Optimization of Mechanical Properties and Durability of Steel Fiber-Reinforced Concrete by Nano CaCO3 and Nano TiC to Improve Material Sustainability
Abstract
1. Introduction
2. Materials and Methods
2.1. Experimental Materials
2.2. Specimen Preparation and Curing
2.3. Experimental Index Test
2.3.1. Mechanical Performance Testing
2.3.2. Frost Resistance Test and Relative Dynamic Modulus of Elasticity
2.3.3. SEM and EDS Analysis
2.3.4. XRD and FT-IR Analysis
3. Results
3.1. Mechanical Properties of SFRC When NC and NT Are Mixed Single
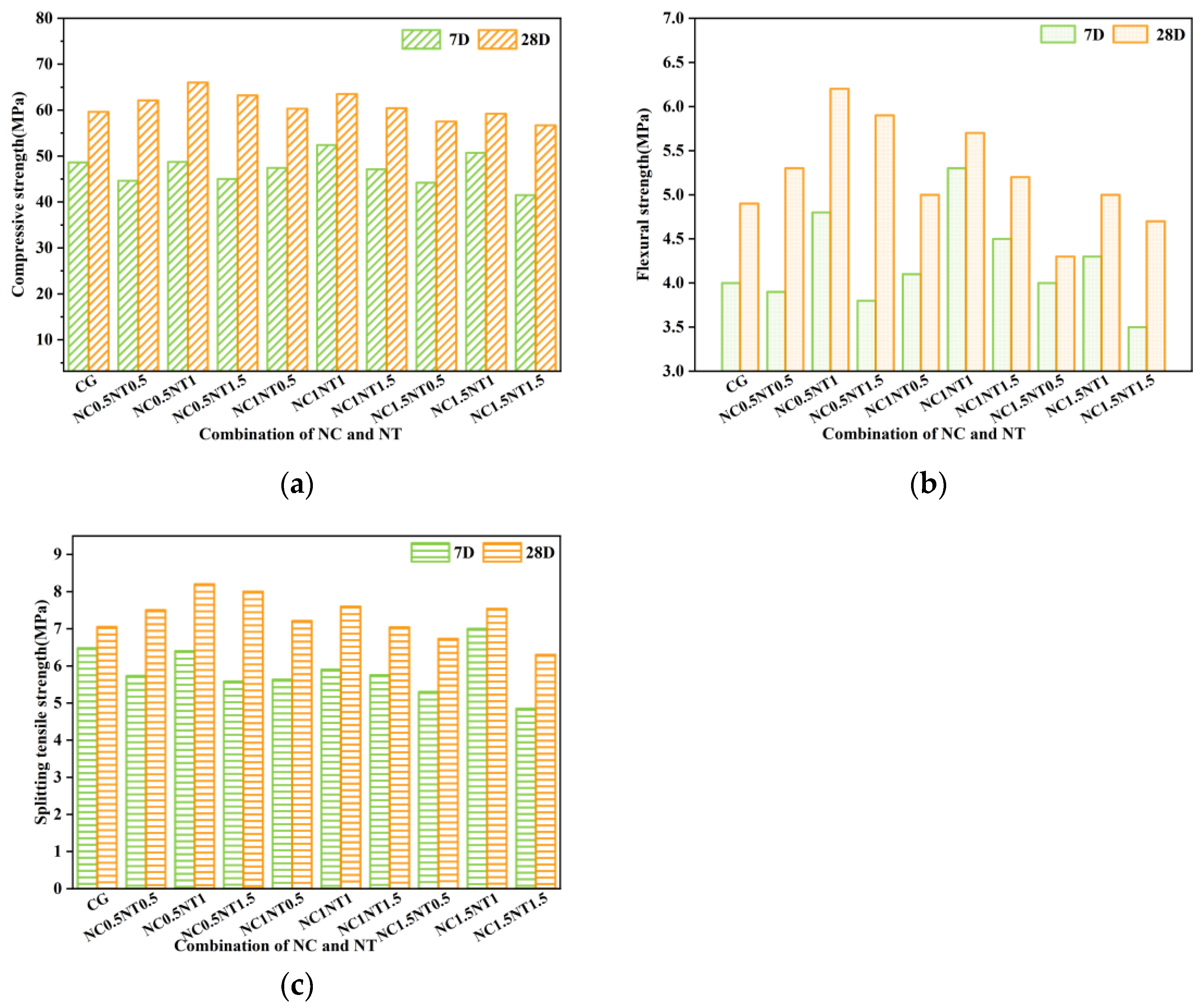
3.2. Mechanical Properties of SFRC When NC Is Compounded with NT
3.3. Analysis of the Mass Loss Rate
3.4. Relative Dynamic Modulus of Elasticity Analysis
3.5. Material Micro-Property Testing
3.5.1. SEM and EDS Analysis Results
3.5.2. XRD Analysis Results
3.5.3. FT-IR Analysis Results
4. Conclusions
Author Contributions
Funding
Data Availability Statement
Conflicts of Interest
References
- Abreu, F.D.S.; Ribeiro, C.C.; Pinto, J.D.D.S.; Nsumbu, T.M.; Buono, V.T.L. Influence of adding discontinuous and dispersed carbon fiber waste on concrete performance. J. Clean. Prod. 2020, 273, 122920. [Google Scholar] [CrossRef]
- Gong, J.; Ma, Y.; Fu, J.; Hu, J.; Ouyang, X.; Zhang, Z.; Wang, H. Utilization of fibers in ultra-high performance concrete: A review. Compos. Part B Eng. 2022, 241, 109995. [Google Scholar] [CrossRef]
- Zhu, H.; Wu, K.; Li, J.; Chen, G. Effect of synthetic fibers on mechanical proportion of fiber reinforced concrete. J. Tongji Univ. 2017, 44, 1894–1901. [Google Scholar]
- Rajkohila, A.; Chandar, S.P. Assessing the effect of natural fiber on mechanical properties and microstructural characteristics of high strength concrete. Ain Shams Eng. J. 2024, 15, 102666. [Google Scholar] [CrossRef]
- Guo, G. Preparation and mechanical properties of steel fiber reinforced concrete. J. Funct. Mater. 2020, 51, 11165–11170. [Google Scholar]
- Yang, J.-M.; Shin, H.-O.; Yoon, Y.-S.; Mitchell, D. Benefits of blast furnace slag and steel fibers on the static and fatigue performance of prestressed concrete sleepers. Eng. Struct. 2017, 134, 317–333. [Google Scholar] [CrossRef]
- Xu, Z.; Zhang, J.; Zhang, J.; Deng, Q.; Xue, Z.; Huang, G.; Huang, X. Influence of steel slag and steel fiber on the mechanical properties, durability, and life cycle assessment of ultra-high performance geopolymer concrete. Constr. Build. Mater. 2024, 441, 137590. [Google Scholar] [CrossRef]
- Xiang, L.; Wang, K. Research and Application of Steel Fiber Reinforced Concrete in Wear-Resistant Pavements in Cold Regions. China Pet. Chem. Stand. Qual. 2012, 32, 235–236. (In Chinese) [Google Scholar]
- Li, J.; Zhang, X.; Li, Z.; Zhang, J.; Shi, Z. Study on flexural toughness of steel fiber reinforced self-compacting lightweight aggregate concrete under freeze-thaw environment. Adv. Eng. Sci. 2024, 1–13. (In Chinese). Available online: http://kns.cnki.net/kcms/detail/51.1773.TB.20240606.1731.008.html (accessed on 24 December 2024).
- Wu, Z.; Shi, C.; Khayat, K.H.; Wan, S. Effects of different nanomaterials on hardening and performance of ultra-high strength concrete (UHSC). Cem. Concr. Compos. 2016, 70, 24–34. [Google Scholar] [CrossRef]
- Fu, Q.; Zhang, Z.; Zhao, X.; Xu, W.; Niu, D. Effect of nano calcium carbonate on hydration characteristics and microstructure of cement-based materials: A review. J. Build. Eng. 2022, 50, 104220. [Google Scholar] [CrossRef]
- Bheel, N.; Chohan, I.M.; Ghoto, A.A.; Abbasi, S.A.; Tag-Eldin, E.M.; Almujibah, H.R.; Ahmad, M.; Benjeddou, O.; Gonzalez-Lezcano, R.A. Synergistic effect of recycling waste coconut shell ash, metakaolin, and calcined clay as supplementary cementitious material on hardened properties and embodied carbon of high strength concrete. Case Stud. Constr. Mater. 2024, 20, e02980. [Google Scholar] [CrossRef]
- Mermerdaş, K.; Gesoğlu, M.; Güneyisi, E.; Özturan, T. Strength development of concretes incorporated with metakaolin and different types of calcined kaolins. Constr. Build. Mater. 2012, 37, 766–774. [Google Scholar] [CrossRef]
- Hu, N.; Tang, E.; Chang, D.; Liu, S.; Chu, X.; Xing, X.; Wang, R.; Liu, X. Modification of CaCO3 nanoparticle by styrene-acrylic polymer emulsion spraying and its application in polypropylene material. Powder Technol. 2021, 394, 83–91. [Google Scholar] [CrossRef]
- Liu, X.; Chen, L.; Liu, A.; Wang, X. Effect of nano-CaCO3 on properties of cement paste. Energy Procedia 2012, 16, 991–996. [Google Scholar] [CrossRef]
- Yao, D.; Liu, J.; Bai, Y. Linkage of multi-scale performances of nano-CaCO3 modified ultra-high performance engineered cementitious composites (UHP-ECC). Constr. Build. Mater. 2020, 234, 117418. [Google Scholar]
- Ming, X.; Ming, X. Influence of Conventional Dispersed Nano-CaCO3 on Performance of Concrete. J. Highw. Transp. Res. Dev. 2019, 36, 25–30. (In Chinese) [Google Scholar]
- Meng, T.; Yu, Y.; Wang, Z. Effect of nano-CaCO3 slurry on the mechanical properties and micro-structure of concrete with and without fly ash. Compos. Part B Eng. 2017, 117, 124–129. [Google Scholar] [CrossRef]
- Huang, Z.; Zu, T. Influence of Nano-CaCO3 on Ultra High Performance Concrete. Bull. Chin. Ceram. Soc. 2013, 32, 1103–1109+25. (In Chinese) [Google Scholar]
- Lothenbach, B.; Le Saout, G.; Gallucci, E.; Scrivener, K. Influence of limestone on the hydration of Portland cements. Cem. Concr. Res. 2008, 38, 848–860. [Google Scholar] [CrossRef]
- Lin, F.; Ren, M.; Wu, H.; Lu, Y.; Huo, M.; Yang, M.; Chen, Z.; Jiang, Z. Fabrication of TiC-graphene dual-reinforced self-lubricating Al matrix hybrid nanocomposites with superior mechanical and tribological properties. Tribol. Int. 2022, 171, 107535. [Google Scholar] [CrossRef]
- Jiang, M.; Li, B.; Chen, X.; Han, T.; Ma, S.; Duan, X.; Du, W.; Lei, Z.; Chen, Y. Enhanced surface finish and reduced porosity of TiC nanoparticles reinforced 2219 aluminum alloy deposit fabricated via oscillating laser-arc hybrid additive manufacturing. J. Manuf. Process. 2024, 120, 414–425. [Google Scholar] [CrossRef]
- Li, W.; Li, Y.; Zhao, Z.; Zheng, Q.; He, P.; Yi, D. Interfacial bonding and wear behavior of macroscopic TiC particulates reinforced iron-based composites fabricated by infiltration casting process. Tribol. Int. 2024, 199, 109991. [Google Scholar] [CrossRef]
- Zheng, Y.; Yan, X.; Qiao, G.; Tang, Y.; Geng, Y.; Shao, Z.; Bai, Q. Enhanced wear resistance of TiC/Ti6Al4V composites through changing TiC morphologies in laser direct energy deposition. Addit. Manuf. 2024, 84, 104134. [Google Scholar] [CrossRef]
- Daneshmand, S.; Sajadi, S.M.; Vini, M.H. A molecular dynamics simulation on corrosion, wear, and mechanical properties of laminated Al/TiC composites. Eng. Anal. Bound. Elem. 2023, 152, 598–607. [Google Scholar] [CrossRef]
- Chen, G.-C.; Li, X. Effect of TiC nano-treating on the fluidity and solidification behavior of aluminum alloy 6063. J. Mater. Process. Technol. 2024, 324, 118241. [Google Scholar] [CrossRef]
- Zheng, T.; Pan, S.; Liu, J.; Moodispaw, M.; Luo, A.A.; Taub, A.I.; Li, X. Study on nano-treating of Al-Mg-Si-Cu alloys with TiC nanoparticles. J. Alloys Compd. 2023, 947, 169405. [Google Scholar] [CrossRef]
- GB/T50081-2019; Standard for Test Methods for Physical and Mechanical Properties of Concrete. China Academy of Building Research: Beijing, China, 2019.
- Yang, X.; Wang, Z.; Wang, X.; Wen, Y.; Du, Y.; Ji, F. Study on Mechanical Properties of Nano-TiC-and Nano-SiO2-Modified Basalt Fiber Concrete. Buildings 2024, 14, 2120. [Google Scholar] [CrossRef]
- Wang, Z.-R.; Li, B.; Liu, H.-B.; Zhang, Y.-X.; Qin, X. Degradation characteristics of graphite tailings cement mortar subjected to freeze-thaw cycles. Constr. Build. Mater. 2020, 234, 117422. [Google Scholar] [CrossRef]
- GB/T50082-2009; Standard for Test Methods of Long-Term Performance and Durability of Ordinary Concrete. China Building Industry Press: Beijing, China, 2009.
- Sato, T.; Beaudoin, J.J. Effect of nano-CaCO3 on hydration of cement containing supplementary cementitious materials. Adv. Cem. Res. 2011, 23, 33–43. [Google Scholar] [CrossRef]
- Ge, Z.; Wang, K.; Sun, R.; Huang, D.; Hu, Y. Properties of self-consolidating concrete containing nano-CaCO3. J. Sustain. Cem. Based Mater. 2014, 3, 191–200. [Google Scholar] [CrossRef]
- Gillani, S.T.A.; Hu, K.; Tariq, J.; Song, L.; Zhang, W. Synergistic optimization: A comprehensive life cycle assessment for high-performance concrete with recycled aggregates and Next-Gen nylon waste fibers. Constr. Build. Mater. 2024, 430, 136491. [Google Scholar] [CrossRef]
- Cao, M.; Ming, X.; He, K.; Li, L.; Shen, S. Effect of Macro-, Micro- and Nano-Calcium Carbonate on Properties of Cementitious Composites—A Review. Materials 2019, 12, 781. [Google Scholar] [CrossRef]
- Tahwia, A.M.; Aldulaimi, D.S.; Abdellatief, M.; Youssf, O. Physical, mechanical and durability properties of eco-friendly engineered geopolymer composites. Infrastructures 2024, 9, 191. [Google Scholar] [CrossRef]
- Kenai, S.; Soboyejo, W.; Soboyejo, A. Some engineering properties of limestone concrete. Mater. Manuf. Process. 2004, 19, 949–961. [Google Scholar] [CrossRef]
- Shaikh, F.U.A.; Supit, S.W.M. Compressive strength and durability of high-volume fly ash concrete reinforced with calcium carbonate nanoparticles—ScienceDirect. In Fillers and Reinforcements for Advanced Nanocomposites; Elsevier: Amsterdam, The Netherlands, 2015; pp. 275–307. [Google Scholar]
- Danying, G.; Liangping, Z.; Gang, C. Compressive stress-strain relationship of fiber and nanosized material reinforced concrete in high temperature. China Civ. Eng. J. 2017, 9, 46–58. [Google Scholar]
- Vance, K.; Aguayo, M.; Oey, T.; Sant, G.; Neithalath, N. Hydration and strength development in ternary portland cement blends containing limestone and fly ash or metakaolin. Cem. Concr. Compos. 2013, 39, 93–103. [Google Scholar] [CrossRef]
- Lertwattanaruk, P.; Sua-Iam, G.; Makul, N. Effects of calcium carbonate powder on the fresh and hardened properties of self-consolidating concrete incorporating untreated rice husk ash. J. Clean. Prod. 2018, 172 (Pt 3), 3265–3278. [Google Scholar] [CrossRef]
- Tan, Y.; Long, J.; Xiong, W.; Chen, X.; Zhao, B. Effects of polypropylene fibers on the frost resistance of natural sand concrete and machine-made sand concrete. Polymers 2022, 14, 4054. [Google Scholar] [CrossRef]
- Wu, Z.; Shi, C.; Khayat, K.H. Multi-scale investigation of microstructure, fiber pullout behavior, and mechanical properties of ultra-high performance concrete with nano-CaCO3 particles. Cem. Concr. Compos. 2018, 86, 255–265. [Google Scholar] [CrossRef]
- Yang, H.S.; Che, Y.J.; Zhang, M. Effect of Nano-CaCO3/Limestone Powder Composite on the Early Age Cement Hydration Products. Key Eng. Mater. 2016, 703, 354–359. [Google Scholar] [CrossRef]
- Eslami, J.; Walbert, C.; Beaucour, A.-L.; Bourges, A.; Noumowe, A. Influence of physical and mechanical properties on the durability of limestone subjected to freeze-thaw cycles. Constr. Build. Mater. 2018, 162, 420–429. [Google Scholar] [CrossRef]
- Xiao, Q.H.; Cao, Z.Y.; Guan, X.; Li, Q.; Liu, X.L. Damage to recycled concrete with different aggregate substitution rates from the coupled action of freeze-thaw cycles and sulfate attack. Constr. Build. Mater. 2019, 221, 74–83. [Google Scholar] [CrossRef]
- Cao, M.; Li, L.; Khan, M. Effect of hybrid fibers, calcium carbonate whisker and coarse sand on mechanical properties of cement-based composites. Mater. De. Construcción 2018, 68, 156. [Google Scholar] [CrossRef]
- Cai, Y.; Hou, P.; Zhou, Z.; Cheng, X. Effects of nano-CaCO3 on the properties of cement paste: Hardening process and shrinkage at different humidity levels. In Proceedings of the International Conference on Durability Concrete Structures, Leeds, UK, 18–20 July 2018. [Google Scholar]
- Sekkal, W.; Zaoui, A. Enhancing the interfacial bond strength of cement nanocomposite with carbonate nanostructure. Compos. Part B Eng. 2017, 124, 111–119. [Google Scholar] [CrossRef]
- Zhang, J.; Diao, B.; Li, Y.D.; Zheng, X.N. Performance Comparison between High Strength Concrete and Ordinary Concrete under Mixed Erosion and Freeze-Thaw Cycling. Adv. Mater. Res. 2011, 163, 1667–1672. [Google Scholar] [CrossRef]
- Wu, S.; Sun, K.; Zhao, H.; Zhang, F. Quantitative Invalidation Characterization of Portland Cement Based on BSE and EDS Analysis. Constr. Build. Mater. 2018, 158, 700–706. [Google Scholar] [CrossRef]
- Hu, K.; Liu, M.; Chen, Y.; Tao, X.; Yu, X.; Zheng, D. Effect and mechanism of accelerated carbonization on the adhesion property of asphalt mixture containing recycled concrete aggregate. Constr. Build. Mater. 2024, 445, 137932. [Google Scholar] [CrossRef]
- Yang, Z.; Wang, K.; Zhang, D.; Zhang, J.; Jiao, Y.; Fang, C.; Tang, W.; Zhao, Z. Durability of geopolymer cementitious materials synergistically stimulated by Ca2+ and Na+. Case Stud. Constr. Mater. 2024, 21, e03514. [Google Scholar] [CrossRef]
- Shaikh, F.U.A.; Supit, S.W.M.; Barbhuiya, S. Microstructure and Nanoscaled Characterization of HVFA Cement Paste Containing Nano-SiO2 and Nano-CaCO3. J. Mater. Civ. Eng. 2017, 29, 04017063. [Google Scholar] [CrossRef]
- Wu, F.; Liu, X.; Qu, G.; Ning, P.; Jin, C.; Cui, Q.; Ren, Y.; He, M.; Yang, Y.; Li, J. Solidification and stabilization of harmful elements in antimony tailings and synergistic utilization of multiple solid wastes. Cem. Concr. Compos. 2022, 133, 10471. [Google Scholar] [CrossRef]
- Wang, D.; Shi, C.; Farzadnia, N.; Shi, Z.; Jia, H.; Ou, Z. A review on use of limestone powder in cement-based materials: Mechanism, hydration and microstructures. Constr. Build. Mater. 2018, 181, 659–672. [Google Scholar] [CrossRef]
- Bentz, D.P.; Ardani, A.; Barrett, T.; Jones, S.Z.; Lootens, D.; Peltz, M.A.; Sato, T.; Stutzman, P.E.; Tanesi, J.; Weiss, W.J. Multi-scale investigation of the performance of limestone in concrete. Constr. Build. Mater. 2015, 75, 1–10. [Google Scholar] [CrossRef]
- Wang, W.; Yuan, Y.; Shi, F.; Li, Q.; Zhao, S.; Wang, J.; Sheng, M.; Wang, Z. Enhancing dispersibility of nanofiller via polymer-modification for preparation of mixed matrix membrane with high CO2 separation performance. J. Membr. Sci. 2023, 683, 121791. [Google Scholar] [CrossRef]
- Quan, P.; Sun, Q.; Xu, Z.; Shi, M.; Gao, Z.; Wang, D.; Liu, D.; Yang, L.; Song, S. Study on the mechanical properties and strength formation mechanism of high-volume graphite tailings concrete. J. Build. Eng. 2024, 84, 108500. [Google Scholar] [CrossRef]
- Liu, H.; Bai, Q.; Ma, H.; Xin, Z.; Deng, S.; Jiang, C. Research on the preparation of eco-economical ultra-high performance concrete utilizing graphite tailings resources. Constr. Build. Mater. 2024, 438, 137102. [Google Scholar] [CrossRef]











| Ingredient Quality | |||||||||
|---|---|---|---|---|---|---|---|---|---|
| Number | Water | River Sand | Gravel | Cement | Steel Fibers | Nano CaCO3 | Nano TiC | Water-Reducing Agent | |
| Part 1 | CG | 140.8 | 676 | 1202 | 352 | 40 | 0 | 0 | 3.52 |
| NC0.5 | 140.8 | 676 | 1202 | 350.24 | 40 | 1.76 | 0 | 3.52 | |
| NC1 | 140.8 | 676 | 1202 | 348.48 | 40 | 3.52 | 0 | 3.52 | |
| NC1.5 | 140.8 | 676 | 1202 | 346.72 | 40 | 5.28 | 0 | 3.52 | |
| NT0.5 | 140.8 | 676 | 1202 | 350.24 | 40 | 0 | 1.76 | 3.52 | |
| NT1 | 140.8 | 676 | 1202 | 348.48 | 40 | 0 | 3.52 | 3.52 | |
| NT1.5 | 140.8 | 676 | 1202 | 346.72 | 40 | 0 | 5.28 | 3.52 | |
| Part 2 | NC0.5NT0.5 | 140.8 | 676 | 1202 | 348.48 | 40 | 1.76 | 1.76 | 3.52 |
| NC0.5NT1 | 140.8 | 676 | 1202 | 346.72 | 40 | 1.76 | 3.52 | 3.52 | |
| NC0.5NT1.5 | 140.8 | 676 | 1202 | 344.96 | 40 | 1.76 | 5.28 | 3.52 | |
| NC1NT0.5 | 140.8 | 676 | 1202 | 346.72 | 40 | 3.52 | 1.76 | 3.52 | |
| NC1NT1 | 140.8 | 676 | 1202 | 344.96 | 40 | 3.52 | 3.52 | 3.52 | |
| NC1NT1.5 | 140.8 | 676 | 1202 | 343.2 | 40 | 3.52 | 5.28 | 3.52 | |
| NC1.5NT0.5 | 140.8 | 676 | 1202 | 344.96 | 40 | 5.28 | 1.76 | 3.52 | |
| NC1.5NT1 | 140.8 | 676 | 1202 | 343.2 | 40 | 5.28 | 3.52 | 3.52 | |
| NC1.5NT1.5 | 140.8 | 676 | 1202 | 341.44 | 40 | 5.28 | 5.28 | 3.52 | |
Disclaimer/Publisher’s Note: The statements, opinions and data contained in all publications are solely those of the individual author(s) and contributor(s) and not of MDPI and/or the editor(s). MDPI and/or the editor(s) disclaim responsibility for any injury to people or property resulting from any ideas, methods, instructions or products referred to in the content. |
© 2025 by the authors. Licensee MDPI, Basel, Switzerland. This article is an open access article distributed under the terms and conditions of the Creative Commons Attribution (CC BY) license (https://creativecommons.org/licenses/by/4.0/).
Share and Cite
Wen, Y.; Wang, Z.; Yuan, X.; Yang, X. Optimization of Mechanical Properties and Durability of Steel Fiber-Reinforced Concrete by Nano CaCO3 and Nano TiC to Improve Material Sustainability. Sustainability 2025, 17, 641. https://doi.org/10.3390/su17020641
Wen Y, Wang Z, Yuan X, Yang X. Optimization of Mechanical Properties and Durability of Steel Fiber-Reinforced Concrete by Nano CaCO3 and Nano TiC to Improve Material Sustainability. Sustainability. 2025; 17(2):641. https://doi.org/10.3390/su17020641
Chicago/Turabian StyleWen, Yajing, Zhengjun Wang, Xilin Yuan, and Xin Yang. 2025. "Optimization of Mechanical Properties and Durability of Steel Fiber-Reinforced Concrete by Nano CaCO3 and Nano TiC to Improve Material Sustainability" Sustainability 17, no. 2: 641. https://doi.org/10.3390/su17020641
APA StyleWen, Y., Wang, Z., Yuan, X., & Yang, X. (2025). Optimization of Mechanical Properties and Durability of Steel Fiber-Reinforced Concrete by Nano CaCO3 and Nano TiC to Improve Material Sustainability. Sustainability, 17(2), 641. https://doi.org/10.3390/su17020641
