Seashell Powder as a Sustainable Alternative in Cement-Based Materials: A Systematic Literature Review
Abstract
1. Introduction
- What processing procedures have been applied in studies utilizing seashells as partial replacements for cement in cementitious composites?
- What are the physical and chemical properties of the seashell powder used in these replacements?
- What are the most commonly used substitution levels and types of cement?
- How does the addition of seashell powder affect the properties of the produced composite?
2. Methods
3. Results
3.1. Seashell Beneficiation Process
3.2. Physical and Chemical Characteristics of Shells
3.3. Dosages Used in Experiments
3.4. Properties of the Produced Cementitious Composites
3.4.1. Seashell Characterization
3.4.2. Fresh State Properties
3.4.3. Hardened State Properties
3.4.4. Durability
3.5. Carbon Emissions
4. Conclusions
- Research on using seashells as mineral additives has expanded in recent years. This includes binary cement and shell powder mixtures, as well as ternary or more complex combinations with other SCMs and admixtures. Most experiments have focused on mortar as the primary material for testing, followed by concrete and cement pastes;
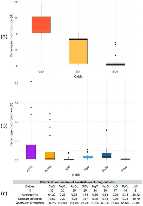
- The chemical composition of seashells varies by species and region, leading to disparities in reported values, particularly for CaO content. These discrepancies are further influenced by differences in reporting approaches across studies. Similarly, variations in the physical properties of seashell powder, such as specific gravity and surface area, can be attributed to the diversity of shell processing methods. Generally, shell powder demonstrates a lower specific gravity and higher specific surface area than cement, which affects its behavior in cementitious composites;
- Ordinary Portland Cement (OPC) was the most commonly used cement type in experiments, with water/binder ratios typically ranging from 0.40 to 0.50. Replacement levels of cement with shell powder predominantly ranged from 5% to 30%, guided by prior research and established practices for other SCMs;
- The mechanical properties of composites incorporating seashell powder vary across studies, mainly depending on the type of shell and the processing method used. Positive effects on mechanical strength, workability, and durability were consistently reported at replacement levels between 5% and 15%. This substitution range aligns with that used for inert mineral additives, such as limestone fillers;
- The environmental benefits of using seashell powder as a partial cement substitute are evident in the reduced carbon emissions of cementitious composites, regardless of whether the powder is calcined or not. From an environmental perspective, uncalcined shell powder is more sustainable due to its lower processing energy requirements. However, high substitution levels can negatively impact the emissions per MPa of compressive strength, mainly due to strength reductions. Therefore, the optimal substitution levels that balance environmental benefits with mechanical performance typically fall between 5% and 15%.
5. Research Gaps and Recommendations
- Standardizing processing methods and test protocols to reduce variability in results and ensure comparability across studies;
- Detailed reporting of processing parameters, shell powder characteristics, and dosage should be prioritized to better understand how these factors influence the properties;
- Developing predictive models that account for seashell type, processing method, and dosage to facilitate the customization of mixtures for specific applications;
- Expanding life-cycle assessments to include both environmental and economic feasibility, particularly focusing on energy consumption, processing costs, and regional availability of shell waste;
- Investigating long-term durability and performance under various environmental conditions to ensure practical applicability.
Supplementary Materials
Author Contributions
Funding
Data Availability Statement
Conflicts of Interest
References
- United Nations Environment Programme. 2020 Global Status Report for Buildings and Construction: Towards a Zero-Emission, Efficient and Resilient Buildings and Construction Sector; United Nations Environment Programme: Nairobi, Kenya, 2020. [Google Scholar]
- Supriya; Chaudhury, R.; Sharma, U.; Thapliyal, P.C.; Singh, L.P. Low-CO2 Emission Strategies to Achieve Net Zero Target in Cement Sector. J. Clean. Prod. 2023, 417, 137466. [Google Scholar] [CrossRef]
- Guo, Y.; Luo, L.; Liu, T.; Hao, L.; Li, Y.; Liu, P.; Zhu, T. A Review of Low-Carbon Technologies and Projects for the Global Cement Industry. J. Environ. Sci. 2024, 136, 682–697. [Google Scholar] [CrossRef]
- Tayebani, B.; Said, A.; Memari, A. Less Carbon Producing Sustainable Concrete from Environmental and Performance Perspectives: A Review. Constr. Build. Mater. 2023, 404, 133234. [Google Scholar] [CrossRef]
- Snellings, R.; Suraneni, P.; Skibsted, J. Future and Emerging Supplementary Cementitious Materials. Cem. Concr. Res. 2023, 171, 107199. [Google Scholar] [CrossRef]
- European Committee for Standardization. EN 206:13: Concrete—Specification, Performance, Production and Conformity, 2nd ed.; European Committee for Standardization: Brussels, Belgium, 2013. [Google Scholar]
- John, V.M.; Damineli, B.L.; Quattrone, M.; Pileggi, R.G. Fillers in Cementitious Materials—Experience, Recent Advances and Future Potential. Cem. Concr. Res. 2018, 114, 65–78. [Google Scholar] [CrossRef]
- Bamigboye, G.; Enabulele, D.; Odetoyan, A.O.; Kareem, M.A.; Nworgu, A.; Bassey, D. Mechanical and Durability Assessment of Concrete Containing Seashells: A Review. Cogent Eng. 2021, 8, 1883830. [Google Scholar] [CrossRef]
- El Biriane, M.; Barbachi, M. State-of-the-Art Review on Recycled Mussel Shell Waste in Concrete and Mortar. Innov. Infrastruct. Solut. 2021, 6, 29. [Google Scholar] [CrossRef]
- Hamada, H.M.; Abed, F.; Tayeh, B.; Al Jawahery, M.S.; Majdi, A.; Yousif, S.T. Effect of Recycled Seashells on Concrete Properties: A Comprehensive Review of the Recent Studies. Constr. Build. Mater. 2023, 376, 131036. [Google Scholar] [CrossRef]
- Tayeh, B.A.; Hasaniyah, M.W.; Zeyad, A.M.; Yusuf, M.O. Properties of Concrete Containing Recycled Seashells as Cement Partial Replacement: A Review. J. Clean. Prod. 2019, 237, 117723. [Google Scholar] [CrossRef]
- Mo, K.H.; Alengaram, U.J.; Jumaat, M.Z.; Lee, S.C.; Goh, W.I.; Yuen, C.W. Recycling of Seashell Waste in Concrete: A Review. Constr. Build. Mater. 2018, 162, 751–764. [Google Scholar] [CrossRef]
- Ruslan, H.N.; Muthusamy, K.; Syed Mohsin, S.M.; Jose, R.; Omar, R. Oyster Shell Waste as a Concrete Ingredient: A Review. Mater. Today Proc. 2022, 48, 713–719. [Google Scholar] [CrossRef]
- Xiao, Y.; Watson, M. Guidance on Conducting a Systematic Literature Review. J. Plan. Educ. Res. 2019, 39, 93–112. [Google Scholar] [CrossRef]
- Page, M.J.; McKenzie, J.E.; Bossuyt, P.M.; Boutron, I.; Hoffmann, T.C.; Mulrow, C.D.; Shamseer, L.; Tetzlaff, J.M.; Akl, E.A.; Brennan, S.E.; et al. The PRISMA 2020 Statement: An Updated Guideline for Reporting Systematic Reviews. BMJ 2021, 372, n71. [Google Scholar] [CrossRef]
- Alla, S.; Sankar, A.S. Experimental Investigation of Snail Shell-Based Cement Mortar: Mechanical Strength, Durability and Microstructure. U.Porto J. Eng. 2023, 9, 51–70. [Google Scholar] [CrossRef]
- Liao, Y.; Li, W.; Da, B.; Meng, Y.; Chen, D. Research on Properties of Waste Oyster Shell Mortar: The Effect of Calcination Temperature of Oyster Shell Powder. Case Stud. Constr. Mater. 2023, 19, e02639. [Google Scholar] [CrossRef]
- Xuan, M.Y.; Cho, H.K.; Wang, X.Y. Performance Improvement of Waste Oyster-Shell Powder–Cement Binary System via Carbonation Curing. J. Build. Eng. 2023, 70, 106336. [Google Scholar] [CrossRef]
- Hay, R.; Peng, B.; Celik, K. Filler Effects of CaCO3 Polymorphs Derived from Limestone and Seashell on Hydration and Carbonation of Reactive Magnesium Oxide (MgO) Cement (RMC). Cem. Concr. Res. 2023, 164, 107040. [Google Scholar] [CrossRef]
- Liu, S.; Zhang, Y.; Liu, B.; Zou, Z.; Liu, Q.; Teng, Y.; Zhang, L.V. Sustainable Use of Waste Oyster Shell Powders in a Ternary Supplementary Cementitious Material System for Green Concrete. Materials 2022, 15, 4886. [Google Scholar] [CrossRef]
- Palaniappan, K.K.; Komarasamy, C.; Murugan, S. Utilization of Cuttlebone as Filler in Hydrophobic Foam Mortar: A Technical and Economical Feasibility Study. J. Mater. Civ. Eng. 2022, 34, 04022191. [Google Scholar] [CrossRef]
- Liu, S.; Wang, Y.; Liu, B.; Zou, Z.; Teng, Y.; Ji, Y.; Zhou, Y.; Zhang, L.V.; Zhang, Y. Sustainable Utilization of Waste Oyster Shell Powders with Different Fineness Levels in a Ternary Supplementary Cementitious Material System. Sustainability 2022, 14, 5981. [Google Scholar] [CrossRef]
- Bouasria, M.; Benzaama, M.H.; Pralong, V.; El Mendili, Y. Mechanical and Hygrothermal Performance of Fly-Ash and Seashells Concrete: In Situ Experimental Study and Smart Hygrothermal Modeling for Normandy Climate Conditions. Arch. Civ. Mech. Eng. 2022, 22, 100. [Google Scholar] [CrossRef]
- Han, Y.; Lin, R.; Wang, X.Y. Performance of Sustainable Concrete Made from Waste Oyster Shell Powder and Blast Furnace Slag. J. Build. Eng. 2022, 47, 103918. [Google Scholar] [CrossRef]
- Alla, S.; Asadi, S.S. Experimental Investigation and Microstructural Behavior of Un-Calcined and Calcined Snail Shell Powder Cement Mortar. J. Build. Pathol. Rehabil. 2022, 7, 42. [Google Scholar] [CrossRef]
- Monisha, R.; Balasubramanian, M. Characterization Study on Recycled Oceanic Waste in Hybrid Cement Amalgams. J. Eng. Res. 2022, 9. [Google Scholar] [CrossRef]
- El Mendili, Y.; Benzaama, M.H. Investigation of Mechanical and Thermal Performance of Concrete with Scallop Shells as Partial Cement Replacement: Alternative Binder and Life Cycle Assessment. CivilEng 2022, 3, 760–778. [Google Scholar] [CrossRef]
- Liao, Y.; Wang, X.; Wang, L.; Yin, Z.; Da, B.; Chen, D. Effect of Waste Oyster Shell Powder Content on Properties of Cement-Metakaolin Mortar. Case Stud. Constr. Mater. 2022, 16, e01088. [Google Scholar] [CrossRef]
- Bouasria, M.; Khadraoui, F.; Benzaama, M.H.; Touati, K.; Chateigner, D.; Gascoin, S.; Pralong, V.; Orberger, B.; Babouri, L.; El Mendili, Y. Partial Substitution of Cement by the Association of Ferronickel Slags and Crepidula Fornicata Shells. J. Build. Eng. 2021, 33, 101587. [Google Scholar] [CrossRef]
- Hasan, K.; Yahaya, F.M.; Karim, A.; Othman, R. Investigation on the Properties of Mortar Containing Palm Oil Fuel Ash and Seashell Powder as Partial Cement Replacement. Construction 2021, 1, 50–61. [Google Scholar] [CrossRef]
- Soltanzadeh, F.; Behbahani, A.E.; Pereira, E.N.B.; Teixeira, C.A. A Life-Cycle Approach to Integrate Environmental and Mechanical Properties of Blended Cements Containing Seashell Powder. Sustainability 2021, 13, 13120. [Google Scholar] [CrossRef]
- Edalat-Behbahani, A.; Soltanzadeh, F.; Emam-Jomeh, M.; Soltan-Zadeh, Z. Sustainable Approaches for Developing Concrete and Mortar Using Waste Seashell. Eur. J. Environ. Civ. Eng. 2021, 25, 1874–1893. [Google Scholar] [CrossRef]
- Rodríguez-Galán, M.; Alonso-Fariñas, B.; Baena-Moreno, F.M.; Leiva, C.; Navarrete, B.; Vilches, L.F. Synthetic Slag Production Method Based on a Solid Waste Mix Vitrification for the Manufacturing of Slag-Cement. Materials 2019, 12, 208. [Google Scholar] [CrossRef] [PubMed]
- Seo, J.H.; Park, S.M.; Yang, B.J.; Jang, J.G. Calcined Oyster Shell Powder as an Expansive Additive in Cement Mortar. Materials 2019, 12, 1322. [Google Scholar] [CrossRef] [PubMed]
- Soltanzadeh, F.; Emam-Jomeh, M.; Edalat-Behbahani, A.; Soltan-Zadeh, Z. Development and Characterization of Blended Cements Containing Seashell Powder. Constr. Build. Mater. 2018, 161, 292–304. [Google Scholar] [CrossRef]
- Ez-zaki, H.; Diouri, A. Chloride Penetration through Cement Material Based on Dredged Sediment and Shell Powder. J. Adhes. Sci. Technol. 2018, 32, 787–800. [Google Scholar] [CrossRef]
- Fu, X.; Li, Y.; Lin, C.; Meng, Y.; Yue, Q.; Liu, H. Strength, Durability and Appearance of Low-Carbon Fair-Faced Concrete Containing Multiple Mineral Admixtures. Constr. Build. Mater. 2023, 392, 131838. [Google Scholar] [CrossRef]
- Bahadori, H.R.; Hedayat, A.A.; Karbakhsh, A.; Mohammadizadeh, M. Effects of Seashell and Lumashell Powders on the Elevated Temperature Compressive Strength and Durability of Shell-Based Concretes. Innov. Infrastruct. Solut. 2023, 8, 199. [Google Scholar] [CrossRef]
- Maglad, A.M.; Othuman Mydin, M.A.; Dip Datta, S.; Tayeh, B.A. Assessing the Mechanical, Durability, Thermal and Microstructural Properties of Sea Shell Ash Based Lightweight Foamed Concrete. Constr. Build. Mater. 2023, 402, 133018. [Google Scholar] [CrossRef]
- Shetty, P.P.; Rao, A.U.; Pai, B.H.V.; Kamath, M.V. Performance of High-Strength Concrete with the Effects of Seashell Powder as Binder Replacement and Waste Glass Powder as Fine Aggregate. J. Compos. Sci. 2023, 7, 92. [Google Scholar] [CrossRef]
- Stel’makh, S.A.; Shcherban’, E.M.; Beskopylny, A.N.; Mailyan, L.R.; Meskhi, B.; Tashpulatov, S.S.; Chernil’nik, A.; Shcherban’, N.; Tyutina, A. Composition, Technological, and Microstructural Aspects of Concrete Modified with Finely Ground Mussel Shell Powder. Materials 2023, 16, 82. [Google Scholar] [CrossRef]
- Sangeetha, P.; Shanmugapriya, M.; Santhosh Saravanan, K.; Prabhakaran, P.; Shashankar, V. Mechanical Properties of Concrete with Seashell Waste as Partial Replacement of Cement and Aggregate. Mater. Today Proc. 2022, 61, 320–326. [Google Scholar] [CrossRef]
- Stel’makh, S.A.; Shcherban’, E.M.; Beskopylny, A.N.; Mailyan, L.R.; Meskhi, B.; Beskopylny, N.; Dotsenko, N.; Kotenko, M. Nanomodified Concrete with Enhanced Characteristics Based on River Snail Shell Powder. Appl. Sci. 2022, 12, 7839. [Google Scholar] [CrossRef]
- Ragav, M.; Subbiah, K.; Lee, T.P.; Lee, H.S. Assessment of Corrosion Performance of Steel Rebar in Snail Shell Ash Blended Cements under Marine Environments. Materials 2021, 14, 7286. [Google Scholar] [CrossRef]
- Ubachukwu, O.A.; Okafor, F.O. Towards Green Concrete: Response of Oyster Shell Powder-Cement Concrete to Splitting Tensile Load. Niger. J. Technol. 2020, 39, 363–368. [Google Scholar] [CrossRef]
- Bunyamin, B.; Mukhlis, A. Utilization of Oyster Shells as a Substitute Part of Cement and Fine Aggregate in the Compressive Strength of Concrete. Aceh. Int. J. Sci. Technol. 2020, 9, 150–156. [Google Scholar] [CrossRef]
- Tayeh, B.A.; Hasaniyah, M.W.; Zeyad, A.M.; Awad, M.M.; Alaskar, A.; Mohamed, A.M.; Alyousef, R. Durability and Mechanical Properties of Seashell Partially-Replaced Cement. J. Build. Eng. 2020, 31, 101328. [Google Scholar] [CrossRef]
- Attah, I.C.; Etim, R.K.; Sani, J.E. Response of Oyster Shell Ash Blended Cement Concrete in Sulphuric Acid Environment. Civ. Environ. Res. 2019, 11, 62–74. Available online: https://pdfs.semanticscholar.org/6d32/618dbcedde8609039ea454285a38b50e114c.pdf (accessed on 9 January 2025).
- Hussin, M.H.; Othman, N.H.; Wan Ibrahim, M.H. Carbonation of Concrete Containing Mussel (Perna viridis) Shell Ash. J. Eng. Des. Technol. 2019, 17, 904–928. [Google Scholar] [CrossRef]
- Punthama, C.; Supakata, N.; Kanokkantapong, V. Characteristics of Concrete Bricks after Partially Substituting Portland Cement Type 1 with Cement and Seashell Waste and Partially Substituting Sand with Glass Waste. EnvironmentAsia 2019, 12, 36–48. [Google Scholar] [CrossRef]
- Sainudin, M.S.; Othman, N.H.; Soffian, W.A.; Mohammad, W.; Haziman, M.; Ibrahim, W.; Muthusamy, K. Properties of Concrete Containing Mussel (Perna viridis) Shell Ash as Partial Cement Replacement. Int. J. Integr. Eng. 2019, 11, 154–163. Available online: https://publisher.uthm.edu.my/ojs/index.php/ijie/article/view/5441 (accessed on 11 November 2023).
- Joseph, S.; Abraham, G.M. Effect of partial replacement of cement by mussel shell powder and glass powder on properties of concrete. Int. J. Adv. Res. Methodol. Eng. Technol. 2017, 1. Available online: https://scholar.archive.org/work/p7gxdt4mlnfodhtjwkf2c7rga4/access/wayback/http://ijarmet.vtpree.com/wp-content/uploads/2017/08/1-6.pdf (accessed on 1 March 2024).
- Umoh, A.A.; Olaniyi, A.; Babafemi, A.J.; Femi, O.O. Assessing the Mechanical Performance of Ternary Blended Cement Concrete Incorporating Periwinkle Shell and Bamboo Leaf Ashes. Civ. Environ. Res. 2013, 3, 26–35. [Google Scholar]
- Umoh, A.A.; Olusola, K.O. Performance of Periwinkle Shell Ash Blended Cement Concrete Exposed to Magnesium Sulphate. Civ. Eng. Dimens. 2013, 15, 56–101. [Google Scholar] [CrossRef]
- Peceño, B.; Hurtado-Bermudez, S.; Alonso-Fariñas, B.; Villa-Alfageme, M.; Más, J.L.; Leiva, C. Recycling Bio-Based Wastes into Road-Base Binder: Mechanical, Leaching, and Radiological Implications. Appl. Sci. 2023, 13, 1644. [Google Scholar] [CrossRef]
- Han, Y.; Lin, R.; Wang, X.Y. Sustainable Mixtures Using Waste Oyster Shell Powder and Slag Instead of Cement: Performance and Multi-Objective Optimization Design. Constr. Build. Mater. 2022, 348, 128642. [Google Scholar] [CrossRef]
- Deboucha, W.; Sebaibi, N.; Mendili, Y.E.; Fabien, A.; Alengaram, U.J.; Leklou, N.; Hamdadou, M.N.; Bourdot, A.; Gascoin, S. Reactivity Effect of Calcium Carbonate on the Formation of Carboaluminate Phases in Ground Granulated Blast Furnace Slag Blended Cements. Sustainability 2021, 13, 6504. [Google Scholar] [CrossRef]
- Wang, J.; Liu, E. Upcycling Waste Seashells with Cement: Rheology and Early-Age Properties of Portland Cement Paste. Resour. Conserv. Recycl. 2020, 155, 104680. [Google Scholar] [CrossRef]
- Wang, J.; Liu, E.; Li, L. Characterization on the Recycling of Waste Seashells with Portland Cement towards Sustainable Cementitious Materials. J. Clean. Prod. 2019, 220, 235–252. [Google Scholar] [CrossRef]
- Deboucha, W.; Leklou, N.; Khelidj, A.; Oudjit, M.N. Hydration Development of Mineral Additives Blended Cement Using Thermogravimetric Analysis (TGA): Methodology of Calculating the Degree of Hydration. Constr. Build. Mater. 2017, 146, 687–701. [Google Scholar] [CrossRef]
- Mantellato, S.; Palacios, M.; Flatt, R.J. Reliable Specific Surface Area Measurements on Anhydrous Cements. Cem. Concr. Res. 2015, 67, 286–291. [Google Scholar] [CrossRef]
- Fode, T.A.; Chande Jande, Y.A.; Kivevele, T. Effects of Different Supplementary Cementitious Materials on Durability and Mechanical Properties of Cement Composite—Comprehensive Review. Heliyon 2023, 9, e17924. [Google Scholar] [CrossRef] [PubMed]
- ACI Committee 318. 318-19 Building Code Requirements for Structural Concrete and Commentary; American Concrete Institute: Farmington Hills, MI, USA, 2019; ISBN 9781641950565. [Google Scholar]
- Juenger, M.C.G.; Snellings, R.; Bernal, S.A. Supplementary Cementitious Materials: New Sources, Characterization, and Performance Insights. Cem. Concr. Res. 2019, 122, 257–273. [Google Scholar] [CrossRef]
- Sun, R.W.; Fanourakis, G.C. An Assessment of Factors Affecting the Elastic Modulus of Concrete. Struct. Concr. 2022, 23, 593–603. [Google Scholar] [CrossRef]
- Alsalman, A.; Dang, C.N.; Prinz, G.S.; Hale, W.M. Evaluation of Modulus of Elasticity of Ultra-High Performance Concrete. Constr. Build. Mater. 2017, 153, 918–928. [Google Scholar] [CrossRef]
- ISO 14040; Environmental Management–Life Cycle Assessment–Principles and Framework. ISO: Geneva, Switzerland, 2006. Available online: https://www.iso.org/standard/37456.html (accessed on 2 December 2024).
- ISO 14044; Environmental Management–Life Cycle Assessment–Requirements and Guidelines. ISO: Geneva, Switzerland, 2006. Available online: https://www.iso.org/obp/ui/#iso:std:iso:14044:ed-1:v1:en (accessed on 2 December 2024).















| Criteria | Description |
|---|---|
| Inclusion criteria (IC) | IC-1: The study was published between 2013 and 2023. |
| IC-2: The study is classified as a primary study (not a review). | |
| IC-3: The study was published as a scientific article in a journal and in English. | |
| Exclusion criteria (EC) | EC-1: Duplicate study between databases. |
| EC-2: The study was published before 2013. | |
| EC-3: The study is not classified as primary. | |
| EC-4: Content in languages other than English. | |
| EC-5: The study is published in conferences, books, and other types of publications other than journals. | |
| EC-6: Access to the study is not available for full reading. | |
| EC-7: The study does not address the use of seashells in any cementitious composite as a total or partial substitute for cement. |
| Characteristics | Used Materials | Studies |
|---|---|---|
| Ternary mixtures or more additions | Bamboo leaves | [53] |
| Concrete waste | [50] | |
| Construction and demolition waste and slag | [33] | |
| Glass powder | [52] | |
| Pozzolan | [35] | |
| Metakaolin | [17,28] | |
| Palm oil fuel ash | [30] | |
| Fly ash | [29] | |
| Fly ash and silica fume | [40] | |
| Fly ash, silica fume, CaCO3-TiO2 composite, blast furnace slag | [37] | |
| Granulated blast furnace slag (GGBFS) | [26,57] | |
| Ferronickel slag | [29] | |
| Blast furnace slag (BFS) | [24,56] | |
| Lithium slag and granulated blast furnace slag | [22] | |
| Use of alternative aggregates | Dredging waste | [36] |
| Glass powder | [50] | |
| Glass powder and steel fibers | [40] | |
| Seashell | [42,46] | |
| Use of additives | Superplasticizer | [17,26,28,37,40,52] |
| Zinc stearate powder and superplasticizer | [21] |
| Study | Cement Substitution Levels | Curing | Sulfate Concentration | Loss of Compressive Strength |
|---|---|---|---|---|
| [48] | 5 | 28 days | 5% H2SO4 | −11% |
| 10 | −3% | |||
| 15 | 5% | |||
| 20 | 6% | |||
| [48] | 5 | 28 days | 7.5% H2SO4 | −7% |
| 10 | −6% | |||
| 15 | −3% | |||
| 20 | 1% | |||
| [48] | 5 | 28 days | 10% H2SO4 | −2% |
| 10 | −2% | |||
| 15 | −2% | |||
| 20 | 1% | |||
| [47] | 10 | 90 days | 5% MgSO4 | −36% |
| 20 | 6% | |||
| 30 | 48% | |||
| 40 | 59% |
Disclaimer/Publisher’s Note: The statements, opinions and data contained in all publications are solely those of the individual author(s) and contributor(s) and not of MDPI and/or the editor(s). MDPI and/or the editor(s) disclaim responsibility for any injury to people or property resulting from any ideas, methods, instructions or products referred to in the content. |
© 2025 by the authors. Licensee MDPI, Basel, Switzerland. This article is an open access article distributed under the terms and conditions of the Creative Commons Attribution (CC BY) license (https://creativecommons.org/licenses/by/4.0/).
Share and Cite
Silva, A.L.d.; Kohlman Rabbani, E.R.; Shakouri, M. Seashell Powder as a Sustainable Alternative in Cement-Based Materials: A Systematic Literature Review. Sustainability 2025, 17, 592. https://doi.org/10.3390/su17020592
Silva ALd, Kohlman Rabbani ER, Shakouri M. Seashell Powder as a Sustainable Alternative in Cement-Based Materials: A Systematic Literature Review. Sustainability. 2025; 17(2):592. https://doi.org/10.3390/su17020592
Chicago/Turabian StyleSilva, Alison Lopes da, Emilia Rahnemay Kohlman Rabbani, and Mahmoud Shakouri. 2025. "Seashell Powder as a Sustainable Alternative in Cement-Based Materials: A Systematic Literature Review" Sustainability 17, no. 2: 592. https://doi.org/10.3390/su17020592
APA StyleSilva, A. L. d., Kohlman Rabbani, E. R., & Shakouri, M. (2025). Seashell Powder as a Sustainable Alternative in Cement-Based Materials: A Systematic Literature Review. Sustainability, 17(2), 592. https://doi.org/10.3390/su17020592
