lancement de Trois Sites Pilotes de Pisciculture Intégrée au Burkina Faso-TCP/BKF/3501. 2019. Available online: https://openknowledge.fao.org/items/3b13bbba-9a9e-4958-841b-4120cc14f96f (accessed on 19 November 2024).
- Soré, Z. Burkina Faso: L’élevage de Poissons à Domicile. Fondazione Aurora. 2023. Available online: https://www.fondazioneaurora.org/burkina-faso-lelevage-de-poissons-a-domicile/ (accessed on 19 November 2024).
- Directorate of Agriculture and Rural Development, ECOWAS Commission. Fishery and Aquaculture: Statistical Factsheets of the ECOWAS Member Countries; ECOWAS Commission: Abuja, Nigeria, 2020; Factsheet N°1/2020-1: Fish in ECOWAS; Available online: https://ecowap.ecowas.int/media/ecowap/file_document/2020_Statistical_factsheets_on_fishery_and_aquaculture_in_West_Africa_EN.pdf (accessed on 10 November 2024).
- Panwar, P.; Machiwal, D.; Kumari, V.; Kumar, S.; Dogra, P.; Manivannan, S.; Bhatnagar, P.R.; Tomar, J.M.S.; Kaushal, R.; Jinger, D.; et al. Sustainable Water Harvesting for Improving Food Security and Livelihoods of Smallholders under Different Climatic Conditions of India. Sustainability 2023, 15, 9230. [Google Scholar] [CrossRef]
- Kumaran, M.; Ghoshal, T.K.; De, D.; Biswas, G.; Raja, R.A.; Anand, P.S.; Panigrahi, A.; Vijayan, K.K. Aquaculture-Based Production Systems for the Livelihood Security of Coastal Farm Families in the Risk-Prone Agro-Ecosystem of India: An Appraisal. Aquac. Int. 2020, 28, 805–814. [Google Scholar] [CrossRef]
- Mishra, A.; James, B.K.; Mohanty, R.K.; Anand, P.S.B. Conservation and Efficient Utilization of Rainwater in the Rainfed Shallow Lowland Paddy Fields of Eastern India. Paddy Water Environ. 2014, 12, 25–34. [Google Scholar] [CrossRef]
- Das, A.; Munda, G.C.; Azad Thakur, N.S.; Yadav, R.K.; Ghosh, P.K.; Ngachan, S.V.; Bujarbaruah, K.M.; Lal, B.; Das, S.K.; Mahapatra, B.K.; et al. Rainwater harvesting and integrated development of agri-horti-livestock-cumpisciculture in high altitudes for livelihood of Tribal farmers. Indian J. Agric. Sci. 2014, 84, 643–649. [Google Scholar] [CrossRef]
- Tariqul Islam, M.; Mohabbat Ullah, M.; Mostofa Amin, M.G.; Hossain, S. Rainwater Harvesting Potential for Farming System Development in a Hilly Watershed of Bangladesh. Appl. Water Sci. 2017, 7, 2523–2532. [Google Scholar] [CrossRef]
- Boyd, C.E.; McNevin, A.A.; Davis, R.P. The Contribution of Fisheries and Aquaculture to the Global Protein Supply. Food Secur. 2022, 14, 805–827. [Google Scholar] [CrossRef]
- Tientiga, I.G.O.; Zoundi, M.; Bonkungou, J. Environmental and socio-economic impacts of ecological runoff water collection basins (BCERs) in supplementary irrigation: The case of the BEOG PUUTO project intervention area. Int. J. Innov. Appl. Stud. 2024, 43, 513–541. Available online: https://ijias.issr-journals.org/abstract.php?article=IJIAS-24-184-16 (accessed on 10 November 2024).
- Sanogo, M.; Yonaba, R.; Lawane, A.; Zorom, M.; Tassembédo, F.; Ali Sahad, H.; Bazié, I. Do Runoff Water Harvesting Ponds Affect Farmers Cropping Choices? Insights from Smallholders in the West African Sahel. Sustainability 2024, 16, 8000. [Google Scholar] [CrossRef]
- Lèye, B.; Zouré, C.O.; Yonaba, R.; Karambiri, H. Water Resources in the Sahel and Adaptation of Agriculture to Climate Change: Burkina Faso. In Climate Change and Water Resources in Africa: Perspectives and Solutions Towards an Imminent Water Crisis; Diop, S., Scheren, P., Niang, A., Eds.; Springer International Publishing: Cham, Switzerland, 2021; pp. 309–331. ISBN 978-3-030-61225-2. [Google Scholar]
- El Bilali, H. Climate Change and Agriculture in Burkina Faso. J. Arid. Agric. 2021, 7, 22–47. [Google Scholar] [CrossRef]
- Barbier, B.; Zongo, B.; Dugué, P.; Zangré, A. L’irrigation de Complément à Partir de Petits Bassins Individuels: Synthèse des Travaux Réalisés au Burkina Faso. Agridape 2015, 31, 9–11. Available online: https://agritrop.cirad.fr/579115/ (accessed on 1 November 2024).
- Kaboré, T.; Keita, A.; Abdou, L.; Niang, D.; Boubé, B. Analysis of Farmers’ Perceptions on Sealing Techniques for Runoff Harvesting Ponds: A Case Study from Burkina Faso. Resources 2024, 13, 144. [Google Scholar] [CrossRef]
- Zongo, B.; Barbier, B.; Diarra, A.; Zorom, M.; Atewamba, C.; Combary, O.S.; Ouédraogo, S.; Toé, P.; Hamma, Y.; Dogot, T. Economic Analysis and Food Security Contribution of Supplemental Irrigation and Farm Ponds: Evidence from Northern Burkina Faso. Agric. Food Secur. 2022, 11, 4. [Google Scholar] [CrossRef]
- Keïta, A.; Koïta, M.; Niang, D.; Lidon, B. Waso: An Innovative Device to Uncover Independent Converging Opinions of Irrigation System Farmers. Irrig. Drain. 2019, 68, 496–506. [Google Scholar] [CrossRef]
- Lohr, S.L. Sampling: Design and Analysis, 3rd ed.; Chapman and Hall/CRC: New York, NY, USA, 2021; ISBN 978-0-429-29889-9. [Google Scholar]
- Dussaix, A.-M. La Qualité Dans les Enquêtes. 2009. Available online: https://www.rocq.inria.fr/axis/modulad/archives/numero-39/Tutoriel-Dussaix/Dussaix-39.pdf (accessed on 19 November 2024).
- Idrissa Abdoulaye Tinder to the Fire: Burkina Faso in the Conflict Zone. Available online: https://typeset.io/papers/tinder-to-the-fire-burkina-faso-in-the-conflict-zone-1myapkhgpf (accessed on 13 November 2024).
- Institute for Peace and Security Studies Burkina Faso Conflict Insight. 2020. Available online: https://ipss-addis.org/wp-content/uploads/2020/03/Burkina-Faso-Conflict-Insights-vol-1-Conflict-Insight-and-Analysis_342020.pdf (accessed on 19 November 2024).
- Mensa, A.; Sarpong, C.; Kubi, F.; Donkor, O. Akan Traditional Games: An Indispensable Tool in Ghanaian Language Classroom in Respect to Classroom Interaction. Integr. J. Res. Arts Humanit. 2023, 3, 69–75. [Google Scholar] [CrossRef]
- León, S.P.; Carcelén Fraile, M.D.C.; García-Martínez, I. Development of Cognitive Abilities through the Abacus in Primary Education Students: A Randomized Controlled Clinical Trial. Educ. Sci. 2021, 11, 83. [Google Scholar] [CrossRef]
- Mkondiwa, M. Mancala Board Games and Origins of Entrepreneurship in Africa. PLoS ONE 2020, 15, e0240790. [Google Scholar] [CrossRef] [PubMed]
- Keïta, A. WASO: Les Quatre Opérations Maîtrisées. 2016. Available online: https://www.youtube.com/watch?v=fAReVRV153c (accessed on 19 November 2024).
- Nyumba, T.; Wilson, K.; Derrick, C.J.; Mukherjee, N. The Use of Focus Group Discussion Methodology: Insights from Two Decades of Application in Conservation. Methods Ecol. Evol. 2018, 9, 20–32. [Google Scholar] [CrossRef]
- Onwuegbuzie, A.J.; Dickinson, W.B.; Leech, N.L.; Zoran, A.G. A Qualitative Framework for Collecting and Analyzing Data in Focus Group Research. Int. J. Qual. Methods 2009, 8, 1–21. [Google Scholar] [CrossRef]
- Hirmer, S.; Leonard, A.; Tumwesige, J.; Conforti, C. Building Representative Corpora from Illiterate Communities: A Review of Challenges and Mitigation Strategies for Developing Countries. In Proceedings of the 16th Conference of the European Chapter of the Association for Computational Linguistics: Main Volume, Online, 19–23 April 2021; Merlo, P., Tiedemann, J., Tsarfaty, R., Eds.; Association for Computational Linguistics: Stroudsburg, PA, USA, 2021; pp. 2176–2189. [Google Scholar] [CrossRef]
- Squires, A.; Sadarangani, T.; Jones, S. Strategies for Overcoming Language Barriers in Research. J. Adv. Nurs. 2020, 76, 706–714. [Google Scholar] [CrossRef]
- INSD. Enquête Régionale Intégrée Sur L’emploi et Le Secteur Informel 2018: Rapport Final; Institut Nationale de la Statistique et de la Démographie et AFRISTAT: Ouagadougou, Burkina Faso et Bamako, Mali.; Institut Nationale de la Statistique et de la Démographie et AFRISTAT. Available online: https://www.insd.bf/sites/default/files/2022-09/Burkina_ERI-ESI_RapportFinal.pdf (accessed on 12 August 2024).
- Baki, B.C.; Wellens, J.; Tychon, B. Nexus Eau-(Energie)-Alimentation: Implémentation d’un Dispositif Innovant Pour L’implication des Agriculteur; Présenté à un Colloque International « Changements Globaux et Gestion de la Transition: Au Singulier ou au Pluriel ? », 20–21 October 2022; Schmitz, S., Ed.; Institut de géographie Quartier Village Clos Mercator, 3 (B11) 4000: Liège, Belgique: Liège, Belgium. 2022; Available online: https://orbi.uliege.be/handle/2268/300600 (accessed on 20 October 2024).
- Connor Desai, S.; Reimers, S. Comparing the Use of Open and Closed Questions for Web-Based Measures of the Continued-Influence Effect. Behav. Res. Methods 2019, 51, 1426–1440. [Google Scholar] [CrossRef] [PubMed]
- Hansen, K.; Świderska, A. Integrating Open- and Closed-Ended Questions on Attitudes towards Outgroups with Different Methods of Text Analysis. Behav. Res. Methods 2023, 56, 4802–4822. [Google Scholar] [CrossRef]
- Mathews, P.; St, C. Design of Experiments with MINITAB; ASQ: Milwaukee, WI, USA, 2022; ISBN 978-0-87389-637-5. Available online: https://books.google.com/books/about/Design_of_Experiments_with_MINITAB.html?id=69mQpLoKXuUC (accessed on 4 May 2024).
- Gilleland, E. Bootstrap Methods for Statistical Inference. Part I: Comparative Forecast Verification for Continuous Variables. J. Atmos. Ocean. Technol. 2020, 37, 2117–2134. [Google Scholar] [CrossRef]
- Kostanek, J.; Karolczak, K.; Kuliczkowski, W.; Watala, C. Bootstrap Method as a Tool for Analyzing Data with Atypical Distributions Deviating from Parametric Assumptions: Critique and Effectiveness Evaluation. Data 2024, 9, 95. [Google Scholar] [CrossRef]
- Mageto, T.; Motubwa, J. Bootstrap Confidence Interval for Model Based Sampling. Am. J. Theor. Appl. Stat. 2018, 7, 147–155. [Google Scholar] [CrossRef]
- Beaumont, J.-F.; Émond, N. A Bootstrap Variance Estimation Method for Multistage Sampling and Two-Phase Sampling When Poisson Sampling Is Used at the Second Phase. Stats 2022, 5, 339–357. [Google Scholar] [CrossRef]
- Aslam, M. Analysing Gray Cast Iron Data Using a New Shapiro-Wilks Test for Normality under Indeterminacy. Int. J. Cast Met. Res. 2021, 34, 1–5. [Google Scholar] [CrossRef]
- Wyłomańska, A.; Iskander, D.R.; Burnecki, K. Omnibus Test for Normality Based on the Edgeworth Expansion. PLoS ONE 2020, 15, e0233901. [Google Scholar] [CrossRef]
- Pallmann, P.; Hothorn, L.A.; Djira, G.D. A Levene-Type Test of Homogeneity of Variances against Ordered Alternatives. Comput. Stat. 2014, 29, 1593–1608. [Google Scholar] [CrossRef]
- Delacre, M.; Leys, C.; Mora, Y.L.; Lakens, D. Taking Parametric Assumptions Seriously: Arguments for the Use of Welch’s F-Test Instead of the Classical F-Test in One-Way ANOVA. Int. Rev. Soc. Psychol. 2019, 32, 13. [Google Scholar] [CrossRef]
- Jan, S.-L.; Shieh, G. On the Extended Welch Test for Assessing Equivalence of Standardized Means. Stat. Biopharm. Res. 2020, 12, 344–351. [Google Scholar] [CrossRef]
- Games, P.A.; Howell, J.F. Pairwise Multiple Comparison Procedures with Unequal N’s and/or Variances: A Monte Carlo Study. J. Educ. Stat. 1976, 1, 113–125. [Google Scholar] [CrossRef]
- Ramsey, P.H.; Ramsey, P.P. Power and Type I Errors for Pairwise Comparisons of Means in the Unequal Variances Case. Br. J. Math. Stat. Psychol. 2009, 62, 263–281. [Google Scholar] [CrossRef] [PubMed]
- Cozzi, D.; Albanesi, M.; Cavigli, E.; Moroni, C.; Bindi, A.; Luvarà, S.; Lucarini, S.; Busoni, S.; Mazzoni, L.N.; Miele, V. Chest X-Ray in New Coronavirus Disease 2019 (COVID-19) Infection: Findings and Correlation with Clinical Outcome. Radiol. Med. 2020, 125, 730–737. [Google Scholar] [CrossRef] [PubMed]
- Peterson, S.J.; Foley, S. Clinician’s Guide to Understanding Effect Size, Alpha Level, Power, and Sample Size. Nutr. Clin. Pract. 2021, 36, 598–605. [Google Scholar] [CrossRef] [PubMed]
- Environmental Systems Research Institute (ESRI) ArcGIS Desktop: Release 10.6.1. 2018. Available online: https://support.esri.com/en-us/patches-updates/2018/arcgis-desktop-engine-server-10-6-1-geoprocessing-servi-7639 (accessed on 19 November 2024).
- Addinsoft XLSTAT Statistical Software: Version 2019. 2019. Available online: https://www.xlstat.com/en/ (accessed on 19 November 2024).
- Angermayr, G.; Palacio, A.; Chaminade, C. Small-Scale Freshwater Aquaculture, Income Generation and Food Security in Rural Madagascar. Sustainability 2023, 15, 15439. [Google Scholar] [CrossRef]
- Lopez, D.E.; Frelat, R.; Badstue, L.B. Towards Gender-Inclusive Innovation: Assessing Local Conditions for Agricultural Targeting. PLoS ONE 2022, 17, e0263771. [Google Scholar] [CrossRef]
- Chambon, M.; Ziveri, P.; Alvarez Fernandez, S.; Chevallier, A.; Dupont, J.; Ngunu Wandiga, J.; Wambiji, N.; Reyes-Garcia, V. The Gendered Dimensions of Small-Scale Fishing Activities: A Case Study from Coastal Kenya. Ocean Coast. Manag. 2024, 257, 107293. [Google Scholar] [CrossRef]
- Donald, A.; Lawin, G.; Rouanet, L. Gender Differences in Agricultural Productivity in Côte d’Ivoire: Distribution, Drivers, and Changes over Time. Can. J. Agric. Econ. Can. Agroecon. 2024, 72, 77–100. [Google Scholar] [CrossRef]
- Shibata, R.; Cardey, S.; Dorward, P. Gendered Intra-Household Decision-Making Dynamics in Agricultural Innovation Processes: Assets, Norms and Bargaining Power. J. Int. Dev. 2020, 32, 1101–1125. [Google Scholar] [CrossRef]
- Chete, O.B. Gender and Agricultural Practice in Developing Countries: Literature Review. South Asian J. Soc. Stud. Econ. 2019, 5, 1–11. [Google Scholar] [CrossRef]
- Magnan, N.; Spielman, D.J.; Gulati, K.; Lybbert, T.J. Information Networks Among Women and Men and the Demand for an Agricultural Technology in India. IFPRI Discussion Paper 01411. 2015. Available online: https://ssrn.com/abstract=25645387639 (accessed on 19 November 2024). [CrossRef][Green Version]
- Fanelli, R.M. Bridging the Gender Gap in the Agricultural Sector: Evidence from European Union Countries. Soc. Sci. 2022, 11, 105. [Google Scholar] [CrossRef]
- Nchanji, E.B.; Collins, O.A.; Katungi, E.; Nduguru, A.; Kabungo, C.; Njuguna, E.M.; Ojiewo, C.O. What Does Gender Yield Gap Tell Us about Smallholder Farming in Developing Countries? Sustainability 2021, 13, 77. [Google Scholar] [CrossRef]
- Naheed, S. Rukhsana Transitioning to Sustainable Food Systems in a Changing Climate and Gender Equality: A Brief Review. Agric. Food Secur. 2024, 13, 41. [Google Scholar] [CrossRef]
- Czudec, A.; Zając, D. Non-Farming Entrepreneurship in the Farm Activity Diversification Process. J. Agribus. Rural Dev. 2017, 43, 69–78. [Google Scholar] [CrossRef]
- United Nations Development Program (UNDP). U.N. Human Development Report 2019: Beyond Income, Beyond Averages, Beyond Today—Inequalities in Human Development in the 21st Century, 1st ed.; United Nations Publications: Bloomfield, CT, USA, 2019; ISBN 978-92-1-126439-5. Available online: http://hdr.undp.org/sites/default/files/hdr2019.pdf (accessed on 19 November 2024).
- Salifu, G. The Political Economy Dynamics of Rural Household Income Diversification: A Review of the International Literature. Res. World Econ. 2019, 10, 273. [Google Scholar] [CrossRef][Green Version]
- de Moraes Ferreira, A.F.J.; Rocha, C. Gendered Waters: The Participation of Women in The Program “One Million Cisterns” in the Brazilian Semi-Arid Region. J. Clean. Prod. 2013, 60, 163–169. [Google Scholar] [CrossRef]
- Adeyeye, K.; Bello-Dambatta, A. Rainwater Harvesting for Water Security and Gender Equity. In Rainwater Harvesting for the 21st Century; CRC Press: Boca Raton, FL, USA, 2024; ISBN 978-1-03-263808-9. [Google Scholar] [CrossRef]
- Safari, J.B.; Abias, M.; Mupenzi, C. Assessing the Use of Hillside Rainwater Harvesting Ponds on Agricultural Production, a Case of Unicoopagi Cooperative Union. Int. J. Nat. Resour. Ecol. Manag. 2020, 5, 64–71. [Google Scholar] [CrossRef]
- Richardson, R.B.; Suvedi, M. Assessing the Potential for Small-Scale Aquaculture in Cambodia. Environments 2018, 5, 76. [Google Scholar] [CrossRef]
- Bori, R.; Das, R. Farmers’ Awareness and Perception of Sustainable Agricultural Practices: A Case of Integrated Livestock–Fish Farming System in the State of Assam, India. Jindal J. Bus. Res. 2024, 13, 127–142. [Google Scholar] [CrossRef]
- Yami, T.; Chamberlain, J. Enhancement of Small-Scale Runoff Harvesting Ponds in East Africa. J. Nat. Sci. Res. 2019, 9, 1–19. [Google Scholar] [CrossRef]
- Ragasa, C.; Agyakwah, S.K.; Asmah, R.; Mensah, E.T.-D.; Amewu, S.; Oyih, M. Accelerating Pond Aquaculture Development and Resilience beyond COVID: Ensuring Food and Jobs in Ghana. Aquaculture 2022, 547, 737476. [Google Scholar] [CrossRef]
- Cleaver, C.; Johnson, T.R.; Hanes, S.P.; Pianka, K. From Fishers to Farmers: Assessing Aquaculture Adoption in a Training Program for Commercial Fishers. Bull. Mar. Sci. 2018, 94, 1215–1222. [Google Scholar] [CrossRef]
- Hasan, M.; Zaman, M.; Naser, N. Aquaculture Practices among the Fish Farmers of Bhaluka Upazila, Mymensingh-Scenario from a Decade and Half Ago. Dhaka Univ. J. Biol. Sci. 2022, 30, 499–509. [Google Scholar] [CrossRef]
- Ouma, A.O.; Kibutu, T.N.; Onsongo, F.O. Social Economic Determinants of Adoption of Fish Farming in Gem Sub-County, Siaya County, Kenya. Middle East J. Appl. Sci. Technol. 2023, 6, 59–82. [Google Scholar] [CrossRef]
- Diedrich, A.; Blythe, J.; Petersen, E.; Euriga, E.; Fatchiya, A.; Shimada, T.; Jones, C. Socio-Economic Drivers of Adoption of Small-Scale Aquaculture in Indonesia. Sustainability 2019, 11, 1543. [Google Scholar] [CrossRef]
- Mulokozi, D.P.; Mmanda, F.P.; Onyango, P.; Lundh, T.; Tamatamah, R.; Berg, H. Rural Aquaculture: Assessment of Its Contribution to Household Income and Farmers’ Perception in Selected Districts, Tanzania. Aquac. Econ. Manag. 2020, 24, 387–405. [Google Scholar] [CrossRef]
- Drivers of Adoption Intensity of Pond Aquaculture: The Case of Ghana. Aquaculture 2022, 560, 738597. [CrossRef]
- Mirzoyan, N.; Avetisyan, N.; Mnatsakanyan, H.; Tadevosyan, L. Groundwater Use and Efficiency in Small- and Medium-Sized Aquaculture Farms in Ararat Valley, Armenia. Groundw. Sustain. Dev. 2018, 6, 1–5. [Google Scholar] [CrossRef]
- Ibrahim, L.A.; Abu-Hashim, M.; Shaghaleh, H.; Elsadek, E.; Hamad, A.A.A.; Alhaj Hamoud, Y. A Comprehensive Review of the Multiple Uses of Water in Aquaculture-Integrated Agriculture Based on International and National Experiences. Water 2023, 15, 367. [Google Scholar] [CrossRef]
- Oyebola, O.; Efitre, J.; Musinguzi, L.; Falaye, E. Potential Adaptation Strategies for Climate Change Impact among Flood-Prone Fish Farmers in Climate Hotspot Uganda. Environ. Dev. Sustain. 2021, 23, 12761–12790. [Google Scholar] [CrossRef]
- Ferreira, A.; Oeda, A.; Oliveira, P.; Prysthon, A.; Valladao, R.; Araujo, T. Small Scale Fish Farming in Seasonal Ponds in Brazil: Technical and Economic Characterization. Lat. Am. J. Aquat. Res. 2018, 46, 314–329. [Google Scholar] [CrossRef]
- Sapbamrer, R.; Thammachai, A. A Systematic Review of Factors Influencing Farmers’ Adoption of Organic Farming. Sustainability 2021, 13, 3842. [Google Scholar] [CrossRef]
- Han, J.; Dong, Y.; Zhang, M. Chemical Fertilizer Reduction with Organic Fertilizer Effectively Improve Soil Fertility and Microbial Community from Newly Cultivated Land in the Loess Plateau of China. Appl. Soil Ecol. 2021, 165, 103966. [Google Scholar] [CrossRef]
- Singh, T.B.; Ali, A.; Prasad, M.; Yadav, A.; Shrivastav, P.; Goyal, D.; Dantu, P.K. Role of Organic Fertilizers in Improving Soil Fertility. In Contaminants in Agriculture: Sources, Impacts and Management; Naeem, M., Ansari, A.A., Gill, S.S., Eds.; Springer International Publishing: Cham, Switzerland, 2020; pp. 61–77. ISBN 978-3-030-41552-5. [Google Scholar]
- Ahuja, I.; Dauksas, E.; Remme, J.F.; Richardsen, R.; Løes, A.-K. Fish and Fish Waste-Based Fertilizers in Organic Farming—With Status in Norway: A Review. Waste Manag. 2020, 115, 95–112. [Google Scholar] [CrossRef]
- Aryal, J.P.; Sapkota, T.B.; Krupnik, T.J.; Rahut, D.B.; Jat, M.L.; Stirling, C.M. Factors Affecting Farmers’ Use of Organic and Inorganic Fertilizers in South Asia. Environ. Sci. Pollut. Res. 2021, 28, 51480–51496. [Google Scholar] [CrossRef] [PubMed]
- Qi, X.; Liang, F.; Yuan, W.; Zhang, T.; Li, J. Factors Influencing Farmers’ Adoption of Eco-Friendly Fertilization Technology in Grain Production: An Integrated Spatial–Econometric Analysis in China. J. Clean. Prod. 2021, 310, 127536. [Google Scholar] [CrossRef]
- Wasil, A.H.; Arif Shah, J.; Kakar, S.M.; Ragashtai, A.R.; Yusuf, M.S.A.; Sadat, A. The Influential Factors of Organic Fertilizer Adoption among Farmers: A Review. Int. J. Acad. Res. Bus. Soc. Sci. 2023, 13, 3020–3036. [Google Scholar] [CrossRef] [PubMed]
- Diatta, A.; Manga, A.A.; Bassene, C.; Mbow, C.; Battaglia, M.; Sambou, M.; Emre, B.; Uslu, Ö.; Babur, E. Sustainable Production of Tomato Using Fish Effluents Improved Plant Growth, Yield Components, and Yield in Northern Senegal. Agronomy 2023, 13, 2696. [Google Scholar] [CrossRef]
- Abdelraouf, R.E. Sustainable Management of Drainage Water of Fish Farms in Agriculture as a New Source for Irrigation and Bio-Source for Fertilizing Under Arid Regions Conditions. 2015. Available online: https://citeseerx.ist.psu.edu/document?repid=rep1&type=pdf&doi=0eabe7131c41d39a71441ae17b03a4281185fb51 (accessed on 19 July 2024).
- Abdelraouf, R.e.; Ragab, R. The Benefit of Using Drainage Water of Fish Farms for Irrigation: Field and Modelling Study Using the SALTMED Model. Irrig. Drain. 2017, 66, 758–772. [Google Scholar] [CrossRef]
- Ferreira, D.; Gurgel, M.; da Silva Dias, N.; Medeiros, J.; Costa, L.R.; Neto, M.; Sá, F. Panicum Maximum Cultivars Irrigated with Fish Farming Effluent. Rev. Ciênc. Agronômica 2024, 55, e20228566. [Google Scholar] [CrossRef]
- Thi Da, C.; Anh Tu, P.; Livsey, J.; Tang, V.T.; Berg, H.; Manzoni, S. Improving Productivity in Integrated Fish-Vegetable Farming Systems with Recycled Fish Pond Sediments. Agronomy 2020, 10, 1025. [Google Scholar] [CrossRef]
- Abelti, A.; Degebassa, A. Comparison of Chemical Fertilizer, Fish Offal’s Fertilizer and Manure Applied to Tomato and Onion. Afr. J. Agric. Res. 2013, 8, 274–278. [Google Scholar] [CrossRef]
- Abdelraouf, R.E. Reuse of Fish Farm Drainage Water in Irrigation. In Unconventional Water Resources and Agriculture in Egypt; Negm, A.M., Ed.; Springer International Publishing: Cham, Switzerland, 2019; pp. 393–410. ISBN 978-3-319-95071-6. [Google Scholar]
- Kolozsvári, I.; Kun, Á.; Jancsó, M.; Palágyi, A.; Bozán, C.; Gyuricza, C. Agronomic Performance of Grain Sorghum (Sorghum Bicolor (L.) Moench) Cultivars under Intensive Fish Farm Effluent Irrigation. Agronomy 2022, 12, 1185. [Google Scholar] [CrossRef]
- Soleimani, H.; Mansouri, B.; Kiani, A.; Omer, A.K.; Tazik, M.; Ebrahimzadeh, G.; Sharafi, K. Ecological Risk Assessment and Heavy Metals Accumulation in Agriculture Soils Irrigated with Treated Wastewater Effluent, River Water, and Well Water Combined with Chemical Fertilizers. Heliyon 2023, 9, e14580. [Google Scholar] [CrossRef] [PubMed]
- Pérez-San Martín, A.; Tortosa, G.; González, A.; Cayunao, S.; Curaqueo, G. Drying Treatment for Sludges of the Chilean Salmon Farming Industry and Its Potential as an Agricultural Soil Amendment. Arch. Agron. Soil Sci. 2024, 70, 1–18. [Google Scholar] [CrossRef]
- Zhang, H.; Qi, H.-Y.; Zhang, Y.-L.; Ran, D.-D.; Wu, L.-Q.; Wang, H.-F.; Zeng, R.J. Effects of Sewage Sludge Pretreatment Methods on Its Use in Agricultural Applications. J. Hazard. Mater. 2022, 428, 128213. [Google Scholar] [CrossRef]
- Hamawand, I.; Lewis, L. Innovative Pit Design and Sludge Dewatering for Rural Areas. J. Environ. Chem. Eng. 2016, 4, 3775–3778. [Google Scholar] [CrossRef]
- Madariaga, S.T.; Marín, S.L. Sanitary and Environmental Conditions of Aquaculture Sludge. Aquac. Res. 2017, 48, 1744–1750. [Google Scholar] [CrossRef]
- Sele, V.; Ali, A.; Liland, N.; Lundebye, A.-K.; Tibon, J.; Araujo, P.; Sindre, H.; Nilsen, H.; Hagemann, A.; Belghit, I. Characterization of Nutrients and Contaminants in Fish Sludge from Atlantic Salmon (Salmo Salar L.) Production Sites—A Future Resource. J. Environ. Manag. 2024, 360, 121103. [Google Scholar] [CrossRef] [PubMed]











| Population | Total Number of RWHP Owners in Accessible Areas in Burkina Faso NAA= 288 | |||
|---|---|---|---|---|
| Stratum | Number of RWHP with fishing or fish farming experience Ns(E) = 93 | Number of RWHP owners without fishing or fish farming experience Ns(IE) = 195 | ||
| Proportionality coefficient | fs(E) = 15/Ns(E) fs(E) = 16.13% | fs(IE) = 36/Ns(E) fs(IE) = 18.46% | ||
| Substratum size | Number of experienced RWHP owners with access to a supplemental water source Nss (EN_W) = 50 | Number of experienced RWHP owners without access to a supplemental water source Nss (E_W) = 43 | Number of unexperienced RWHP owners without access to a supplemental water source Nss (IE_NW) = 108 | Number of unexperienced RWHP owners with access to a supplemental water source Nss (IE_W) = 87 |
| Substratum sample size | Number of experienced RWHP owners with access to a supplemental water source nss (EN_W) = 8 | Number of experienced RWHP owners without access to a supplemental water source nss (E_W) = 7 | Number of unexperienced RWHP owners with access to a supplemental water source nss (IE_NW) = 20 | Number of unexperienced RWHP owners without access to a supplemental water source nss (IE_W) = 16 |
| Total Sample size | = 51 | |||
| Test | Null Hypothesis H0 | Alternative Hypothesis H1 |
|---|---|---|
| Shapiro–Wilk normality test | The data follows a normal distribution | The data does not follow a normal distribution |
| Levene’s test for homogeneity of variances | The variances of the different groups are equal | At least one group variance differs from the others |
| Welch ANOVA for means comparison | The means of all groups are equal, regardless of variances | At least one group mean differs from the others |
| Games–Howell pairwise comparison | There is no significant difference between the means of the compared groups | There is at least one significant difference between the means of the compared groups |
| Test | Shapiro–Wilk p-Value | Levene Test p-Value | ||||||
|---|---|---|---|---|---|---|---|---|
| STQ | AR | E_NW | E_W | IE_NW | IE_W | Overall | Inter-Strata | Overall |
| STQ1.1 | InsufWatcol | 0.44 | 0.70 | 0.23 | 0.23 | 0.83 | <0.0001 | 0.09 |
| Lowadbenef | 0.11 | 0.48 | 0.86 | 0.50 | 0.26 | 0.10 | ||
| RWHPdegrad | 0.46 | 0.10 | 0.15 | 0.90 | 0.96 | <0.0001 | ||
| STQ1.2 | Incincome | 0.053 | 0.17 | 0.11 | 0.88 | 0.18 | <0.0001 | <0.0001 |
| OppTraining | 0.21 | 0.18 | 0.33 | 0.46 | 0.94 | <0.0001 | ||
| ProvMatFin | 0.38 | 0.13 | 0.05 | 0.75 | 0.53 | 0.01 | ||
| Parameters | Anticipated Response | F | Pr > F | Strata Means | |||
|---|---|---|---|---|---|---|---|
| E_NW [95%CI] | E_W [95%CI] | IE_NW [95%CI] | IE_W [95%CI] | ||||
| STQ1.1 | InsufWatcol | 19.51 | ** | 16.01 | 15.86 | 15.56 | 14.83 |
| [15.76–16.27] | [15.61–16.2] | [15.30–15.81] | [14.57–15.08] | ||||
| Lowadbenef | 187.92 | *** | 9.55 | 5.76 | 9.54 | 10.96 | |
| [9.25–9.84] | [5.47–6.06] | [9.24–9.38] | [10.66–11.25] | ||||
| RWHPdegrad | 433.42 | *** | 14.79 | 17.69 | 14.67 | 11.38 | |
| [14.53–15.05] | [17.43–17.95] | [14.41–14.92] | [11.12–11.64] | ||||
| STQ1.2 | Incincome | 101.87 | *** | 16.44 | 13.78 | 16.24 | 14.27 |
| [16.15–16.72] | [13.50–14.07] | [15.95–16.52] | [13.98–1455] | ||||
| OppTraining | 337.47 | *** | 17.65 | 15.62 | 14.96 | 14.26 | |
| [17.41–17.90] | [15.37–15.87] | [14.71–15.20] | [14.01–14.50] | ||||
| ProvMatFin | 44.33 | *** | 12.36 | 14.23 | 12.60 | 11.45 | |
| [12.01–12.70] | [13.89–14.58] | [12.25–12.94] | [11.11–11.79] | ||||
| Parameters | Anticipated Response | Games–Howell Pairwise Means and Groups | |||||||
|---|---|---|---|---|---|---|---|---|---|
| E_NW | E_W | IE_NW | IE_W | ||||||
| [95%CI] | [95%CI] | [95%CI] | [95%CI] | ||||||
| STQ1.1 | InsufWatcol | 16.01 | 15.86 | 15.56 | 14.83 | ||||
| [15.72–16.31] | C | [15.61–16.2] | B | [15.33–15.79] | C | [14.53–15.13] | B | ||
| Lowadbenef | 9.55 | 5.76 | 9.54 | 10.96 | |||||
| [9.25–9.84] | A | [5.52–6.01] | A | [9.31–9.77] | A | [10.66–11.26] | A | ||
| RWHPdegrad | 14.80 | 17.69 | 14.67 | 11.38 | |||||
| [14.50–15.09] | B | [17.44–17.93] | C | [14.44–14.90] | B | [11.08–11.68] | A | ||
| STQ1.2 | Incincome | 16.44 | 13.78 | 16.24 | 14.27 | ||||
| [16.14–16.73] | B | [13.41–14.16] | A | [16.02–16.45] | C | [13.99–14.54] | B | ||
| OppTraining | 17.65 | 15.62 | 14.96 | 14.26 | |||||
| [17.36–17.95] | C | [15.25–15.99] | B | [14.74–15.17] | B | [13.99–14.53] | B | ||
| ProvMatFin | 12.36 | 14.23 | 12.60 | 11.45 | |||||
| [12.06–12.65] | A | [13.86–14.61] | A | [12.39–12.81] | A | [11.18–11.72] | A | ||
| Test | Shapiro–Wilk p-Value | Levene Test p-Value | ||||||
|---|---|---|---|---|---|---|---|---|
| STQ | AR | E_NW | E_W | IE_NW | IE_W | Overall | Inter-Stratum | Overall |
| STQ2.1 | SuppGrounwat | 0.22 | 0.25 | 0.53 | 0.43 | 0.67 | <0.0001 | 0.59 |
| Perflining | 0.89 | 0.34 | 0.05 | 0.90 | 0.34 | <0.0001 | ||
| PractTrain&Tips | 0.08 | 0.83 | 0.90 | 0.55 | 0.98 | <0.0001 | ||
| STQ2.2 | RainSeas | 0.07 | 0.46 | 0.40 | 0.22 | 0.31 | 0.02 | 0.18 |
| DrySeasWatSource | 0.45 | 0.11 | 0.27 | 0.08 | 0.55 | <0.0001 | ||
| AnySeas | 0.51 | 0.47 | 0.91 | 0.59 | 0.58 | <0.0001 | ||
| Parameters | Anticipated Response | F | Pr >F | Strata Means | |||
|---|---|---|---|---|---|---|---|
| E_NW [95%CI] | E_W [95%CI] | IE_NW [95%CI] | IE_W [95%CI] | ||||
| STQ2.1 | SuppGroundWat | 218.29 | *** | 19.00 | 14.51 | 18.50 | 16.89 |
| [18.75–19.24] | [14.26–14.76] | [18.26–18.75] | [16.65–17.14] | ||||
| Perflining | 74.25 | *** | 14.22 | 15.78 | 14.72 | 13.22 | |
| [13.97–14.48] | [15.53–16.04] | [14.46–14.97] | [12.96–13.47] | ||||
| PractTrain&Tips | 177.37 | *** | 15.65 | 13.02 | 15.51 | 12.60 | |
| [15.39–15.91] | [12.76–13.28] | [15.25–15.76] | [12.34–12.85] | ||||
| STQ2.2 | Rainseas | 131.60 | *** | 12.98 | 15.34 | 12.41 | 14.83 |
| [12.74–13.22] | [15.10–15.58] | [12.17–12.65] | [14.59–15.07] | ||||
| DrySeasWatSource | 91.22 | *** | 15.16 | 15.03 | 13.16 | 12.38 | |
| [14.85–15.47] | [14.72–15.33] | [12.85–13.47] | [12.07–12.69] | ||||
| AnySeas | 143.15 | *** | 15.22 | 11.23 | 11.17 | 12.86 | |
| [14.85–15.58] | [10.87–11.59] | [10.81–11.53] | [12.49–13.22] | ||||
| Parameters | Anticipated Response | Games–Howell Pairwise Means and Groups | |||||||
|---|---|---|---|---|---|---|---|---|---|
| E_NW | E_W | IE_NW | IE_W | ||||||
| [95%CI] | [95%CI] | [95%CI] | [95%CI] | ||||||
| STQ2.1 | SuppGroundWat | 19.00 | 14.51 | 18.50 | 16.89 | ||||
| [18.79–19.20] | C | [14.15–14.87] | B | [18.32–18.68] | C | [16.67–17.12] | C | ||
| Perflining | 14.22 | 14.78 | 14.72 | 13.22 | |||||
| [14.01–14.43] | A | [15.42–16.14] | C | [14.54–14.90] | A | [12.99–13.44] | B | ||
| PractTrain&Tips | 15.65 | 13.02 | 15.51 | 12.60 | |||||
| [15.44–15.86] | B | [12.66–13.38] | A | [15.33–15.69] | B | [12.37–12.82] | A | ||
| STQ2.2 | Rainseas | 12.98 | 15.34 | 12.41 | 14.83 | ||||
| [12.71–13.26] | A | [14.91–15.76] | B | [12.15–12.67] | B | 14.60–15.06] | C | ||
| DrySeasWatSource | 15.16 | 15.03 | 13.16 | 12.38 | |||||
| [14.88–15.44] | B | [14.60–15.45 | B | [12.90–13.42] | C | [12.15–12.61 | A | ||
| AnySeas | 15.22 | 11.23 | 11.17 | 12.86 | |||||
| [10.80–11.66] | A | [13.86–14.61] | A | [10.91–11.43] | A | [12.63–13.09] | B | ||
| Test | Shapiro–Wilk p-Value | Levene Test p-Value | ||||||
|---|---|---|---|---|---|---|---|---|
| STQ | AR | E_NW | E_W | IE_NW | IE_W | Overall | Overall | |
| STQ3.1 | FFE | 0.77 | 0.95 | 0.67 | 0.30 | 0.67 | 0.00 | <0.0001 |
| NPK | 0.26 | 0.75 | 0.93 | 0.35 | 0.27 | <0.0001 | ||
| FFE = NPK | 0.06 | 0.12 | 0.05 | 0.16 | 0.25 | <0.0001 | ||
| NoIdea | 0.72 | 0.41 | 0.26 | 1.00 | 0.69 | <0.0001 | ||
| STQ3.2 | OnTrees | 0.44 | 0.62 | 0.45 | 0.99 | 0.81 | <0.0001 | 0.78 |
| OnCereals | 0.38 | 0.37 | 0.96 | 0.43 | 0.49 | <0.0001 | ||
| OnVegetables | 0.15 | 0.32 | 0.26 | 0.68 | 0.91 | <0.0001 | ||
| STQ3.3 | Rawwat | 0.30 | 0.40 | 0.36 | 0.96 | 0.55 | <0.0001 | 0.14 |
| DecWatDriedsldge | 0.30 | 0.74 | 0.63 | 0.50 | 0.91 | <0.0001 | ||
| DecWatFreshsldge | 0.30 | 0.74 | 0.63 | 0.50 | 0.30 | <0.0001 | ||
| Parameters | Anticipated Response | F | Pr > F | Strata Means | |||
|---|---|---|---|---|---|---|---|
| E_NW [95%CI] | E_W [95%CI] | IE_NW [95%CI] | IE_W [95%CI] | ||||
| STQ3.1 | FFE | 154.21 | *** | 13.14 | 9.45 | 8.07 | 10.69 |
| [12.80–13.48] | [9.11–9.78] | [7.74–8.41] | [10.36–11.03] | ||||
| NPK | 126.11 | *** | 6.83 | 12.77 | 7.92 | 7.72 | |
| [6.45–7.20] | [14.40–13.14] | [7.55–8.29] | [7.35–8.09] | ||||
| FFE = NPK | 120.50 | *** | 5.84 | 5.79 | 5.17 | 3.36 | |
| [5.55–6.12] | [5.51–6.08] | [4.89–5.45] | [3.08–3.64] | ||||
| NoIdea | 120.58 | *** | 7.59 | 4.76 | 8.90 | 6.96 | |
| [7.19–7.99] | [4.36–5.16] | [8.49–9.30] | [6.55–7.36] | ||||
| STQ3.2 | OnTrees | 17.81 | *** | 10.16 | 10.13 | 11.10 | 10.04 |
| [9.81–10.51] | [9.78–10.48] | [10.75–11.45] | [9.69–10.39] | ||||
| OnCereals | 68.67 | *** | 10.55 | 14.30 | 13.03 | 12.88 | |
| [10.24–10.86] | [13.99–14.60] | [12.72–13.34] | [12.56–13.19] | ||||
| OnVegetables | 252.02 | *** | 12.36 | 14.23 | 12.60 | 11.45 | |
| [12.01–12.70] | [13.89–14.58] | [12.25–12.94] | [11.11–11.79] | ||||
| STQ3.3 | Rawwat | 78.92 | *** | 9.32 | 13.91 | 12.67 | 12.42 |
| [8.95–9.69] | [13.54–14.28] | [12.30–13.04] | [12.05–12.79] | ||||
| DecWatDriedsldge | 111.64 | *** | 11.97 | 9.39 | 7.52 | 10.05 | |
| [11.60–12.34] | [9.02–9.76] | [7.15–7.89] | [9.68–10.42] | ||||
| DecWatFreshsldge | 1.10 | *** | 9.28 | 9.06 | 9.34 | 8.98 | |
| [8.90–9.66] | [8.68–9.44] | [8.96–9.72] | [8.59–9.36] | ||||
| Parameters | Anticipated Response | Games–Howell Pairwise Means and Groups | |||||||
|---|---|---|---|---|---|---|---|---|---|
| E_NW | E_W | IE_NW | IE_W | ||||||
| [95%CI] | [95%CI] | [95%CI] | [95%CI] | ||||||
| STQ3.1 | FFE | 13.14 | 9.45 | 8.07 | 10.69 | ||||
| [12.73–13.55] | C | [9.06–9.83] | C | [7.80–8.35] | B | [10.38–11.01] | D | ||
| NPK | 6.83 | 12.77 | 7.92 | 7.72 | |||||
| [6.41–7.24] | B | [12.39–13.16] | D | [7.64–8.19 | B | [7.41–8.03] | C | ||
| FFE = NPK | 5.84 | 5.79 | 5.17 | 3.36 | |||||
| [5.42–6.25] | A | [5.41–6.18] | B | [4.90–5.45] | A | [3.05–3.67] | A | ||
| NoIdea | 7.59 | 4.76 | 8.90 | 6.96 | |||||
| [7.18–8.00] | B | [4.37–5.14] | A | [8.62–9.17] | C | [6.64–7.27 | B | ||
| STQ3.2 | OnTrees | 10.16 | 10.13 | 11.10 | 10.04 | ||||
| [9.67–10.65 | A | [9.86–10.40] | A | [110.87–11.33] | A | [9.80–10.28] | A | ||
| OnCereals | 10.55 | 14.30 | 13.03 | 12.64 | |||||
| [10.06–11.04] | A | [14.02–14.57] | B | [12.81–13.26] | B | [12.40–12.88] | B | ||
| OnVegetables | 13.48 | 15.99 | 12.74 | 12.88 | |||||
| [12.99–13.97] | B | [15.71–16.26] | C | [12.52–12.97] | B | [12.64–13.12] | B | ||
| STQ3.3 | Rawwat | 9.23 | 13.91 | 12.67 | 12.42 | ||||
| [8.89–9.75] | A | [13.45–14.37] | B | [12.39–12.95] | C | [12.12–12.72] | C | ||
| DecWatDriedsldge | 11.97 | 9.39 | 7.52 | 10.05 | |||||
| [11.54–12.40] | B | [8.93–9.85] | A | [7.24–7.80] | A | [9.75–10.35] | B | ||
| DecWatFreshsldge | 9.28 | 9.06 | 9.34 | 8.98 | |||||
| [8.85–9.71] | A | [8.60–9.52] | A | [9.06–9.62] | B | [8.67–9.28] | A | ||
Disclaimer/Publisher’s Note: The statements, opinions and data contained in all publications are solely those of the individual author(s) and contributor(s) and not of MDPI and/or the editor(s). MDPI and/or the editor(s) disclaim responsibility for any injury to people or property resulting from any ideas, methods, instructions or products referred to in the content. |
© 2025 by the authors. Licensee MDPI, Basel, Switzerland. This article is an open access article distributed under the terms and conditions of the Creative Commons Attribution (CC BY) license (https://creativecommons.org/licenses/by/4.0/).
Share and Cite
Kanazoe, M.F.; Keïta, A.; Yamegueu, D.; Konate, Y.; Sawadogo, B.; Boube, B. Integrating Fish Farming into Runoff Water Harvesting Ponds (RWHP) for Sustainable Agriculture and Food Security: Farmers’ Perceptions and Opportunities in Burkina Faso. Sustainability 2025, 17, 880. https://doi.org/10.3390/su17030880
Kanazoe MF, Keïta A, Yamegueu D, Konate Y, Sawadogo B, Boube B. Integrating Fish Farming into Runoff Water Harvesting Ponds (RWHP) for Sustainable Agriculture and Food Security: Farmers’ Perceptions and Opportunities in Burkina Faso. Sustainability. 2025; 17(3):880. https://doi.org/10.3390/su17030880
Chicago/Turabian StyleKanazoe, Manegdibkièta Fadiilah, Amadou Keïta, Daniel Yamegueu, Yacouba Konate, Boukary Sawadogo, and Bassirou Boube. 2025. "Integrating Fish Farming into Runoff Water Harvesting Ponds (RWHP) for Sustainable Agriculture and Food Security: Farmers’ Perceptions and Opportunities in Burkina Faso" Sustainability 17, no. 3: 880. https://doi.org/10.3390/su17030880
APA StyleKanazoe, M. F., Keïta, A., Yamegueu, D., Konate, Y., Sawadogo, B., & Boube, B. (2025). Integrating Fish Farming into Runoff Water Harvesting Ponds (RWHP) for Sustainable Agriculture and Food Security: Farmers’ Perceptions and Opportunities in Burkina Faso. Sustainability, 17(3), 880. https://doi.org/10.3390/su17030880


