Volatilization Characteristic of Chloride Salts During the Production of Fired Brick Under Different Atmospheres
Abstract
1. Introduction
2. Materials and Methods
2.1. Materials
2.2. Experimental Procedure
2.3. Analysis Method
2.4. Simulation Calculation
3. Results and Discussion
3.1. Influence of Different Atmospheric Conditions on Volatilization of Cl Salts
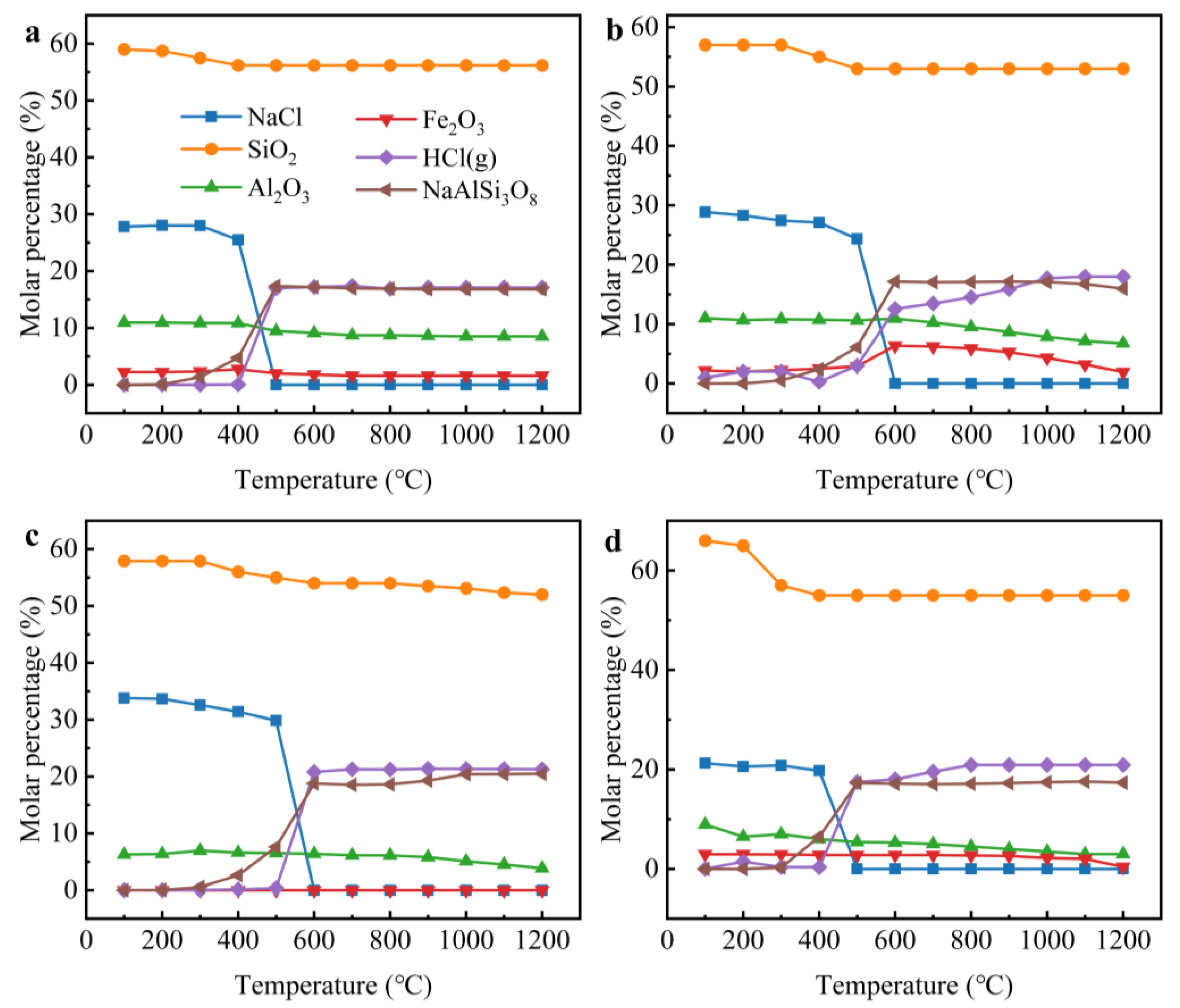
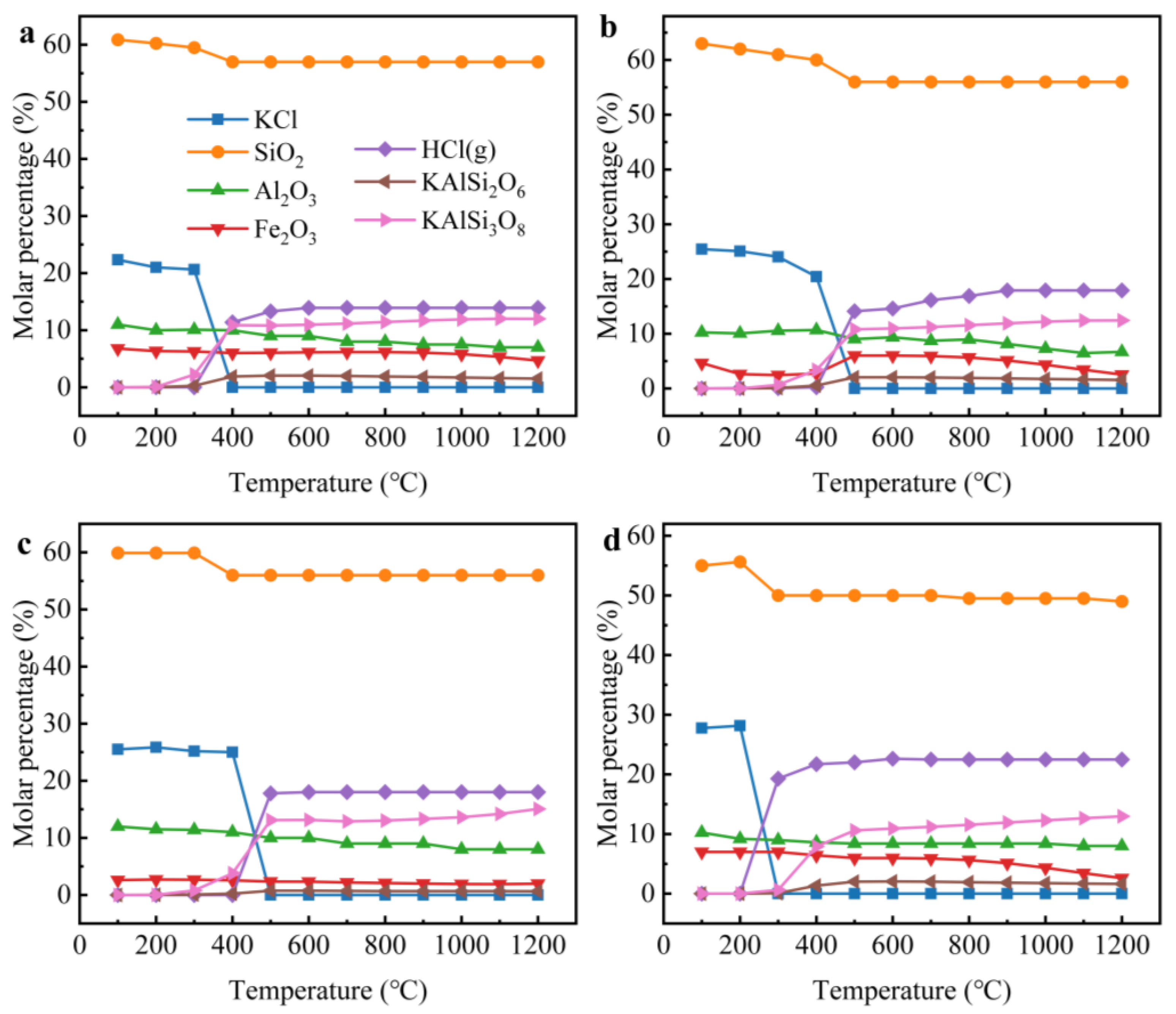
3.2. Thermodynamic Simulation for Reactions Between Chloride Salts and Clay Components
3.3. DFT Simulation of HCl(g) Formation Under Different Atmospheres
3.4. Reaction Behavior Analysis of Cl Salts and Clay Composition
4. Conclusions
Author Contributions
Funding
Institutional Review Board Statement
Informed Consent Statement
Data Availability Statement
Conflicts of Interest
References
- Xu, Y.; Zhang, Y.; Shu, Y.; Song, H.; Shu, X.; Ma, Y.; Hao, L.; Zhang, X.; Ren, X.; Wang, Z.; et al. Composition and Leaching Toxicity of Hydrochloric Acid Pickling Sludge Generated from the Hot-Dip Galvanized Steel Industry. ACS Omega 2022, 7, 13826–13840. [Google Scholar] [CrossRef] [PubMed]
- Kamar, M.T.; Elattar, H.; Mahmoud, A.S.; Peters, R.W.; Mostafa, M.K. A critical review of state-of-the-art technologies for electroplating wastewater treatment. Int. J. Environ. Anal. Chem. 2024, 104, 4143–4176. [Google Scholar] [CrossRef]
- Duan, L.; Yun, Q.; Jiang, G.; Teng, D.; Zhou, G.; Cao, Y. A review of chloride ions removal from high chloride industrial wastewater: Sources, hazards, and mechanisms. J. Environ. Manag. 2024, 353, 120184. [Google Scholar] [CrossRef]
- Prasad, B.; Maiti, D.; Kumar, A. Ground water quality evaluation in the lean period of a mining township. Appl. Water Sci. 2017, 7, 3553–3560. [Google Scholar] [CrossRef]
- Caneda-Martínez, L.; Frías, M.; Medina, C.; de Rojas, M.I.S.; Rebolledo, N.; Sánchez, J. Evaluation of chloride transport in blended cement mortars containing coal mining waste. Constr. Build. Mater. 2018, 190, 200–210. [Google Scholar] [CrossRef]
- Wei, Y.; Du, X.; Liu, S.; Wen, Y.; Liao, Q.; Jiao, G.; Shimaoka, T.; Tang, S. Promotion of chloride removal from MSWI fly ash by an accelerated wet-carbonation process to enhance ash recycling in cement manufacture. J. Environ. Chem. Eng. 2024, 12, 112591. [Google Scholar] [CrossRef]
- Huang, G.; Liu, B.; Jiang, X.; Liang, Y.; Cai, J.; Huang, L. The application of amendments improves properties of salt-affected soils across China. Soil Till. Res. 2025, 248, 106431. [Google Scholar] [CrossRef]
- Chadha, D.; Sharma, V.; Kour, S.; Arya, V.M.; Sharma, D.; Chaudhary, D.; Pooniyan, S. Revitalizing Salt-Affected Soils: Harnessing the Power of Halophilic Microorganisms for Bioremediation. Commun. Soil Sci. Plan. 2025, 56, 239–250. [Google Scholar] [CrossRef]
- Wang, H.; Li, X.; Li, J.; Cui, M.; Ren, X.; Jin, H. Impact of salt precipitation on evaporation resistance under different soil textures. Environ. Earth Sci. 2024, 84, 12. [Google Scholar] [CrossRef]
- Yuan, J.; Zheng, B.; Wang, R.; Zhang, M.; Yu, G. Assessment of Chloride Salt Release Flux from Fluidized Cohesive Sediments in Quiescent Water. Water Air Soil Poll. 2023, 234, 501. [Google Scholar] [CrossRef]
- Ho, L.; Barthel, M.; Panique-Casso, D.; Vermeulen, K.; Bruneel, S.; Liu, X.; Bodé, S.; Six, J.; Boeckx, P.; Goethals, P. Impact of salinity gradient, water pollution and land use types on greenhouse gas emissions from an urbanized estuary. Environ. Pollut. 2023, 336, 122500. [Google Scholar] [CrossRef] [PubMed]
- Li, Y.; Yang, Z.; Yang, K.; Wei, J.; Li, Z.; Ma, C.; Yang, X.; Wang, T.; Zeng, G.; Yu, G.; et al. Removal of chloride from water and wastewater: Removal mechanisms and recent trends. Sci. Total Environ. 2022, 821, 153174. [Google Scholar] [CrossRef] [PubMed]
- Van Gray, J.B.; Ayayee, P. Examining the impacts of salt specificity on freshwater microbial community and functional potential following salinization. Environ. Microbiol. 2024, 26, e16628. [Google Scholar] [CrossRef]
- Figler, A.; B.-Béres, V.; Dobronoki, D.; Márton, K.; Nagy, S.A.; Bácsi, I. Salt Tolerance and Desalination Abilities of Nine Common Green Microalgae Isolates. Water 2019, 11, 2527. [Google Scholar] [CrossRef]
- Edbeib, M.F.; Wahab, R.A.; Huyop, F. Halophiles: Biology, adaptation, and their role in decontamination of hypersaline environments. World J. Microbiol. Biotechnol. 2016, 32, 135. [Google Scholar] [CrossRef]
- Zhou, Y.; Fang, X.; Zhang, R.; Qin, S.; Wang, J.; Lu, J. Salt-tolerant microorganisms treating hypersaline organic wastewater and the microbial population dynamics. Energy Sources Part A 2016, 38, 2854–2859. [Google Scholar] [CrossRef]
- Vucko, F.; Nazarov, A.; Helbert, V.; Thierry, D.; Pelletier, S.; Pablo, H.; Frasca, B.; Aouraghe, S.; Cavaletti, E. Wet corrosion of incinerators under chloride deposits: Insights from experimental study on stainless steels and nickel-based alloy weldments. Corros. Sci. 2024, 236, 112220. [Google Scholar] [CrossRef]
- Li, W.; Liu, D.; Shen, D.; Hu, L.; Yao, J.; Long, Y. Migration of inorganic chlorine during thermal treatment of mineralized waste. Waste Manag. 2020, 104, 207–212. [Google Scholar] [CrossRef]
- Ma, W.; Wenga, T.; Frandsen, F.J.; Yan, B.; Chen, G. The fate of chlorine during MSW incineration: Vaporization, transformation, deposition, corrosion and remedies. Prog. Energy Combust. Sci. 2020, 76, 100789. [Google Scholar] [CrossRef]
- Su, L.; Wu, S.; Zhu, W.; Liang, B.; Zhang, X.; Yang, J. Enhanced geopolymerization of MSWI fly ash through combined activator pretreatment: A sustainable approach to heavy metal encapsulation and resource recovery. J. Environ. Manag. 2024, 370, 122870. [Google Scholar] [CrossRef] [PubMed]
- Lu, M.; Xia, Y.; Yan, J.; Wang, L. Wet carbonation of MSWI fly ash for sustainable limestone calcined clay cement-type composites. Cement Concrete Comp. 2025, 156, 105866. [Google Scholar] [CrossRef]
- Zhao, S.-Z.; Zhang, X.-Y.; Liu, B.; Zhang, J.-J.; Shen, H.-L.; Zhang, S.-G. Preparation of glass–ceramics from high-chlorine MSWI fly ash by one-step process. Rare Met. 2021, 40, 3316–3328. [Google Scholar] [CrossRef]
- Xu, S.; Liu, T.; Yang, Y.; Yang, Z.; Huang, Q. Influence of chlorine on co-processing of hazardous wastes in brick kilns. J. Environ. Manag. 2024, 354, 120464. [Google Scholar] [CrossRef]
- Ahmed, F.R.; Mohammed, A.S. Chlorine salt influence on durability and strength of additive-free EPS lightweight concrete. Innov. Infrastruct. Solut. 2024, 9, 105. [Google Scholar] [CrossRef]
- Huang, J.; Jin, Y.; Chu, X.; Shu, Z.; Ma, X.; Liu, J. Recovery of lead and chlorine via thermal co-treatment of municipal solid waste incineration fly ash and lead-rich waste cathode-ray tubes: Analysis of chlorination volatilization mechanism. J. Hazard Mater. 2024, 462, 132752. [Google Scholar] [CrossRef] [PubMed]
- Shuangchen, M.A.; Daokuan, L.I.U.; Yang, L.I.; Zhongsheng, W.U.; Wentong, C.; Fang, X.U.; Yakun, Y.A.O.; Weian, M. Study on chlorine volatilization in low temperature flue gas concentration of desulphurization wastewater. J. China Coal Soc. 2022, 47, 365–375. [Google Scholar]
- Peng, B.; Zhu, Y.; Tang, L. Study on the fate of phosphorus, fluorine and chlorine in sludge during incineration. Fuel 2024, 358, 130331. [Google Scholar] [CrossRef]
- Yu, S.; Zhang, B.; Wei, J.; Zhang, T.; Yu, Q.; Zhang, W. Effects of chlorine on the volatilization of heavy metals during the co-combustion of sewage sludge. Waste Manag. 2017, 62, 204–210. [Google Scholar] [CrossRef] [PubMed]
- Wang, X.; Huang, Y.; Liu, C.; Zhang, S.; Wang, Y.; Piao, G. Dynamic volatilization behavior of Pb and Cd during fixed bed waste incineration: Effect of chlorine and calcium oxide. Fuel 2017, 192, 1–9. [Google Scholar] [CrossRef]
- Suda, H.; Uddin, M.A.; Kato, Y. Chlorine removal from incinerator bottom ash by superheated steam. Fuel 2016, 184, 753–760. [Google Scholar] [CrossRef]
- Gao, P.; Hu, Z.; Sheng, Y.; Pan, W.; Tang, L.; Chen, Y.; Chen, X.; Wang, F. Migration characteristics of chlorine during pyrolysis of municipal solid waste pellets. Waste Manag. 2023, 172, 208–215. [Google Scholar] [CrossRef] [PubMed]
- Cai, Z.; Du, B.; Dai, X.; Wang, T.; Wang, J.; Zhang, Y. Coupling of alkaline and mechanical modified fly ash for HCl and SO2 removal in the municipal solid waste incineration plant. Fuel 2023, 346, 128354. [Google Scholar] [CrossRef]
- Partanen, J.; Backman, P.; Backman, R.; Hupa, M. Absorption of HCl by limestone in hot flue gases. Part III: Simultaneous absorption with SO2. Fuel 2005, 84, 1685–1694. [Google Scholar] [CrossRef]
- Di Costanzo, N.; Cesaro, A.; Di Capua, F.; Mascolo, M.C.; Esposito, G. Application of high-intensity static magnetic field as a strategy to enhance the fertilizing potential of sewage sludge digestate. Waste Manag. 2023, 170, 122–130. [Google Scholar] [CrossRef] [PubMed]
- Di Costanzo, N.; Di Capua, F.; Cesaro, A.; Carraturo, F.; Salamone, M.; Mascolo, M.C.; Carpentieri, A.; Esposito, G. Low-intensity magnetization pretreatment to enhance biomethane generation and the abundance of key microorganisms for anaerobic digestion of sewage sludge. Bioresour. Technol. 2024, 413, 131534. [Google Scholar] [CrossRef] [PubMed]
- Zhao, C.; Zhao, Y.; Xie, M.; Xiao, Y.; Chen, B.; Wang, Y.; Zhou, T. Novel insight of the thermal degradation kinetics, environmental impact and transformation behavior of heavy metals and chlorine of municipal solid waste incineration fly ash in nitrogen. Fuel. 2023, 353, 129275. [Google Scholar] [CrossRef]
- Santachiara, G.; Prodi, F.; Vivarelli, F. Scavenging of SO2 and HCl during growth of ice crystals by vapour diffusion. Atmos. Environ. 1995, 29, 983–987. [Google Scholar] [CrossRef]
- Han, R.; Sun, F.; Gao, J.; Wei, S.; Su, Y. Effect of the presence of NaCl vapour on indirect sulphation of limestone. Fuel Process Technol. 2017, 160, 39–46. [Google Scholar] [CrossRef]
- Ma, M.; Su, W.; Wang, Y.; Xing, Y.; Wang, J.; Zhang, W.; Wang, P.; Li, Z. Absorption of HCl on sodium-based absorbents at medium and high temperatures: The effect of competing absorption of SO2 and H2O. Fuel 2024, 358, 130007. [Google Scholar] [CrossRef]
- Chen, D.; Liu, X.; Wang, C.; Xu, Y.; Sun, W.; Cui, J.; Zhang, Y.; Xu, M. Effects of H2O and HCl on Particulate Matter Reduction by Kaolin under Oxy-coal Combustion. Energy Fuels 2017, 31, 6455–6462. [Google Scholar] [CrossRef]
- Wang, X.; Xie, H.; Du, R.; Liu, Y.; Lin, P.; Zhang, J.; Bu, C.; Huang, Y.; Zhang, W. High-temperature chlorination of PbO and CdO induced by interaction with NaCl and Si/Al matrix. RSC Adv. 2018, 8, 34449–34458. [Google Scholar] [CrossRef] [PubMed]
- Chen, H.; Jiang, H.; Zhang, W.; Peng, M.; Liu, Y.; Hu, L.; Gao, B.; Mao, L. The introduction of wet dyeing sludge pellets in the production of clay brick: A novel approach to promote the disposal efficiency. J. Clean Prod. 2023, 385, 135675. [Google Scholar] [CrossRef]
- Chen, H.; Jiang, H.; Liu, Y.; Yu, H.; Liu, C.; Zhang, W.; Peng, M.; Hu, L.; Mao, L. Wet dyeing sludge being pelleted and introduce d in clay brick production to promote product quality and sludge consumption dosage. Constr. Build. Mater. 2023, 364, 129906. [Google Scholar] [CrossRef]
- Lu, P.; Huang, Q.; Bourtsalas, A.C.; Themelis, N.J.; Chi, Y.; Yan, J. Review on fate of chlorine during thermal processing of solid wastes. J. Environ. Sci. 2019, 78, 13–28. [Google Scholar] [CrossRef]
- Lin, F.; Xiang, L.; Sun, B.; Li, J.; Yan, B.; He, X.; Liu, G.; Chen, G. Migration of chlorinated compounds on products quality and dioxins releasing during pyrolysis of oily sludge with high chlorine content. Fuel 2021, 306, 121744. [Google Scholar] [CrossRef]
- Zheng, Z.; Hu, Y.; Han, Z.; Gu, A.; Wu, S.; Chen, D.; Feng, Y. Effect of additives and steam on chlorine transformation during plasma melting of fly ash. J. Mater. Cycles Waste Manag. 2024, 26, 3180–3192. [Google Scholar] [CrossRef]
- Kondo, N.M.; Kono, Y.; Ohira, I.; Hrubiak, R.; Ohara, K.; Nitta, K.; Sekizawa, O. Different structural behavior of MgSiO3 and CaSiO3 glasses at high pressures. Am. Mineral. 2024, 109, 1045–1053. [Google Scholar] [CrossRef]
- Tao, Y.-L.; Gao, J.; Liu, Q.-J.; Liu, Z.-T. Structural, elastic, electronic, and optical properties of NaAlSi3O8 and Al4[Si4O10](OH)8 from first-principles calculations. J. Mol. Model. 2023, 29, 111. [Google Scholar] [CrossRef]
- Tao, L.; Guo, L.; Liu, C.; Ma, X.; Ma, H. Activate nutrients access to plants as multiphase slow-release fertilizers by sintering reaction in K2O–MgO–Al2O3–SiO2 system using K-feldspar as a major source. J. Clean. Prod. 2022, 370, 133511. [Google Scholar] [CrossRef]
- Jyothi, K.P.; Yesodharan, S.; Yesodharan, E.P. Contaminant salts as enhancers of sonocatalytic degradation of organic water pollutants: Effect of concentration, reaction time and adsorption on the efficiency of enhancement and the fate of concurrently formed H2O2. J. Environ. Chem. Eng. 2018, 6, 3574–3589. [Google Scholar] [CrossRef]











| Serial Number | Main Parameters | Atmosphere | Main Effect |
|---|---|---|---|
| Zhao [36] | MSWI fly ash; 1200 °C | N2 | HCl(g) gas is produced; The removal rate of chlorine was only 51.43% |
| Santachiara [37] | HCl and SO2 | H2O(g) | H2O(g) promotes the removal of HCl |
| Han [38] | NaCl; 850–1200 °C | H2O(g) | H2O has a great influence on the sulfation between NaCl vapor and limestone |
| Ma [39] | NaHCO3; 300 °C | H2O(g), SO2 | After adding H2O, the adsorption energy of HCl on Na2CO3 surface is greater than that of SO2 on Na2CO3 surface |
| Chen [40] | Kaolin | O2 | H2O can promote the formation and diffusion of sodium hydroxide, and HCl can inhibit the capture of sodium by kaolin |
| Wang [41] | Mixture of NaCl and Si/Al matrix | O2+H2O; O2; N2 | In the chlorination process under O2 + H2O atmosphere, indirect chlorination and direct chlorination occur simultaneously, with the latter dominating the volatilization of Pb and Cd |
Disclaimer/Publisher’s Note: The statements, opinions and data contained in all publications are solely those of the individual author(s) and contributor(s) and not of MDPI and/or the editor(s). MDPI and/or the editor(s) disclaim responsibility for any injury to people or property resulting from any ideas, methods, instructions or products referred to in the content. |
© 2025 by the authors. Licensee MDPI, Basel, Switzerland. This article is an open access article distributed under the terms and conditions of the Creative Commons Attribution (CC BY) license (https://creativecommons.org/licenses/by/4.0/).
Share and Cite
Li, J.; Li, Z.; Wang, D.; Mao, L. Volatilization Characteristic of Chloride Salts During the Production of Fired Brick Under Different Atmospheres. Sustainability 2025, 17, 1110. https://doi.org/10.3390/su17031110
Li J, Li Z, Wang D, Mao L. Volatilization Characteristic of Chloride Salts During the Production of Fired Brick Under Different Atmospheres. Sustainability. 2025; 17(3):1110. https://doi.org/10.3390/su17031110
Chicago/Turabian StyleLi, Jie, Zhigang Li, Dandan Wang, and Linqiang Mao. 2025. "Volatilization Characteristic of Chloride Salts During the Production of Fired Brick Under Different Atmospheres" Sustainability 17, no. 3: 1110. https://doi.org/10.3390/su17031110
APA StyleLi, J., Li, Z., Wang, D., & Mao, L. (2025). Volatilization Characteristic of Chloride Salts During the Production of Fired Brick Under Different Atmospheres. Sustainability, 17(3), 1110. https://doi.org/10.3390/su17031110

