Change of NDVI in the Upper Reaches of the Yangtze River and Its Influence on the Water–Sand Process in the Three Gorges Reservoir
Abstract
1. Introduction
2. Materials and Methods
2.1. Study Area
2.2. Data Sources
2.3. Research Methods
2.3.1. Sen + Mann–Kendall Significance Tests
2.3.2. Partial Correlation Analysis
2.3.3. Coefficient of Variation
2.3.4. Pearson Correlation Coefficient
2.3.5. Hurst Index
3. Results
3.1. Characteristics of Spatial and Temporal Variations of NDVI in Different Watersheds
3.1.1. Time-Varying Characteristics
3.1.2. Characteristics of Spatial Variation
3.1.3. Characterization of Spatial Fluctuations
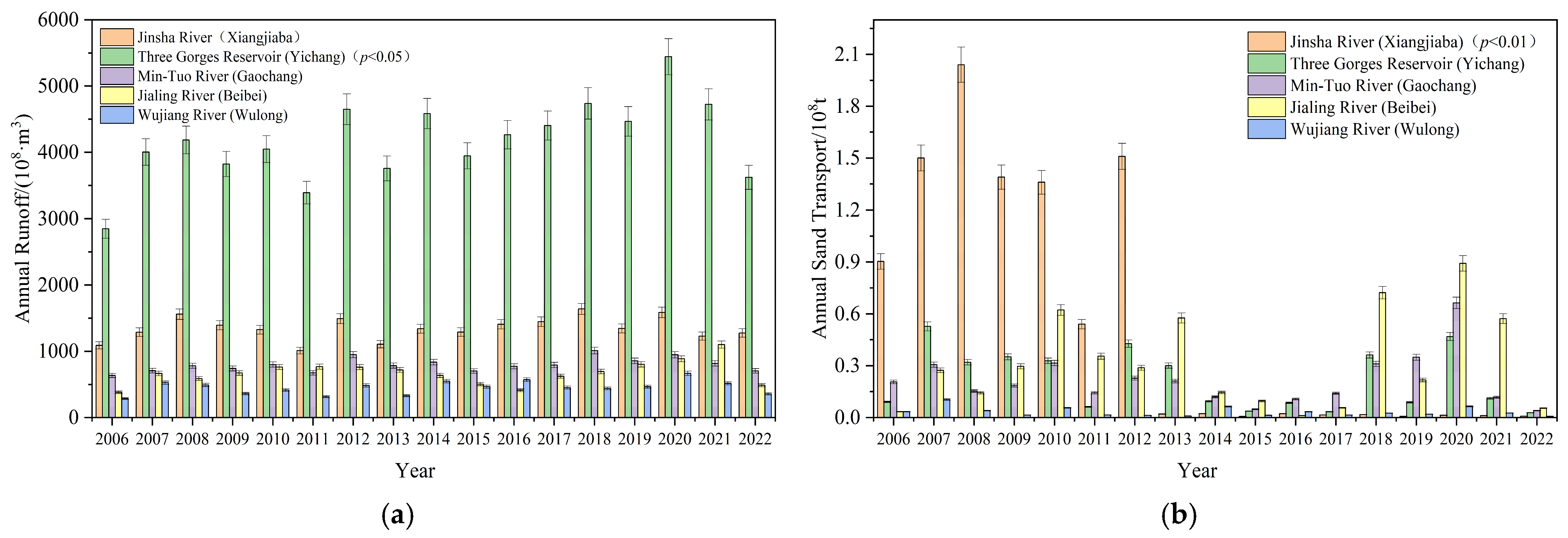
3.2. Trend Analysis of Water–Sediment Sequences in Different Sub-Basins
3.3. Analysis of NDVI Drivers
3.3.1. Relationship Between NDVI and Annual Precipitation
3.3.2. Impact of Land-Use Change on NDVI
3.3.3. Correlation Analysis Between NDVI and Impact Factors
4. Discussion
4.1. Effects of Vegetation NDVI and Precipitation Changes on Runoff Sediment Processes
4.2. Future Trends in Vegetation Cover
4.3. Relevance of Research Results to Sustainable Development Goals
4.4. Shortcomings and Prospects
5. Conclusions
- (1)
- Between 2001 and 2022, the NDVI of the upper reaches of the Yangtze River showed a significant fluctuating increase, with a mean value of 0.679, of which the NDVI value of the Jinsha River basin was relatively low among all the basins. The spatial distribution characteristics show that the NDVI of the vegetation in the study area exhibits significant spatial heterogeneity of “low in the west and high in the east”, and the overall vegetation cover is maintained at a high level. From the trend of change, the area of improved vegetation is significantly larger than that of degraded areas, indicating that the vegetation cover in the study area continues to improve. Characterization of spatial fluctuation shows that the study area as a whole is dominated by low fluctuation, and local areas show medium–high fluctuation characteristics;
- (2)
- The hydrological characteristics of the Yangtze River Basin show significant spatial heterogeneity. Among them, the Three Gorges Reservoir area, as the region with the largest runoff, has a statistically significant trend in annual runoff, while the annual runoff of other basins does not show significant changes. It is worth noting that the Jinsha River basin experienced a significant turnaround in sand transport around 2013, which is mainly attributed to the sediment interception effect caused by the construction of backbone dams and power stations in the “West-East Electricity Transmission” project. In the basin as a whole, reservoir sediment interception has become a key driver, influencing the evolution of water and sand in the lower Jinsha River;
- (3)
- Normalized vegetation index (NDVI) was significantly positively correlated with precipitation in 74% of the upper Yangtze River Basin, confirming the role of precipitation changes in promoting the growth of vegetation in the region. The evolution of land use pattern had a significant effect on NDVI: the continuous expansion of forested land area (mainly due to the implementation of the policy of “returning farmland to forest”) significantly increased the vegetation cover; the expansion of construction land due to the urbanization process resulted in the reduction of vegetation cover; and the shrinkage of arable land and grassland area weakened the capacity of regional vegetation cover. The partial correlation analysis further reveals that: the partial correlation coefficient between precipitation and NDVI is positive in 73% of the study areas; the correlation between temperature and NDVI is relatively weak, with a positive correlation in only 64% of the areas; and the correlation between land use and NDVI is the most significant, with a positive correlation in 67% of the areas. The results showed that the evolution of land use pattern is the dominant factor influencing the changes of vegetation NDVI in the region, which directly regulates the growth dynamics and cover condition of vegetation by changing the surface cover type. Therefore, ecological protection should be emphasized in land-use planning, limiting the disorderly expansion of cities and built-up areas, protecting existing woodlands and grasslands, and promoting sustainable land-use practices through policy guidance, such as the promotion of eco-agriculture, to reduce the reduction in the area of arable land and grasslands;
- (4)
- Based on the dominant characteristics of the sediment reduction effect of human activities, this study selected five key hydrological stations in the watershed as the research object and used the bias-correlation analysis technique to systematically investigate the dual influence mechanism of vegetation reconstruction and precipitation variability on the runoff and sand transport process. The data show that precipitation is the core factor driving the runoff variability, while the vegetation cover shows a significant negative correlation with the amount of sand transport. This finding confirms that the revegetation project has significant benefits in suppressing soil erosion and reducing the intensity of sand transport, which has important practical guidance value for watershed ecosystem restoration. In view of the significant effect of vegetation restoration on reducing soil erosion and sand transport, ecological restoration projects such as “returning farmland to forests” should continue to be promoted, especially in areas with low vegetation NDVI, such as the Jinsha River basin. At the same time, the vegetation structure should be optimized, and plant species suitable for local climate and soil conditions should be selected to improve the stability and ecological function of the vegetation.
Author Contributions
Funding
Institutional Review Board Statement
Informed Consent Statement
Data Availability Statement
Acknowledgments
Conflicts of Interest
References
- Ning, T.; Liu, W.; Lin, W.; Song, X. NDVI Variation and Its Responses to Climate Change on the Northern Loess Plateau of China from 1998 to 2012. Adv. Meteorol. 2015, 2015, 725427. [Google Scholar] [CrossRef]
- Chen, T.; Xia, J.; Zou, L.; Hong, S. Quantifying the Influences of Natural Factors and Human Activities on NDVI Changes in the Hanjiang River Basin, China. Remote Sens. 2020, 12, 3780. [Google Scholar] [CrossRef]
- Hu, Y.; Dao, R.; Hu, Y. Vegetation Change and Driving Factors: Contribution Analysis in the Loess Plateau of China during 2000–2015. Sustainability 2019, 11, 1320. [Google Scholar] [CrossRef]
- Guo, E.; Wang, Y.; Wang, C.; Sun, Z.; Bao, Y.; Mandula, N.; Jirigala, B.; Bao, Y.; Li, H. NDVI Indicates Long-Term Dynamics of Vegetation and Its Driving Forces from Climatic and Anthropogenic Factors in Mongolian Plateau. Remote Sens. 2021, 13, 688. [Google Scholar] [CrossRef]
- Jiang, P.; Hu, L.; Xiao, J.; Kuerban, Y. Spatiotemporal Dynamics of NDVI Xinjiang and Quantitative Attribution Base on Geodetector. Res. Soil Conserv. 2022, 29, 212–220+242. [Google Scholar] [CrossRef]
- Huang, C.; Yang, Q.; Huang, W. Analysis of the Spatial and Temporal Changes of NDVI and Its Driving Factors in the Wei and Jing River Basins. Int. J. Environ. Res. Public Health 2021, 18, 11863. [Google Scholar] [CrossRef] [PubMed]
- Chen, J.; Fang, X.; Wen, Z.; Chen, Q.; Ma, M.; Huang, Y.; Wu, S.; Yang, L.E. Spatio-Temporal Patterns and Impacts of Sediment Variations in Downstream of the Three Gorges Dam on the Yangtze River, China. Sustainability 2018, 10, 4093. [Google Scholar] [CrossRef]
- Liu, S.; Wang, Z.; Li, D. Comparison of sediment carrying capacity to sediment concentration in upper reaches of Yangtze River. J. Hydroelectr. Eng. 2022, 41, 46–55. [Google Scholar] [CrossRef]
- Yuan, J.; Xu, Q.; Dong, B.; Wang, T.; Yang, C. Sediment deposition of Three Gorges Reservoir and its impact on the reservoir area in recent 20 years. J. Lake Sci. 2023, 35, 632–641. [Google Scholar] [CrossRef]
- Hu, C. The development and practice of “storage, clearing and drainage” utilization of reservoirs in sandy rivers in China. J. Hydraul. Eng. 2016, 47, 283–291. [Google Scholar] [CrossRef]
- Jin, X.; Xu, C. Sedimentation in the joint scheduling of reservoir clusters in the upper reaches of the Yangtze River. Yangtze River 2018, 49, 1–8+31. [Google Scholar] [CrossRef]
- Shao, Y.; Mu, X.; He, Y.; Chen, K. Variations in runoff, sediment load, and their relationship for a major sediment source area of the Jialing River basin, southern China. Hydrol. Process. 2021, 35, e14297. [Google Scholar] [CrossRef]
- Yan, H.; Zhang, X.; Xu, Q. Variation of runoff and sediment inflows to the Three Gorges Reservoir: Impact of upstream cascade reservoirs. J. Hydrol. 2021, 603, 126875. [Google Scholar] [CrossRef]
- Wang, H.; Ma, Y.; Hong, F.; Yang, H.; Huang, L.; Jiao, X.; Guo, W. Evolution of Water–Sediment Situation and Attribution Analysis in the Upper Yangtze River, China. Water 2023, 15, 574. [Google Scholar] [CrossRef]
- Han, Y.; Yang, Q.; Gao, H.; Xu, H. Runoff and Sediment Characteristics of Flood Event in Typical Watershed on the Loess Plateau Based on Vegetation Restoration. J. Soil Water Conserv. 2023, 37, 278–283+293. [Google Scholar] [CrossRef]
- Zhang, H.; Wu, L.; Guo, J.; Liu, S.; Guo, J. Relationship between structural and functional connectivity of vegetation restoration watershed under extreme rainfall conditions. Agric. Eng. 2023, 39, 103–113. [Google Scholar]
- Liu, Y.; Wen, A.; Yan, D.; Shi, Z. Influence of Precipitation Characteristics and Vegetation on Runoff and Sediment: A Case on the Basin in the Three Gorges Reservoir Region. Water 2022, 14, 2141. [Google Scholar] [CrossRef]
- Hou, X.; Zhang, S.; Ruan, Q.; Tang, C. Synergetic impact of climate and vegetation cover on runoff, sediment, and nitrogen and phosphorus losses in the Jialing River Basin, China. J. Clean. Prod. 2022, 361, 132141. [Google Scholar] [CrossRef]
- Zhou, Y.; Li, D.; Lu, J.; Yao, S.; Yan, X.; Jin, Z.; Liu, L.; Lu, X.X. Distinguishing the multiple controls on the decreased sediment flux in the Jialing River basin of the Yangtze River, Southwestern China. CATENA 2020, 193, 104593. [Google Scholar] [CrossRef]
- Liu, H.; Liu, Y.-X.; Zhao, W.-W.; Peng, D. Soil conservation assessment via climate change and vegetation growth scenarios in the Nile River basin. J. Mt. Sci. 2021, 18, 863–877. [Google Scholar] [CrossRef]
- Maeda, E.E.; Formaggio, A.R.; Shimabukuro, Y.E. Impacts of Land Use and Land Cover Changes on Sediment Yield in a Brazilian Amazon Drainage Basin. GIScience Remote Sens. 2008, 45, 443–453. [Google Scholar] [CrossRef]
- Wang, H.; He, M.; Ran, N.; Xie, D.; Wang, Q.; Teng, M.; Wang, P. China’s Key Forestry Ecological Development Programs: Implementation, Environmental Impact and Challenges. Forests 2021, 12, 101. [Google Scholar] [CrossRef]
- Yang, S.; Liu, Y.; Wei, R.; Dong, X.; Lin, Q.; Zhang, C. Characteristics of spatial and temporal changes in vegetation cover during the growing season in the upper Yangtze River basin and its causes. Resour. Environ. Yangtze Basin 2022, 31, 1523–1533. [Google Scholar]
- Zhang, X.; Shao, Q.; Ning, J.; Liu, S.; Niu, L.; Yang, X.; Huang, H. Analysis of spatial differences in the degree of ecological restoration and vegetation restoration potential in the upper reaches of the Yangtze River. Geogr. Res. 2023, 42, 1904–1920. [Google Scholar]
- Sen, P.K. Estimates of the Regression Coefficient Based on Kendall’s Tau. J. Am. Stat. Assoc. 1968, 63, 1379–1389. [Google Scholar] [CrossRef]
- Lei, Q.; Hu, Z.W.; Wang, J.Z.; Zhang, Y.H.; Wu, G.F. Spatiotemporal dynamics of NDVI in China from 1985 to 2015: Ecosystem variation, regional differences, and response to climatic factors. Acta Ecol. Sin. 2023, 43, 6378–6391. [Google Scholar]
- Yi, Y.; Wang, B.; Shi, M.; Meng, Z.; Zhang, C. Variation in Vegetation and Its Driving Force in the Middle Reaches of the Yangtze River in China. Water 2021, 13, 2036. [Google Scholar] [CrossRef]
- Zeng, X.; Chen, T. Analysis of the driving forces of vegetation dynamic changes in southwest China. China Environ. Sci. 2023, 43, 6561–6570. [Google Scholar] [CrossRef]
- Jiang, W.; Niu, Z.; Wang, L.; Yao, R.; Gui, X.; Xiang, F.; Ji, Y. Impacts of Drought and Climatic Factors on Vegetation Dynamics in the Yellow River Basin and Yangtze River Basin, China. Remote Sens. 2022, 14, 930. [Google Scholar] [CrossRef]
- Cui, L.F.; Wang, Z.D.; Deng, L.H.; Qu, S. Vegetation dynamics and their relations with climate change at seasonal scales in the Yangtze river basin, China. Appl. Ecol. Environ. Res. 2020, 18, 3543–3556. [Google Scholar] [CrossRef]
- Zuo, D.; Han, Y.; Xu, Z.; Li, P.; Ban, C.; Sun, W.; Pang, B.; Peng, D.; Kan, G.; Zhang, R.; et al. Time-lag effects of climatic change and drought on vegetation dynamics in an alpine river basin of the Tibet Plateau, China. J. Hydrol. 2021, 600, 126532. [Google Scholar] [CrossRef]
- Qu, S.; Wang, L.; Lin, A.; Yu, D.; Yuan, M.; Li, C. Distinguishing the impacts of climate change and anthropogenic factors on vegetation dynamics in the Yangtze River Basin, China. Ecol. Indic. 2020, 108, 105724. [Google Scholar] [CrossRef]
- Duo, A.; Zhao, W.; Gong, Z.; Zhang, M.; Fan, Y. Temporal analysis of climate change and its relationship with vegetation cover on the north China plain from 1981 to 2013. Acta Ecol. Sin. 2017, 37, 576–592. [Google Scholar]
- Hu, M.; Yu, H.; Kong, B.; Xiong, Z.; Xu, T. Characteristics of spatial and temporal changes in vegetation cover in the Jialing River Basin from 2001 to 2020. Yangtze River 2022, 53, 82–89+96. [Google Scholar] [CrossRef]
- Lu, C.; Dong, X.; Tang, J.; Liu, G. Impacts of large cascade reservoirs on runoff and sediment load variations in Jinsha River Basin. Sci. Soil Water Conserv. 2019, 17, 36–43. [Google Scholar] [CrossRef]
- Qin, L.; Dong, X.; Du, Z.; Chen, X. Characteristics of water and sand changes in the lower Jinsha River and analysis of sand interception in terraced reservoirs. J. Sediment Res. 2019, 44, 24–30. [Google Scholar] [CrossRef]
- Liu, S.; Zhang, X.; Xu, Q.; Yue, Y. Characterization of suspended-mass sand transport in the Jinsha River basin over the past 50 years. J. Sediment Res. 2020, 45, 30–37. [Google Scholar] [CrossRef]
- Ouyang, W.; Hao, F.; Skidmore, A.K.; Toxopeus, A.G. Soil erosion and sediment yield and their relationships with vegetation cover in upper stream of the Yellow River. Sci. Total Environ. 2010, 409, 396–403. [Google Scholar] [CrossRef] [PubMed]
- Gao, H.; Wu, Z. Vegetation restoration in the Toudaoqian-Tongguan zone of the Yellow River and its impact on water-sand processes. Acta Ecol. Sin. 2021, 76, 1206–1217. [Google Scholar]
- Zhang, F.; Shi, X.; Zeng, C.; Wang, G.; Chen, Y.; Wang, L.; Zhang, H.; Yu, Z. Changes and impacts of riverine sand transport on the Tibetan Plateau. Bull. Chin. Acad. Sci. 2019, 34, 1274–1284. [Google Scholar] [CrossRef]
- Zhang, Y.; Liu, B.; Zhang, Q.; Xie, Y. Effect of Different Vegetation Types on Soil Erosion by Water. Acta Bot. Sin. 2003, 10, 1204–1209. [Google Scholar]
- Shao, Q.; Xiao, T.; Liu, J.; Xiao, T.; Qi, Y. Soil erosion rates and characteristics of typical alpine meadow using ~137Cs technique in Qinghai-Tibet Plateau. Chin. Sci. Bull. 2011, 56, 1708–1713. [Google Scholar] [CrossRef]
- Cao, R. A simple method to improve the quality of NDVI time-series data by integrating spatiotemporal information with the Savitzky-Golay filter. Remote Sens. Environ. 2018, 217, 244–257. [Google Scholar] [CrossRef]
- Li, S.; Xu, L.; Chen, J.; Jiang, Y.; Sun, S.; Yu, S.; Tan, Z.; Li, X. Monitoring vegetation dynamics (2010–2020) in Shengnongjia Forestry District with cloud-removed MODIS NDVI series by a spatio-temporal reconstruction method. Egypt. J. Remote Sens. Space Sci. 2023, 26, 527–543. [Google Scholar] [CrossRef]
- Zhang, H.; Li, L.; Zhao, X.; Chen, F.; Wei, J.; Feng, Z.; Hou, T.; Chen, Y.; Yue, W.; Shang, H.; et al. Changes in Vegetation NDVI and Its Response to Climate Change and Human Activities in the Ferghana Basin from 1982 to 2015. Remote Sens. 2024, 16, 1296. [Google Scholar] [CrossRef]
- Bienes, R.; Marques, M.J.; Sastre, B.; García-Díaz, A.; Ruiz-Colmenero, M. Eleven years after shrub revegetation in semiarid eroded soils. Influence in soil properties. Geoderma 2016, 273, 106–114. [Google Scholar] [CrossRef]
- Gutierrez-Cori, O.; Espinoza, J.C.; Li, L.; Wongchuig, S.; Arias, P.A.; Ronchail, J.; Segura, H. On the Hydroclimate-Vegetation Relationship in the Southwestern Amazon During the 2000–2019 Period. Front. Water 2021, 3, 648499. [Google Scholar] [CrossRef]
- Zhang, W.; Hu, G.; Dang, Y.; Weindorf, D.C.; Sheng, J. Afforestation and the impacts on soil and water conservation at decadal and regional scales in Northwest China. J. Arid. Environ. 2016, 130, 98–104. [Google Scholar] [CrossRef]
- He, X.; Miao, Z.; Wang, Y.; Yang, L.; Zhang, Z. Response of soil erosion to climate change and vegetation restoration in the Ganjiang River Basin, China. Ecol. Indic. 2024, 158, 111429. [Google Scholar] [CrossRef]
- Zhang, B.; He, C.; Burnham, M.; Zhang, L. Evaluating the coupling effects of climate aridity and vegetation restoration on soil erosion over the Loess Plateau in China. Sci. Total Environ. 2016, 539, 436–449. [Google Scholar] [CrossRef]
- Aradottir, A.L.; Hagen, D. Chapter Three—Ecological Restoration: Approaches and Impacts on Vegetation, Soils and Society. In Advance Agronomy; Sparks, D.L., Ed.; Academic Press: Cambridge, MA, USA, 2013; Volume 120, pp. 173–222. [Google Scholar] [CrossRef]
- Hu, J.; Zhou, Q.; Cao, Q.; Hu, J. Effects of ecological restoration measures on vegetation and soil properties in semi-humid sandy land on the southeast Qinghai-Tibetan Plateau, China. Glob. Ecol. Conserv. 2022, 33, e02000. [Google Scholar] [CrossRef]
- Zhang, D.; Ge, W.; Zhang, Y. Evaluating the vegetation restoration sustainability of ecological projects: A case study of Wuqi County in China. J. Clean. Prod. 2020, 264, 121751. [Google Scholar] [CrossRef]













| NDVI Trend Characteristics | ||
|---|---|---|
| > 0 | ≥2.58 | Extremely significant improvement |
| ≥1.96 | Significant improvement | |
| <1.96 | Non-significant improvement | |
| 0 < | <1.96 | Non-significant degradation |
| ≥1.96 | Significant degradation | |
| ≥2.58 | Extremely significant degradation |
| Three Gorges Reservoir Basin | 2001 | 2002 | 2003 | 2004 | 2005 | 2006 | 2007 | 2008 | 2009 | 2010 | 2011 |
| 0.73 | 0.75 | 0.75 | 0.75 | 0.76 | 0.75 | 0.77 | 0.77 | 0.77 | 0.77 | 0.77 | |
| 2012 | 2013 | 2014 | 2015 | 2016 | 2017 | 2018 | 2019 | 2020 | 2021 | 2022 | |
| 0.78 | 0.78 | 0.77 | 0.79 | 0.79 | 0.79 | 0.78 | 0.79 | 0.79 | 0.80 | 0.78 | |
| Min-Tuo River Basin | 2001 | 2002 | 2003 | 2004 | 2005 | 2006 | 2007 | 2008 | 2009 | 2010 | 2011 |
| 0.71 | 0.72 | 0.71 | 0.72 | 0.73 | 0.74 | 0.73 | 0.71 | 0.71 | 0.73 | 0.74 | |
| 2012 | 2013 | 2014 | 2015 | 2016 | 2017 | 2018 | 2019 | 2020 | 2021 | 2022 | |
| 0.70 | 0.75 | 0.71 | 0.74 | 0.73 | 0.73 | 0.72 | 0.74 | 0.73 | 0.75 | 0.74 | |
| Jinsha River Basin | 2001 | 2002 | 2003 | 2004 | 2005 | 2006 | 2007 | 2008 | 2009 | 2010 | 2011 |
| 0.58 | 0.59 | 0.57 | 0.57 | 0.59 | 0.60 | 0.59 | 0.58 | 0.60 | 0.60 | 0.60 | |
| 2012 | 2013 | 2014 | 2015 | 2016 | 2017 | 2018 | 2019 | 2020 | 2021 | 2022 | |
| 0.60 | 0.61 | 0.58 | 0.59 | 0.59 | 0.60 | 0.60 | 0.60 | 0.62 | 0.63 | 0.60 | |
| Jialing River Basin | 2001 | 2002 | 2003 | 2004 | 2005 | 2006 | 2007 | 2008 | 2009 | 2010 | 2011 |
| 0.72 | 0.74 | 0.75 | 0.76 | 0.76 | 0.75 | 0.77 | 0.77 | 0.77 | 0.77 | 0.79 | |
| 2012 | 2013 | 2014 | 2015 | 2016 | 2017 | 2018 | 2019 | 2020 | 2021 | 2022 | |
| 0.78 | 0.80 | 0.77 | 0.79 | 0.79 | 0.78 | 0.79 | 0.79 | 0.80 | 0.80 | 0.79 | |
| Wujiang River Basin | 2001 | 2002 | 2003 | 2004 | 2005 | 2006 | 2007 | 2008 | 2009 | 2010 | 2011 |
| 0.72 | 0.74 | 0.74 | 0.74 | 0.76 | 0.74 | 0.76 | 0.76 | 0.75 | 0.76 | 0.76 | |
| 2012 | 2013 | 2014 | 2015 | 2016 | 2017 | 2018 | 2019 | 2020 | 2021 | 2022 | |
| 0.76 | 0.76 | 0.78 | 0.78 | 0.79 | 0.79 | 0.76 | 0.78 | 0.78 | 0.80 | 0.78 |
| Sub Basin | Hydrological Factors | NDVI | Annual Precipitation/mm |
|---|---|---|---|
| Jinsha River | runoff | 0.27 | 0.802 ** |
| Sediment | −0.401 | −0.165 | |
| Min-Tuo Rive | runoff | −0.763 ** | 0.914 ** |
| Sediment | −0.067 | 0.592 * | |
| Jialing Rive | runoff | 0.076 | 0.868 ** |
| Sediment | 0.16 | 0.477 | |
| Three Gorges Reservoir | runoff | 0.497 * | 0.538 * |
| Sediment | −0.396 | 0.444 | |
| Wujiang River | runoff | 0.298 | 0.853 ** |
| Sediment | −0.404 | 0.571 * |
Disclaimer/Publisher’s Note: The statements, opinions and data contained in all publications are solely those of the individual author(s) and contributor(s) and not of MDPI and/or the editor(s). MDPI and/or the editor(s) disclaim responsibility for any injury to people or property resulting from any ideas, methods, instructions or products referred to in the content. |
© 2025 by the authors. Licensee MDPI, Basel, Switzerland. This article is an open access article distributed under the terms and conditions of the Creative Commons Attribution (CC BY) license (https://creativecommons.org/licenses/by/4.0/).
Share and Cite
Ma, Y.; Li, M.; Yao, H.; Chen, P.; Pan, H. Change of NDVI in the Upper Reaches of the Yangtze River and Its Influence on the Water–Sand Process in the Three Gorges Reservoir. Sustainability 2025, 17, 739. https://doi.org/10.3390/su17020739
Ma Y, Li M, Yao H, Chen P, Pan H. Change of NDVI in the Upper Reaches of the Yangtze River and Its Influence on the Water–Sand Process in the Three Gorges Reservoir. Sustainability. 2025; 17(2):739. https://doi.org/10.3390/su17020739
Chicago/Turabian StyleMa, Yiming, Mingyue Li, Huaming Yao, Peng Chen, and Hongzhong Pan. 2025. "Change of NDVI in the Upper Reaches of the Yangtze River and Its Influence on the Water–Sand Process in the Three Gorges Reservoir" Sustainability 17, no. 2: 739. https://doi.org/10.3390/su17020739
APA StyleMa, Y., Li, M., Yao, H., Chen, P., & Pan, H. (2025). Change of NDVI in the Upper Reaches of the Yangtze River and Its Influence on the Water–Sand Process in the Three Gorges Reservoir. Sustainability, 17(2), 739. https://doi.org/10.3390/su17020739

